Application of Artificial Intelligence and Gamma Attenuation Techniques for Predicting Gas–Oil–Water Volume Fraction in Annular Regime of Three-Phase Flow Independent of Oil Pipeline’s Scale Layer
Abstract
:1. Introduction
2. Materials and Methods
2.1. Radiation Based System
2.2. Artificial Intelligence
- (1)
- The data set, counters, and error are defined.
- (2)
- The data set is normalized.
- (3)
- The parameters initial values are set.
- (4)
- Several loops are created.
- (5)
- Different number of layers, neurons in each layer, epochs, and different activation functions are tested.
- (6)
- The efficiency of each network is checked.
- (7)
- The best network with lowest error is saved.
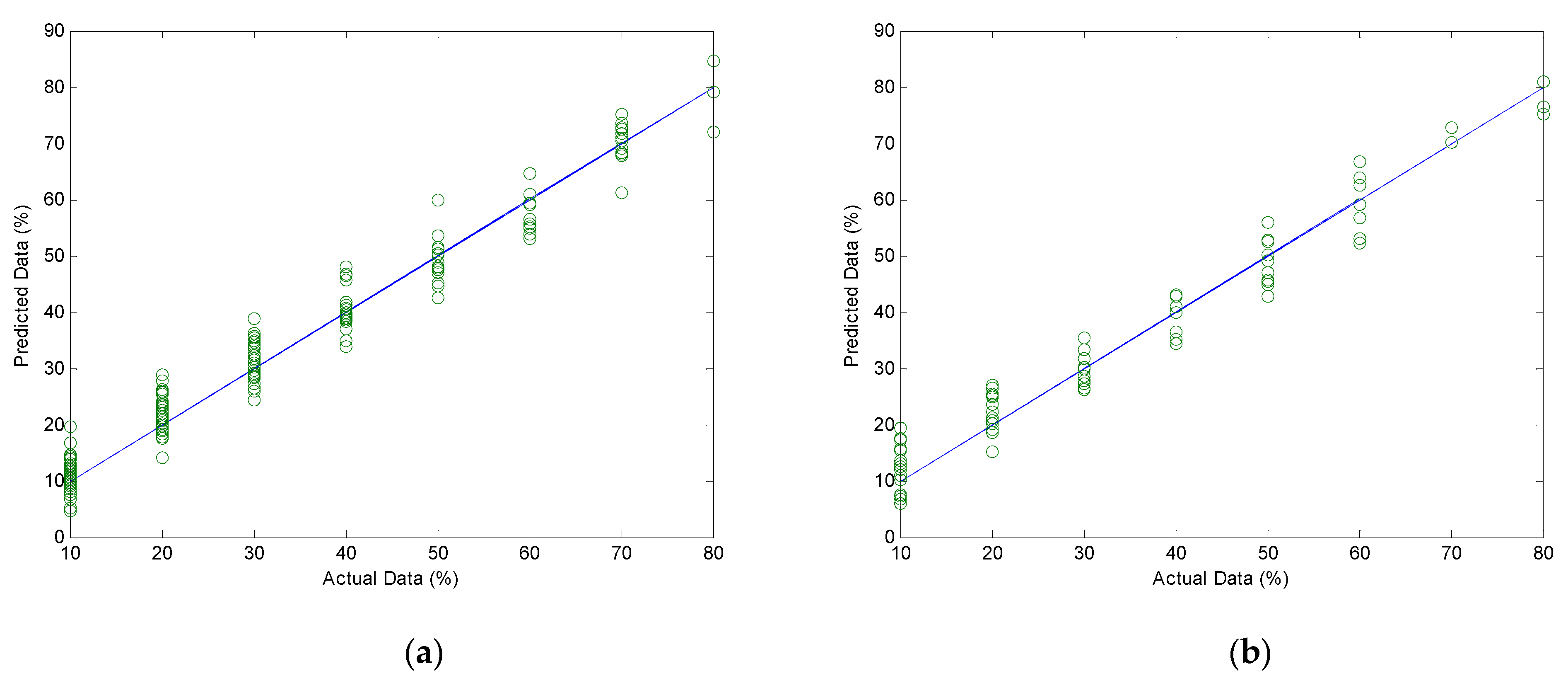
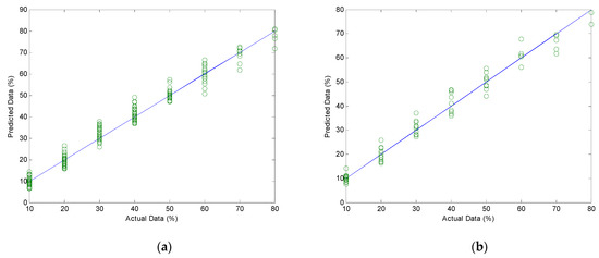
3. Results and Discussions
4. Conclusions
Author Contributions
Funding
Institutional Review Board Statement
Informed Consent Statement
Data Availability Statement
Conflicts of Interest
References
- Abouelwafa, M.; Kendall, E. The measurement of component ratios in multiphase systems using alpha-ray attenuation. J. Phys. E Sci. Instrum. 1980, 13, 341. [Google Scholar] [CrossRef]
- Li, D.; Wu, Y.; Li, Z.; Zhong, X. Volumetric fraction measurement in oil–water–gas multiphase flow with dual energy gamma-ray system. J. Zhejiang Univ. Sci. A 2005, 6, 1405–1411. [Google Scholar]
- Salgado, C.M.; Brandão, L.E.; Schirru, R.; Pereira, C.M.; da Silva, A.X.; Ramos, R. Prediction of volume fractions in three-phase flows using nuclear technique and artificial neural network. Appl. Radiat. Isot. 2009, 67, 1812–1818. [Google Scholar] [CrossRef]
- Salgado, C.M.; Pereira, C.M.; Schirru, R.; Brandão, L.E. Flow regime identification and volume fraction prediction in multiphase flows by means of gamma-ray attenuation and artificial neural networks. Prog. Nucl. Energy 2010, 52, 555–562. [Google Scholar] [CrossRef]
- Hoffmann, R.; Johnson, G.W. Measuring phase distribution in high pressure three-phase flow using gamma densitometry. Flow Meas. Instrum. 2011, 22, 351–359. [Google Scholar] [CrossRef]
- Karami, A.; Roshani, G.H.; Khazaei, A.; Nazemi, E.; Fallahi, M. Investigation of different sources in order to optimize the nuclear metering system of gas–oil–water annular flows. Neural Comput. Appl. 2020, 32, 3619–3631. [Google Scholar] [CrossRef]
- Meric, I.; Johansen, G.A.; Mattingly, J.; Gardner, R. On the ill-conditioning of the multiphase flow measurement by prompt gamma-ray neutron activation analysis. Radiat. Phys. Chem. 2014, 95, 401–404. [Google Scholar] [CrossRef]
- Oliveira, D.F.; Nascimento, J.R.; Marinho, C.A.; Lopes, R.T. Gamma transmission system for detection of scale in oil exploration pipelines. Nucl. Instrum. Methods Phys. Res. Sect. A Accel. Spectrometers Detect. Assoc. Equip. 2015, 784, 616–620. [Google Scholar] [CrossRef]
- Hanus, R.; Zych, M.; Mosorov, V.; Golijanek-Jędrzejczyk, A.; Jaszczur, M.; Andruszkiewicz, A. Evaluation of liquid-gas flow in pipeline using gamma-ray absorption technique and advanced signal processing. Metrol. Meas. Syst. 2021, 28, 145–159. [Google Scholar]
- Roshani, M.; Phan, G.T.; Ali, P.J.M.; Roshani, G.H.; Hanus, R.; Duong, T.; Corniani, E.; Nazemi, E.; Kalmoun, E.M. Evaluation of flow pattern recognition and void fraction measurement in two phase flow independent of oil pipeline’s scale layer thickness. Alex. Eng. J. 2021, 60, 1955–1966. [Google Scholar] [CrossRef]
- Nazemi, E.; Feghhi, S.; Roshani, G.; Setayeshi, S.; Peyvandi, R.G. A radiation-based hydrocarbon two-phase flow meter for estimating of phase fraction independent of liquid phase density in stratified regime. Flow Meas. Instrum. 2015, 46, 25–32. [Google Scholar] [CrossRef]
- Nazemi, E.; Feghhi, S.; Roshani, G.; Peyvandi, R.G.; Setayeshi, S. Precise Void Fraction Measurement in Two-phase Flows Independent of the Flow Regime Using Gamma-ray Attenuation. Nucl. Eng. Technol. 2016, 48, 64–71. [Google Scholar] [CrossRef] [Green Version]
- Vlasák, P.; Chára, Z.; Matoušek, V.; Konfršt, J.; Kesely, M. Experimental investigation of fine-grained settling slurry flow behaviour in inclined pipe sections. J. Hydrol. Hydromech. 2019, 67, 113–120. [Google Scholar] [CrossRef] [Green Version]
- Roshani, G.H.; Nazemi, E.; Roshani, M.M. Flow regime independent volume fraction estimation in three-phase flows using dual-energy broad beam technique and artificial neural network. Neural Comput. Appl. 2016, 28, 1265–1274. [Google Scholar] [CrossRef]
- El Abd, A. Intercomparison of gamma ray scattering and transmission techniques for gas volume fraction measurements in two phase pipe flow. Nucl. Instrum. Methods Phys. Res. Sect. A 2014, 735, 260–266. [Google Scholar] [CrossRef]
- Roshani, G.H.; Roshani, S.; Nazemi, E.; Roshani, S. Online measuring density of oil products in annular regime of gas-liquid two phase flows. Measurement 2018, 129, 296–301. [Google Scholar] [CrossRef]
- Mosorov, V.; Rybak, G.; Sankowski, D. Plug Regime Flow Velocity Measurement Problem Based on Correlability Notion and Twin Plane Electrical Capacitance Tomography: Use Case. Sensors 2021, 21, 2189. [Google Scholar] [CrossRef]
- Vlasák, P.; Matoušek, V.; Chára, Z.; Krupička, J.; Konfršt, J.; Kesely, M. Concentration distribution and deposition limit of medium-coarse sand-water slurry in inclined pipe. J. Hydrol. Hydromech. 2020, 68, 83–91. [Google Scholar] [CrossRef] [Green Version]
- Zych, M.; Hanus, R.; Vlasák, P.; Jaszczur, M.; Petryka, L. Radiometric methods in the measurement of particle-laden flows. Powder Technol. 2017, 318, 491–500. [Google Scholar] [CrossRef]
- Roshani, M.; Sattari, M.A.; Ali, P.J.M.; Roshani, G.H.; Nazemi, B.; Corniani, E.; Nazemi, E. Application of GMDH neural network technique to improve measuring precision of a simplified photon attenuation based two-phase flowmeter. Flow Meas. Instrum. 2020, 75, 101804. [Google Scholar] [CrossRef]
- Mosorov, V.; Zych, M.; Hanus, R.; Sankowski, D.; Saoud, A. Improvement of Flow Velocity Measurement Algorithms Based on Correlation Function and Twin Plane Electrical Capacitance Tomography. Sensors 2020, 20, 306. [Google Scholar] [CrossRef] [Green Version]
- Roshani, M.; Phan, G.; Faraj, R.H.; Phan, N.-H.; Roshani, G.H.; Nazemi, B.; Corniani, E.; Nazemi, E. Proposing a gamma radiation based intelligent system for simultaneous analyzing and detecting type and amount of petroleum by-products. Nucl. Eng. Technol. 2021. [Google Scholar] [CrossRef]
- Golijanek-Jędrzejczyk, A.; Mrowiec, A.; Hanus, R.; Zych, M.; Świsulski, D. Uncertainty of mass flow measurement using centric and eccentric orifice for Reynolds number in the range 10,000 ≤ Re ≤ 20,000. Measurement 2020, 160, 107851. [Google Scholar] [CrossRef]
- Zhang, F.; Chen, K.; Zhu, L.; Appiah, D.; Hu, B.; Yuan, S. Gas–Liquid Two-Phase Flow Investigation of Side Channel Pump: An Application of MUSIG Model. Mathematics 2020, 8, 624. [Google Scholar] [CrossRef] [Green Version]
- Roshani, G.H.; Hanus, R.; Khazaei, A.; Zych, M.; Nazemi, E.; Mosorov, V. Density and velocity determination for single-phase flow based on radiotracer technique and neural networks. Flow Meas. Instrum. 2018, 61, 9–14. [Google Scholar] [CrossRef]
- Chemical Cleaning. Available online: https://www.fourquest.com/services/chemical-cleaning (accessed on 15 February 2020).
- Pelowitz, D.B. MCNP-X TM User’s Manual, Version 2.5.0. LA-CP-05e0369; Los Alamos National Laboratory: New Mexico, NM, USA, 2005. [Google Scholar]
- Nazemi, E.; Roshani, G.H.; Feghhi, S.A.H.; Setayeshi, S.; Zadeh, E.E.; Fatehi, A. Optimization of a method for iden-tifying the flow regime and measuring void fraction in a broad beam gamma-ray attenuation technique. Int. J. Hydrog. Energy 2016, 41, 7438–7444. [Google Scholar] [CrossRef]
- Versaci, M.; Morabito, F.C. Image edge detection: A new approach based on fuzzy entropy and fuzzy divergence. Int. J. Fuzzy Syst. 2021, 1–19. [Google Scholar] [CrossRef]
- Burrascano, P.; Ciuffetti, M. Early Detection of Defects through the Identification of Distortion Characteristics in Ultrasonic Responses. Mathematics 2021, 9, 850. [Google Scholar] [CrossRef]
- Roshani, M.; Phan, G.; Roshani, G.H.; Hanus, R.; Nazemi, B.; Corniani, E.; Nazemi, E. Combination of X-ray tube and GMDH neural network as a nondestructive and potential technique for measuring characteristics of gas–oil–water three phase flows. Measurement 2021, 168, 108427. [Google Scholar] [CrossRef]
- Versaci, M.; Angiulli, G.; di Barba, P.; Morabito, F.C. Joint use of eddy current imaging and fuzzy similarities to assess the integrity of steel plates. Open Phys. 2020, 18, 230–240. [Google Scholar] [CrossRef]
- Pourjabar, S.; Choi, G.S. A High-Throughput Multi-Mode LDPC Decoder for 5G NR. arXiv 2021, arXiv:2102.13228. [Google Scholar]
- Karami, A.; Yousefi, T.; Harsini, I.; Maleki, E.; Mahmoudinezhad, S. Neuro-Fuzzy Modeling of the Free Convection Heat Transfer from a Wavy Surface. Heat Transf. Eng. 2015, 36, 847–855. [Google Scholar] [CrossRef]
- Darbandi, M.; Ramtin, A.R.; Sharafi, O.K. Tasks mapping in the network on a chip using an improved optimization algorithm. Int. J. Pervasive Comput. Commun. 2020, 16, 165–182. [Google Scholar] [CrossRef]
- Moradi, M.J.; Roshani, M.M.; Shabani, A.; Kioumarsi, M. Prediction of the load-bearing behavior of spsw with rectangular opening by RBF net-work. Appl. Sci. 2020, 10, 1185. [Google Scholar] [CrossRef] [Green Version]
- Abolhasani, M.; Karami, A.; Rahimi, M. Numerical Modeling and Optimization of the Enhancement of the Cooling Rate in Concentric Tubes Under Ultrasound Field. Numer. Heat Transf. Part A Appl. 2015, 67, 1282–1309. [Google Scholar] [CrossRef]
- Jamshidi, M.B.; Lalbakhsh, A.; Talla, J.; Peroutka, Z.; Hadjilooei, F.; Lalbakhsh, P.; Jamshidi, M.; La Spada, L.; Mirmozafari, M.; Dehghani, M.; et al. Artificial intelligence and COVID-19: Deep learning approaches for diagnosis and treatment. IEEE Access 2020, 8, 109581–109595. [Google Scholar] [CrossRef]
- Xue, H.; Yu, P.; Zhang, M.; Zhang, H.; Wang, E.; Wu, G.; Li, Y.; Zheng, X. A Wet Gas Metering System Based on the Extended-Throat Venturi Tube. Sensors 2021, 21, 2120. [Google Scholar] [CrossRef]
- Moradi, M.; Daneshvar, K.; Ghazi-Nader, D.; Hajiloo, H. The prediction of fire performance of concrete-filled steel tubes (CFST) using artificial neural network. Thin Walled Struct. 2021, 161, 107499. [Google Scholar] [CrossRef]
- Aghakhani, M.; Ghaderi, M.R.; Karami, A.; Derakhshan, A.A. Combined effect of TiO2 nanoparticles and input welding parameters on the weld bead penetration in submerged arc welding process using fuzzy logic. Int. J. Adv. Manuf. Technol. 2014, 70, 63–72. [Google Scholar] [CrossRef]
- Jamshidi, M.B.; Roshani, S.; Talla, J.; Roshani, S.; Peroutka, Z. Size reduction and performance improvement of a microstrip Wilkinson power divider using a hybrid design technique. Sci. Rep. 2021, 11, 1–15. [Google Scholar] [CrossRef]
- Roshani, G.H.; Nazemi, E.; Feghhi, S.A.H.; Setayeshi, S. Flow regime identification and void fraction prediction in two-phase flows based on gamma ray attenuation. Measurement 2015, 62, 25–32. [Google Scholar] [CrossRef]
- Arabi, M.; Dehshiri, A.M.; Shokrgozar, M. Modeling transportation supply and demand forecasting using artificial intelligence parameters (Bayesian model). J. Appl. Eng. Sci. 2018, 16, 43–49. [Google Scholar] [CrossRef] [Green Version]
- Salimi, J.; Ramezanianpour, A.M.; Moradi, M.J. Studying the effect of low reactivity metakaolin on free and restrained shrinkage of high performance concrete. J. Build. Eng. 2020, 28, 101053. [Google Scholar] [CrossRef]
- Roshani, G.H.; Nazemi, E.; Feghhi, S.A.H. Investigation of using 60Co source and one detector for determining the flow regime and void fraction in gas–liquid two-phase flows. Flow Meas. Instrum. 2016, 50, 73–79. [Google Scholar] [CrossRef]
- Lotfi, S.; Roshani, S.; Roshani, S. Design of a miniaturized planar microstrip Wilkinson power divider with harmonic cancellation. Turk. J. Electr. Eng. Comput. Sci. 2020, 28, 3126–3136. [Google Scholar] [CrossRef]
- Karami, A.; Veysi, F.; Mohebbi, S.; Ghashghaei, D. Optimization of Laminar Free Convection in a Horizontal Cavity Consisting of Flow Diverters Using ICA. Arab. J. Sci. Eng. 2014, 39, 2295–2306. [Google Scholar] [CrossRef]
- Khaleghi, M.; Salimi, J.; Farhangi, V.; Moradi, M.J.; Karakouzian, M. Application of Artificial Neural Network to Predict Load Bearing Capacity and Stiffness of Perfo-rated Masonry Walls. CivilEng 2021, 2, 48–67. [Google Scholar] [CrossRef]
- Roshani, G.H.; Nazemi, E.; Roshani, M.M. Usage of two transmitted detectors with optimized orientation in order to three phase flow metering. Measurement 2017, 100, 122–130. [Google Scholar] [CrossRef]
- Pirasteh, A.; Roshani, S.; Roshani, S. Compact microstrip lowpass filter with ultrasharp response using a square-loaded modified T-shaped resonator. Turk. J. Electr. Eng. Comput. Sci. 2018, 26, 1736–1746. [Google Scholar] [CrossRef]
- Arief, H.A.; Wiktorski, T.; Thomas, P.J. A Survey on Distributed Fibre Optic Sensor Data Modelling Techniques and Machine Learning Algorithms for Multiphase Fluid Flow Estimation. Sensors 2021, 21, 2801. [Google Scholar] [CrossRef]
- Roshani, S.; Roshani, S. Two-Section Impedance Transformer Design and Modeling for Power Amplifier Applications. Appl. Comput. Electromagn. Soc. J. 2017, 32, 1042–1047. [Google Scholar]
- Roshani, G.H.; Nazemi, E.; Roshani, M.M. Intelligent recognition of gas–oil–water three-phase flow regime and determination of volume fraction using radial basis function. Flow Meas. Instrum. 2017, 54, 39–45. [Google Scholar] [CrossRef]
- Jahanshahi, A.; Sabzi, H.Z.; Lau, C.; Wong, D. GPU-NEST: Characterizing Energy Efficiency of Multi-GPU Inference Servers. IEEE Comput. Archit. Lett. 2020, 19, 139–142. [Google Scholar] [CrossRef]
- Roshani, G.H.; Nazemi, E.; Roshani, M.M. Identification of flow regime and estimation of volume fraction independent of liquid phase density in gas-liquid two-phase flow. Prog. Nucl. Energy 2017, 98, 29–37. [Google Scholar] [CrossRef]
- Moradi, M.J.; Hariri-Ardebili, M.A. Developing a library of shear walls database and the neural network based predictive meta-model. Appl. Sci. 2019, 9, 2562. [Google Scholar] [CrossRef] [Green Version]
- Roshani, S.; Jamshidi, M.B.; Mohebi, F.; Roshani, S. Design and Modeling of a Compact Power Divider with Squared Resonators Using Artificial Intelligence. Wirel. Pers. Commun. 2020. [Google Scholar] [CrossRef]
- Jahanshahi, A.; Taram, M.K.; Eskandari, N. Blokus Duo game on FPGA. In Proceedings of the 17th CSI International Symposium on Computer Architecture & Digital Systems (CADS 2013), Tehran, Iran, 30–31 October 2013; pp. 149–152. [Google Scholar]
- Bavandpour, S.K.; Roshani, S.; Pirasteh, A.; Roshani, S.; Seyedi, H. A compact lowpass-dual bandpass diplexer with high output ports isolation. AEU Int. J. Electron. Commun. 2021, 135, 153748. [Google Scholar] [CrossRef]
- Roshani, G.H.; Nazemi, E. Intelligent densitometry of petroleum products in stratified regime of two phase flows using gamma ray and neural network. Flow Meas. Instrum. 2017, 58, 6–11. [Google Scholar] [CrossRef]
- Jahanshahi, A. TinyCNN: A Tiny Modular CNN Accelerator for Embedded FPGA. arXiv 2019, arXiv:1911.06777. [Google Scholar]
- Sattari, M.A.; Roshani, G.H.; Hanus, R.; Nazemi, E. Applicability of time-domain feature extraction methods and artificial intelligence in two-phase flow meters based on gamma-ray absorption technique. Measurement 2021, 168, 108474. [Google Scholar] [CrossRef]
- Nabavi, M.; Elveny, M.; Danshina, S.D.; Behroyan, I.; Babanezhad, M. Velocity prediction of Cu/water nanofluid convective flow in a circular tube: Learning CFD data by differential evolution algorithm based fuzzy inference system (DEFIS). Int. Commun. Heat Mass Transf. 2021, 126, 105373. [Google Scholar] [CrossRef]
- Karami, A.; Roshani, G.H.; Nazemi, E.; Roshani, S. Enhancing the performance of a dual-energy gamma ray based three-phase flow meter with the help of grey wolf optimization algorithm. Flow Meas. Instrum. 2018, 64, 164–172. [Google Scholar] [CrossRef]












| Data Number | Scale Layer Thickness | Actual Percentage of Gas Volume Fraction | Predicted Percentage of Gas Volume Fraction | Actual Percentage of Oil Volume Fraction | Predicted Percentage of Oil Volume Fraction | Data Number | Scale Layer Thickness | Actual Percentage of Gas Volume Fraction | Predicted Percentage of Gas Volume Fraction | Actual Percentage of Oil Volume Fraction | Predicted Percentage of Oil Volume Fraction |
|---|---|---|---|---|---|---|---|---|---|---|---|
| 1 | 0 | 10 | 10.192 | 30 | 33.188 | 39 | 1.5 | 30 | 31.776 | 20 | 15.131 |
| 2 | 0 | 10 | 9.1929 | 70 | 72.778 | 40 | 1.5 | 30 | 33.395 | 50 | 42.774 |
| 3 | 0 | 20 | 18.589 | 20 | 23.656 | 41 | 1.5 | 40 | 38.145 | 20 | 24.954 |
| 4 | 0 | 20 | 22.769 | 50 | 45.377 | 42 | 1.5 | 50 | 44.139 | 10 | 19.463 |
| 5 | 0 | 30 | 27.957 | 20 | 21.208 | 43 | 1.5 | 60 | 61.639 | 10 | 10.063 |
| 6 | 0 | 30 | 27.197 | 50 | 44.794 | 44 | 1.5 | 70 | 69.562 | 10 | 17.143 |
| 7 | 0 | 40 | 40.997 | 20 | 26.426 | 45 | 2 | 10 | 9.568 | 10 | 13.678 |
| 8 | 0 | 40 | 46.476 | 50 | 46.974 | 46 | 2 | 10 | 9.3796 | 50 | 52.381 |
| 9 | 0 | 50 | 54.003 | 40 | 40.954 | 47 | 2 | 10 | 11.105 | 80 | 80.937 |
| 10 | 0 | 60 | 60.570 | 30 | 30.223 | 48 | 2 | 20 | 22.548 | 30 | 26.564 |
| 11 | 0 | 80 | 78.644 | 10 | 17.264 | 49 | 2 | 20 | 25.880 | 60 | 53.048 |
| 12 | 0.5 | 10 | 14.223 | 30 | 35.266 | 50 | 2 | 30 | 37.023 | 20 | 26.569 |
| 13 | 0.5 | 10 | 14.259 | 60 | 63.838 | 51 | 2 | 30 | 33.899 | 50 | 45.598 |
| 14 | 0.5 | 20 | 16.300 | 20 | 25.508 | 52 | 2 | 40 | 45.734 | 30 | 27.702 |
| 15 | 0.5 | 20 | 18.683 | 60 | 62.395 | 53 | 2 | 50 | 55.656 | 20 | 19.188 |
| 16 | 0.5 | 30 | 29.442 | 30 | 29.886 | 54 | 2 | 60 | 67.743 | 10 | 10.936 |
| 17 | 0.5 | 30 | 30.865 | 60 | 59.076 | 55 | 2 | 70 | 67.136 | 10 | 6.609 |
| 18 | 0.5 | 40 | 46.686 | 30 | 26.175 | 56 | 2.5 | 10 | 10.469 | 20 | 22.249 |
| 19 | 0.5 | 50 | 51.928 | 10 | 19.454 | 57 | 2.5 | 10 | 8.542 | 60 | 66.662 |
| 20 | 0.5 | 50 | 46.869 | 40 | 34.376 | 58 | 2.5 | 20 | 16.971 | 10 | 15.272 |
| 21 | 0.5 | 70 | 69.221 | 10 | 12.063 | 59 | 2.5 | 20 | 19.480 | 40 | 42.727 |
| 22 | 1 | 10 | 10.599 | 10 | 15.606 | 60 | 2.5 | 30 | 37.115 | 10 | 13.023 |
| 23 | 1 | 10 | 9.643 | 40 | 39.935 | 61 | 2.5 | 30 | 33.332 | 40 | 42.970 |
| 24 | 1 | 10 | 11.224 | 80 | 76.384 | 62 | 2.5 | 40 | 43.650 | 20 | 18.483 |
| 25 | 1 | 20 | 16.727 | 30 | 27.304 | 63 | 2.5 | 50 | 50.924 | 10 | 6.802 |
| 26 | 1 | 20 | 17.615 | 60 | 56.777 | 64 | 2.5 | 60 | 61.051 | 10 | 17.548 |
| 27 | 1 | 30 | 31.423 | 20 | 25.014 | 65 | 2.5 | 70 | 61.640 | 10 | 12.625 |
| 28 | 1 | 30 | 28.196 | 50 | 50.101 | 66 | 3 | 10 | 8.257 | 20 | 24.801 |
| 29 | 1 | 40 | 35.962 | 20 | 24.818 | 67 | 3 | 10 | 8.638 | 50 | 55.815 |
| 30 | 1 | 40 | 37.449 | 50 | 48.968 | 68 | 3 | 10 | 10.566 | 80 | 75.169 |
| 31 | 1 | 50 | 48.608 | 30 | 31.725 | 69 | 3 | 20 | 21.072 | 40 | 36.381 |
| 32 | 1 | 60 | 56.010 | 20 | 20.542 | 70 | 3 | 20 | 22.616 | 70 | 70.018 |
| 33 | 1 | 80 | 73.836 | 10 | 5.888 | 71 | 3 | 30 | 31.506 | 40 | 35.196 |
| 34 | 1.5 | 10 | 10.833 | 20 | 20.221 | 72 | 3 | 40 | 36.545 | 20 | 27.044 |
| 35 | 1.5 | 10 | 7.667 | 50 | 52.823 | 73 | 3 | 50 | 51.333 | 10 | 7.174 |
| 36 | 1.5 | 10 | 8.459 | 80 | 75.090 | 74 | 3 | 50 | 48.273 | 40 | 36.407 |
| 37 | 1.5 | 20 | 18.903 | 30 | 28.645 | 75 | 3 | 70 | 63.588 | 10 | 7.416 |
| 38 | 1.5 | 20 | 20.442 | 60 | 52.318 |
| Output | RMSE | MAE | ||
|---|---|---|---|---|
| Train | Test | Train | Test | |
| Gas Volume Fraction Percentage | 3.0956 | 3.3362 | 2.3266 | 2.6198 |
| Oil Volume Fraction Percentage | 3.5757 | 4.3268 | 2.7662 | 3.6579 |
Publisher’s Note: MDPI stays neutral with regard to jurisdictional claims in published maps and institutional affiliations. |
© 2021 by the authors. Licensee MDPI, Basel, Switzerland. This article is an open access article distributed under the terms and conditions of the Creative Commons Attribution (CC BY) license (https://creativecommons.org/licenses/by/4.0/).
Share and Cite
Alkabaa, A.S.; Nazemi, E.; Taylan, O.; Kalmoun, E.M. Application of Artificial Intelligence and Gamma Attenuation Techniques for Predicting Gas–Oil–Water Volume Fraction in Annular Regime of Three-Phase Flow Independent of Oil Pipeline’s Scale Layer. Mathematics 2021, 9, 1460. https://doi.org/10.3390/math9131460
Alkabaa AS, Nazemi E, Taylan O, Kalmoun EM. Application of Artificial Intelligence and Gamma Attenuation Techniques for Predicting Gas–Oil–Water Volume Fraction in Annular Regime of Three-Phase Flow Independent of Oil Pipeline’s Scale Layer. Mathematics. 2021; 9(13):1460. https://doi.org/10.3390/math9131460
Chicago/Turabian StyleAlkabaa, Abdulaziz S., Ehsan Nazemi, Osman Taylan, and El Mostafa Kalmoun. 2021. "Application of Artificial Intelligence and Gamma Attenuation Techniques for Predicting Gas–Oil–Water Volume Fraction in Annular Regime of Three-Phase Flow Independent of Oil Pipeline’s Scale Layer" Mathematics 9, no. 13: 1460. https://doi.org/10.3390/math9131460
APA StyleAlkabaa, A. S., Nazemi, E., Taylan, O., & Kalmoun, E. M. (2021). Application of Artificial Intelligence and Gamma Attenuation Techniques for Predicting Gas–Oil–Water Volume Fraction in Annular Regime of Three-Phase Flow Independent of Oil Pipeline’s Scale Layer. Mathematics, 9(13), 1460. https://doi.org/10.3390/math9131460

