Existence and Global Attractivity of Pseudo Almost Periodic Solutions for Clifford-Valued Fuzzy Neural Networks with Proportional Delays
Abstract
:1. Introduction
2. Model Description and Preliminaries
- (H1)
- For with ,,.
- (H2)
- For , functions satisfy there exist constants, such that for any ,and
- (H3)
- The constant
3. Pseudo Almost Periodic Solutions
4. Global Attractivity
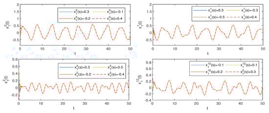
5. An Example
6. Conclusions
Author Contributions
Funding
Institutional Review Board Statement
Informed Consent Statement
Data Availability Statement
Conflicts of Interest
References
- Buchholz, S. A Theory of Neural Computation with Clifford Algebras. Ph.D. Thesis, University of Kiel, Kiel, Germany, 2005. [Google Scholar]
- Buchholz, S.; Sommer, G. On Clifford neurons and Clifford multi-layer perceptrons. Neural Netw. 2008, 21, 925–935. [Google Scholar] [CrossRef]
- Liu, Y.; Xu, P.; Lu, J. Global stability of Clifford-valued recurrent neural networks with time delays. Nonlinear Dyn. 2016, 84, 767–777. [Google Scholar] [CrossRef]
- Zhu, J.; Sun, J. Global exponential stability of Clifford-valued recurrent neural networks. Neurocomputing 2016, 173, 685–689. [Google Scholar] [CrossRef]
- Li, Y.; Xiang, J. Global asymptotic almost periodic synchronization of Clifford-valued CNNs with discrete delays. Complexity 2019, 2019, 6982109. [Google Scholar] [CrossRef]
- Huo, N.; Li, B.; Li, Y. Anti-periodic solutions for Clifford-valued high-order Hopfield neural networks with state-dependent and leakage delays. Int. J. Appl. Math. Comput. Sci. 2020, 30, 83–98. [Google Scholar]
- Li, Y.; Huo, N.; Li, B. On μ-pseudo almost periodic solutions for Clifford-valued neutral type neural networks with delays in the leakage term. IEEE Trans. Neural Netw. Learn. Syst. 2021, 32, 1365–1374. [Google Scholar] [CrossRef] [PubMed]
- Li, Y.; Shen, S. Pseudo almost periodic synchronization of Clifford-valued fuzzy cellular neural networks with time-varying delays on time scales. Adv. Differ. Equ. 2020, 2020, 593. [Google Scholar] [CrossRef]
- Li, Y.; Li, B. Pseudo compact almost automorphy of neutral type Clifford-valued neural networks with mixed delays. Discrete Contin. Dyn. Syst.-B 2021, in press. [Google Scholar] [CrossRef]
- Aouiti, C.; Dridi, F.; Hui, Q.; Moulay, E. (μ,ν)-pseudo almost automorphic solutions of neutral type Clifford-valued high-Order Hopfield neural networks with D Operator. Neural Process. Lett. 2021, 53, 799–828. [Google Scholar] [CrossRef]
- Aouiti, C.; Dridi, F. Weighted pseudo almost automorphic solutions for neutral type fuzzy cellular neural networks with mixed delays and D operator in Clifford algebra. Int. J. Syst. Sci. 2020, 51, 1759–1781. [Google Scholar] [CrossRef]
- Liu, Y. Asymptotic behavior of functional differential equations with priportional time delays. Eur. J. Appl. Math. 1996, 7, 11–30. [Google Scholar] [CrossRef]
- Huang, Z. Almost periodic solutions for fuzzy cellular neural networks with multi-proportional delays. Int. J. Mach. Learn. Cyber. 2017, 8, 1323–1331. [Google Scholar] [CrossRef]
- Liang, J.; Qian, H.; Liu, B. Pseudo almost periodic solutions for fuzzy cellular neural networks with multi-proportional delays. Neural Process. Lett. 2018, 48, 1201–1212. [Google Scholar] [CrossRef]
- Huang, C.; Long, X.; Cao, J. Stability of antiperiodic recurrent neural networks with multiproportional delays. Math. Meth. Appl. Sci. 2020, 43, 6093–6102. [Google Scholar] [CrossRef]
- Wang, W. Finite-time synchronization for a class of fuzzy cellular neural networks with time-varying coefficients and proportional delays. Fuzzy Sets Syst. 2018, 338, 40–49. [Google Scholar] [CrossRef]
- Qin, J.; Li, Y. New results on exponential stability of competitive neural networks with multi-proportional delays. Asian J. Control 2020, 22, 750–760. [Google Scholar] [CrossRef]
- Yang, T.; Yang, L.; Wu, C.; Chua, L. The global stability of fuzzy cellular neural network. IEEE Trans. Circ. Syst. I 1996, 43, 880–883. [Google Scholar] [CrossRef]
- Shen, S.; Li, Y. Sp-almost periodic solutions of Clifford-valued fuzzy cellular neural networks with time-varying delays. Neural Process. Lett. 2020, 51, 1749–1769. [Google Scholar] [CrossRef]
- Li, B.; Li, Y. Existence and global exponential stability of pseudo almost periodic solution for Clifford-valued neutral high-order Hopfield neural networks with leakage delays. IEEE Access 2019, 7, 150213–150225. [Google Scholar] [CrossRef]
- Yu, Y. Exponential stability of pseudo almost periodic solution for cellular neural networks with multi-proportional delays. Neural Process. Lett. 2017, 45, 141–151. [Google Scholar] [CrossRef]
- Meng, X.; Li, Y. Pseudo almost periodic solutions for quaternion-valued high-order Hopfield neural networks with time-varying delays and leakage delays on time scales. AIMS Math. 2021, 6, 10070–10091. [Google Scholar] [CrossRef]
- Huang, C.; Liu, B.; Qian, C.; Cao, J. Stability on positive pseudo almost periodic solutions of HPDCNNs incorporating D operator. Math. Comput. Simul. 2021, 190, 1150–1163. [Google Scholar] [CrossRef]
- Arbi, A. Dynamics of BAM neural networks with mixed delays and leakage time-varying delays in the weighted pseudo-almost periodic on time-space scales. Math. Meth. Appl. Sci. 2018, 41, 1230–1255. [Google Scholar] [CrossRef]
- Tang, Y. Pseudo almost periodic shunting inhibitory cellular neural networks with multi-proportional delays. Neural Process. Lett. 2018, 48, 167–177. [Google Scholar] [CrossRef]
- Kong, F.; Fang, X. Pseudo almost periodic solutions of discrete-time neutral-type neural networks with delays. Appl. Intell. 2018, 48, 3332–3345. [Google Scholar] [CrossRef]
- Li, Y.; Wang, X. Almost periodic solutions in distribution of Clifford-valued stochastic recurrent neural networks with time-varying delays. Chaos Solitons Fractals 2021, 153, 111536. [Google Scholar] [CrossRef]
- Aouiti, C.; Gharbia, I.B. Piecewise pseudo almost-periodic solutions of impulsive fuzzy cellular neural networks with mixed delays. Neural Process. Lett. 2020, 51, 1201–1225. [Google Scholar] [CrossRef]
- Tang, Y. Exponential stability of pseudo almost periodic solutions for fuzzy cellular neural networks with time-varying delays. Neural Process. Lett. 2019, 49, 851–861. [Google Scholar] [CrossRef]
- Li, Y.; Huo, N. (μ,ν)-pseudo almost periodic solutions of Clifford-valued high-order HNNs with multiple discrete delays. Neurocomputing 2020, 414, 1–9. [Google Scholar] [CrossRef]




Publisher’s Note: MDPI stays neutral with regard to jurisdictional claims in published maps and institutional affiliations. |
© 2021 by the authors. Licensee MDPI, Basel, Switzerland. This article is an open access article distributed under the terms and conditions of the Creative Commons Attribution (CC BY) license (https://creativecommons.org/licenses/by/4.0/).
Share and Cite
Lv, W.; Li, B. Existence and Global Attractivity of Pseudo Almost Periodic Solutions for Clifford-Valued Fuzzy Neural Networks with Proportional Delays. Mathematics 2021, 9, 3306. https://doi.org/10.3390/math9243306
Lv W, Li B. Existence and Global Attractivity of Pseudo Almost Periodic Solutions for Clifford-Valued Fuzzy Neural Networks with Proportional Delays. Mathematics. 2021; 9(24):3306. https://doi.org/10.3390/math9243306
Chicago/Turabian StyleLv, Wen, and Bing Li. 2021. "Existence and Global Attractivity of Pseudo Almost Periodic Solutions for Clifford-Valued Fuzzy Neural Networks with Proportional Delays" Mathematics 9, no. 24: 3306. https://doi.org/10.3390/math9243306
APA StyleLv, W., & Li, B. (2021). Existence and Global Attractivity of Pseudo Almost Periodic Solutions for Clifford-Valued Fuzzy Neural Networks with Proportional Delays. Mathematics, 9(24), 3306. https://doi.org/10.3390/math9243306

