A Dimension Splitting Generalized Interpolating Element-Free Galerkin Method for the Singularly Perturbed Steady Convection–Diffusion–Reaction Problems
Abstract
:1. Introduction
2. The DS-GIEFG Method for CDR Problems
2.1. The Trial Functions for the DS-GIEFG Method
- (a)
- If , then .
- (b)
- if , then .
- (c)
- if , then
2.2. Discretization Process on the Splitting Plane
2.3. Assembling the Discrete Equations of the Whole Problem Domain
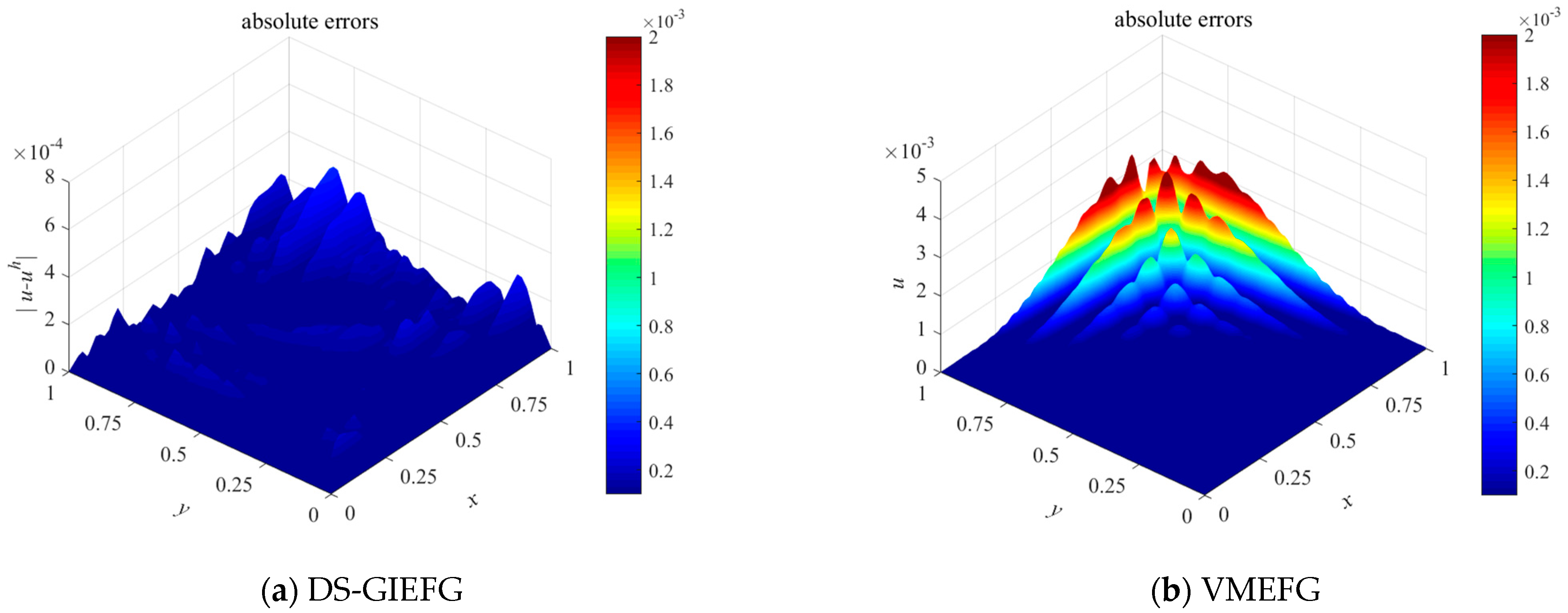
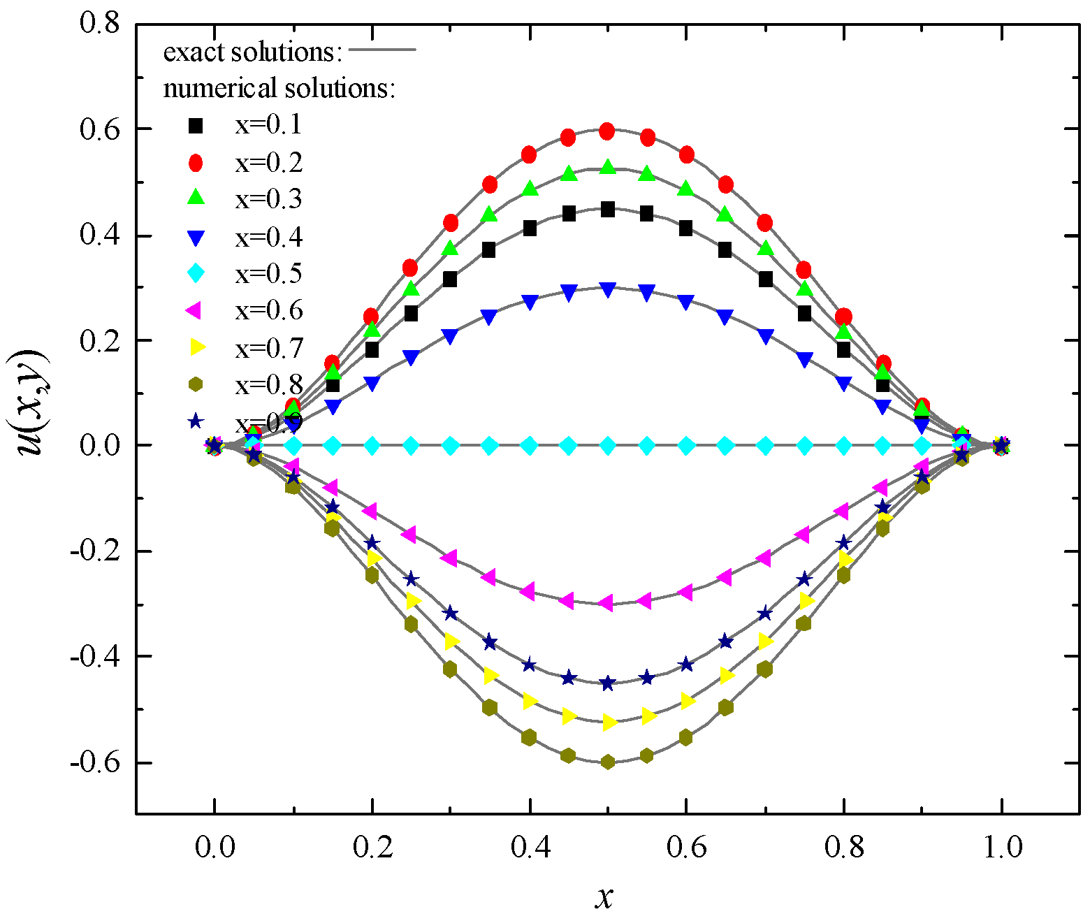
3. Numerical Examples
4. Conclusions
Author Contributions
Funding
Data Availability Statement
Conflicts of Interest
References
- Liu, Z.; Wei, G.; Wang, Z. Numerical analysis of functionally graded materials using reproducing kernel particle method. Int. J. Appl. Mech. 2019, 11, 1950060. [Google Scholar] [CrossRef]
- Liu, Z.; Wei, G.; Wang, Z.; Qiao, J. The meshfree analysis of geometrically nonlinear problem based on radial basis reproducing kernel particle method. Int. J. Appl. Mech. 2020, 12, 2050044. [Google Scholar] [CrossRef]
- Hosseini, S.; Rahimi, G. Nonlinear bending analysis of hyperelastic plates using FSDT and meshless collocation method based on radial basis function. Int. J. Appl. Mech. 2021, 13, 2150007. [Google Scholar] [CrossRef]
- Selim, B.A.; Liu, Z. Impact analysis of functionally-graded graphene nanoplatelets-reinforced composite plates laying on Winkler-Pasternak elastic foundations applying a meshless approach. Eng. Struct. 2021, 241, 112453. [Google Scholar] [CrossRef]
- Fu, Z.; Zhang, J.; Li, P.; Zheng, J. A semi-lagrangian meshless framework for numerical solutions of two-dimensional sloshing phenomenon. Eng. Anal. Bound. Elem. 2020, 112, 58–67. [Google Scholar] [CrossRef]
- Wang, J.; Sun, F. A hybrid variational multiscale element-free Galerkin method for convection-diffusion problems. Int. J. Appl. Mech. 2019, 11, 1950063. [Google Scholar] [CrossRef]
- Oruç, Ö. A meshless multiple-scale polynomial method for numerical solution of 3d convection-diffusion problems with variable coefficients. Eng. Comput. 2020, 36, 1215–1228. [Google Scholar] [CrossRef]
- Lancaster, P.; Salkauskas, K. Surfaces generated by moving least squares methods. Math. Comput. 1981, 37, 141–158. [Google Scholar] [CrossRef]
- Cheng, J. Residential land leasing and price under public land ownership. J. Urban Plan. Dev. 2021, 147, 05021009. [Google Scholar] [CrossRef]
- Cheng, J. Analysis of commercial land leasing of the district governments of Beijing in China. Land Use Policy 2021, 100, 104881. [Google Scholar] [CrossRef]
- Cheng, J. Analyzing the factors influencing the choice of the government on leasing different types of land uses: Evidence from Shanghai of China. Land Use Policy 2020, 90, 104303. [Google Scholar] [CrossRef]
- Cheng, J. Data analysis of the factors influencing the industrial land leasing in shanghai based on mathematical models. Math. Probl. Eng. 2020, 2020, 9346863. [Google Scholar] [CrossRef] [Green Version]
- Zheng, G.; Cheng, Y. The improved element-free Galerkin method for diffusional drug release problems. Int. J. Appl. Mech. 2020, 12, 2050096. [Google Scholar] [CrossRef]
- Belytschko, T.; Lu, Y.Y.; Gu, L. Element-free Galerkin methods. Int. J. Numer. Methods Eng. 1994, 37, 229–256. [Google Scholar] [CrossRef]
- Wang, J.; Sun, F.; Xu, Y. Research on error estimations of the interpolating boundary element free-method for two-dimensional potential problems. Math. Probl. Eng. 2020, 2020, 6378745. [Google Scholar] [CrossRef]
- Wang, J.; Wang, J.; Sun, F.; Cheng, Y. An interpolating boundary element-free method with nonsingular weight function for two-dimensional potential problems. Int. J. Comput. Methods 2013, 10, 1350043. [Google Scholar] [CrossRef]
- Wang, J.; Sun, F. An interpolating meshless method for the numerical simulation of the time-fractional diffusion equations with error estimates. Eng. Comput. 2019, 37, 730–752. [Google Scholar] [CrossRef]
- Liu, F.; Wu, Q.; Cheng, Y. A meshless method based on the nonsingular weight functions for elastoplastic large deformation problems. Int. J. Appl. Mech. 2019, 11, 1950006. [Google Scholar] [CrossRef]
- Nguyen, V.P.; Rabczuk, T.; Bordas, S.; Duflot, M. Meshless methods: A review and computer implementation aspects. Math. Comput. Simul. 2008, 79, 763–813. [Google Scholar] [CrossRef] [Green Version]
- Silling, S.A.; Lehoucq, R.B. Peridynamic theory of solid mechanics. Adv. Appl. Mech. 2010, 44, 73–168. [Google Scholar]
- Silling, S.A.; Askari, E. A meshfree method based on the peridynamic model of solid mechanics. Comput. Struct. 2005, 83, 1526–1535. [Google Scholar] [CrossRef]
- Zhang, T.; Li, X. A generalized element-free Galerkin method for stokes problem. Comput. Math. Appl. 2018, 75, 3127–3138. [Google Scholar] [CrossRef]
- Wang, J.; Sun, F. A hybrid generalized interpolated element-free Galerkin method for Stokes problems. Eng. Anal. Bound. Elem. 2020, 111, 88–100. [Google Scholar] [CrossRef]
- Zhang, T.; Li, X. A novel variational multiscale interpolating element-free Galerkin method for generalized Oseen problems. Comput. Struct. 2018, 209, 14–29. [Google Scholar] [CrossRef]
- Zhang, L.; Ouyang, J.; Zhang, X.; Zhang, W. On a multiscale element-free Galerkin method for the Stokes problem. Appl. Math. Comput. 2008, 203, 745–753. [Google Scholar]
- Abbaszadeh, M.; Dehghan, M.; Navon, I.M. A proper orthogonal decomposition variational multiscale meshless interpolating element-free Galerkin method for incompressible magnetohydrodynamics flow. Int. J. Numer. Methods Fluids 2020, 92, 1415–1436. [Google Scholar] [CrossRef]
- Zhang, X.; Zhang, P.; Qin, W.; Shi, X. An adaptive variational multiscale element free Galerkin method for convection–diffusion equations. Eng. Comput. 2021, 1–18. [Google Scholar] [CrossRef]
- Dehghan, M.; Abbaszadeh, M. Variational multiscale element free Galerkin (VMEFG) and local discontinuous Galerkin (LDG) methods for solving two-dimensional brusselator reaction–diffusion system with and without cross-diffusion. Comput. Methods Appl. Mech. Eng. 2016, 300, 770–797. [Google Scholar] [CrossRef]
- Meng, Z.; Cheng, H.; Ma, L.; Cheng, Y. The dimension splitting element-free Galerkin method for 3d transient heat conduction problems. Sci. China Phys. Mech. 2019, 62, 1–12. [Google Scholar] [CrossRef]
- Wu, Q.; Peng, M.J.; Fu, Y.D.; Cheng, Y.M. The dimension splitting interpolating element-free Galerkin method for solving three-dimensional transient heat conduction problems. Eng. Anal. Bound. Elem. 2021, 128, 326–341. [Google Scholar] [CrossRef]
- Cheng, H.; Peng, M.; Cheng, Y.; Meng, Z. The hybrid complex variable element-free Galerkin method for 3d elasticity problems. Eng. Struct. 2020, 219, 110835. [Google Scholar] [CrossRef]
- Li, K.; Huang, A.; Zhang, W.L. A dimension split method for the 3-d compressible Navier–Stokes equations in turbomachine. Commun. Numer. Methods Eng. 2002, 18, 1–14. [Google Scholar] [CrossRef]
- Wu, Q.; Peng, M.; Cheng, Y. The interpolating dimension splitting element-free Galerkin method for 3d potential problems. Eng. Comput. 2021, 1–15. [Google Scholar] [CrossRef]
- Meng, Z.J.; Cheng, H.; Ma, L.D.; Cheng, Y.M. The dimension split element-free Galerkin method for three-dimensional potential problems. Acta Mech. Sin. 2018, 34, 462–474. [Google Scholar] [CrossRef]
- Bansal, K.; Sharma, K.K. Parameter uniform numerical scheme for time dependent singularly perturbed convection-diffusion-reaction problems with general shift arguments. Numer. Algorithms 2017, 75, 113–145. [Google Scholar] [CrossRef]
- Kaya, A. Finite difference approximations of multidimensional unsteady convection-diffusion-reaction equations. J. Comput. Phys. 2015, 285, 331–349. [Google Scholar] [CrossRef] [Green Version]
- Zhao, S.; Xiao, X.; Tan, Z.; Feng, X. Two types of spurious oscillations at layers diminishing methods for convection-diffusion–reaction equations on surface. Numer. Heat. Transf. A Appl. 2018, 74, 1387–1404. [Google Scholar] [CrossRef]
- Han, H.; Huang, Z. Tailored finite point method based on exponential bases for convection-diffusion-reaction equation. Math. Comput. 2013, 82, 213–226. [Google Scholar] [CrossRef]
- Lin, R.; Ye, X.; Zhang, S.; Zhu, P. A weak Galerkin finite element method for singularly perturbed convection-diffusion-reaction problems. SIAM J. Numer. Anal. 2018, 56, 1482–1497. [Google Scholar] [CrossRef]
- Fendoğlu, H.; Bozkaya, C.; Tezer-Sezgin, M. Dbem and DRBEM solutions to 2d transient convection-diffusion-reaction type equations. Eng. Anal. Bound. Elem. 2018, 93, 124–134. [Google Scholar] [CrossRef]
- Lukyanenko, D.V.; Shishlenin, M.A.; Volkov, V.T. Asymptotic analysis of solving an inverse boundary value problem for a nonlinear singularly perturbed time-periodic reaction-diffusion-advection equation. J. Inverse Ill Posed Probl. 2019, 27, 745–758. [Google Scholar] [CrossRef]
- Lukyanenko, D.V.; Grigorev, V.B.; Volkov, V.T.; Shishlenin, M.A. Solving of the coefficient inverse problem for a nonlinear singularly perturbed two-dimensional reaction—Diffusion equation with the location of moving front data. Comput. Math. Appl. 2019, 77, 1245–1254. [Google Scholar] [CrossRef]
- Chandru, M.; Das, P.; Ramos, H. Numerical treatment of two-parameter singularly perturbed parabolic convection diffusion problems with non-smooth data. Math. Methods Appl. Sci. 2018, 41, 5359–5387. [Google Scholar] [CrossRef]
- Wu, Y.; Zhang, N.; Yuan, J. A robust adaptive method for singularly perturbed convection-diffusion problem with two small parameters. Comput. Math. Appl. 2013, 66, 996–1009. [Google Scholar] [CrossRef]
- Kaya, A.; Sendur, A. Finite difference approximations of multidimensional convection–diffusion–reaction problems with small diffusion on a special grid. J. Comput. Phys. 2015, 300, 574–591. [Google Scholar] [CrossRef] [Green Version]
- Lin, J.; Reutskiy, S. A cubic b-spline semi-analytical algorithm for simulation of 3d steady-state convection-diffusion-reaction problems. Appl. Math. Comput. 2020, 371, 124944. [Google Scholar] [CrossRef]
- Gharibi, Z.; Dehghan, M. Convergence analysis of weak Galerkin flux-based mixed finite element method for solving singularly perturbed convection-diffusion-reaction problem. Appl. Numer. Math. 2021, 163, 303–316. [Google Scholar] [CrossRef]
- Lin, J.; Reutskiy, S.Y.; Lu, J. A novel meshless method for fully nonlinear advection–diffusion-reaction problems to model transfer in anisotropic media. Appl. Math. Comput. 2018, 339, 459–476. [Google Scholar] [CrossRef]
- Hidayat, M.I.P. Meshless finite difference method with b-splines for numerical solution of coupled advection-diffusion-reaction problems. Int. J. Therm. Sci. 2021, 165, 106933. [Google Scholar] [CrossRef]
- Zhang, X.; Xiang, H. Variational multiscale element free Galerkin method for convection-diffusion-reaction equation with small diffusion. Eng. Anal. Bound. Elem. 2014, 46, 85–92. [Google Scholar] [CrossRef]
- Zhang, P.; Zhang, X.; Xiang, H.; Song, L. A fast and stabilized meshless method for the convection-dominated convection-diffusion problems. Numer. Heat. Transf. A Appl. 2016, 70, 420–431. [Google Scholar] [CrossRef]
- Li, J.; Feng, X.; He, Y. Rbf-based meshless local Petrov Galerkin method for the multi-dimensional convection-diffusion-reaction equation. Eng. Anal. Bound. Elem. 2019, 98, 46–53. [Google Scholar] [CrossRef]
- Wang, F.; Wang, C.; Chen, Z. Local knot method for 2d and 3d convection–diffusion–reaction equations in arbitrary domains. Appl. Math. Lett. 2020, 105, 106308. [Google Scholar] [CrossRef]
- Liu, S.; Li, P.; Fan, C.; Gu, Y. Localized method of fundamental solutions for two-and three-dimensional transient convection-diffusion-reaction equations. Eng. Anal. Bound. Elem. 2021, 124, 237–244. [Google Scholar] [CrossRef]
- Dehghan, M.; Abbaszadeh, M. Proper orthogonal decomposition variational multiscale element free Galerkin (POD-VMEFG) meshless method for solving incompressible Navier–Stokes equation. Comput. Methods Appl. Mech. Eng. 2016, 311, 856–888. [Google Scholar] [CrossRef]
- Zhang, T.; Li, X. A variational multiscale interpolating element-free Galerkin method for convection-diffusion and stokes problems. Eng. Anal. Bound. Elem. 2017, 82, 185–193. [Google Scholar] [CrossRef]
- Chen, G.; Feng, M.; Xie, C. A new projection-based stabilized method for steady convection-dominated convection-diffusion equations. Appl. Math. Comput. 2014, 239, 89–106. [Google Scholar] [CrossRef]
- Gao, F.; Zhang, S.; Zhu, P. Modified weak Galerkin method with weakly imposed boundary condition for convection-dominated diffusion equations. Appl. Numer. Math. 2020, 157, 490–504. [Google Scholar] [CrossRef]















| Nodes | DS-GIEFG | VMEFG | EFG | Ref. [58] |
|---|---|---|---|---|
| 9 × 9 | 7.90 × 10−4 | 1.10 × 10−1 | 4.02 × 10−1 | 3.80 × 10−3 |
| 17 × 17 | 1.81 × 10−4 | 1.36 × 10−2 | 1.14 × 10−1 | 1.31 × 10−3 |
| 33 × 33 | 1.37 × 10−5 | 4.74 × 10−4 | 5.29 × 10−3 | 4.37 × 10−4 |
| 65 × 65 | 9.46 × 10−8 | 6.91 × 10−5 | 3.89 × 10−4 | 1.16 × 10−4 |
| 129 × 129 | 1.29 × 10−8 | 1.52 × 10−5 | 7.75 × 10−5 | 2.96 × 10−5 |
Publisher’s Note: MDPI stays neutral with regard to jurisdictional claims in published maps and institutional affiliations. |
© 2021 by the authors. Licensee MDPI, Basel, Switzerland. This article is an open access article distributed under the terms and conditions of the Creative Commons Attribution (CC BY) license (https://creativecommons.org/licenses/by/4.0/).
Share and Cite
Sun, F.; Wang, J.; Kong, X.; Cheng, R. A Dimension Splitting Generalized Interpolating Element-Free Galerkin Method for the Singularly Perturbed Steady Convection–Diffusion–Reaction Problems. Mathematics 2021, 9, 2524. https://doi.org/10.3390/math9192524
Sun F, Wang J, Kong X, Cheng R. A Dimension Splitting Generalized Interpolating Element-Free Galerkin Method for the Singularly Perturbed Steady Convection–Diffusion–Reaction Problems. Mathematics. 2021; 9(19):2524. https://doi.org/10.3390/math9192524
Chicago/Turabian StyleSun, Fengxin, Jufeng Wang, Xiang Kong, and Rongjun Cheng. 2021. "A Dimension Splitting Generalized Interpolating Element-Free Galerkin Method for the Singularly Perturbed Steady Convection–Diffusion–Reaction Problems" Mathematics 9, no. 19: 2524. https://doi.org/10.3390/math9192524
APA StyleSun, F., Wang, J., Kong, X., & Cheng, R. (2021). A Dimension Splitting Generalized Interpolating Element-Free Galerkin Method for the Singularly Perturbed Steady Convection–Diffusion–Reaction Problems. Mathematics, 9(19), 2524. https://doi.org/10.3390/math9192524

