Platform Revenue Strategy Selection Considering Consumer Group Data Privacy Regulation
Abstract
:1. Introduction
2. Literature Review
2.1. Consumer Data Privacy and Social Welfare
2.2. Platform Business Model and Data Strategy
3. Problem Description and Model
3.1. Problem Description
3.2. Basic Assumption
3.3. Game Sequence
4. Equilibrium Analysis
4.1. Online Consumer Private Information Disclosure
4.2. Merchant’s Product Pricing and Profit
4.3. Platform Revenues
4.3.1. Consumer Data Privacy Use Is Regulated
4.3.2. Consumer Group Data Privacy Use Is Unregulated
5. Social Welfare Influence
5.1. The Influence of Platform Data Usage Level on Social Welfare
5.2. The Influence of Commission Rates on Social Welfare
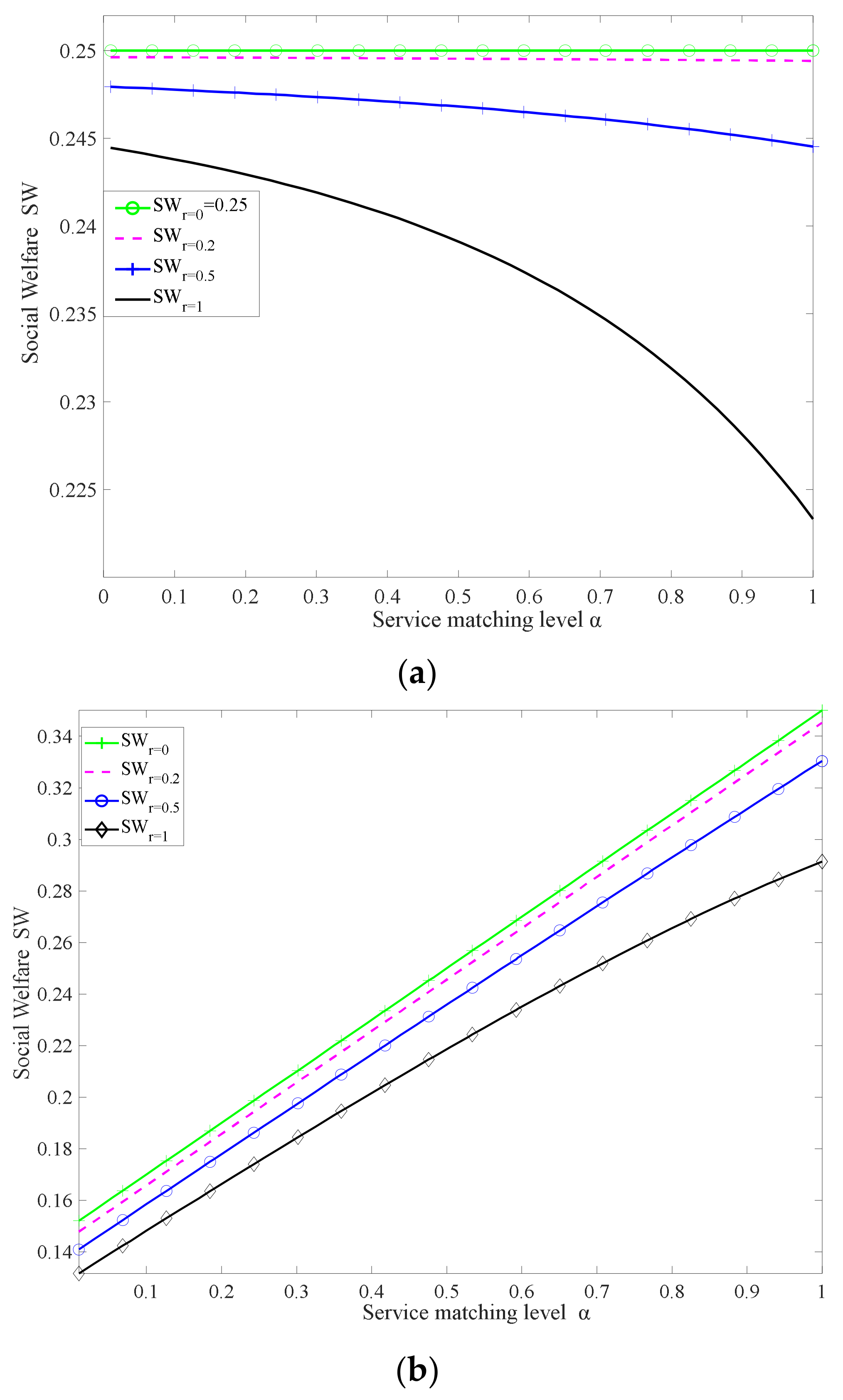
5.3. The Influence of Service Matching Level on Social Welfare
5.4. The Influence of Consumer Data Privacy on Social Welfare
5.5. Equilibrium Evolution Analysis
6. Conclusions
Author Contributions
Funding
Institutional Review Board Statement
Informed Consent Statement
Data Availability Statement
Conflicts of Interest
Appendix A
References
- Chen, J.Q.; Fan, M.; Li, M.Z. Advertising Versus Brokerage Model for Online Trading Platforms. Mis. Quart. 2016, 40, 575–596. [Google Scholar] [CrossRef]
- Nan, G.F.; Chu, C.Y.; Li, Z.Y.; Li, M.Q. Advertising or Brokerage Model for Social Platforms with a Commerce Feature. J. Electron. Commer. Res. 2021, 22, 155–177. [Google Scholar] [CrossRef]
- Shariat, S.; Orten, B.; Dasdan, A. Online evaluation of bid prediction models in a large-scale computational advertising platform: Decision making and insights. Knowl. Inf. Syst. 2017, 51, 37–60. [Google Scholar] [CrossRef]
- Choi, H.; Mela, C.F. Monetizing Online Marketplaces. Market Sci. 2019, 38, 948–972. [Google Scholar] [CrossRef]
- Barnett, J.M. The costs of free: Commoditization, bundling and concentration. J. Econ. 2018, 14, 1097–1120. [Google Scholar] [CrossRef]
- De Corniere, A.; de Nijs, R. Online advertising and privacy. Rand. J. Econ. 2016, 47, 48–72. [Google Scholar] [CrossRef]
- Ichihashi, S. Online Privacy and Information Disclosure by Consumers. Am. Econ. Rev. 2020, 110, 569–595. [Google Scholar] [CrossRef] [Green Version]
- Kummer, M.; Schulte, P. When Private Information Settles the Bill: Money and Privacy in Google’s Market for Smartphone Applications. Manag. Sci. 2019, 65, 3470–3494. [Google Scholar] [CrossRef] [Green Version]
- Loertscher, S.; Marx, L.M. Digital monopolies: Privacy protection or price regulation? Int. J. Ind. Organ 2020, 71, 102623. [Google Scholar] [CrossRef]
- Wang, Y.Y.; Yu, Z.Q.; Shen, L.; Dong, W.Q. E-Commerce Supply Chain Models under Altruistic Preference. Mathematics-Basel 2021, 9, 632. [Google Scholar] [CrossRef]
- Graef, I. Market Definition and Market Power in Data: The Case of Online Platforms. World Compet. 2015, 38, 473–505. [Google Scholar] [CrossRef]
- Chen, Y.M.; Hua, X.Y.; Maskus, K.E. International protection of consumer data*. J. Int. Econ. 2021, 132, 103517. [Google Scholar] [CrossRef]
- Acquisti, A.; Taylor, C.; Wagman, L. The Economics of Privacy. J. Econ. Lit. 2016, 54, 442–492. [Google Scholar] [CrossRef] [Green Version]
- Belanger, F.; James, T.L. A Theory of Multilevel Information Privacy Management for the Digital Era. Inform Syst. Res. 2020, 31, 510–536. [Google Scholar] [CrossRef]
- Spiekermann, S.; Acquisti, A.; Bohme, R.; Hui, K.L. The challenges of personal data markets and privacy. Electron Mark. 2015, 25, 161–167. [Google Scholar] [CrossRef] [Green Version]
- Shy, O.; Stenbacka, R. Customer Privacy and Competition. J. Econ. Manag. Strat. 2016, 25, 539–562. [Google Scholar] [CrossRef]
- Frik, A.; Gaudeul, A. A measure of the implicit value of privacy under risk. J. Consum. Mark. 2020, 37, 457–472. [Google Scholar] [CrossRef]
- Posner, R.A. The Law and Economics of Privacy—A Conference Sponsored by the Center-for-the-Study-of-the-Economy-and-the-State—Introduction. J. Legal. Stud. 1980, 9, 621–622. [Google Scholar] [CrossRef]
- Thirumalai, S.; Sinha, K.K. Customization of the online purchase process in electronic retailing and customer satisfaction: An online field study. J. Oper. Manag. 2011, 29, 477–487. [Google Scholar] [CrossRef]
- Chellappa, R.K.; Shivendu, S. Mechanism Design for “Free” but “No Free Disposal” Services: The Economics of Personalization Under Privacy Concerns. Manag. Sci. 2010, 56, 1766–1780. [Google Scholar] [CrossRef] [Green Version]
- Lv, H.J.; Wan, Y.H. Contracting for online personalisation services: An economic analysis. J. Oper. Res. Soc. 2019, 70, 1149–1163. [Google Scholar] [CrossRef]
- Al-Natour, S.; Cavusoglu, H.; Benbasat, I.; Aleem, U. An Empirical Investigation of the Antecedents and Consequences of Privacy Uncertainty in the Context of Mobile Apps. Inform. Syst. Res. 2020, 31, 1037–1063. [Google Scholar] [CrossRef]
- Tsai, J.Y.; Egelman, S.; Cranor, L.; Acquisti, A. The Effect of Online Privacy Information on Purchasing Behavior: An Experimental Study. Inform. Syst. Res. 2011, 22, 254–268. [Google Scholar] [CrossRef] [Green Version]
- Belanger, F.; Crossler, R.E. Privacy in the Digital Age: A Review of Information Privacy Research in Information Systems. Mis. Quart. 2011, 35, 1017–1041. [Google Scholar] [CrossRef] [Green Version]
- Kim, J.; Baskerville, R.L.; Ding, Y. Breaking the Privacy Kill Chain: Protecting Individual and Group Privacy Online. Inform. Syst. Front. 2020, 22, 171–185. [Google Scholar] [CrossRef]
- Li, H.; Nill, A. Online Behavioral Targeting: Are Knowledgeable Consumers Willing to Sell Their Privacy? J. Consum. Policy 2020, 43, 723–745. [Google Scholar] [CrossRef]
- Dinev, T.; Hart, P. An extended privacy calculus model for E-commerce transactions. Inform. Syst. Res. 2006, 17, 61–80. [Google Scholar] [CrossRef]
- Goldfarb, A.; Tucker, C.E. Privacy Regulation and Online Advertising. Manag. Sci. 2011, 57, 57–71. [Google Scholar] [CrossRef]
- Zhou, J.H.; Zhao, R.J.; Wang, B. Behavior-based price discrimination in a dual-channel supply chain with retailer’s information disclosure. Electron. Commer. Res. Appl. 2020, 39, 100916. [Google Scholar] [CrossRef]
- Hagiu, A.; Halaburda, H. Information and two-sided platform profits. Int. J. Ind. Organ 2014, 34, 25–35. [Google Scholar] [CrossRef] [Green Version]
- Tian, L.; Vakharia, A.J.; Tan, Y.; Xu, Y.F. Marketplace, Reseller, or Hybrid: Strategic Analysis of an Emerging E-Commerce Model. Prod. Oper. Manag. 2018, 27, 1595–1610. [Google Scholar] [CrossRef]
- Belhadj, N.; Laussel, D.; Resende, J. Marketplace or reselling? A signalling model. Inf. Econ. Policy 2020, 50. [Google Scholar] [CrossRef]
- Gal-Or, E.; Gal-Or, R.; Penmetsa, N. Can platform competition support market segmentation? Network externalities versus matching efficiency in equity crowdfunding markets. J. Econ. Manag. Strat. 2019, 28, 420–435. [Google Scholar] [CrossRef]
- Yi, S.M.; Yu, L.Y.; Zhang, Z.Y. Research on Pricing Strategy of Dual-Channel Supply Chain Based on Customer Value and Value-Added Service. Mathematics-Basel 2021, 9, 11. [Google Scholar] [CrossRef]
- Casadesus-Masanell, R.; Hervas-Drane, A. Competing with Privacy. Manag. Sci. 2015, 61, 229–246. [Google Scholar] [CrossRef] [Green Version]
- Bloch, F.; Demange, G. Taxation and privacy protection on Internet platforms. J. Public Econ. Theory 2018, 20, 52–66. [Google Scholar] [CrossRef] [Green Version]
- Morath, F.; Munster, J. Online Shopping and Platform Design with Ex Ante Registration Requirements. Manag. Sci. 2018, 64, 360–380. [Google Scholar] [CrossRef] [Green Version]
- Buckman, J.R.; Bockstedt, J.C.; Hashim, M.J. Relative Privacy Valuations Under Varying Disclosure Characteristics. Inform. Syst. Res. 2019, 30, 375–388. [Google Scholar] [CrossRef]
- Ackermann, S.; von Wangenheim, F. Behavioral Consequences of Customer-Initiated Channel Migration. J. Serv. Res. 2014, 17, 262–277. [Google Scholar] [CrossRef]












| Parameter | Definition |
|---|---|
| (1) Percentage of consumers who choose to shop online (); (2) The online disclosure level of each consumer is the same, so the level of the platform to obtain the overall market demand information is also θ. | |
| Platform service match parameters (), the matching level can also be explained as the service (efficiency) level of the platform. | |
| The level of consumers’ data privacy information used by the platform (). | |
| Consumer group information is a negative utility. | |
| The level at which the platform charges merchants a commission of the transaction (). | |
| The unit product price set for both online and offline (). | |
| Fixed costs of offline channels for merchants. | |
| Consumers’ willingness to pay. | |
| The revenue efficiency of platform’s use of consumer data privacy (). | |
| Consumer demand function. | |
| The utility function of the consumer. | |
| Merchants’ revenue. | |
| Platform’s revenue. | |
| Social welfare function. |
Publisher’s Note: MDPI stays neutral with regard to jurisdictional claims in published maps and institutional affiliations. |
© 2021 by the authors. Licensee MDPI, Basel, Switzerland. This article is an open access article distributed under the terms and conditions of the Creative Commons Attribution (CC BY) license (https://creativecommons.org/licenses/by/4.0/).
Share and Cite
Lin, X.; Liu, S.; Huang, X.; Luo, H.; Yu, S. Platform Revenue Strategy Selection Considering Consumer Group Data Privacy Regulation. Mathematics 2021, 9, 2904. https://doi.org/10.3390/math9222904
Lin X, Liu S, Huang X, Luo H, Yu S. Platform Revenue Strategy Selection Considering Consumer Group Data Privacy Regulation. Mathematics. 2021; 9(22):2904. https://doi.org/10.3390/math9222904
Chicago/Turabian StyleLin, Xudong, Shuilin Liu, Xiaoli Huang, Hanyang Luo, and Sumin Yu. 2021. "Platform Revenue Strategy Selection Considering Consumer Group Data Privacy Regulation" Mathematics 9, no. 22: 2904. https://doi.org/10.3390/math9222904
APA StyleLin, X., Liu, S., Huang, X., Luo, H., & Yu, S. (2021). Platform Revenue Strategy Selection Considering Consumer Group Data Privacy Regulation. Mathematics, 9(22), 2904. https://doi.org/10.3390/math9222904

