Single Imputation Methods and Confidence Intervals for the Gini Index
Abstract
:1. Introduction
2. Methods
2.1. The Gini Index
2.2. Some Single Imputation Methods
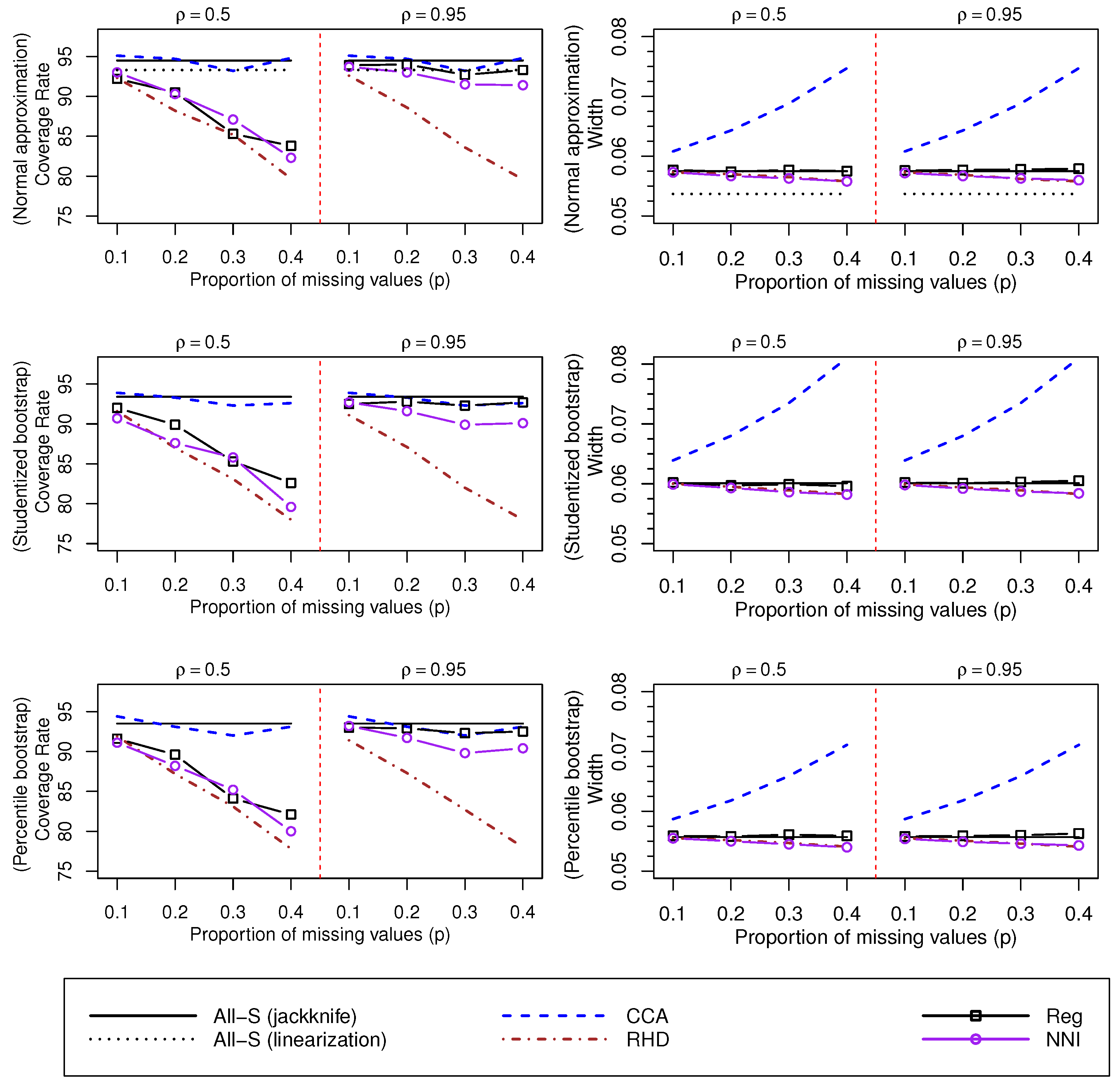
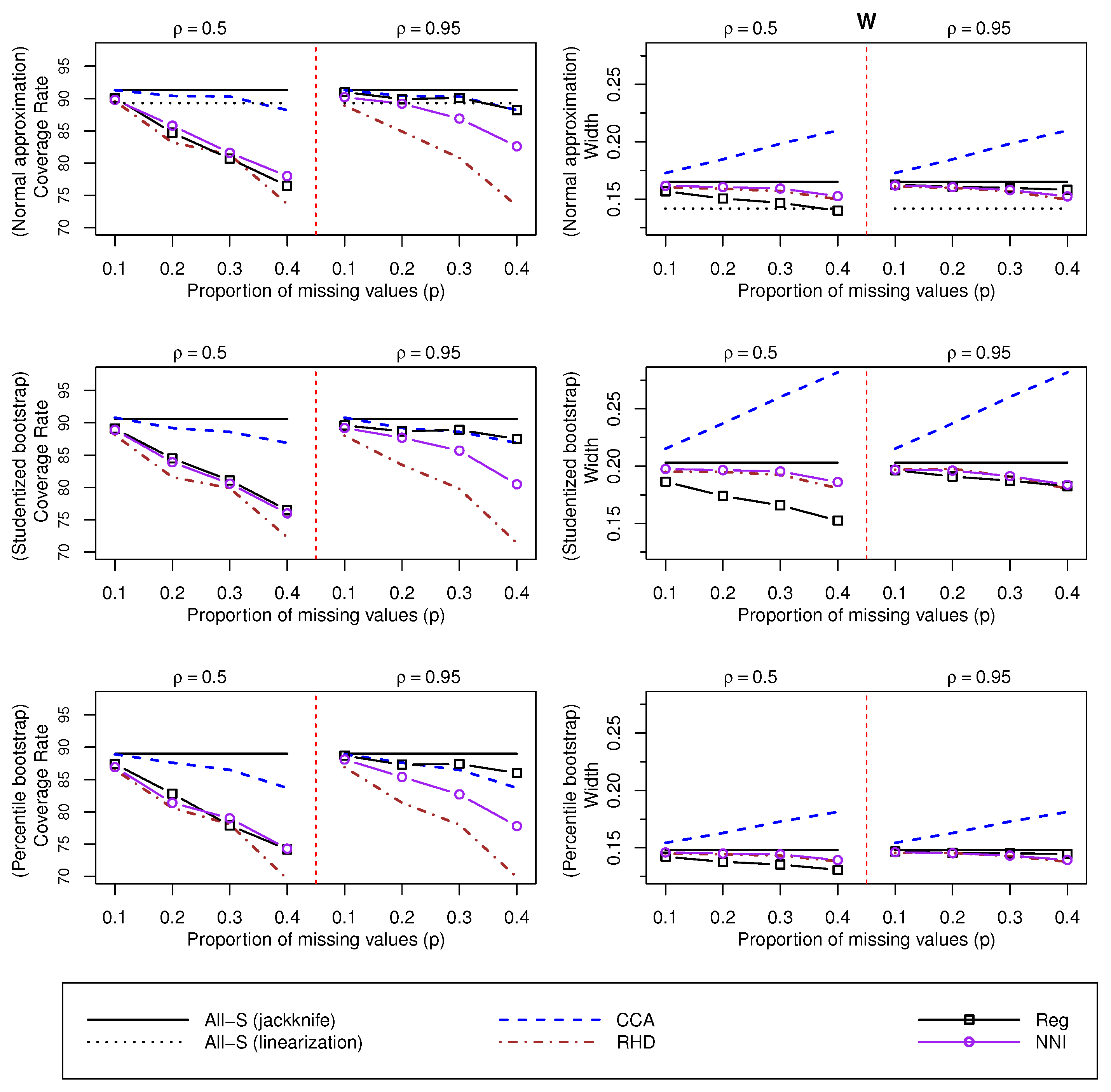
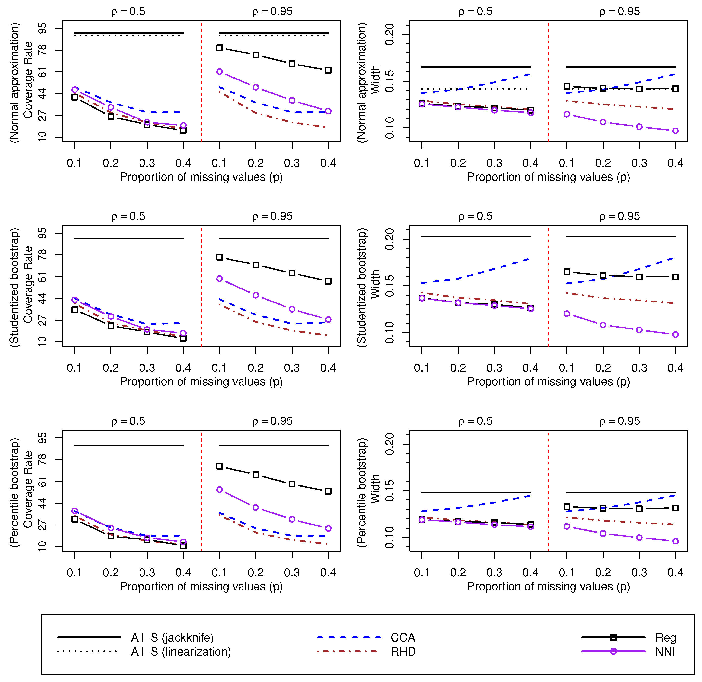
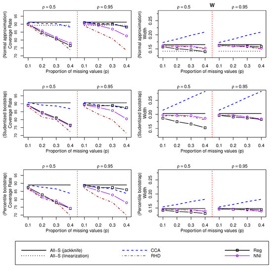
3. Monte Carlo Simulation Studies
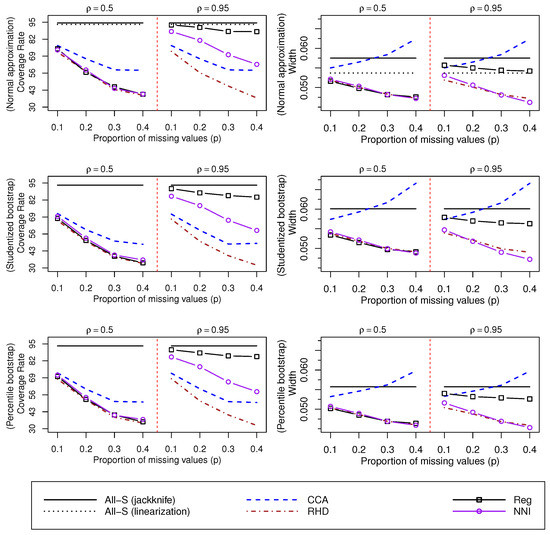
3.1. Description of the Study
3.2. Results
4. Conclusions
5. Discussion
Author Contributions
Funding
Institutional Review Board Statement
Informed Consent Statement
Data Availability Statement
Conflicts of Interest
Abbreviations
| MCAR | Missing Completely At Random |
| MAR | Missing At Random |
| MNAR | Missing Not At Random |
| SRSWOR | Simple Random Sampling Without Replacement |
| All-S | All units in the sample S |
| CCA | Complete Case Analysis |
| RHD | Random Hot Desk imputation method |
| Reg | Regression imputation method |
| NNI | Nearest Neighbour Imputation method |
| RB | Relative Bias |
| RRMSE | Relative Root Mean Square Error |
| CR | Coverage Rate |
| W | Width |
References
- Haziza, D.; Lesage, É. A discussion of weighting procedures for unit nonresponse. J. Off. Stat. 2016, 32, 129–145. [Google Scholar] [CrossRef] [Green Version]
- Van Buuren, S. Flexible Imputation of Missing Data; CRC Press: Boca Raton, FL, USA, 2018. [Google Scholar]
- Rubin, D.B. Inference and missing data. Biometrika 1976, 63, 581–592. [Google Scholar] [CrossRef]
- Haziza, D.; Beaumont, J.F. On the construction of imputation classes in surveys. Int. Stat. Rev. 2007, 75, 25–43. [Google Scholar] [CrossRef]
- Little, R.J.; Rubin, D.B. Statistical Analysis with Missing Data, 3rd ed.; John Wiley & Sons: New York, NY, USA, 2019. [Google Scholar]
- Särndal, C.E.; Swensson, B.; Wretman, J. Model Assisted Survey Sampling; Springer Science & Business Media: Berlin/Heidelberg, Germany, 2003. [Google Scholar]
- Rubin, D.B. Multiple imputation after 18+ years. J. Am. Stat. Assoc. 1996, 91, 473–489. [Google Scholar] [CrossRef]
- Carpenter, J.; Kenward, M. Multiple Imputation and Its Application; John Wiley & Sons: Chichester, UK, 2012. [Google Scholar]
- Allison, R.A.; Foster, J.E. Measuring health inequality using qualitative data. J. Health Econ. 2004, 6, 505–524. [Google Scholar] [CrossRef] [PubMed]
- Boyce, J.K.; Zwickl, K.; Ash, M. Measuring environmental inequality. Ecol Econ. 2016, 124, 114–123. [Google Scholar] [CrossRef] [Green Version]
- Ferreira, F.H.; Gignoux, J. The measurement of educational inequality: Achievement and opportunity. World Bank Econ. Rev. 2014, 28, 210–246. [Google Scholar] [CrossRef] [Green Version]
- Solt, F. Measuring income inequality across countries and over time: The standardized world income inequality database. Soc. Sci. Q. 2020, 101, 1183–1199. [Google Scholar] [CrossRef]
- Ravallion, M. Income inequality in the developing world. Science 2014, 344, 851–855. [Google Scholar] [CrossRef]
- Gini, C. Variabilità e mutabilità. Reprinted in Memorie di Metodologica Statistica; Pizetti, E., Ed.; Libreria Eredi Virgilio Veschi: Rome, Italy, 1912. [Google Scholar]
- Kendall, M.; Stuart, A. The Advanced Theory of Statistics: Vol. 1. Distribution Theory, 4th ed.; Charles Griffin: London, UK, 1977. [Google Scholar]
- Lerman, R.I.; Yitzhaki, S. A note on the calculation and interpretation of the Gini index. Econ. Lett. 1984, 15, 363–368. [Google Scholar] [CrossRef]
- Deltas, G. The small-sample bias of the Gini coefficient: Results and implications for empirical research. Rev. Econ. Stat. 1979, 44, 870–872. [Google Scholar]
- Davidson, R. Reliable inference for the Gini index. J. Econom. 2009, 150, 30–40. [Google Scholar] [CrossRef] [Green Version]
- Berger, Y.G. A note on the asymptotic equivalence of jackknife and linearization variance estimation for the Gini coefficient. J. Off. Stat. 2008, 24, 541–555. [Google Scholar]
- Deville, J.C. Variance estimation for complex statistics and estimators: Linearization and residual techniques. Surv. Methodol. 1999, 25, 193–204. [Google Scholar]
- Langel, M.; Tillé, Y. Variance estimation of the Gini index: Revisiting a result several times published. J. R. Stat. Soc. A Stat. Soc. 2013, 176, 521–540. [Google Scholar] [CrossRef] [Green Version]
- Qin, Y.; Rao, J.; Wu, C. Empirical likelihood confidence intervals for the gini measure of income inequality. Econ. Modllng. 2010, 27, 1429–1435. [Google Scholar] [CrossRef] [Green Version]
- Wang, D.; Zhao, Y.; Gilmore, D.W. Jackknife empirical likelihood confidence interval for the Gini index. Stat. Probab. Lett. 2016, 110, 289–295. [Google Scholar] [CrossRef] [Green Version]
- Berger, Y.; Gedik Balay, İ. Confidence intervals of Gini coefficient under unequal probability sampling. J. Off. Stat. 2020, 36, 237–249. [Google Scholar] [CrossRef]
- Giorgi, G.M.; Gigliarano, C. The Gini concentration index: A review of the inference literature. J. Econ. Surv. 2017, 31, 1130–1148. [Google Scholar] [CrossRef]
- Balaji, H.; Mahmoud, H. The Gini index of random trees with an application to caterpillars. J. Appl. Probab. 2017, 54, 701–709. [Google Scholar] [CrossRef]
- Ren, Y.; Zhang, P.; Dey, D.K. Investigating Several Fundamental Properties of Random Lobster Trees and Random Spider Trees. Methodol. Comput. Appl. Probab. 2021, 1–17. [Google Scholar] [CrossRef]
- Parsa, M.; Di Crescenzo, A.; Jabbari, H. Analysis of reliability systems via Gini-type index. Eur. J. Oper. Res. 2018, 264, 340–353. [Google Scholar] [CrossRef]
- Ma, J. Generalised grey target decision method for mixed attributes based on the improved Gini–Simpson index. Soft Comput. 2018, 23, 13449–13458. [Google Scholar] [CrossRef]
- Atkinson, A.B. On the measurement of inequality. J. Econ. Theory 1970, 2, 244–263. [Google Scholar] [CrossRef]
- Evans, M.D.; Kelley, J.; Kelley, S.M.; Kelley, C.G. Rising Income Inequality During the Great Recession Had No Impact on Subjective Wellbeing in Europe, 2003–2012. J. Happiness Stud. 2019, 20, 203–228. [Google Scholar] [CrossRef]
- Detollenaere, J.; Desmarest, A.S.; Boeckxstaens, P.; Willems, S. The link between income inequality and health in Europe, adding strength dimensions of primary care to the equation. Soc. Sci. Med. 2018, 201, 103–110. [Google Scholar] [CrossRef] [PubMed]
- Zagorski, K.; Evans, M.D.; Kelley, J.; Piotrowska, K. Does national income inequality affect individuals’ quality of life in Europe? Inequality, happiness, finances, and health. Soc. Indic. Res. 2014, 117, 1089–1110. [Google Scholar] [CrossRef]
- Rueda, M.M.; Muñoz, J.F. Estimation of poverty measures with auxiliary information in sample surveys. Qual. Quant. 2011, 45, 687–700. [Google Scholar] [CrossRef]
- Langel, M.; Tillé, Y. Statistical inference for the quintile share ratio. J. Stat. Plan. Inference 2011, 141, 2976–2985. [Google Scholar] [CrossRef] [Green Version]
- Rao, J.N.K. On variance estimation with imputed survey data. J. Am. Stat. Assoc. 1996, 91, 499–506. [Google Scholar] [CrossRef]
- Zhong, H. The impact of missing data in the estimation of concentration index: A potential source of bias. Eur. Health Econ. 2010, 11, 255–266. [Google Scholar] [CrossRef] [PubMed]
- Chen, Y.; Fu, D. Measuring income inequality using survey data: The case of China. J. Econ. Inequal. 2015, 13, 299–307. [Google Scholar] [CrossRef]
- Ardington, C.; Lam, D.; Leibbrandt, M.; Welch, M. The sensitivity to key data imputations of recent estimates of income poverty and inequality in South Africa. Econ. Model. 2005, 23, 822–835. [Google Scholar] [CrossRef] [Green Version]
- Jenkins, S.P. World income inequality databases: An assessment of WIID and SWIID. J. Econ. Inequal. 2015, 13, 629–671. [Google Scholar] [CrossRef] [Green Version]
- Yitzhaki, S. More than a dozen alternative ways of spelling Gini. Res. Econ. Inequal. 1998, 8, 13–30. [Google Scholar]
- David, H.A. Order Statistics; Wiley: NewYork, NY, USA, 1970. [Google Scholar]
- Ogwang, T. A convenient method of computing the Gini index and its standard error. Oxf. Bull. Econ. Stat. 2000, 62, 123–129. [Google Scholar] [CrossRef]
- Demnati, A.; Rao, J.N.K. Linearization variance estimators for survey data. Surv. Methodol. 2004, 30, 17–26. [Google Scholar]
- Yitzhaki, S. Calculating jackknife variance estimators for parameters of the Gini method. Surv. Methodol. 1991, 9, 235–239. [Google Scholar]
- Karagiannis, E.; Kovačević, M. A method to calculate the jackknife variance estimator for the Gini coefficient. Oxf. Bull. Econ. Stat. 2000, 62, 119–122. [Google Scholar] [CrossRef]
- Kuan, X. Inference for generalized Gini indices using the iterated bootstrap method. J. Bus. Econ. Statist. 2000, 18, 223–227. [Google Scholar]
- Giorgi, G.M.; Palmitesta, P.; Provasi, C. Asymptotic and bootstrap inference for the generalized gini indices. Metron 2006, 64, 107–124. [Google Scholar]
- Muñoz, J.F.; Rueda, M. New imputation methods for missing data using quantiles. J. Comput. Appl. Math. 2009, 232, 305–317. [Google Scholar] [CrossRef]
- Andridge, R.R.; Little, R.J. A review of hot deck imputation for survey non-response. Int. Stat. Rev. 2010, 78, 40–64. [Google Scholar] [CrossRef]
- Healy, M.; Westmacott, M. Missing values in experiments analysed on automatic computers. J. R. Stat. Soc. Ser. C Appl. Stat. 1956, 5, 203–206. [Google Scholar] [CrossRef]
- Chen, J.; Shao, J. Nearest neighbor imputation for survey data. J. Off. Stat. 2000, 16, 113–131. [Google Scholar]
- Gower, J.C. A general coefficient of similarity and some of its properties. Biometrics 1971, 27, 857–871. [Google Scholar] [CrossRef]
- Kim, K.Y.; Kim, B.J.; Yi, G.S. Reuse of imputed data in microarray analysis increases imputation efficiency. BMC Bioinform. 2004, 5, 1–9. [Google Scholar] [CrossRef] [Green Version]
- Moya-Fernández, P.J.; López-Ruiz, S.; Guardiola, J.; González-Gómez, F. Determinants of the acceptance of domestic use of recycled water by use type. Sustain. Prod. Consum. 2021, 27, 575–586. [Google Scholar] [CrossRef]
- McLachlan, G.J.; Krishnan, T. The EM Algorithm and Extensions, 2nd ed.; John Wiley & Sons: New York, NY, USA, 2007. [Google Scholar]
- Lange, K. A gradient algorithm locally equivalent to the EM algorithm. J. R. Stat. Soc. Ser. B Stat. Methodol. 1995, 57, 425–437. [Google Scholar] [CrossRef] [Green Version]
- Pantanowitz, A.; Marwala, T. Missing data imputation through the use of the random forest algorithm. In Advances in Computational Intelligence; Springer: Berlin, Germany, 2009; pp. 53–62. [Google Scholar]
- Tang, F.; Ishwaran, H. Random forest missing data algorithms. Stat. Anal. Data. Min. 2007, 10, 363–377. [Google Scholar] [CrossRef]
- Campbell, N.A. Robust procedures in multivariate analysis I: Robust covariance estimation. J. R. Stat. Soc. Ser. C Appl. Stat. 1980, 29, 231–237. [Google Scholar] [CrossRef]










Publisher’s Note: MDPI stays neutral with regard to jurisdictional claims in published maps and institutional affiliations. |
© 2021 by the authors. Licensee MDPI, Basel, Switzerland. This article is an open access article distributed under the terms and conditions of the Creative Commons Attribution (CC BY) license (https://creativecommons.org/licenses/by/4.0/).
Share and Cite
Álvarez-Verdejo, E.; Moya-Fernández, P.J.; Muñoz-Rosas, J.F. Single Imputation Methods and Confidence Intervals for the Gini Index. Mathematics 2021, 9, 3252. https://doi.org/10.3390/math9243252
Álvarez-Verdejo E, Moya-Fernández PJ, Muñoz-Rosas JF. Single Imputation Methods and Confidence Intervals for the Gini Index. Mathematics. 2021; 9(24):3252. https://doi.org/10.3390/math9243252
Chicago/Turabian StyleÁlvarez-Verdejo, Encarnación, Pablo J. Moya-Fernández, and Juan F. Muñoz-Rosas. 2021. "Single Imputation Methods and Confidence Intervals for the Gini Index" Mathematics 9, no. 24: 3252. https://doi.org/10.3390/math9243252
APA StyleÁlvarez-Verdejo, E., Moya-Fernández, P. J., & Muñoz-Rosas, J. F. (2021). Single Imputation Methods and Confidence Intervals for the Gini Index. Mathematics, 9(24), 3252. https://doi.org/10.3390/math9243252

