On Some Features of the Numerical Solving of Coefficient Inverse Problems for an Equation of the Reaction-Diffusion-Advection-Type with Data on the Position of a Reaction Front
Abstract
1. Introduction
2. Statement of the Inverse Problem and a Method for Its Solution Based on the Results of Applying the Methods of Asymptotic Analysis
2.1. Full Statement of the Inverse Problem
2.2. Reduced Statement of the Inverse Problem
2.3. Numerical Algorithm for Solving the Inverse Problem in the Reduced Statement
- Introduce uniform grids:
- Smooth the function given by a set of grid values , , using the smoothing cubic spline. Spline minimizes functional:Here, denotes the second derivative of the function . The smoothing parameter p can be selected based, for example, on the generalized residual principle [62]:where is the extremal of the functional .Next, redefine , ;
- Calculate :
- For each , calculate with a given accuracy using the analogue of the dichotomy method proposed above for solving the problems (6) and (7):
- (a)
- As an initial approximation, we chose and such that . The algorithm for calculating the auxiliary function is shown below;
- (b)
- Let us set the iteration number ;
- (c)
- Define the next approximation as ;
- (d)
- If , redefine ;
- (e)
- Redefine . If , then go to Item 4c. Otherwise, we stop the iterative process and define as the solution.
The algorithm for calculating the auxiliary function is as follows:- (a)
- Calculate the set of solutions of the problem (6) for the value on the sequence from S grids with numbers using some numerical scheme with a theoretical order of accuracy ;
- (b)
- Calculate at the nodes of the base grid :
- (c)
- Calculate the function by the formula:
Thus, we recover the unknown function pointwise at each point , .
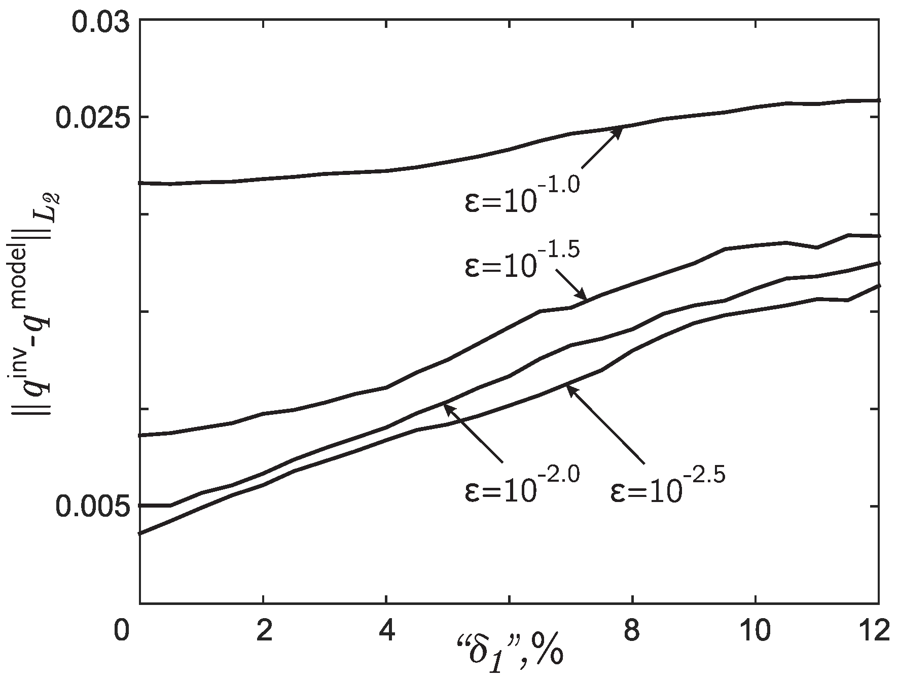
2.4. Numerical Experiments
- Let us solve the direct problem (1) numerically for the known . Thus, we obtain a set of grid values of the function , , for each , ;
- For each value , find the intersection of the functions and (see Figure 1b). This means that we have to find the root x of the following nonlinear equation:The found root x will be the true position of the moving front of the reaction at the moment of time ;
- Let us introduce noise into the simulated input data of the inverse problem as follows:where —a random number uniformly distributed on the segment and —the upper estimate of the experimental error in percent. Then, redefine .
3. Modified Statement of the Inverse Problem and a Method for Its Solution Based on Minimizing the Target Functional
3.1. Full Statement of the Inverse Problem with Additional Information
3.2. Numerical Algorithm for Solving the Inverse Problem in a Full Statement
- Let us set and , , as the initial approximation. The function can be any arbitrary function. A rational way of choosing it is indicated below:
- Let us find the solution of the direct problem:
- Let us find the solution of the adjoint problem:Here, is the Dirac delta function;
- Find the gradient of the functional (12):The derivative of the smoothing functional can be calculated either analytically or numerically;
- Let us find an approximate solution at the next iteration step:where is the descent parameter;
- Let us check the condition for stopping the iterative process (see [36]). If it holds, we set as a solution to the inverse problem. Otherwise, set , and go to Step 2.
3.3. Numerical Experiments
4. Conclusions
- When constructing a “good” initial approximation using the proposed algorithm, the error determining the difference between this approximation and the true solution was estimated only numerically. The question of the possibility of performing rigorous analytical estimates remains open and is of significant interest as a topic for a separate work;
- The question of strict conditions under which a “good” initial approximation is guaranteed to lie in the vicinity of the global minimum of the objective functional is open. The corresponding question is also of significant interest and may be the topic of a separate work devoted to the properties of global convergence [66,67,68,69,70]. Note that a globally converging algorithm means an algorithm that allows one to find the global minimum regardless of the choice of the initial approximation. In the event that a “good” initial approximation, chosen automatically using the proposed algorithm, lies in the vicinity of a global minimum, the algorithm will have the properties of global convergence;
Author Contributions
Funding
Institutional Review Board Statement
Informed Consent Statement
Acknowledgments
Conflicts of Interest
References
- Danilov, V.; Maslov, V.; Volosov, K. Mathematical Modelling of Heat and Mass Transfer Processes; Kluwer: Dordrecht, The Netherlands, 1995. [Google Scholar]
- Zeldovich, Y.; Barenblatt, G.; Librovich, V.; Makhviladze, G. The Mathematical Theory of Combustion and Explosions; Plenum: New York, NY, USA, 1985. [Google Scholar]
- Butuzov, V.; Vasil’eva, A. Singularly perturbed problems with boundary and interior layers: Theory and applications. Adv. Chem. Phys. 1997, 97, 47–179. [Google Scholar]
- Liu, Z.; Liu, Q.; Lin, H.C.; Schwartz, C.; Lee, Y.H.; Wang, T. Three-dimensional variational assimilation of MODIS aerosol optical depth: Implementation and application to a dust storm over East Asia. J. Geophys. Res. Atmos. 2010, 116, D23206. [Google Scholar] [CrossRef]
- Egger, H.; Fellner, K.; Pietschmann, J.F.; Tang, B.Q. Analysis and numerical solution of coupled volume-surface reaction–diffusion systems with application to cell biology. Appl. Math. Comput. 2018, 336, 351–367. [Google Scholar] [CrossRef]
- Yaparova, N. Method for determining particle growth dynamics in a two-component alloy. Steel Transl. 2020, 50, 95–99. [Google Scholar] [CrossRef]
- Lin, G.; Zhang, Y.; Cheng, X.; Gulliksson, M.; Forssén, P.; Fornstedt, T. A regularizing Kohn—Vogelius formulation for the model-free adsorption isotherm estimation problem in chromatography. Appl. Anal. 2018, 97, 13–40. [Google Scholar] [CrossRef]
- Wu, X.; Ni, M. Existence and stability of periodic contrast structure in reaction-advection-diffusion equation with discontinuous reactive and convective terms. Commun. Nonlinear Sci. Numer. Simul. 2020, 91, 105457. [Google Scholar] [CrossRef]
- Zhang, Y.; Lin, G.; Gulliksson, M.; Forssén, P.; Fornstedt, T.; Cheng, X. An adjoint method in inverse problems of chromatography. Inverse Probl. Sci. Eng. 2017, 25, 1112–1137. [Google Scholar] [CrossRef]
- Volpert, A.; Volpert, V.; Volpert, V. Traveling Wave Solutions of Parabolic Systems; American Mathematical Society: Providence, RI, USA, 2000. [Google Scholar]
- Meinhardt, H. Models of Biological Pattern Formation; Academic Press: London, UK, 1982. [Google Scholar]
- FitzHugh, R. Impulses and physiological states in theoretical model of nerve membrane. Biophys. J. 1961, 1, 445–466. [Google Scholar] [CrossRef]
- Murray, J. Mathematical Biology. I. An Introduction; Springer: New York, NY, USA, 2002. [Google Scholar] [CrossRef]
- Egger, H.; Pietschmann, J.F.; Schlottbom, M. Identification of nonlinear heat conduction laws. J. Inverse-Ill Probl. 2015, 23, 429–437. [Google Scholar] [CrossRef][Green Version]
- Gholami, A.; Mang, A.; Biros, G. An inverse problem formulation for parameter estimation of a reaction–diffusion model of low grade gliomas. J. Math. Biol. 2016, 72, 409–433. [Google Scholar] [CrossRef] [PubMed]
- Aliev, R.; Panfilov, A. A simple two-variable model of cardiac excitation. Chaos Solitons Fractals 1996, 7, 293–301. [Google Scholar] [CrossRef]
- Generalov, E.; Levashova, N.; Sidorova, A.; Chumankov, P.; Yakovenko, L. An autowave model of the bifurcation behavior of transformed cells in response to polysaccharide. Biophysics 2017, 62, 876–881. [Google Scholar] [CrossRef]
- Mang, A.; Gholami, A.; Davatzikos, C.; Biros, G. PDE-constrained optimization in medical image analysis. Optim. Eng. 2018, 19, 765–812. [Google Scholar] [CrossRef]
- Kabanikhin, S.; Shishlenin, M. Recovering a Time-Dependent Diffusion Coefficient from Nonlocal Data. Numer. Anal. Appl. 2018, 11, 38–44. [Google Scholar] [CrossRef]
- Mamkin, V.; Kurbatova, J.; Avilov, V.; Mukhartova, Y.; Krupenko, A.; Ivanov, D.; Levashova, N.; Olchev, A. Changes in net ecosystem exchange of CO2, latent and sensible heat fluxes in a recently clear-cut spruce forest in western Russia: Results from an experimental and modeling analysis. Environ. Res. Lett. 2016, 11, 125012. [Google Scholar] [CrossRef]
- Levashova, N.; Muhartova, J.; Olchev, A. Two approaches to describe the turbulent exchange within the atmospheric surface layer. Math. Model. Comput. Simul. 2017, 9, 697. [Google Scholar] [CrossRef]
- Levashova, N.; Sidorova, A.; Semina, A.; Ni, M. A spatio-temporal autowave model of shanghai territory development. Sustainability 2019, 11, 3658. [Google Scholar] [CrossRef]
- Isakov, V.; Kabanikhin, S.; Shananin, A.; Shishlenin, M.; Zhang, S. Algorithm for determining the volatility function in the Black-Scholes model. Comput. Math. Math. Phys. 2019, 59, 1753–1758. [Google Scholar] [CrossRef]
- Kadalbajoo, M.; Gupta, V. A brief survey on numerical methods for solving singularly perturbed problems. Appl. Math. Comput. 2010, 217, 3641–3716. [Google Scholar] [CrossRef]
- Kabanikhin, S. Definitions and examples of inverse and ill-posed problems. J. Inverse-Ill Probl. 2008, 16, 317–357. [Google Scholar] [CrossRef]
- Kabanikhin, S. Inverse and Ill-Posed Problems Theory and Applications; De Gruyter: Berlin, Germany, 2011. [Google Scholar]
- Jin, B.; Rundell, W. A tutorial on inverse problems for anomalous diffusion processes. Inverse Probl. 2015, 31, 035003. [Google Scholar] [CrossRef]
- Belonosov, A.; Shishlenin, M. Regularization methods of the continuation problem for the parabolic equation. Lect. Notes Comput. Sci. 2017, 10187, 220–226. [Google Scholar]
- Kaltenbacher, B.; Rundell, W. On the identification of a nonlinear term in a reaction–diffusion equation. Inverse Probl. 2019, 35, 115007. [Google Scholar] [CrossRef]
- Belonosov, A.; Shishlenin, M.; Klyuchinskiy, D. A comparative analysis of numerical methods of solving the continuation problem for 1D parabolic equation with the data given on the part of the boundary. Adv. Comput. Math. 2019, 45, 735–755. [Google Scholar] [CrossRef]
- Kaltenbacher, B.; Rundell, W. The inverse problem of reconstructing reaction–diffusion systems. Inverse Probl. 2020, 36, 065011. [Google Scholar] [CrossRef]
- Kumarasamy, S.; Soundararajan, G.; Natesan, B.B.; Balachandran, K. Inverse problem for the reaction diffusion system by optimization method. Appl. Math. Model. 2011, 35, 571–579. [Google Scholar] [CrossRef]
- Tatar, S.; Ulusoy, S. An inverse coefficient problem for a nonlinear reaction diffusion equation with a nonlinear source. Electron. J. Differ. Equ. 2015, 245, 2015. [Google Scholar]
- Kaltenbacher, B.; Rundell, W. Recovery of multiple coefficients in a reaction–diffusion equation. J. Math. Anal. Appl. 2019, 481, 123475. [Google Scholar] [CrossRef]
- Cristofol, M.; Roques, L. An inverse problem involving two coefficients in a nonlinear reaction–diffusion equation. Comptes Rendus Math. 2012, 350, 469–473. [Google Scholar] [CrossRef]
- Lukyanenko, D.; Borzunov, A.; Shishlenin, M. Solving coefficient inverse problems for nonlinear singularly perturbed equations of the reaction-diffusion-advection-type with data on the position of a reaction front. Commun. Nonlinear Sci. Numer. Simul. 2021, 99, 105824. [Google Scholar] [CrossRef]
- Lukyanenko, D.; Yeleskina, T.; Prigorniy, I.; Isaev, T.; Borzunov, A.; Shishlenin, M. Inverse problem of recovering the initial condition for a nonlinear equation of the reaction-diffusion-advection-type by data given on the position of a reaction front with a time delay. Mathematics 2021, 9, 342. [Google Scholar] [CrossRef]
- Zakharova, S.; Davydova, M.; Lukyanenko, D. Use of asymptotic analysis for solving the inverse problem of source parameters determination of nitrogen oxide emission in the atmosphere. Inverse Probl. Sci. Eng. 2021, 29, 365–377. [Google Scholar] [CrossRef]
- Lukyanenko, D.; Prigorniy, I.; Shishlenin, M. Some features of solving an inverse backward problem for a generalized Burgers’ equation. J. Inverse-Ill Probl. 2020, 28, 641–649. [Google Scholar] [CrossRef]
- Levashova, N.; Gorbachev, A.; Argun, R.; Lukyanenko, D. The problem of the non-uniqueness of the solution to the inverse problem of recovering the symmetric states of a bistable medium with data on the position of an autowave front. Symmetry 2021, 13, 860. [Google Scholar] [CrossRef]
- Argun, R.; Gorbachev, A.; Levashova, N.; Lukyanenko, D. Inverse problem for an equation of the reaction–diffusion–advection type with data on the position of a reaction front: Features of the solution in the case of a nonlinear integral equation in a reduced statement. Mathematics 2021, 9, 2342. [Google Scholar] [CrossRef]
- Vasil’eva, A.; Butuzov, V.; Nefedov, N. Singularly perturbed problems with boundary and internal layers. Proc. Steklov Inst. Math. 2010, 268, 258–273. [Google Scholar] [CrossRef]
- Henkin, G.M.; Shananin, A.A.; Tumanov, A.T. Estimates for solutions of Burgers type equations and some applications. J. Math. Pures Appl. 2004, 84, 717–752. [Google Scholar] [CrossRef][Green Version]
- Henkin, G.M. Asymptotic structure for solutions of the Cauchy problem for Burgers type equations. J. Fixed Point Theory Appl. 2007, 1, 239–291. [Google Scholar] [CrossRef]
- Mitidieri, E.; Pohozaev, S. A Priori Estimates and Blow-Up of Solutions to Nonlinear Partial Differential Equations and Inequalities; Trudy Mat. Inst. Steklova: Moscow, Russia, 2001; Volume 234, pp. 3–383. [Google Scholar]
- Levine, H.A. Some nonexistence and instability theorems for solutions of formally parabolic equations of the form Put = −Au + F(u). Arch. Ration. Mech. Anal. 1973, 51, 371–386. [Google Scholar] [CrossRef]
- Kalantarov, V.K.; Ladyzhenskaya, O.A. The occurrence of collapse for quasilinear equations of parabolic and hyperbolic types. Nauch. Semin. Leningr. Otd. Mat. Inst. Steklova 1977, 69, 77–102. [Google Scholar] [CrossRef]
- Sveshnikov, A.G.; Al’shin, A.B.; Korpusov, M.O.; Pletner, Y.D. Linear and Nonlinear Equations of Sobolev Type; Fizmatlit: Moscow, Russia, 2007. [Google Scholar]
- Samarskii, A.A.; Galaktionov, V.A.; Kurdyumov, S.P.; Mikhailov, A.P. Blow-Up in Quasilinear Wave Equations; Nauka: Moscow, Russia, 1987. [Google Scholar]
- Galaktionov, V.; Pohozaev, S. Third-order nonlinear dispersive equations: Shocks, rarefaction, and blowup waves. Comput. Math. Math. Phys. 2008, 48, 1784–1810. [Google Scholar] [CrossRef]
- Pelinovsky, D.; Xu, C. On numerical modelling and the blow-up behavior of contact lines with a 180 degrees contact angle. J. Eng. Math. 2015, 92, 31–44. [Google Scholar] [CrossRef]
- Cangiani, A.; Georgoulis, E.; Kyza, I.; Metcalfe, S. Adaptivity and blow-up detection for nonlinear evolution problems. SIAM J. Sci. Comput. 2015, 38, A3833–A3856. [Google Scholar] [CrossRef]
- Haynes, R.; Turner, C. A numerical and theoretical study of blow-up for a system of ordinary differential equations using the Sundman transformation. Atl. Electron. J. Math. 2007, 2, 1–13. [Google Scholar]
- Kohn, R.; Berger, M. A rescaling algorithm for the numerical calculation of blowing-up solutions. Commun. Pure Appl. Math. 1988, 41, 841–863. [Google Scholar]
- Alshin, A.; Kalitkin, N.; Koryakin, P. Diagnostics of singularities of exact solutions in computations with error control. Comput. Math. Math. Phys. 2005, 45, 1769–1779. [Google Scholar]
- Alshin, A.; Alshina, E. Numerical diagnosis of blow-up of solutions of pseudoparabolic equations. J. Math. Sci. 2008, 148, 143–162. [Google Scholar] [CrossRef]
- Hoffman, J.; Johnson, C. Blow up of incompressible Euler solutions. BIT Numer. Math. 2008, 48, 285–307. [Google Scholar] [CrossRef]
- Nefedov, N.; Bozhevolnov, U. Asymptotics of the front motion in the reaction–diffusion–advection problem. Comput. Math. Math. Phys. 2010, 50, 264–273. [Google Scholar]
- Korpusov, M.; Lukyanenko, D.; Panin, A.; Yushkov, E. Blow-up for one Sobolev problem: Theoretical approach and numerical analysis. J. Math. Anal. Appl. 2016, 442, 451–468. [Google Scholar] [CrossRef]
- Korpusov, M.; Lukyanenko, D.; Panin, A. Blow-up for Joseph-Egri equation: Theoretical approach and numerical analysis. Math. Methods Appl. Sci. 2020, 43, 6771–6800. [Google Scholar] [CrossRef]
- Korpusov, M.; Lukyanenko, D.; Panin, A.; Shlyapugin, G. On the blow-up phenomena for a 1-dimensional equation of ion sound waves in a plasma: Analytical and numerical investigation. Math. Methods Appl. Sci. 2018, 41, 2906–2929. [Google Scholar] [CrossRef]
- Tikhonov, A.N.; Goncharsky, A.V.; Stepanov, V.V.; Yagola, A.G. Numerical Methods for the Solution of Ill-Posed Problems; Kluwer Academic Publishers: Dordrecht, The Netherlands, 1995. [Google Scholar]
- Isakov, V. Inverse Problems for Partial Differential Equations; Springer: New York, NY, USA, 2006. [Google Scholar]
- Kabanikhin, S.; Shishlenin, M. Quasi-solution in inverse coefficient problems. J. Inverse-Ill Probl. 2008, 16, 705–713. [Google Scholar] [CrossRef]
- Klyuchinskiy, D.; Novikov, N.; Shishlenin, M. CPU-time and RAM memory optimization for solving dynamic inverse problems using gradient-based approach. J. Comput. Phys. 2021, 439, 110374. [Google Scholar] [CrossRef]
- Klibanov, M.; Li, J.; Zhang, W. Convexification for an inverse parabolic problem. Inverse Probl. 2020, 36, 085008. [Google Scholar] [CrossRef]
- Klibanov, M.; Nguyen, D.L. Convergence of a series associated with the convexification method for coefficient inverse problems. J. Inverse-Ill Probl. 2020, 29. [Google Scholar] [CrossRef]
- Bakushinskii, A.; Kokurin, M.; Kokurin, M. Direct and Converse Theorems for Iterative Methods of Solving Irregular Operator Equations and Finite Difference Methods for Solving Ill-Posed Cauchy Problems. Comput. Math. Math. Phys. 2020, 60, 915–937. [Google Scholar] [CrossRef]
- Egger, H.; Engl, H.; Klibanov, M. Global uniqueness and Holder stability for recovering a nonlinear source term in a parabolic equation. Inverse Probl. 2005, 21, 271–290. [Google Scholar] [CrossRef]
- Klibanov, M.; Kamburg, V. Globally strictly convex cost functional for an inverse parabolic problem. Math. Meth. Appl. Sci. 2015, 39, 930–940. [Google Scholar] [CrossRef]
- Yagola, A.; Leonov, A.; Titarenko, V. Data errors and an error estimation for ill-posed problems. Inverse Probl. Eng. 2002, 10, 117–129. [Google Scholar] [CrossRef]
- Titarenko, V.; Yagola, A. Error estimation for ill-posed problems on piecewise convex functions and sourcewise represented sets. J. Inverse-Ill Probl. 2008, 16, 625–638. [Google Scholar] [CrossRef]
- Leonov, A. Which of inverse problems can have a priori approximate solution accuracy estimates comparable in order with the data accuracy. Numer. Anal. Appl. 2014, 7, 284–292. [Google Scholar] [CrossRef]
- Leonov, A. A posteriori accuracy estimations of solutions to ill-posed inverse problems and extra-optimal regularizing algorithms for their solution. Numer. Anal. Appl. 2012, 5, 68–83. [Google Scholar] [CrossRef]
- Kokurin, M. Accuracy estimates of regularization methods and conditional well-posedness of nonlinear optimization problems. J. Inverse-Ill Probl. 2018, 26, 789–797. [Google Scholar] [CrossRef]
- Kokurin, M. Ill-Posed Nonlinear Optimization Problems and Uniform Accuracy Estimates of Regularization Methods. Numer. Funct. Anal. Optim. 2020, 41, 1887–1900. [Google Scholar] [CrossRef]
- Zhang, Y.; Gong, R. Second order asymptotical regularization methods for inverse problems in partial differential equations. J. Comput. Appl. Math. 2020, 375. [Google Scholar] [CrossRef]
- Lin, G.; Cheng, X.; Zhang, Y. A parametric level set based collage method for an inverse problem in elliptic partial differential equations. J. Comput. Appl. Math. 2018, 340, 101–121. [Google Scholar] [CrossRef]
- Gulliksson, M.; Holmbom, A.; Persson, J.; Zhang, Y. A separating oscillation method of recovering the G-limit in standard and non-standard homogenization problems. Inverse Probl. 2016, 32, 025005. [Google Scholar] [CrossRef]
- Klibanov, M.; Li, J.; Zhang, W. Linear lavrent’ev integral equation for the numerical solution of a nonlinear coefficient inverse problem. SIAM J. Appl. Math. 2021, 81, 1954–1978. [Google Scholar] [CrossRef]
- Chaikovskii, D.; Zhang, Y. Convergence analysis for forward and inverse problems in singularly perturbed time-dependent reaction-advection-diffusion equations. arXiv 2021, arXiv:2106.15249. [Google Scholar]









Publisher’s Note: MDPI stays neutral with regard to jurisdictional claims in published maps and institutional affiliations. |
© 2021 by the authors. Licensee MDPI, Basel, Switzerland. This article is an open access article distributed under the terms and conditions of the Creative Commons Attribution (CC BY) license (https://creativecommons.org/licenses/by/4.0/).
Share and Cite
Argun, R.; Gorbachev, A.; Lukyanenko, D.; Shishlenin, M. On Some Features of the Numerical Solving of Coefficient Inverse Problems for an Equation of the Reaction-Diffusion-Advection-Type with Data on the Position of a Reaction Front. Mathematics 2021, 9, 2894. https://doi.org/10.3390/math9222894
Argun R, Gorbachev A, Lukyanenko D, Shishlenin M. On Some Features of the Numerical Solving of Coefficient Inverse Problems for an Equation of the Reaction-Diffusion-Advection-Type with Data on the Position of a Reaction Front. Mathematics. 2021; 9(22):2894. https://doi.org/10.3390/math9222894
Chicago/Turabian StyleArgun, Raul, Alexandr Gorbachev, Dmitry Lukyanenko, and Maxim Shishlenin. 2021. "On Some Features of the Numerical Solving of Coefficient Inverse Problems for an Equation of the Reaction-Diffusion-Advection-Type with Data on the Position of a Reaction Front" Mathematics 9, no. 22: 2894. https://doi.org/10.3390/math9222894
APA StyleArgun, R., Gorbachev, A., Lukyanenko, D., & Shishlenin, M. (2021). On Some Features of the Numerical Solving of Coefficient Inverse Problems for an Equation of the Reaction-Diffusion-Advection-Type with Data on the Position of a Reaction Front. Mathematics, 9(22), 2894. https://doi.org/10.3390/math9222894

