Efficient Time Integration of Nonlinear Partial Differential Equations by Means of Rosenbrock Methods
Abstract
1. Introduction
2. Abstract Formulation of the Problem
- (A1)
- The boundary operator is onto.
- (A2)
- is dense and , the restriction of A to , is the infinitesimal generator of an analytical semigroup in X.
- (A3)
- If z is a complex number with greater than the type of , then the eigenvalue problempossesses, for each , a unique solution . Moreover, this solution satisfiesfor some constant independent of z, for z in a half-plane of the form .
- (A4)
- For some , and , the nonlinearitysatisfies the Hölder-Lipschitz conditionfor all .
2.1. Examples
2.1.1. Reaction-Diffusion Equation
2.1.2. Generalized Burgers Equation
3. The Time Semidiscretization
3.1. Rosenbrock Methods for Abstract Initial Boundary Value Problems
3.2. The Choice of the Boundary Values for the Stages
3.3. Local Error of the Semidiscretization
- (i)
- with for and every .
- (ii)
- such that, for every ,for and .
3.4. How to Calculate the Boundary Values for the Stages
- We can always takewhich is easily calculable in terms of the data of the problem. In such a way, we get local order 3 if the classical order p satisfies . To compare with what was suggested in [3] for linear problems, if we considerthe result on the order of the local error would be the same as considering boundary (16). As it was already also studied in [3], the classical method of lines, which discretizes firstly in space and then in time, leads to local order 2 for time-dependent boundary value problems, even though the problems are just linear. Therefore, we are gaining at least one order of accuracy with the technique which is suggested in this paper, even without resorting to numerical differentiation.
- In the case that is a bounded operator so that hypotheses (ii) of Theorem 1 are satisfied for , the boundary operator is Dirichlet, and more precisely, f and its derivatives have also sense over , so thatwhere □ denotes any partial derivative, it happens that can also be calculated exactly in terms of data considering thatThen,Therefore, in such a case, local order 4 can also be achieved without resorting to numerical differentiation if the classical order p satisfies .In the case of hypotheses of Theorem 1 are satisfied for , in order to calculate on the boundary so as to achieve local order 5, apart from terms which can be directly calculated in terms of derivatives of f evaluated at and , , , the following terms turn up:The second of those can be calculated as above using (18). As for the first one, notice that, using (1),Therefore, all the terms are easily calculable as above (using also ), except for the last one, which coincides with the third term in (19). In the case that, for example, for some real compact interval I, and for , in order to calculate that term on the boundary, we need , , , . As, again from (1),everything can be calculated in terms of data except for , . The first term is either given by the space discretization itself of (4a)-(4b)-(4c) or must be approximated through numerical space differentiation using the exact values at the boundary and the approximation of the solution at the interior nodal values. As for the second term , it has to be approximated by numerical differentiation in time from the previous approximation values on the boundary (), and for the first value , it suffices to consider the Equation (1) and that is known. Therefore,In such a way, local order 5 can be achieved applying numerical differentiation to approximate first-derivatives if the classical order satisfies .In order to obtain higher local orders, the corresponding expressions to consider at the boundary get more and more complicated. Arguing as before, it is always possible to approximate them through numerical differentiation if the classical order of the method is high enough. However, as the order of the derivatives to approximate at the boundary increases, the numerical differentiation problem can become more unstable.
- In the case that is a bounded operator so that hypotheses of Theorem 1 are satisfied for and (17) and the boundary operator is Robin/Neumann, i.e., for some constants and and ,where is the normal derivative on , can also be calculated using (18), but just in an approximated way. For on the boundary, we will have to take the approximation which is given by the method after the space discretization of (4a)-(4b)-(4c) and then, for , we will take into account thatOn the other hand, will have to be approximated by numerical differentiation in time from the previous approximated values on the boundary , and for the first values , Taylor approximations can be used considering the equation in (1) and successive derivatives with respect to time at , which can be calculated because the initial condition is known. Finally, can be approximated again using the Robin boundary condition, i.e., byTherefore, again local order 4 can be achieved if , although now resorting to numerical differentiation to approximate a derivative in time.As for the calculation of , the same remarks of the previous point 2 apply with the additional difficulties that more derivatives of f will be required since the boundary condition includes the normal derivative, not only (as with ) must be approximated through numerical differentiation in time from the previous values , but also (). Notice that , and will also be required, but they can be directly calculated from the previous values, at least in this case, through (20), (21) and differentiating again (21). That is to say, not only the first time derivative must be approximated numerically but also derivatives until order 4, with the possible instabilities which are caused because of being a badly-posed problem.Considering even higher orders would imply approximating even higher time derivatives of the solution at the boundary, with its possible instability problems.
- In the case in which f is an unbounded operator which can contain derivatives, in order to calculate on the boundary with the aim of obtaining local order 4, some numerical differentiation will be required, which will depend on the particular form of f.For example, for the Equation (2), with and ,Therefore, when considering Dirichlet boundary conditions, must be calculated through numerical differentiation in space from the exact values on the boundary of and those which come from numerical differentiation in time of the approximated values of the solution at the interior nodes.For Neumann/Robin boundary conditions, what must be calculated isknowing thatAs, from the equation itself,it suffices to approximate , and on ( would then be solved by differentiating (22)). Then, from the numerical approximation of the solution which the method gives, numerical differentiation in space may have to be applied to approximate on the boundary, and then numerical differentiation in time must be used to approximate and .Trying to get even higher local order would imply considering numerical differentiation of an order greater than 2.In any case, even without resorting to numerical differentiation, can always be calculated in terms of the data for time-dependent boundary conditions, obtaining local (and by summation by parts global) error of order 3. (Compare with [10] where order 3 was also obtained for this equation for linearly implicit methods, but assuming nonnatural vanishing boundary conditions and with [4] where order three was obtained, but assuming additional conditions on the coefficients of the method).
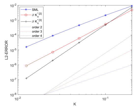
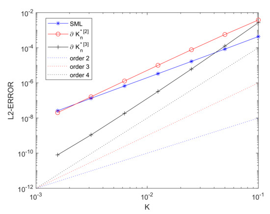
4. Numerical Experiments
5. Conclusions
Author Contributions
Funding
Institutional Review Board Statement
Informed Consent Statement
Data Availability Statement
Conflicts of Interest
References
- Hairer, E.; Norsett, S.; Wanner, G. Solving Ordinary Differential Equations. I: Nonstiff Problems, 2nd ed.; Springer Series in Computational Mathematics, 8; Springer: Berlin, Germany, 1993. [Google Scholar]
- Hairer, E.; Wanner, G. Solving Ordinary Differential Equations. II: Stiff and Differential-Algebraic Problems, 2nd ed.; Springer Series in Computational Mathematics, 14; Springer: Berlin, Germany, 1996. [Google Scholar]
- Alonso–Mallo, I.; Cano, B. Spectral/Rosenbrock discretizations without order reduction for linear parabolic problems. Appl. Num. Math. 2002, 47, 247–268. [Google Scholar] [CrossRef]
- Lang, J.; Verwer, J.G. ROS3P—An accurate third-order Rosenbrock solver designed for parabolic problems. BIT 2001, 41, 731–738. [Google Scholar] [CrossRef]
- Lubich, C.; Ostermann, A. Linearly implicit time discretization of non-linear parabolic equations. IMA J. Numer. Anal. 1995, 15, 555–583. [Google Scholar] [CrossRef]
- Ostermann, A.; Roche, M. Rosenbrock methods for partial differential equations and fractional orders of convergence. SIAM J. Numer. Anal. 1993, 30, 1084–1098. [Google Scholar] [CrossRef]
- Ostermann, A.; Thalhammer, M. Non-smooth data error estimates for linearly implicit Runge-Kutta methods. IMA J. Numer. Anal. 2000, 20, 167–184. [Google Scholar] [CrossRef]
- Rang, J.; Angermann, L. New Rosenbrock W-methods of order 3 for partial differential algebraic equations of index 1. BIT 2005, 45, 761–787. [Google Scholar] [CrossRef]
- Schwitzer, F. W-methods for semilinear parabolic problems. Appl. Num. Math. 1995, 18, 351–366. [Google Scholar] [CrossRef]
- Calvo, M.P.; Frutos, J.; Novo, J. An efficient way to avoid the order reduction of linearly implicit Runge-Kutta methods for nonlinear IBVP’s. In Mathematical Modelling, Simulation and Optimization of Integrated Circuits; Antreich, K., Bulirsch, R., Gilg, A., Rentrop, P., Eds.; International Series of Numerical Mathematics Vol. 146; Birkhauser Verlag: Basel, Switzerland, 2003; pp. 321–332. [Google Scholar]
- Keeling, S.L. Galerkin/Runge-Kutta discretizations for semilinear parabolic equations. SIAM J. Numer. Anal. 1990, 27, 394–418. [Google Scholar] [CrossRef][Green Version]
- Calvo, M.P.; Palencia, C. Avoiding the order reduction of Runge–Kutta methods for linear initial boundary value problems. Math. Comput. 2002, 71, 1529–1543. [Google Scholar] [CrossRef][Green Version]
- Alonso–Mallo, I.; Palencia, C. On the convolutions operators arising in the study of abstract initial boundary value problems. Proc. R. Soc. Edinb. 1996, 126A, 515–539. [Google Scholar] [CrossRef]
- Palencia, C.; Alonso–Mallo, I. Abstract initial boundary values problems. Proc. R. Soc. Edinb. 1994, 124A, 879–908. [Google Scholar] [CrossRef]
- Colli Franzone, P.; Deuflhard, P.; Erdmann, B.; Lang, J.; Pavarino, L.F. Adaptivity in space and time for reaction-diffusion systems in electrocardiology. SIAM J. Sci. Comput. 2006, 28, 942–962. [Google Scholar] [CrossRef]
- Rang, J. Improved traditional Rosenbrock-Wanner methods for stiff ODEs and DAEs. J. Comp. Appl. Math. 2015, 286, 128–144. [Google Scholar] [CrossRef]
- Rang, J. The Prothero and Robinson example: Convergence studies for Runge-Kutta and Rosenbrock-Wanner methods. Appl. Num. Math. 2016, 108, 37–56. [Google Scholar] [CrossRef]
- Alonso–Mallo, I. Runge–Kutta methods without order reduction for initial boundary value problems. Numer. Math. 2002, 91, 577–603. [Google Scholar] [CrossRef]
- Cano, B.; Reguera, N. How to avoid order reduction when Lawson methods integrate reaction-diffusion initial boundary value problems. BIT Num. Math. 2021. [Google Scholar] [CrossRef]
- Cano, B.; Moreta, M.J. How to avoid order reduction when explicit Runge-Kutta exponential methods integrate reaction-diffusion initial boundary value problems. 2021; Submitted for Publication. [Google Scholar]
- Henry, D. Geometric Theory of Semilinear Parabolic Problems; Springer Lectures Notes in Mathematics, 840; Springer: Berlin, Germany, 1981. [Google Scholar]
- Kaps, P.; Rentrop, P. Generalized Runge-Kutta methods of order four with stepsize control for stiff ordinary differential equations. Numer. Math. 1979, 33, 55–68. [Google Scholar] [CrossRef]




| n | 5–10 | 10–20 | 20–40 | 40–80 |
|---|---|---|---|---|
| SML | 2.04 | 2.20 | 2.33 | 2.52 |
| 2.81 | 2.91 | 2.96 | 2.99 | |
| 4.37 | 4.26 | 4.15 | 4.08 |
| n | 10–20 | 20–40 | 40–80 | 80–160 | 160–320 | 320–640 |
|---|---|---|---|---|---|---|
| SML | 2.36 | 2.33 | 2.33 | 2.32 | 2.33 | 2.36 |
| 2.74 | 2.88 | 2.94 | 2.97 | 2.99 | 2.99 | |
| 4.43 | 4.35 | 4.24 | 4.15 | 4.06 | 3.78 |
| n | 5–10 | 10–20 | 20–40 | 40–80 |
|---|---|---|---|---|
| SML | 2.05 | 2.20 | 2.33 | 2.52 |
| 2.73 | 2.86 | 2.93 | 2.97 | |
| 4.39 | 4.27 | 4.15 | 4.08 |
| n | 5–10 | 10–20 | 20–40 | 40–80 |
|---|---|---|---|---|
| SML | 2.08 | 2.23 | 2.34 | 2.51 |
| 3.20 | 3.14 | 3.09 | 3.05 | |
| 3.91 | 3.97 | 3.99 | 3.99 |
Publisher’s Note: MDPI stays neutral with regard to jurisdictional claims in published maps and institutional affiliations. |
© 2021 by the authors. Licensee MDPI, Basel, Switzerland. This article is an open access article distributed under the terms and conditions of the Creative Commons Attribution (CC BY) license (https://creativecommons.org/licenses/by/4.0/).
Share and Cite
Alonso-Mallo, I.; Cano, B. Efficient Time Integration of Nonlinear Partial Differential Equations by Means of Rosenbrock Methods. Mathematics 2021, 9, 1970. https://doi.org/10.3390/math9161970
Alonso-Mallo I, Cano B. Efficient Time Integration of Nonlinear Partial Differential Equations by Means of Rosenbrock Methods. Mathematics. 2021; 9(16):1970. https://doi.org/10.3390/math9161970
Chicago/Turabian StyleAlonso-Mallo, Isaías, and Begoña Cano. 2021. "Efficient Time Integration of Nonlinear Partial Differential Equations by Means of Rosenbrock Methods" Mathematics 9, no. 16: 1970. https://doi.org/10.3390/math9161970
APA StyleAlonso-Mallo, I., & Cano, B. (2021). Efficient Time Integration of Nonlinear Partial Differential Equations by Means of Rosenbrock Methods. Mathematics, 9(16), 1970. https://doi.org/10.3390/math9161970

