A Massively Parallel Hybrid Finite Volume/Finite Element Scheme for Computational Fluid Dynamics
Abstract
:1. Introduction
2. Mathematical Models and Semi-Discretization in Time
2.1. Incompressible Navier-Stokes Equations
2.2. Weakly Compressible Flows
2.3. Compressible Navier-Stokes Equations for All Mach Number Flows
2.4. Shallow Water Equations
2.5. General Formulation
- Incompressible Navier-Stokes equations:
- Weakly compressible flows:Let us remark that in this case, an additional term, , is computed between the approximation of the transport equations and the second order wave equation.
- Compressible Navier-Stokes equations for all Mach number flows:
- Shallow water equations:
3. Spatial Discretization
- Transport-diffusion stage. A first intermediate approximation is given for the conserved variables by solving (35) using explicit finite volume methods.
- Interpolation stage. For spatial discretization, two staggered grids are employed for each numerical method, so interpolation of some variables between the two different grids is needed.
- Second order pressure equation stage. System (36) is approximated using implicit continuous finite elements.
- Correction stage. The intermediate approximation of the conservative variables obtained in the first stage is updated with the solution of the second order pressure system.
3.1. Staggered Unstructured Grid
- is the set of neighboring nodes of a node , which are the barycentres of the dual cells sharing an edge/face with .
- is the boundary of cell and is its outward unit normal.
- is the edge/face between cells , and . is the barycentre of (Figure 1 right), and .
- is the area/volume of cell .
- is the outward unit normal vector to . We define , where, represents the length/area of .
3.2. Transport-Diffusion Stage
- Step 1.
- Piecewise polynomial reconstruction of the data in the neighboring of each edge/face of the cell. To circumvent Godunov’s theorem and obtain a stable scheme, the gradients for the definition of the polynomial are selected using a nonlinear Essentially Non-Oscillatory (ENO) methodology [80]. As alternative limiting strategies, we employ the classical mimmod limiter [23,81] and the more restrictive Barth-Jespersen limiter, see [82]. Besides, the computation of the gradients is done using a Galerkin approach which benefits from the staggered meshes arrangement to get a reduced stencil [30].
- Step 2.
- Computation of the boundary-extrapolated values in the barycentre of the faces by evaluating the piecewise polynomials.
- Step 3.
- Half in time evolution of the data by using a temporal Taylor series expansion. The time derivatives are replaced by spatial derivatives considering a Cauchy-Kovalevskaya procedure based on the original model, i.e., on the continuous PDEs where the splitting technique has not been applied yet.
3.3. Interpolation Stage
3.4. Finite Element Method
3.5. Correction Stage
4. Parallel Implementation
4.1. Mesh Partition
4.2. Neighbour Elements
4.3. Periodic Boundaries
4.4. Scalability
5. Numerical Results
5.1. Incompressible Navier-Stokes Equations
5.1.1. Taylor-Green Vortex in a Two-Dimensional Domain
5.1.2. Taylor-Green Vortex in a Three-Dimensional Domain
5.1.3. Lid-Driven Cavity in 3D
5.2. Weakly Compressible Navier-Stokes Equations
5.2.1. Rising Bubble in 2D
5.2.2. Rising Bubble in 3D
5.2.3. Aeolian Tones Generated by the Compressible Flow around a Circular Cylinder
5.3. Fully Compressible Navier-Stokes Equations
5.3.1. Kelvin-Helmholtz Instability
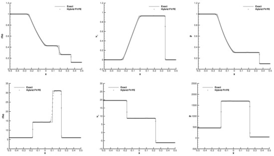
5.3.2. Riemann Problems
5.4. Shallow Water Equations
5.4.1. 3D Dambreak on a Dry Plane
5.4.2. Dambreak into a Channel with a 45 Bend (CADAM)
6. Conclusions
Author Contributions
Funding
Data Availability Statement
Acknowledgments
Conflicts of Interest
References
- Courant, R.; Friedrichs, K.; Lewy, H. Über die partiellen Differenzengleichungen der mathematischen Physik. Math. Ann. 1928, 100, 32–74. [Google Scholar] [CrossRef]
- von Neumann, J.; Richtmyer, R. A method for the calculation of hydrodynamics shocks. J. Appl. Phys. 1950, 21, 232–237. [Google Scholar]
- Courant, R.; Isaacson, E.; Rees, M. On the solution of nonlinear hyperbolic differential equations by finite differences. Comm. Pure Appl. Math. 1952, 5, 243–255. [Google Scholar] [CrossRef]
- Ritz, W. Über eine neue Methode zur Lösung gewisser Variationsprobleme der mathematischen Physik. J. Die Reine Angew. Math. 1909, 135, 1–61. [Google Scholar] [CrossRef]
- Zienkiewicz, O.; Taylor, R.L.; Zhu, J. The Finite Element Method. Its Basis and Fundamentals; Butterworth Heinemann: Oxford, UK, 2005. [Google Scholar]
- Zienkiewicz, O.; Taylor, R.L. The Finite Element Method for Solid and Structural Mechanics; Butterworth Heinemann: Oxford, UK, 2005. [Google Scholar]
- Zienkiewicz, O.; Taylor, R.L.; Nithiarasu, P. The Finite Element Method for Fluid Dynamics; Butterworth Heinemann: Oxford, UK, 2005. [Google Scholar]
- Argyris, J.; Mlejnek, H. Die Methode der Finiten Elemente in der Elementaren Strukturmechanik. Band I: Verschiebungsmethode in der Statik; Vieweg Braunschweig: Wiesbaden, Germany, 1986. [Google Scholar]
- Argyris, J.; Mlejnek, H. Die Methode der Finiten Elemente in der Elementaren Strukturmechanik. Band II: Kraft- und Gemischte Methoden, Nichtlinearitäten; Vieweg Braunschweig: Wiesbaden, Germany, 1987. [Google Scholar]
- Argyris, J.; Mlejnek, H. Die Methode der Finiten Elemente in der Elementaren Strukturmechanik. Band III: Computerdynamik der Tragwerke; Vieweg Braunschweig: Wiesbaden, Germany, 1997. [Google Scholar]
- Brezzi, F.; Fortin, M. Mixed and Hybrid Finite Element Methods; Springer: Berlin, Germany, 1991. [Google Scholar]
- Quarteroni, A.M.; Valli, A. Numerical Approximation of Partial Differential Equations; Springer: Berlin/Heidelberg, Germany, 2008. [Google Scholar]
- Taylor, C.; Hood, P. A numerical solution of the Navier-Stokes equations using the finite element technique. Comput. Fluids 1973, 1, 73–100. [Google Scholar] [CrossRef]
- Hughes, T.; Mallet, M.; Mizukami, M. A new finite element formulation for computational fluid dynamics: II. Beyond SUPG. Comput. Methods Appl. Mech. Eng. 1986, 54, 341–355. [Google Scholar] [CrossRef]
- Fortin, M. Old and new finite elements for incompressible flows. Int. J. Numer. Methods Fluids 1981, 1, 347–364. [Google Scholar] [CrossRef]
- Verfürth, R. Finite element approximation of incompressible Navier-Stokes equations with slip boundary condition II. Numer. Math. 1991, 59, 615–636. [Google Scholar] [CrossRef]
- Heywood, J.G.; Rannacher, R. Finite element approximation of the nonstationary Navier-Stokes Problem. I. Regularity of solutions and second order error estimates for spatial discretization. SIAM J. Numer. Anal. 1982, 19, 275–311. [Google Scholar] [CrossRef]
- Heywood, J.G.; Rannacher, R. Finite element approximation of the nonstationary Navier-Stokes Problem. III. Smoothing property and higher order error estimates for spatial discretization. SIAM J. Numer. Anal. 1988, 25, 489–512. [Google Scholar] [CrossRef]
- Godunov, S.K. A finite difference method for the computation of discontinuous solutions of the equations of fluid dynamics. Mat. Sb. 1959, 47, 357–393. [Google Scholar]
- Roe, P. Approximate Riemann Solvers, Parameter vectors, and Difference schemes. J. Comput. Phys. 1981, 43, 357–372. [Google Scholar] [CrossRef]
- Osher, S.; Solomon, F. Upwind Difference Schemes for Hyperbolic Conservation Laws. Math. Comput. 1982, 38, 339–374. [Google Scholar] [CrossRef]
- Godlewski, E.; Raviart, P.A. Numerical Approximation of Hyperbolic Systems of Conservation Laws; Springer: New York, NY, USA, 1996; Volume 118, p. 510. [Google Scholar]
- Toro, E.F. Riemann Solvers and Numerical Methods for Fluid Dynamics: A Practical Introduction; Springer: Berlin/Heidelberg, Germany, 2009. [Google Scholar]
- LeVeque, R.J. Finite Volume Methods for Hyperbolic Problems; Cambridge University Press: Cambridge, UK, 2002. [Google Scholar]
- Hirsch, C. Numerical Computation of Internal and External Flows: The Fundamentals of Computational Fluid Dynamics; Butterworth-Heinemann: Oxford, UK, 2007. [Google Scholar]
- Riemann, B. Über die Fortpflanzung ebener Luftwellen von endlicher Schwingungsweite. Gött. Nachr. 1859, 19. [Google Scholar] [CrossRef]
- Riemann, B. Über die Fortpflanzung ebener Luftwellen von endlicher Schwingungsweite. Abh. K. Ges. Wiss. Gött. 1860, 8, 43–65. [Google Scholar]
- Bermúdez, A.; Ferrín, J.L.; Saavedra, L.; Vázquez-Cendón, M.E. A projection hybrid finite volume/element method for low-Mach number flows. J. Comput. Phys. 2014, 271, 360–378. [Google Scholar] [CrossRef]
- Busto, S.; Ferrín, J.L.; Toro, E.F.; Vázquez-Cendón, M.E. A projection hybrid high order finite volume/finite element method for incompressible turbulent flows. J. Comput. Phys. 2018, 353, 169–192. [Google Scholar] [CrossRef]
- Bermúdez, A.; Busto, S.; Dumbser, M.; Ferrín, J.L.; Saavedra, L.; Vázquez-Cendón, M.E. A staggered semi-implicit hybrid FV/FE projection method for weakly compressible flows. J. Comput. Phys. 2020, 421, 109743. [Google Scholar] [CrossRef]
- Busto, S.; Río-Martín, L.; Vázquez-Cendón, M.E.; Dumbser, M. A semi-implicit hybrid finite volume/finite element scheme for all Mach number flows on staggered unstructured meshes. Appl. Math. Comput. 2021, 402, 126117. [Google Scholar]
- Toro, E.F.; Vázquez-Cendón, M.E. Flux splitting schemes for the Euler equations. Comput. Fluids 2012, 70, 1–12. [Google Scholar] [CrossRef]
- Bermúdez, A.; Vázquez-Cendón, M.E. Upwind Methods for Hyperbolic Conservation Laws with Source Terms. Comput. Fluids 1994, 23, 1049–1071. [Google Scholar] [CrossRef]
- Vázquez-Cendón, M.E. Improved treatment of source terms in upwind schemes for the shallow water equations in channels with irregular geometry. J. Comput. Phys. 1999, 148, 497–526. [Google Scholar] [CrossRef]
- Toro, E.F.; Hidalgo, A.; Dumbser, M. FORCE schemes on unstructured meshes I: Conservative hyperbolic systems. J. Comput. Phys. 2009, 228, 3368–3389. [Google Scholar] [CrossRef]
- Harlow, F.H.; Welch, J.E. Numerical calculation of time-dependent viscous incompressible flow of fluid with a free surface. Phys. Fluids 1965, 8, 2182–2189. [Google Scholar] [CrossRef]
- Patankar, V. Numerical Heat Transfer and Fluid Flow; Hemisphere Publishing Corporation: London, UK, 1980. [Google Scholar]
- van Kan, J. A second-order accurate pressure correction method for viscous incompressible flow. SIAM J. Sci. Stat. Comput. 1986, 7, 870–891. [Google Scholar] [CrossRef]
- Casulli, V.; Greenspan, D. Pressure method for the numerical solution of transient, compressible fluid flows. Int. J. Numer. Methods Fluids 1984, 4, 1001–1012. [Google Scholar] [CrossRef]
- Casulli, V. Semi-implicit finite difference methods for the two–dimensional shallow water equations. J. Comput. Phys. 1990, 86, 56–74. [Google Scholar] [CrossRef]
- Casulli, V.; Cheng, R.T. Semi-implicit finite difference methods for three–dimensional shallow water flow. Int. J. Numer. Methods Fluids 1992, 15, 629–648. [Google Scholar] [CrossRef]
- Casulli, V.; Walters, R.A. An unstructured grid, three-dimensional model based on the shallow water equations. Int. J. Numer. Methods Fluids 2000, 32, 331–348. [Google Scholar] [CrossRef]
- Bonaventura, L. A Semi-implicit Semi-Lagrangian Scheme Using the Height Coordinate for a Nonhydrostatic and Fully Elastic Model of Atmospheric Flows. J. Comput. Phys. 2000, 158, 186–213. [Google Scholar] [CrossRef]
- Rosatti, G.; Cesari, D.; Bonaventura, L. Semi-implicit, semi-Lagrangian modelling for environmental problems on staggered Cartesian grids with cut cells. J. Comput. Phys. 2005, 204, 353–377. [Google Scholar] [CrossRef]
- Park, J.; Munz, C. Multiple pressure variables methods for fluid flow at all Mach numbers. Int. J. Numer. Methods Fluids 2005, 49, 905–931. [Google Scholar] [CrossRef]
- Fambri, F.; Dumbser, M. Spectral semi-implicit and space-time discontinuous Galerkin methods for the incompressible Navier-Stokes equations on staggered Cartesian grids. Appl. Numer. Math. 2016, 110, 41–74. [Google Scholar] [CrossRef] [Green Version]
- Tavelli, M.; Dumbser, M. A staggered space-time discontinuous Galerkin method for the three-dimensional incompressible Navier-Stokes equations on unstructured tetrahedral meshes. J. Comput. Phys. 2016, 319, 294–323. [Google Scholar] [CrossRef] [Green Version]
- Tavelli, M.; Dumbser, M. A pressure-based semi-implicit space-time discontinuous Galerkin method on staggered unstructured meshes for the solution of the compressible Navier-Stokes equations at all Mach numbers. J. Comput. Phys. 2017, 341, 341–376. [Google Scholar] [CrossRef]
- Boscarino, S.; Russo, G.; Scandurra, L. All Mach number second order semi-implicit scheme for the Euler equations of gasdynamics. J. Sci. Comput. 2018, 77, 850–884. [Google Scholar] [CrossRef] [Green Version]
- Busto, S.; Tavelli, M.; Boscheri, W.; Dumbser, M. Efficient high order accurate staggered semi-implicit discontinuous Galerkin methods for natural convection problems. Comput. Fluids 2020, 198, 104399. [Google Scholar] [CrossRef] [Green Version]
- Dolejsi, V.; Feistauer, M. A semi-implicit discontinuous Galerkin finite element method for the numerical solution of inviscid compressible flow. J. Comput. Phys. 2004, 198, 727–746. [Google Scholar] [CrossRef]
- Dolejsi, V. Semi-implicit interior penalty discontinuous Galerkin methods for viscous compressible flows. Comm. Comput. Phys. 2008, 4, 231–274. [Google Scholar]
- Guermond, J.L.; Minev, P.; Shen, J. An overview of projection methods for incompressible flows. Comput. Methods Appl. Mech. Eng. 2006, 195, 6011–6045. [Google Scholar] [CrossRef] [Green Version]
- Tinoco, E. CFD codes and applications at Boeing. Sadhana 1991, 16, 141–163. [Google Scholar] [CrossRef]
- Johnson, F.; Tinoco, E.; Yu, N.J. Thirty years of development and application of CFD at Boeing Commercial Airplanes, Seattle. Comput. Fluids 2005, 34, 1115–1151. [Google Scholar] [CrossRef] [Green Version]
- Shirai, S.; Ueda, T. Aerodynamic simulation by CFD on flat box girder of super-long-span suspension bridge. J. Wind. Eng. Ind. Aerodyn. 2003, 91, 279–290. [Google Scholar] [CrossRef]
- Song, Y.; Liu, Z.; Wang, H.; Lu, X.; Zhang, J. Nonlinear analysis of wind-induced vibration of high-speed railway catenary and its influence on pantograph–catenary interaction. Veh. Syst. Dyn. 2016, 54, 723–747. [Google Scholar] [CrossRef]
- Zhang, C.; Uddin, M.; Robinson, A.; Foster, L. Full vehicle CFD investigations on the influence of front-end configuration on radiator performance and cooling drag. Appl. Therm. Eng. 2018, 130, 1328–1340. [Google Scholar] [CrossRef]
- Karypis, G.; Kumar, V. Multilevel k-way Partitioning Scheme for Irregular Graphs. J. Parallel Distrib. Comput. 1998, 48, 96–129. [Google Scholar] [CrossRef] [Green Version]
- Hestenes, M.R.; Stiefel, E. Methods of conjugate gradients for solving linear systems. J. Res. Natl. Bur. Stand. 1952, 49, 409–436. [Google Scholar] [CrossRef]
- Sonneveld, P. CGS, a fast Lanczos-type solver for nonsymmetric linear systems. SIAM J. Sci. Stat. Comput. 1989, 10, 36–52. [Google Scholar] [CrossRef]
- Fokkema, D.; Sleijpen, G.; Van der Vorst, H. Generalized conjugate gradient squared. J. Comput. Appl. Math. 1996, 71, 125–146. [Google Scholar] [CrossRef] [Green Version]
- Lu, M.; Peyton, A.; Yin, W. Acceleration of Frequency Sweeping in Eddy-Current Computation. IEEE Trans. Magn. 2017, 53, 1–8. [Google Scholar] [CrossRef] [Green Version]
- Huang, R.; Lu, M.; Peyton, A.; Yin, W. A Novel Perturbed Matrix Inversion Based Method for the Acceleration of Finite Element Analysis in Crack-Scanning Eddy Current NDT. IEEE Access 2020, 8, 12438–12444. [Google Scholar] [CrossRef]
- Dumbser, M.; Boscheri, W.; Semplice, M.; Russo, G. Central weighted ENO schemes for hyperbolic conservation laws on fixed and moving unstructured meshes. SIAM J. Sci. Comput. 2017, 39, A2564–A2591. [Google Scholar] [CrossRef]
- Bungartz, H.; Mehl, M.; Neckel, T.; Weinzierl, T. The PDE framework Peano applied to fluid dynamics: An efficient implementation of a parallel multiscale fluid dynamics solver on octree-like adaptive Cartesian grids. Comput. Mech. 2010, 46, 103–114. [Google Scholar] [CrossRef]
- Weinzierl, T.; Mehl, M. Peano-A traversal and storage scheme for octree-like adaptive Cartesian multiscale grids. SIAM J. Sci. Comput. 2011, 33, 2732–2760. [Google Scholar] [CrossRef]
- Dumbser, M.; Fambri, F.; Tavelli, M.; Bader, M.; Weinzierl, T. Efficient implementation of ADER discontinuous Galerkin schemes for a scalable hyperbolic PDE engine. Axioms 2018, 7, 63. [Google Scholar] [CrossRef] [Green Version]
- Reinarz, A.; Charrier, D.E.; Bader, M.; Bovard, L.; Dumbser, M.; Duru, K.; Fambri, F.; Gabriel, A.-A.; Gallard, J.M.; Köppel, S.; et al. ExaHyPE: An engine for parallel dynamically adaptive simulations of wave problems. Comput. Phys. Commun. 2020, 254, 107251. [Google Scholar] [CrossRef]
- Fambri, F.; Dumbser, M.; Köppel, S.; Rezzolla, L.; Zanotti, O. ADER discontinuous Galerkin schemes for general-relativistic ideal magnetohydrodynamics. Mon. Not. R. Astron. Soc. (MNRAS) 2018, 477, 4543–4564. [Google Scholar] [CrossRef] [Green Version]
- Russo, A. On the choice of the internal degrees of freedom for the nodal Virtual Element Method in two dimensions. Comput. Math. Appl. 2016, 72, 1968–1976. [Google Scholar] [CrossRef]
- ao da Veiga, L.; Dassi, F.; Russo, A. High-order Virtual Element Method on polyhedral meshes. Comput. Math. Appl. 2017, 74, 1110–1122. [Google Scholar] [CrossRef]
- ao da Veiga, L.; Dassi, F.; Russo, A. A C1 Virtual Element Method on polyhedral meshes. Comput. Math. Appl. 2020, 79, 1936–1955. [Google Scholar] [CrossRef]
- Busto, S.; Dumbser, M. A staggered semi-implicit hybrid finite volume/finite element scheme for the shallow water equations at all Froude numbers. 2021. Submitted. [Google Scholar]
- Pember, R.B.; Almgren, A.S.; Bell, J.B.; Colella, P.; Howell, M.; Lai, M. A high order projection method for the simulation of unsteady turbulent non premixed combustion in an industrial burner. In Proceedings of the 8th International Symposium on Transport Phenomena in Combustion, San Francisco, CA, USA, 16–20 July 1995; pp. 16–20. [Google Scholar]
- Gaburro, E.; Castro, M.J.; Dumbser, M. Well-balanced Arbitrary-Lagrangian-Eulerian finite volume schemes on moving nonconforming meshes for the Euler equations of gas dynamics with gravity. Mon. Not. R. Astron. Soc. 2018, 477, 2251–2275. [Google Scholar] [CrossRef] [Green Version]
- Prieto-Arranz, A.; Ramírez, L.; Couceiro, I.; Nogueira, X. A well-balanced SPH-ALE scheme for shallow water applications. J. Sci. Comput. 2021, 88, 84. [Google Scholar] [CrossRef]
- Rusanov, V.V. The calculation of the interaction of non-stationary shock waves and obstacles. USSR Comput. Math. Math. Phys. 1962, 1, 304–320. [Google Scholar] [CrossRef]
- Toro, E.F.; Millington, R.C.; Nejad, L.A.M. Towards very high order Godunov schemes. In Godunov Methods; Springer: Berlin/Heidelberg, Germany, 2001. [Google Scholar]
- Harten, A.; Engquist, B.; Osher, S.; Chakravarthy, S.R. Uniformly high order accurate essentially non-oscillatory schemes, III. In Upwind and High-Resolution Schemes; Springer: Berlin/Heidelberg, Germany, 1987; pp. 218–290. [Google Scholar]
- Roe, P.L. Some Contributions to the Numerical Modelling of Discontinuous Flow; Lectures in Applied Mathematics; American Mathematical Society: Providence, RI, USA, 1985; Volume 22, Available online: https://ui.adsabs.harvard.edu/abs/1985ams..conf..163R/abstract (accessed on 12 May 2021).
- Barth, T.; Jespersen, D. The Design and Application of Upwind Schemes on Unstructured Meshes. In Proceedings of the 27th Aerospace Sciences Meeting, Reno, NV, USA, 9–12 January 1989. Technical Report. [Google Scholar]
- Parés, C. Numerical methods for nonconservative hyperbolic systems: A theoretical framework. SIAM J. Numer. Anal. 2006, 44, 300–321. [Google Scholar] [CrossRef]
- Castro, M.; Fernández-Nieto, E.; Ferreiro, A.; Parés, C. Two-dimensional sediment transport models in shallow water equations. A second order finite volume approach on unstructured meshes. Comput. Methods Appl. Mech. Eng. 2009, 198, 2520–2538. [Google Scholar] [CrossRef] [Green Version]
- Dumbser, M.; Castro, M.; Parés, C.; Toro, E.F. ADER schemes on unstructured meshes for nonconservative hyperbolic systems: Applications to geophysical flows. Comput. Fluids 2009, 38, 1731–1748. [Google Scholar] [CrossRef]
- Dumbser, M.; Peshkov, I.; Romenski, E.; Zanotti, O. High order ADER schemes for a unified first order hyperbolic formulation of continuum mechanics: Viscous heat-conducting fluids and elastic solids. J. Comput. Phys. 2016, 314, 824–862. [Google Scholar] [CrossRef] [Green Version]
- Dumbser, M.; Hidalgo, A.; Castro, M.; Parés, C.; Toro, E.F. FORCE schemes on unstructured meshes II: Non-conservative hyperbolic systems. Comput. Methods Appl. Mech. Eng. 2010, 199, 625–647. [Google Scholar] [CrossRef]
- Busto, S.; Dumbser, M.; del Río-Martín, L. Staggered semi-implicit hybrid finite volume/finite element schemes for turbulent and non-Newtonian flows. 2021. to be submitted. [Google Scholar]
- Forum, M.P.I. MPI: A Message-Passing Interface Standard. 2021. Available online: https://www.mpi-forum.org/docs/mpi-4.0/mpi40-report.pdf (accessed on 15 March 2021).
- FECONV: Finite Element Mesh Conversor. Available online: http://victorsndvg.github.io/FEconv/description.xhtml (accessed on 1 September 2021).
- De Loera, J.; Rambau, J.; Santos, F. Algorithms and Computation in Mathematics. In Triangulations: Structures for Algorithms and Applications; Springer: Berlin/Heidelberg, Germany, 2010. [Google Scholar]
- Colomés, O.; Badia, S.; Codina, R.; Principe, J. Assessment of variational multiscale models for the large eddy simulation of turbulent incompressible flows. Comput. Methods Appl. Mech. Eng. 2015, 285, 32–63. [Google Scholar] [CrossRef] [Green Version]
- Brachet, M.; Meiron, D.; Orszag, S.; Nickel, B.; Morf, R.; Frisch, U. Small-scale structure of the Taylor-Green vortex. J. Fluid Mech. 1983, 130, 411–452. [Google Scholar] [CrossRef] [Green Version]
- Albensoeder, S.; Kuhlmann, H. Accurate three-dimensional lid-driven cavity flow. J. Comput. Phys. 2005, 206, 536–558. [Google Scholar] [CrossRef]
- Müller, A.; Behrens, J.; Giraldo, F.X.; Wirth, V. Comparison between adaptive and uniform discontinuous Galerkin simulations in dry 2D bubble experiments. J. Comput. Phys. 2013, 235, 371–393. [Google Scholar] [CrossRef] [Green Version]
- Yelash, L.; Müller, A.; Lukáčová-Medvid’ová, M.; Giraldo, F.; Wirth, V. Adaptive discontinuous evolution Galerkin method for dry atmospheric flow. J. Comput. Phys. 2014, 268, 106–133. [Google Scholar] [CrossRef] [Green Version]
- Bispen, G.; Lukáčová-Medvid’ová, M.; Yelash, L. Asymptotic preserving IMEX finite volume schemes for low Mach number Euler equations with gravitation. J. Comput. Phys. 2017, 335, 222–248. [Google Scholar] [CrossRef]
- Yi, T.H. Time Integration of Unsteady Nonhydrostatic Equations with Dual Time Stepping and Multigrid Methods. J. Comput. Phys. 2018, 374, 873–892. [Google Scholar] [CrossRef]
- Müller, B. High order numerical simulation of aeolian tones. Comput. Fluids 2008, 37, 450–462. [Google Scholar] [CrossRef]
- Dumbser, M. Arbitrary high order PNPM schemes on unstructured meshes for the compressible Navier-Stokes equations. Comput. Fluids 2010, 39, 60–76. [Google Scholar] [CrossRef]
- Sod, G.A. A survey of several finite difference methods for systems of non-linear hyperbolic conservation laws. J. Comput. Phys. 1978, 27, 1–31. [Google Scholar] [CrossRef] [Green Version]
- Fraccarollo, L.; Toro, E. Experimental and numerical assessment of the shallow water model for two-dimensional dam-break type problems. J. Hydraul. Res. 1995, 33, 843–864. [Google Scholar] [CrossRef]
- Ferrari, A.; Fraccarollo, L.; Dumbser, M.; Toro, E.; Armanini, A. Three-dimensional flow evolution after a dambreak. J. Fluid Mech. 2010, 663, 456–477. [Google Scholar] [CrossRef]
- Dumbser, M. A diffuse interface method for complex three–dimensional free surface flows. Comput. Methods Appl. Mech. Eng. 2013, 257, 47–64. [Google Scholar] [CrossRef]
- Frazao, S.; Sillen, X.; Zech, Y. Dam-Break Flow through Sharp Bends-Physical Model and 2D Boltzmann Model Validation. 1999. Available online: https://www.researchgate.net/publication/245296510_Dam_Break_in_Channels_with_90_Bend (accessed on 23 June 2021).
- Ferrari, A.; Dumbser, M.; Toro, E.; Armanini, A. A new 3D parallel SPH scheme for free surface flows. Comput. Fluids 2009, 38, 1203–1217. [Google Scholar] [CrossRef]
- Dumbser, M.; Balsara, D.S.; Tavelli, M.; Fambri, F. A divergence-free semi-implicit finite volume scheme for ideal, viscous and resistive magnetohydrodynamics. Int. J. Numer. Methods Fluids 2019, 89, 16–42. [Google Scholar] [CrossRef]
- Peshkov, I.; Romenski, E. A hyperbolic model for viscous Newtonian flows. Contin. Mech. Thermodyn. 2016, 28, 85–104. [Google Scholar] [CrossRef] [Green Version]
- Boscheri, W.; Dumbser, M.; Ioriatti, M.; Peshkov, I.; Romenski, E. A structure-preserving staggered semi-implicit finite volume scheme for continuum mechanics. J. Comput. Phys. 2010, 2021, 109866. [Google Scholar]
- Busto, S.; Chiocchetti, S.; Dumbser, M.; Gaburro, E.; Peshkov, I. High order ADER schemes for continuum mechanics. Front. Phys. 2020, 8, 32. [Google Scholar] [CrossRef] [Green Version]
- Favrie, N.; Gavrilyuk, S. A rapid numerical method for solving Serre-Green-Naghdi equations describing long free surface gravity waves. Nonlinearity 2017, 30, 2718–2736. [Google Scholar] [CrossRef] [Green Version]
- Dhaouadi, F.; Favrie, N.; Gavrilyuk, S. Extended Lagrangian approach for the defocusing nonlinear Schrödinger equation. Stud. Appl. Math. 2018, 1–20. [Google Scholar] [CrossRef] [Green Version]
- Busto, S.; Dumbser, M.; Escalante, C.; Gavrilyuk, S.; Favrie, N. On high order ADER discontinuous Galerkin schemes for first order hyperbolic reformulations of nonlinear dispersive systems. J. Sci. Comput. 2021, 87, 48. [Google Scholar] [CrossRef]
- Boscheri, W.; Dumbser, M. Arbitrary–Lagrangian–Eulerian One–Step WENO Finite Volume Schemes on Unstructured Triangular Meshes. Commun. Comput. Phys. 2013, 14, 1174–1206. [Google Scholar] [CrossRef]
- Boscheri, W.; Dumbser, M. A direct Arbitrary-Lagrangian-Eulerian ADER-WENO finite volume scheme on unstructured tetrahedral meshes for conservative and non-conservative hyperbolic systems in 3D. J. Comput. Phys. 2014, 275, 484–523. [Google Scholar] [CrossRef] [Green Version]




























| Mesh | Elements | Vertices | Dual Elements | |
|---|---|---|---|---|
| 128 | 81 | 208 | ||
| 512 | 289 | 800 | ||
| 2048 | 1089 | 3136 | ||
| 8192 | 4225 | 12,416 | ||
| 32,768 | 16,641 | 49,408 | ||
| 131,072 | 66,049 | 197,120 | ||
| 524,288 | 263,169 | 787,456 | ||
| 2,097,152 | 1,050,625 | 3,147,776 | ||
| 8,388,608 | 4,198,401 | 12,587,008 |
| Mesh | ||||
|---|---|---|---|---|
| M1 | 4.13E−01 | 1.27E−01 | ||
| M2 | 1.16E−01 | 1.83 | 3.08E−02 | 2.04 |
| M3 | 2.99E−02 | 1.96 | 7.63E−03 | 2.01 |
| M4 | 7.54E−03 | 1.98 | 1.90E−03 | 2.00 |
| M5 | 1.89E−03 | 1.99 | 4.75E−04 | 2.00 |
| M6 | 4.74E−04 | 2.00 | 1.19E−04 | 2.00 |
| M7 | 1.19E−04 | 2.00 | 2.97E−05 | 2.00 |
| M8 | 2.97E−05 | 2.00 | 7.42E−06 | 2.00 |
| M9 | 7.42E−06 | 2.00 | 1.85E−06 | 2.00 |
| Re Number | ||
|---|---|---|
| 100 | 128 | 8 |
| 200 | 128 | 8 |
| 400 | 128 | 8 |
| 800 | 256 | 16 |
| 1600 | 512 | 32 |
| Test | t | |||||||
|---|---|---|---|---|---|---|---|---|
| RP1 | 1 | 0 | 0 | 1 | 0 | |||
| RP4 |
| Wave Gauge | −5 A | −3 A | −2 A | 0 | 1 A | 8 A |
|---|---|---|---|---|---|---|
| x | 0 | |||||
| y | 0 | 0 | 0 | 0 | 0 | 0 |
| Gauge | G1 | G3 | G4 | G5 | G6 | G7 | G8 |
|---|---|---|---|---|---|---|---|
| x | 1.59 | 4.24 | 5.74 | 6.74 | 6.65 | 6.56 | 7.07 |
| y | 0.69 | 0.69 | 0.69 | 0.72 | 0.80 | 0.89 | 1.22 |
Publisher’s Note: MDPI stays neutral with regard to jurisdictional claims in published maps and institutional affiliations. |
© 2021 by the authors. Licensee MDPI, Basel, Switzerland. This article is an open access article distributed under the terms and conditions of the Creative Commons Attribution (CC BY) license (https://creativecommons.org/licenses/by/4.0/).
Share and Cite
Río-Martín, L.; Busto, S.; Dumbser, M. A Massively Parallel Hybrid Finite Volume/Finite Element Scheme for Computational Fluid Dynamics. Mathematics 2021, 9, 2316. https://doi.org/10.3390/math9182316
Río-Martín L, Busto S, Dumbser M. A Massively Parallel Hybrid Finite Volume/Finite Element Scheme for Computational Fluid Dynamics. Mathematics. 2021; 9(18):2316. https://doi.org/10.3390/math9182316
Chicago/Turabian StyleRío-Martín, Laura, Saray Busto, and Michael Dumbser. 2021. "A Massively Parallel Hybrid Finite Volume/Finite Element Scheme for Computational Fluid Dynamics" Mathematics 9, no. 18: 2316. https://doi.org/10.3390/math9182316
APA StyleRío-Martín, L., Busto, S., & Dumbser, M. (2021). A Massively Parallel Hybrid Finite Volume/Finite Element Scheme for Computational Fluid Dynamics. Mathematics, 9(18), 2316. https://doi.org/10.3390/math9182316

