Dynamical Behavior Analysis of a Time-Delay SIRS-L Model in Rechargeable Wireless Sensor Networks
Abstract
1. Introduction
- Establishing the SIRS-L (susceptible–infected–recovered–susceptible–low-energy) model.
- The equilibrium solutions of the SIRS-L model are obtained, and the basic reproductive number R0 is defined through the regeneration matrix [34].
- Revealing of the stability of the SIRS-L model when the charging delay is ignored.
- The variation of the solutions of the characteristic equation are discussed if the charging delay is considered through the theory in [35], and the occurrence conditions of Hopf bifurcation are figured out.
- The properties of the Hopf bifurcation are explored by applying the normal form theory and the center manifold theorem [36].
2. Modeling
3. Local Stability and Analysis of Hopf Bifurcation
4. Properties of the Hopf bifurcation
5. Simulation
5.1. Parameter Dependence of
- (1)
- The parameters are as follows in Figure 1a: Figure 1a shows that with the increase of the diffusion rate , the malware is more easier prevailing. However, the self-healing rate of the infected nodes has a inhibitory effect on the spread of malware. Figure 1a also shows that the charging behavior makes the spread of malware easier.
- (2)
- The parameters are as follows in Figure 1b: Figure 1b shows that with the increase of the recovery rate of the infected nodes , the spread of malware can be effectively suppressed, which will provide us with the reference value in the control of malware. Similarly, Figure 1b also shows that without the charging behavior (), the control of malware will become easier.
- (3)
- (4)
- Figure 1a–d together reflect that the charging behavior will encourage the spread of malware, which will provide us with the data reference for the control of the malware spread in the SIRS-L model.
- (5)
- The parameter settings are as follows in Figure 1e: . Figure 1e reflects the influence of the low-energy node conversion rate and the charging success rate on malware propagation. It is shown that if the low-energy node conversion rate is less than 0.2, the increase of the charging success rate can easily lead to the prevalence of malware. On the other side, if the low-energy node conversion rate is larger than 0.4, we can appropriately reduce the charging success rate to suppress the spread of malware.
5.2. Analysis and Display of Equilibrium Solutions
- (1)
- The parameter settings are as follows in Figure 2: with the initial value of nodes’ scale: (s(0), i(0), r(0), ls(0), li(0), lr(0))= (0.9, 0.1, 0, 0, 0, 0). It is shown that (s(∞), i(∞), r(∞), ls(∞), li(∞), lr(∞)) = (0.1520, 0, 0.0480, 0.6079, 0, 0.1920). It is shown that if the malware appears in the model (2), it will gradually disappear if . It also can be shown that if , the total proportion of the low-energy nodes (ls, li, lr) is larger than that of the general nodes (s, i, r).
- (2)
- The parameter settings are as follows in Figure 3: , with the initial value of nodes’ scale: (s(0), i(0), r(0), ls(0), li(0), lr(0))= (0.9, 0.1, 0, 0, 0, 0). It is shown that (s(∞), i(∞), r(∞), ls(∞), li(∞), lr(∞)) = (0.2756, 0.2770, 0.1616, 0.1103, 0.1109, 0.0646). It shows that the malware will prevail if .
- (3)
- The parameter settings are as follows in Figure 4: , with the initial value of nodes’ scale: (s(0), i(0), r(0), ls(0), li(0), lr(0))= (0.9, 0.1, 0, 0, 0, 0). It is shown that (s(∞), i(∞), r(∞), ls(∞), li(∞), lr(∞)) = (0.4027, 0, 0.1529, 0.3221, 0, 0.1223). It shows that if the malware appears in the model (2), it will gradually disappear if . It also can be shown that if , the total proportion of the low-energy nodes (ls, li, lr) is smaller than the proportion of the low-energy nodes in Figure 2 if the charging operation is not performed .
- (4)
- The parameter settings are as follows in Figure 5: , with the initial value of nodes’ scale: (s(0), i(0), r(0), ls(0), li(0), lr(0)) = (0.9, 0.1, 0, 0, 0, 0). It is shown that (s(∞), i(∞), r(∞), ls(∞), li(∞), lr(∞)) = (0.2988, 0.1204, 0.1364, 0.2391, 0.0963, 0.1091). It shows that the malware will prevail if . Similarly, it also can be shown that if , the total proportion of the low-energy nodes (ls, li, lr) is smaller than the proportion of the low-energy nodes in Figure 2 if the charging operation is not performed . The total proportion of the low-energy nodes is similar to the corresponding proportion in Figure 4, which represents the proportion of low-energy nodes is only related to and .
- (5)
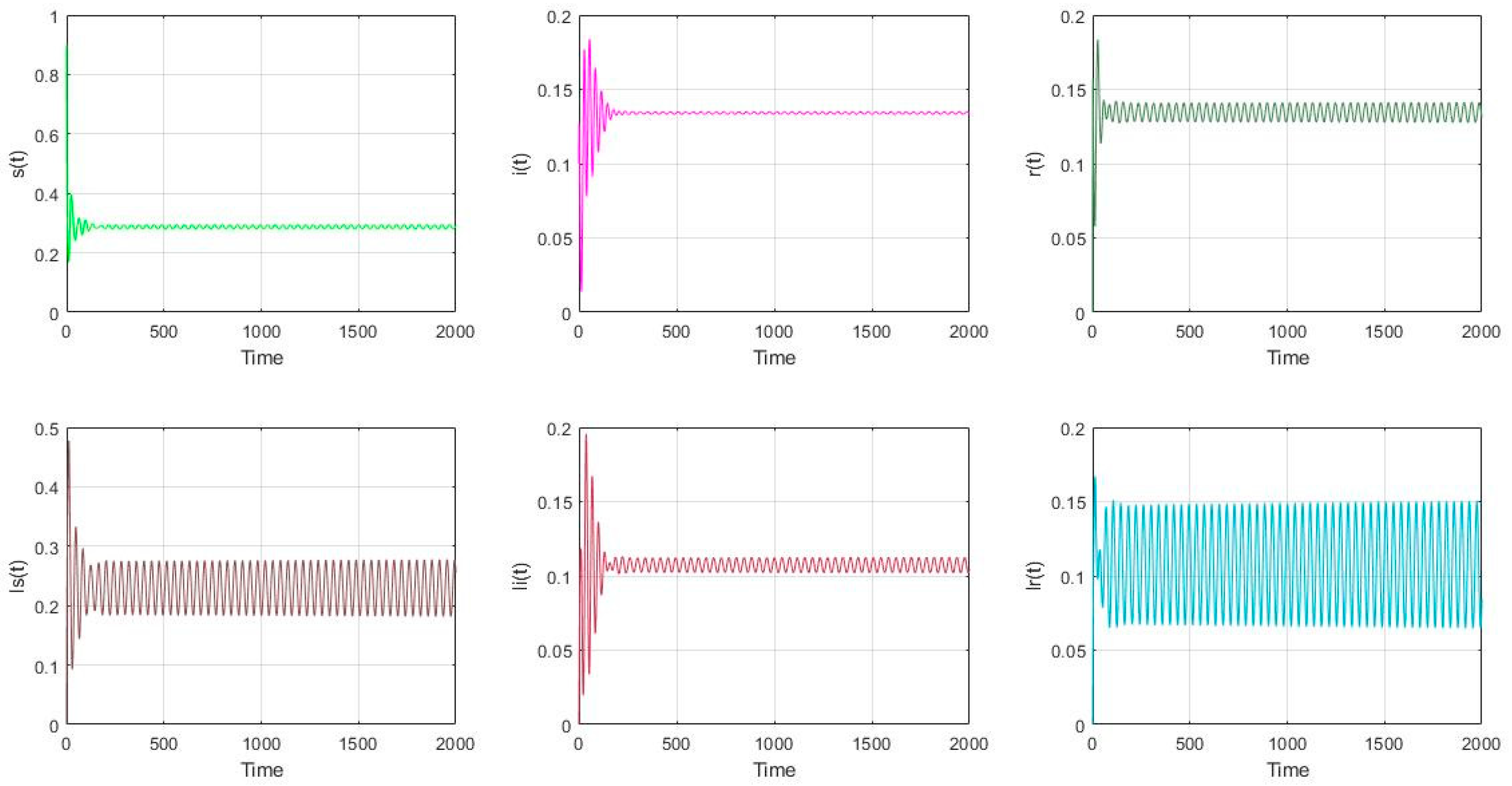
- The parameter settings are as follows in Figure 6 and Figure 7: , with the initial value of nodes’ scale: (s(0), i(0), r(0), ls(0), li(0), lr(0)) = (0.9, 0.1, 0, 0, 0, 0). It can be calculated that and . In Figure 6, it can be seen that the model (2) is asymptotically stable if . What’s more, in Figure 7, the model (2) undergoes a Hopf bifurcation if . According to Equation (41) and Theorem 2, the following parameters can be obtained: The result can be concluded that the Hopf bifurcation is supercritical, the bifurcating periodic solutions are stable and the period of the periodic solutions decreases.
6. Conclusions
Author Contributions
Funding
Institutional Review Board Statement
Informed Consent Statement
Data Availability Statement
Conflicts of Interest
Appendix A
References
- Rashid, B.; Rehmani, M.H. Applications of wireless sensor networks for urban areas: A survey. J. Netw. Comput. 2016, 60, 192–219. [Google Scholar] [CrossRef]
- Oliviero, F.; Romano, S.P. A reputation-based metric for secure routing in wireless mesh networks. In Proceedings of the IEEE GLOBECOM 2008–2008 IEEE Global Telecommunications Conference, New Orleans, LA, USA, 30 November–4 December 2008; pp. 1–5. [Google Scholar]
- Rehman, A.U.; Rehman, S.U.; Raheem, H. Sinkhole attacks in wireless sensor networks: A survey. Wirel. Pers. Commun. 2019, 106, 2291–2313. [Google Scholar] [CrossRef]
- Alajmi, N. Wireless sensor networks attacks and solutions. arXiv 2014, arXiv:1407.6290. [Google Scholar]
- Ngai, E.C.; Liu, J.; Lyu, M.R. On the intruder detection for sinkhole attack in wireless sensor networks. In Proceedings of the 2006 IEEE International Conference on Communications, Istanbul, Turkey, 11–15 June 2006; Volume 8, pp. 3383–3389. [Google Scholar]
- Hu, Y.C.; Perrig, A.; Johnson, D.B. Packet leashes: A defense against wormhole attacks in wireless networks. In Proceedings of the IEEE INFOCOM 2003. Twenty-second Annual Joint Conference of the IEEE Computer and Communications Societies (IEEE Cat. No. 03CH37428), San Francisco, CA, USA, 30 March–3 April 2003; Volume 3, pp. 1976–1986. [Google Scholar]
- Yu, B.; Xiao, B. Detecting selective forwarding attacks in wireless sensor networks. In Proceedings of the 20th IEEE International Parallel & Distributed Processing Symposium, Rhodes Island, Greece, 25–29 April 2006; p. 8. [Google Scholar]
- Salehi, S.A.; Razzaque, M.A.; Naraei, P.; Farrokhtala, A. Detection of sinkhole attack in wireless sensor networks. In Proceedings of the 2013 IEEE International Conference on Space Science and Communication (IconSpace), Melaka, Malaysia, 1–3 July 2013; pp. 361–365. [Google Scholar]
- Sundararajan, R.K.; Arumugam, U. Intrusion detection algorithm for mitigating sinkhole attack on LEACH protocol in wireless sensor networks. J. Sens. 2015, 2015. [Google Scholar] [CrossRef]
- Chen, C.; Song, M.; Hsieh, G. Intrusion detection of sinkhole attacks in large-scale wireless sensor networks. In Proceedings of the 2010 IEEE International Conference on Wireless Communications, Networking and Information Security, Beijing, China, 25–27 June 2010; pp. 711–716. [Google Scholar]
- Liang, C.J.M.; Musăloiu-e, R.; Terzis, A. Typhoon: A Reliable Data Dissemination Protocol for Wireless Sensor Networks. In European Conference on Wireless Sensor Networks; Springer: Berlin/Heidelberg, Germany, 2008; pp. 268–285. [Google Scholar]
- Song, Y.; Jiang, G.P. Model and Dynamic Behavior of Malware Propagation over Wireless Sensor Networks. In International Conference on Complex Sciences; Springer: Berlin/Heidelberg, Germany, 2009; pp. 487–502. [Google Scholar]
- Yetgin, H.; Cheung, K.T.K.; El-Hajjar, M.; Hanzo, L.H. A Survey of Network Lifetime Maximization Techniques in Wireless Sensor Networks. IEEE Commun. Surv. Tutor. 2017, 19, 828–854. [Google Scholar] [CrossRef]
- Rasheed, A.; Mahapatra, R.N. The Three-Tier Security Scheme in Wireless Sensor Networks with Mobile Sinks. IEEE Trans. Parallel Distrib. Syst. 2010, 23, 958–965. [Google Scholar] [CrossRef]
- Lin, C.; Shang, Z.; Du, W.; Ren, J.K.; Wang, L.; Wu, G.W. CoDoC: A Novel Attack for Wireless Rechargeable Sensor Networks through Denial of Charge. In Proceedings of the IEEE INFOCOM, Paris, France, 29 April–2 May 2019. [Google Scholar]
- Desmedt, Y.; Frankel, Y. Shared generation of authenticators and signatures. In Annual International Cryptology Conference; Springer: Berlin/Heidelberg, Germany, 1991; pp. 457–469. [Google Scholar]
- Weidong, C.; Dengguo, F. A group of threshold group-signature schemes with privilege subsets. In Progress on Cryptography; Springer: Boston, MA, USA, 2004; pp. 81–88. [Google Scholar]
- Yi, S.; Dengguo, F. The Design and analysis of a new group of (tj, t, n) threshold group signature scheme. China Crypto. 2000. Available online: https://en.cnki.com.cn/Article_en/CJFDTotal-ZKYB200102002.htm (accessed on 20 July 2021).
- Wang, X.; Dong, Y. Threshold group signature scheme with privilege subjects based on ECC. In Proceedings of the 2010 International Conference on Communications and Intelligence Information Security, Nanning, China, 13–14 October 2010; pp. 84–87. [Google Scholar]
- Tanachaiwiwat, S.; Helmy, A. Encounter-based worms: Analysis and defense. Ad Hoc Netw. 2009, 7, 1414–1430. [Google Scholar] [CrossRef]
- Khayam, S.A.; Radha, H. Using signal processing techniques to model worm propagation over wireless sensor networks. IEEE Signal Process. Mag. 2006, 23, 164–169. [Google Scholar] [CrossRef]
- Batista, F.K.; Martin del Rey, A.; Queiruga-Dios, A. A new individual-based model to simulate malware propagation in wireless sensor networks. Mathematics 2020, 8, 410. [Google Scholar] [CrossRef]
- Zhang, Z.; Si, F. Dynamics of a delayed SEIRS-V model on the transmission of worms in a wireless sensor network. Adv. Differ. Equ. 2014, 2014, 1–15. [Google Scholar] [CrossRef][Green Version]
- Zhang, Z.; Wang, Y. Bifurcation Analysis for an SEIRS-V Model with Delays on the Transmission of Worms in a Wireless Sensor Network. Math. Probl. Eng. 2017, 2017. [Google Scholar] [CrossRef]
- Liu, G.; Peng, B.; Zhong, X. A Novel Epidemic Model for Wireless Rechargeable Sensor Network Security. Sensors 2021, 21, 123. [Google Scholar] [CrossRef]
- Liu, G.; Peng, B.; Zhong, X. Epidemic Analysis of Wireless Rechargeable Sensor Networks Based on an Attack–Defense Game Model. Sensors 2021, 21, 594. [Google Scholar] [CrossRef]
- Liu, G.; Peng, B.; Zhong, X.; Cheng, L.; Li, Z. Attack-Defense Game between Malicious Programs and Energy-Harvesting Wireless Sensor Networks Based on Epidemic Modeling. Complexity 2020, 2020, 1–19. [Google Scholar] [CrossRef]
- Liu, G.; Peng, B.; Zhong, X.; Lan, X. Differential Games of Rechargeable Wireless Sensor Networks against Malicious Programs Based on SILRD Propagation Model. Complexity 2020, 2020, 13. [Google Scholar] [CrossRef]
- Liu, G.; Li, J.; Liang, Z.; Peng, Z. Analysis of Time-Delay Epidemic Model in Rechargeable Wireless Sensor Networks. Mathematics 2021, 9, 978. [Google Scholar] [CrossRef]
- Liu, G.; Peng, Z.; Liang, Z.; Li, J.; Cheng, L. Dynamics Analysis of a Wireless Rechargeable Sensor Network for Virus Mutation Spreading. Entropy 2021, 23, 572. [Google Scholar] [CrossRef]
- Liu, G.; Huang, Z.; Wu, X.; Liang, Z.; Hong, F.; Su, X. Modelling and Analysis of the Epidemic Model under Pulse Charging in Wireless Rechargeable Sensor Networks. Entropy 2021, 23, 927. [Google Scholar] [CrossRef]
- Liu, G.; Shu, C.; Liang, Z.; Peng, B.; Cheng, L. A Modified Sparrow Search Algorithm with Application in 3d Route Planning for UAV. Sensors 2021, 21, 1224. [Google Scholar] [CrossRef]
- Zhu, L.; Guan, G. Dynamical Analysis of a Rumor Spreading Model with Self-Discrimination and Time Delay in Complex Networks. Phys. A Stat. Mech. Appl. 2019, 533, 121953. [Google Scholar] [CrossRef]
- Diekmann, O.; Heesterbeek, H.; Britton, T. Mathematical Tools for Understanding Infectious Disease Dynamics; Princeton University Press: Princeton, NJ, USA, 2012; Volume 7. [Google Scholar]
- Cooke, K.L.; Van Den Driessche, P. On zeroes of some transcendental equations. Funkc. Ekvacioj 1986, 29, 77–90. [Google Scholar]
- Hassard, B.D.; Kazarinoff, N.D.; Wan, Y.H.; Wan, Y.W. Theory and Applications of Hopf Bifurcation; CUP Archive: Cambridge, UK, 1981; Volume 41. [Google Scholar]







| Authors | Model | Characteristics | Reference Content |
|---|---|---|---|
| Zhu et al. [33] | SIRS (susceptible–infected–recovered–susceptible) | The authors put forward the time delay of the immune validity; the SIRS model is applied to WSNs analysis. | SIRS model is taken as the premise of modeling; the SIRS-L model considering the low-energy state nodes is proposed in this paper. |
| Zhang et al. [23] | SEIRS-V (susceptible–exposed–infected-recovered–susceptible and vaccinated) | Time delay is applied to SEIRS-V model. | It provides the analysis reference of Hopf bifurcation and the corresponding mathematical processing method. |
| Liu et al. [25] | SIS-L (susceptible–infected–susceptible–low-energy status) | It first proposes the low-energy state nodes and combines them into the research of WSRNs. | It provides a theoretical basis for the low-energy status modeling. |
| Liu et al. [26] | SIAS-L (susceptible–infected–anti-malware–susceptible–low-energy status) | The status of anti-malware is proposed and the optimal strategy is considered. | It provides a theoretical basis for the low-energy status modeling. |
| Liu et al. [29] | SIS-L (susceptible–infected–susceptible–low-energy status) | Time delay is considered for the first time in the model with the low-energy state nodes. However, the bifurcation is not discussed. | It provides a theoretical reference for time-delay analysis and the feasibility in modeling. |
| S(t) | The Susceptible Nodes |
| I(t) | The infected nodes |
| R(t) | The recovered nodes |
| LS(t) | The low-energy status susceptible nodes |
| LI(t) | The low-energy status infected nodes |
| LR(t) | The low-energy status recovered nodes |
| N(t) | Total number of nodes |
| ∧ | Injection rate of new sensor nodes |
| Diffusion rate of malware | |
| Self-healing rate of the infected nodes | |
| Recovery rate of the infected nodes | |
| Immune rate of the susceptible nodes | |
| Immune failure rate of the recovered nodes; the recovered nodes will be re-exposed to the malware and may be infected again | |
| Low-energy node conversion rate, which is to describe the process of the general nodes dropping to the low-energy nodes | |
| Charging success rate | |
| b | Node deactivation rate |
Publisher’s Note: MDPI stays neutral with regard to jurisdictional claims in published maps and institutional affiliations. |
© 2021 by the authors. Licensee MDPI, Basel, Switzerland. This article is an open access article distributed under the terms and conditions of the Creative Commons Attribution (CC BY) license (https://creativecommons.org/licenses/by/4.0/).
Share and Cite
Liu, G.; Li, J.; Liang, Z.; Peng, Z. Dynamical Behavior Analysis of a Time-Delay SIRS-L Model in Rechargeable Wireless Sensor Networks. Mathematics 2021, 9, 2007. https://doi.org/10.3390/math9162007
Liu G, Li J, Liang Z, Peng Z. Dynamical Behavior Analysis of a Time-Delay SIRS-L Model in Rechargeable Wireless Sensor Networks. Mathematics. 2021; 9(16):2007. https://doi.org/10.3390/math9162007
Chicago/Turabian StyleLiu, Guiyun, Junqiang Li, Zhongwei Liang, and Zhimin Peng. 2021. "Dynamical Behavior Analysis of a Time-Delay SIRS-L Model in Rechargeable Wireless Sensor Networks" Mathematics 9, no. 16: 2007. https://doi.org/10.3390/math9162007
APA StyleLiu, G., Li, J., Liang, Z., & Peng, Z. (2021). Dynamical Behavior Analysis of a Time-Delay SIRS-L Model in Rechargeable Wireless Sensor Networks. Mathematics, 9(16), 2007. https://doi.org/10.3390/math9162007

