Observer-Based Control for Nonlinear Time-Delayed Asynchronously Switching Systems: A New LMI Approach
Abstract
:1. Introduction
- Unlike the reviewed research, besides the time-delay and asynchronous switching, the parametric uncertainties are also considered in this study to ensure the robust stabilization problem.
- Due to the inaccessibility of all state variables in many actual operations, an observer-based control system is developed to reconstruct the state variables of SSs under asynchronous switching.
- The asynchronous problem is investigated and novel LMI-based conditions are presented as a feasibility problem to design the observer-based controller and to compute the prescribed performance index in the under exogenous disturbances.
- The AS problem is addressed by a simple observer-based method such that the computational complexity is reduced.
- The average DT technique is developed by the Lyapunov–Krasovskii method, and some stabilization conditions are derived.
- The robustness against time-delay, AS, and uncertainties is analyzed via LMIs and the singular-value decomposition (SVD) approach.
2. Problem Formulation and Preliminaries
3. Main Results
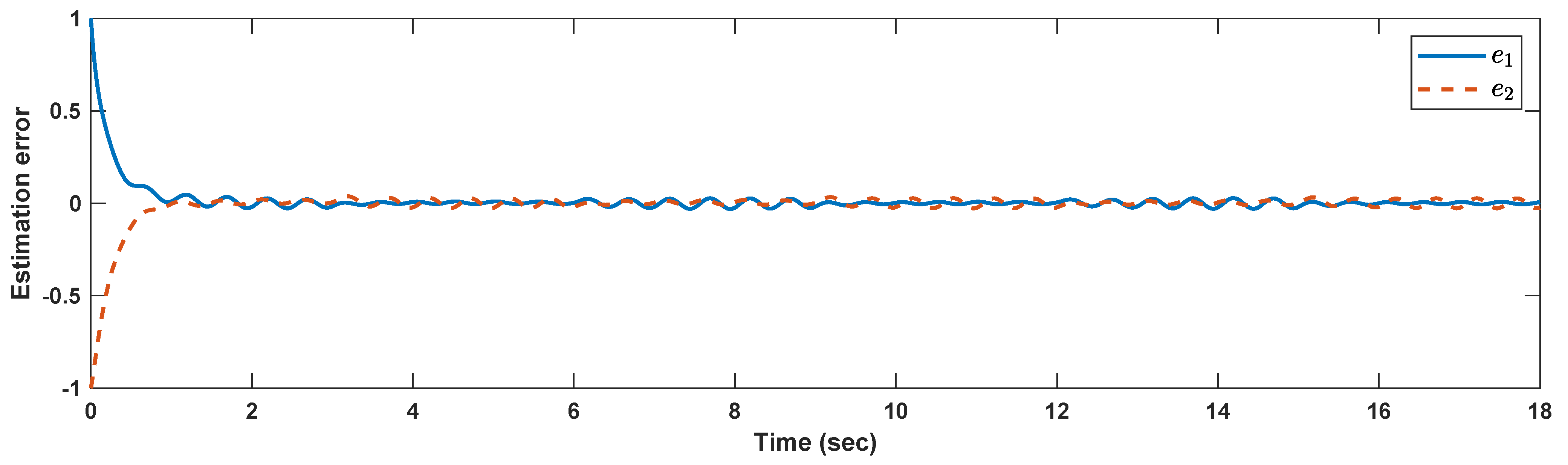
4. Simulation Results
5. Conclusions
Author Contributions
Funding
Institutional Review Board Statement
Informed Consent Statement
Data Availability Statement
Acknowledgments
Conflicts of Interest
References
- Liberzon, D. Finite data-rate feedback stabilization of switched and hybrid linear systems. Automatica 2014, 50, 409–420. [Google Scholar] [CrossRef]
- Qi, W.; Park, J.H.; Zong, G.; Cao, J.; Cheng, J. Filter for positive stochastic nonlinear switching systems with phase-type semi-Markov parameters and application. IEEE Trans. Syst. Man Cybern. Syst. 2021. [Google Scholar] [CrossRef]
- Gholami, H.; Shafiei, M.H. Finite-time boundedness and stabilization of switched nonlinear systems using auxiliary matrices and average dwell time method. Trans. Inst. Meas. Control 2020, 42, 1406–1416. [Google Scholar] [CrossRef]
- Choi, Y.H.; Yoo, S.J. Neural-networks-based adaptive quantized feedback tracking of uncertain nonlinear strict-feedback systems with unknown time delays. J. Frankl. Inst. 2020, 357, 10691–10715. [Google Scholar] [CrossRef]
- Yoo, S.J.; Park, B.S. Quantized feedback control strategy for tracking performance guarantee of nonholonomic mobile robots with uncertain nonlinear dynamics. Appl. Math. Comput. 2021, 407, 126349. [Google Scholar] [CrossRef]
- Allerhand, L.I.; Shaked, U. Robust Stability and Stabilization of Linear Switched Systems With Dwell Time. IEEE Trans. Autom. Control 2011, 56, 381–386. [Google Scholar] [CrossRef]
- Chadli, M.; Darouach, M. Robust admissibility of uncertain switched singular systems. Int. J. Control 2011, 84, 1587–1600. [Google Scholar] [CrossRef]
- Ban, J.; Kwon, W.; Won, S.; Kim, S. Robust H∞ finite-time control for discrete-time polytopic uncertain switched linear systems. Nonlinear Anal. Hybrid Syst. 2018, 29, 348–362. [Google Scholar] [CrossRef]
- Kani, M.H.H.; Yazdanpanah, M.J.; Markazi, A.H. Stability analysis of a class of uncertain switched time-delay systems with sliding modes. Int. J. Robust Nonlinear Control 2019, 29, 19–42. [Google Scholar] [CrossRef] [Green Version]
- Yan, Y.; Zhang, L. Robust Model Predictive Control with Almost Zero Online Computation. Mathematics 2021, 9, 242. [Google Scholar] [CrossRef]
- Gholami, H.; Shafiei, M.H. Finite-time H∞ static and dynamic output feedback control for a class of switched nonlinear time-delay systems. Appl. Math. Comput. 2021, 389, 125557. [Google Scholar] [CrossRef]
- Baleghi, N.A.; Shafiei, M.H. Stability analysis for discrete-time switched systems with uncertain time delay and affine parametric uncertainties. Trans. Inst. Meas. Control 2018, 40, 1150–1157. [Google Scholar] [CrossRef]
- Bagherzadeh, M.A.; Askari, J.; Ghaisari, J.; Mojiri, M. Robust asymptotic stability of parametric switched linear systems with dwell time. IET Control Theory Appl. 2018, 12, 477–483. [Google Scholar] [CrossRef]
- Baleghi, N.A.; Shafiei, M.H. Delay-dependent stability analysis for discrete-time switched linear systems with parametric uncertainties. J. Vib. Control 2018, 24, 4921–4930. [Google Scholar] [CrossRef]
- Baleghi, N.A.; Shafiei, M.H. Design of static and dynamic output feedback controllers for a discrete-time switched nonlinear system with time-varying delay and parametric uncertainty. IET Control Theory Appl. 2018, 12, 1635–1643. [Google Scholar] [CrossRef]
- Baleghi, N.A.; Shafiei, M.H. Stability analysis and stabilization of a class of discrete-time nonlinear switched systems with time-delay and affine parametric uncertainty. J. Vib. Control 2019, 25, 1326–1340. [Google Scholar] [CrossRef]
- Taghieh, A.; Shafiei, M.H. Observer-based robust model predictive control of switched nonlinear systems with time delay and parametric uncertainties. J. Vib. Control 2021, 27, 1939–1955. [Google Scholar] [CrossRef]
- Zhang, L.; Gao, H. Asynchronously switched control of switched linear systems with average dwell time. Automatica 2010, 46, 953–958. [Google Scholar] [CrossRef]
- Yuan, S.; Zhang, L.; Schutter, B.D.; Baldi, S. A novel Lyapunov function for a non-weighted L2 gain of asynchronously switched linear systems. Automatica 2018, 87, 310–317. [Google Scholar] [CrossRef] [Green Version]
- Wang, X.; Zong, G.; Sun, H. Asynchronous finite-time dynamic output feedback control for switched time-delay systems with nonlinear disturbances. IET Control Theory Appl. 2016, 10, 1142–1150. [Google Scholar] [CrossRef]
- Wang, R.; Xing, J.; Xiang, Z. Finite-time stability and stabilization of switched nonlinear systems with asynchronous switching. Appl. Math. Comput. 2018, 316, 229–244. [Google Scholar] [CrossRef]
- Lian, J.; Ge, Y. Robust H∞ output tracking control for switched systems under asynchronous switching. Nonlinear Anal. Hybrid Syst. 2013, 8, 57–68. [Google Scholar] [CrossRef]
- Wang, Y.E.; Sun, X.M.; Wu, B.W. Lyapunov–Krasovskii functionals for switched nonlinear input delay systems under asynchronous switching. Automatica 2015, 61, 126–133. [Google Scholar] [CrossRef]
- Shi, S.; Fei, Z.; Shi, Z.; Ren, S. Stability and stabilization for discrete-time switched systems with asynchronism. Appl. Math. Comput. 2018, 338, 520–536. [Google Scholar] [CrossRef]
- Liu, G.; Hua, C.; Guan, X. Asynchronous stabilization of switched neutral systems: A cooperative stabilizing approach. Nonlinear Anal. Hybrid Syst. 2019, 33, 380–392. [Google Scholar] [CrossRef]
- Fu, J.; Li, T.F.; Chai, T.; Su, C.Y. Sampled-data-based stabilization of switched linear neutral systems. Automatica 2016, 72, 92–99. [Google Scholar] [CrossRef]
- Huang, J.; Ma, X.; Zhao, X.; Che, H.; Chen, L. Interval observer design method for asynchronous switched systems. IET Control Theory Appl. 2020, 14, 1082–1090. [Google Scholar] [CrossRef]
- Ho, D.W.C.; Lu, G. Robust stabilization for a class of discrete-time nonlinear systems via output feedback: The unified LMI approach. Int. J. Control 2003, 76, 105–115. [Google Scholar] [CrossRef]
- Hespanha, P.; Morse, A.S. Stability of switched systems with average dwell-time. In Proceedings of the 38th IEEE Conference on Decision and Control (Cat. No.99CH36304), Phoenix, AZ, USA, 7–10 December 1999; Volume 3, pp. 2655–2660. [Google Scholar]
- Mahmoud, M. Robust Control and Filtering for Time-Delay Systems; Marcel Dekker: New York, NY, USA, 2000. [Google Scholar]
- Taghieh, A.; Shafiei, M.H. Static output feedback control of switched nonlinear systems with time-varying delay and parametric uncertainties under asynchronous switching. Trans. Inst. Meas. Control 2021, 43, 1156–1167. [Google Scholar] [CrossRef]
- Mancilla-Aguilar, J.L.; Haimovich, H.; Feketa, P. Uniform stability of nonlinear time-varying impulsive systems with eventually uniformly bounded impulse frequency. Nonlinear Anal. Hybrid Syst. 2020, 38, 100933. [Google Scholar] [CrossRef]
- Feketa, P.; Bajcinca, N. On robustness of impulsive stabilization. Automatica 2019, 104, 48–56. [Google Scholar] [CrossRef]
- Feketa, P.; Klinshov, V.; Lücken, L. A survey on the modeling of hybrid behaviors: How to account for impulsive jumps properly. Commun. Nonlinear Sci. Numer. Simul. 2021, 103, 105955. [Google Scholar] [CrossRef]
- Li, L.; Song, L.; Li, T.; Fu, J. Event-Triggered Output Regulation for Networked Flight Control System Based on an Asynchronous Switched System Approach. IEEE Trans. Syst. Man Cybern. Syst. 2020, 51, 7675–7684. [Google Scholar] [CrossRef]

















Publisher’s Note: MDPI stays neutral with regard to jurisdictional claims in published maps and institutional affiliations. |
© 2021 by the authors. Licensee MDPI, Basel, Switzerland. This article is an open access article distributed under the terms and conditions of the Creative Commons Attribution (CC BY) license (https://creativecommons.org/licenses/by/4.0/).
Share and Cite
Taghieh, A.; Mohammadzadeh, A.; Tavoosi, J.; Mobayen, S.; Rojsiraphisal, T.; Asad, J.H.; Zhilenkov, A. Observer-Based Control for Nonlinear Time-Delayed Asynchronously Switching Systems: A New LMI Approach. Mathematics 2021, 9, 2968. https://doi.org/10.3390/math9222968
Taghieh A, Mohammadzadeh A, Tavoosi J, Mobayen S, Rojsiraphisal T, Asad JH, Zhilenkov A. Observer-Based Control for Nonlinear Time-Delayed Asynchronously Switching Systems: A New LMI Approach. Mathematics. 2021; 9(22):2968. https://doi.org/10.3390/math9222968
Chicago/Turabian StyleTaghieh, Amin, Ardashir Mohammadzadeh, Jafar Tavoosi, Saleh Mobayen, Thaned Rojsiraphisal, Jihad H. Asad, and Anton Zhilenkov. 2021. "Observer-Based Control for Nonlinear Time-Delayed Asynchronously Switching Systems: A New LMI Approach" Mathematics 9, no. 22: 2968. https://doi.org/10.3390/math9222968
APA StyleTaghieh, A., Mohammadzadeh, A., Tavoosi, J., Mobayen, S., Rojsiraphisal, T., Asad, J. H., & Zhilenkov, A. (2021). Observer-Based Control for Nonlinear Time-Delayed Asynchronously Switching Systems: A New LMI Approach. Mathematics, 9(22), 2968. https://doi.org/10.3390/math9222968

