Next Article in Journal
An Adaptive Cuckoo Search-Based Optimization Model for Addressing Cyber-Physical Security Problems
Next Article in Special Issue
A New Flexible Family of Continuous Distributions: The Additive Odd-G Family
Previous Article in Journal
A New Class of Estimators Based on a General Relative Loss Function
Previous Article in Special Issue
An Exhaustive Power Comparison of Normality Tests
 
 
Font Type:
Arial Georgia Verdana
Font Size:
Aa Aa Aa
Line Spacing:
Column Width:
Background:
Article

Reliability Properties of the NDL Family of Discrete Distributions with Its Inference

by
Mohammed Mohammed Ahmed Almazah
1,2,
Badr Alnssyan
3,
Abdul Hadi N. Ahmed
4 and
Ahmed Z. Afify
5,*
1
Department of Mathematics, College of Sciences and Arts (Muhyil), King Khalid University, Muhyil 61421, Saudi Arabia
2
Department of Mathematics and Computer, College of Sciences, Ibb University, Ibb 70270, Yemen
3
Department of Administrative Sciences and Humanities, Community College, Qassim University, Buraydah 52325, Saudi Arabia
4
Department of Mathematical Statistics, Faculty of Graduate Studies for Statistical Research, Cairo University, Giza 12631, Egypt
5
Department of Statistics, Mathematics and Insurance, Benha University, Benha 13511, Egypt
*
Author to whom correspondence should be addressed.
Mathematics 2021, 9(10), 1139; https://doi.org/10.3390/math9101139
Submission received: 25 March 2021 / Revised: 26 April 2021 / Accepted: 6 May 2021 / Published: 18 May 2021
(This article belongs to the Special Issue Probability, Statistics and Their Applications 2021)

Abstract

The natural discrete Lindley (NDL) distribution is an intuitive idea that uses discrete analogs to well-known continuous distributions rather than using any of the published discretization techniques. The NDL is a flexible extension of both the geometric and the negative binomial distributions. In the present article, we further investigate new results of value in the areas of both theoretical and applied reliability. To be specific, several closure properties of the NDL are proved. Among the results, sufficient conditions that maintain the preservation properties under useful partial orderings, convolution, and random sum of random variables are introduced. Eight different methods of estimation, including the maximum likelihood, least squares, weighted least squares, Cramér–von Mises, the maximum product of spacing, Anderson–Darling, right-tail Anderson–Darling, and percentiles, have been used to estimate the parameter of interest. The performance of these estimators has been evaluated through extensive simulation. We have also demonstrated two applications of NDL in modeling real-life problems, including count data. It is worth noting that almost all the methods have resulted in very satisfactory estimates on both simulated and real-world data.

1. Introduction

Interests in discrete failure data came relatively late in comparison to its continuous analog. The subject matter has, to some extent, been neglected. It was only briefly mentioned by [1]. For earlier works on discrete lifetime distributions, see [2,3,4,5]. In the last few decades, many papers have appeared in the statistical literature on the discretization of continuous distributions. The most recent discrete distributions include the discrete analogs of the continuous Burr and Pareto distributions [6], discrete analog of the continuous inverse Weibull distribution [7], and discrete analog of the generalized exponential distribution [8]. These three distributions have at least two parameters each and have not yet received any applications. Further, the moments of the three distributions are expressed in terms of either non-standard special functions or infinite sums.
In spite of all the available discrete models, there is still a great need to create more flexible discrete distributions to model several types of real data in many applied areas, such as social sciences, economics, biometrics, and reliability studies, to model different types of count data.
Recently, Al-Babtain et al. [9] introduced the natural discrete Lindley (NDL) distribution, using a mixture of geometric and negative binomial distributions. However, the authors saw that there was still a lot of room for introducing new results relating the NDL to both theoretical and applied reliability, which has motivated the authors to further study the NDL distribution.
The NDL distribution [9], specified by the probability mass function (PMF), is
p ( x ) = θ 2 1 + θ ( 2 + x ) ( 1 θ ) x ,   x = 0 ,   1 ,   2 ,   and     θ ( 0 , 1 ) ,
where survival function (SF) and hazard rate (HR) function are, respectively, given by
S ( x ) = P ( X x ) = 1 + θ + θ x 1 + θ ( 1 θ ) x ,   x = 0 , 1 , 2 ,   and     θ ( 0 , 1 )
and
r ( x ) = p ( x ) P ( X x ) = θ 2 ( 2 + x ) 1 + θ + θ x ,     x = 0 , 1 , 2 ,   and     θ ( 0 , 1 ) .
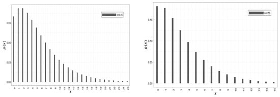
Further details about the NDL distribution can be explored in [9]. For example, Figure 1 and Figure 2 display possible shapes for the PMF and HR function of the NDL distribution for some values of θ , to show that the NDL distribution is always uni-modal for all values of θ ( 0 ,   1 ) , whereas its HR function is always increasing in θ .
In the current article, several additional theoretical reliability properties, as well as useful partial orderings, are introduced. Besides, different methods for estimating the involved parameter are explored, and their results compared.
Among the basic results, it has been shown that the hazard rate ordering of members of the NDL family is preserved under a common contamination. This is quite useful in the case where the systems are operating under random common environments. Important results are derived covering the preservation of the sums of random variables under the hazard rate, likelihood ratio, and the reversed hazard rate. Such results are quite useful in the reliability practicing. More importantly, it is shown that the life lengths of two series systems composed of ordered components of the NDL family preserve the hazard rate order. A basic result gives sufficient conditions for the preservation of the D-MRL property under the assumption of log-concavity of an added contamination. Other, similar results consider the D-MRL case. Finally, an interesting application to renewal processes, which is very helpful in “replacement studies”, is also presented.
In particular, we give sufficient conditions that maintain the preservation properties under useful partial orderings, convolution, and random sum of random variables. Preservation under common random effects of the surrounding environment is also established. Moreover, interesting applications to weighted distributions and length-biased models have been carefully investigated. Finally, different methods have been used to estimate the parameter of the NDL, and the efficiencies of these estimation methods have been compared.
The rest of the paper is organized as follows. For completeness, several reliability closure properties and useful partial ordering comparisons are established in Section 2. In Section 3, a discrete renewal process application is presented. Section 4 is devoted to inferences about the involved parameter. In Section 5, we conduct a detailed simulation study to explore the behavior of the proposed estimators. In Section 6, the validity of estimation methods is checked empirically using two real biological datasets. Finally, conclusions and future work are given in Section 7.

2. Closure Properties of the NDL Distribution

2.1. Preliminaries

This section is devoted to presenting definitions, notation, and basic facts used throughout the paper. We use increasing (decreasing) in place of nondecreasing (nonincreasing).
The following two lemmas pave the road for introducing our new results.
Lemma 1.
Let X 1 ~ N D L ( θ 1 ) and Y 1 ~ N D L ( θ 2 ) . Then, X H R Y for all θ 1 > θ 2 .
Lemma 1 shows that the NDL family is ordered by different values of the parameter according to the HR order. For a proof, see Corollary 2 in [9].
The next lemma shows that the NDL has the increasing failure rate (IFR) property.
Definition 1.
A discrete random variable (rv)  X with PMF p ( x ) is said to have an IFR if p ( x ) is log-concave, that is, if   p ( x + 2 )   p ( x ) p ( x + 1 ) 2 ,   f o r   x = 0 , 1 , 2 , [10].
Lemma 2.
Let X ~ N D L ( θ ) , then X has IFR property.
Proof. 
See Theorem 1 in [9].  □
Let X i be N D L ( θ i ) ,   i = 1 , 2 . Let Z be a contaminated independent of X i ’s. The following theorem shows that the HR ordering is preserved under an added contamination.
Definition 2.
The discrete rv  X is said to be smaller than Y in weak likelihood ratio (WLR) ordering (say  X W L R Y ) if p X ( x + 1 ) p Y ( x + 1 ) p X ( 0 ) p Y ( 0 )     x 0 [11].
Definition 3.
The mean residual lifetime (MRL) of the NDL distribution is given by
m ( x ) = E ( X x | X x ) = 1 θ θ 2 r ( x ) + ( 1 θ ) ( 2 θ ) θ ( 1 + θ + θ x ) ,
where  r ( x )  is the HR function of the NDL distribution.
Definition 4.
The rv X is said to have a smaller discrete mean residual lifetime (D-MRL) than that of Y , written X   D M R L Y , if
i = x F ¯ ( i ) F ¯ ( x ) i = x G ¯ ( i ) G ¯ ( x ) f o r   a l l   x N o .
Definition 5.
The rv X is said to have a smaller discrete hazard rate (D-HR) than that of Y , written X   D H R Y , if
F ¯ ( x ) G ¯ ( x )   is   decreasing   in   x for all   x N o .
Definition 6.
A probability vector α _ = ( α 1 , ,   α n ) is said to be smaller than that probability vector β _ = ( β 1 , ,   β n ) in the sense of the discrete likelihood ordering (D-LR), denoted by α _ D L R β _ if
β i α i β j α j   f o r   a l l   1 i j n .
Definition 7.
Let X and Y be two random variables (rvs) with cumulative distribution functions (CDFs) F X ( . ) and F Y ( . ) , respectively.
(i)
Stochastic order (ST) ( X S T Y ): if F X ( x ) F Y ( x ) for all x .
(ii)
HR order ( X H R Y ): if r X ( x ) r Y ( x ) for all x .
(iii)
Reversed hazard (RH) rate order ( X R H Y ): if r X * ( x ) r Y * ( x ) for all x .
(iv)
MRL order ( X M R L Y ): if m X ( x ) m Y ( x ) for all x .
(v)
Likelihood ratio (LR) order ( X L R Y ): if p X ( x ) / p Y ( x ) is non-decreasing in   x .
The following chains of implication hold [12].
X L R Y X H R Y X S T Y X M R L Y   and     X L R Y X R H Y
For completeness, we summarize the main results established in [9].
Definition 8.
Let  X 1 , . . ,   X n be NDL rvswith corresponding CDFs F 1 , . . ,   F n .
Define
F ( x ) = α 1 F 1 ( x ) + + α n F n ( x )
and
G ( x ) = β 1 F 1 ( x ) + + β n F n ( x ) .

2.2. Closure under Hazard and Reversed Hazard Orders

Theorem 1.
Let X i ~ N D L ( θ i ) ,   i = 1 , 2 . Let Z ~ N D L ( θ 3 ) . Then, X 1 + Z H R X 2 + Z for all θ 1 > θ 2 .
Proof. 
Follows directly from Lemma 1.B.3. in [13] and Lemma 1.  □
The following result shows that convolutions of members from the NDL family is preserved under the reserved HR ordering.
Theorem 2.
Let ( X i ,   Y i ) be independent NDL pairs ofrvswith parameters ( θ i ,   θ i * ) , such that θ i > θ i * ,   f o r   i = 1 , 2 , , m . Then
i = 1 m X i R H i = 1 m Y i     m = 1 , 2 , 3 ,
Proof. 
Using Lemma 1, it follows that X i r h Y i     i . The proof then follows from Lemma 1.B.4. in [13].  □
Let X be a non-negative rv with PMF p ( x ) . For a non-negative function w such that E [ w ( x ) ] exists, define X w as a rv with so-called weighted PMF p w ( x ) given by
p w ( x ) = w ( x )   p ( x ) E [ w ( x ) ] ,   x = 0 , 1 , 2 ,
Below, we prove that weighted NDL distributions are (under mild conditions on the weights) preserved in the reversed HRs.
Theorem 3.
If w is increasing, then X R H Y implies that X w R H Y w .
Proof. 
Observe that the HR function, r X w , of X w is given by
r X w ( x ) = w ( x ) r X ( x ) E [ w ( x ) | X > x ] ,   x = 0 , 1 , 2 , ,
where r X is the HR function of X . Similarly, the HR function of, r Y w , of Y w is given by
r Y w ( x ) = w ( x ) r Y ( x ) E [ w ( y ) | Y > x ] ,   x = 0 , 1 , 2 , ,
where r Y is the HR function of Y .
Now, appealing to Lemma 1, it follows that
E [ X | X > x ] R H E [ Y | Y > x ]     x = 0 , 1 , 2 ,
Next, using Theorem 1.B.2. in [13] and the monotonicity assumption of w , we get that
E [ w ( x ) | X > x ] R H E [ w ( y ) | Y > x ] .
Combining this inequality with r X r Y , the result follows.  □
Next, we compare the life of two series systems composed of NDL components in the HR order.
Theorem 4.
Let  X 1 , , X m be independent identically distributed (iid) NDL( θ 1 ) and Y 1 , , Y m be iid NDL( θ 2 ). Define X s = m i n ( X 1 , , X m ) and Y s = m i n ( Y 1 , , Y m ) . If θ 1 > θ 2 , then X s R H Y s .
Proof. 
If suffices to prove the theorem for m = 2 . Suppose X 1 , X 2 , Y 2 and Y 2 have HRs r 1 , r 2 , q 2 and q 2 , respectively. If is not hard to see that X s has the HR r 1 + r 2 while Y s has the HR q 1 + q 2 .
By assumption r 1 ( x ) + r 2 ( x ) q 1 ( x ) + q 2 ( x ) for all x 0 , that is, X s R H Y s .
Theorem 5 shows that sums of members of the NDL family could be compared in the LR ordering.
Theorem 5.
Let ( X i ,   Y i ) ,   i = 1 , 2 , , m be independent pairsrvs. Let X i ~ NDL ( θ i ) and Y i ~ NDL ( η i ) with θ i η i , for i = 1 , 2 , , n .  Then
i = 1 m X i L R i = 1 m Y i     m = 1 , 2 , 3 ,
Proof. 
According to Lemma 2, X i and Y i each have a log-concave PMF. Since the convolution of rvs with log-concave PMFs has a log-concave PMF, it is enough to show that if X 1 ,   X 2 and Z are independent rvs such that X 1 L R X 2 and Z has a log-concave PMF, then X 1 + Z L R X 2 + Z . Let f X i ,   f X i + Z ,   i = 1 , 2 and f Z denote the PMFs of the indicated rvs. Then,
f X i + Z ( x ) = u = 0 x f Z ( x u ) f X i ( u ) ,   i = 1 , 2 ,   x = 0 , 1 , 2 ,
The assumption X 1 L R X 2 means that f X i ( x ) , as a function of x and i { 1 , 2 } , is T P 2 .
Now, the log-concavity of f Z means that f Z ( x u ) , as a function of u and x , is T P 2 .
Therefore, by the basic assumption formula ([14], P. 17), we see that f X i + Z ( x ) is T P 2 in i { 1 , 2 } and x i . That is X 1 + Z L R X 2 + Z .  □
The following theorem proves that the NDL family is preserved under the D-MRL ordering, as well as finite mixtures of members of the family under a well-known discrete ordering of the weights.
Theorem 6.
Let X 1 , X 2 and Y be non-negative discrete rvs, Y and is independent of both X 1 and X 2 and also let Y has a PMF g . Then, for X 1 D M R L X 2 and g is log-concave implies that X 1 + Y   D M R L X 2 + Y .
Proof. 
We have to show that
i = 0 x = 0 g ( k i ) a x + i i = 0 x = 0 g ( k i ) b x + i i = 0 x = 0 g ( i ) a x + i i = 0 x = 0 g ( i ) b x + i       f o r   a l l   0 k ;   , k N o .
Or equivalently,
| i = 0 x = 0 g ( i ) b x + i i = 0 x = 0 g ( i ) a x + i i = 0 x = 0 g ( k i ) b x + i i = 0 x = 0 g ( k i ) a x + i | 0 .
Next, using the well-known composition formula ([14], p. 17), the left side of (1) is equal to
u 1 < u 2 | g ( s u 1 ) g ( s u 2 ) g ( t u 1 ) g ( t u 2 ) | | x = 0 b x + u 1 x = 0 a x + u 1 x = 0 b x + u 2 x = 0 a x + u 2 | .
The conclusion then follows if we note that the first determinant is non-negative since g is log-concave, and that the second determinant is non-negative since X 1 D M R L X 2 . □
Corollary 1.
If X 1 ,   X 2 and Y follow NDL distributions with parameters θ 1 ,   θ 2 and θ , respectively where θ 1 θ 2 , then X 1 + Y   D M R L X 2 + Y .
Note that Y could be thought of as a joint contamination when measuring X 1 and X 2 .
Corollary 2.
If X 1 ,   X 2 and Y follow NDL distributions with parameters θ 1 ,   η 1 ,   θ 2 and η 2 , respectively, such that θ 1 η 1 , θ 2 η 2 , X 1 is independent of X 2 and Y 1 is independent of Y 2 , then the following statement holds:
X 1 + X 2 D M R L Y 1 + Y 2 .
Proof. 
The following chain of inequalities establish the result
X 1 + X 2 D M R L X 1 + Y 2 D M R L Y 1 + Y 2 .
 □
The following theorem compares the distribution F ( x ) for a r v   X , and G ( x ) for a r v   Y .
Theorem 7.
X D M R L Y .
Proof. 
One can follow similar arguments to those used in Theorem 3.2 of [15].  □

3. Discrete Renewal Process Application

Let { N F ( t ) ,   t = 0 , 1 , 2 , } and { N G ( t ) ,   t = 0 , 1 , 2 , } denote renewal processes having inter-arrival distributions F and G , respectively.
Theorem 8.
If   F and   G are the CDFs of NDL ( θ 1 ) and NDL ( θ 2 ) , respectively, with θ 1 θ 2 , then
N F ( t ) D V N G ( t ) .
Proof. 
The proof follows by mimicking the elegant proofs of Lemma 8.5.5 and Theorem 8.6.4 of [16], and the fact that
E ( i = 1 N F ( t ) + 1 X i ) = E ( X 1 | X 1 t ) E ( Y 1 | Y 1 t ) E ( i = 1 N G ( t ) + 1 Y i ) ,
where { X i } and { Y i } are two sequences of iid rvs having F and G as their respective CDFs.
A version of arguments used to prove Corollary 3.16 and Theorem 3.17 in Chapter 6 of [17] can be used to show that the following are valid.
Assume 0 h ( 1 ) h ( 2 ) . Then,
n = 1 h ( n ) F n ( t ) n = 1 h ( n ) G n ( t ) .
 □
In the next section, we shall estimate the parameter of interest using eight different methods of estimations. Then, the section is concluded by a simulation study to compare the obtained results.

4. Estimation Methods

In this section, we estimate the parameter   θ of the NDL distribution, using eight methods of estimation. The methods used include the maximum likelihood estimator (MLE), least squares estimator (LSE), weighted least squares estimator (WLSE), Cramér–Von Mises estimator (CME), maximum product of spacing estimator (MPSE), Anderson–Darling estimator (ADE), right-tail Anderson–Darling estimator (RTADE), and percentiles estimator (PCE).

4.1. Maximum Likelihood Estimator

Now, we estimate the parameter   θ of the NDL distribution using the MLE. The log-likelihood function of the NDL distribution has the form
( θ | x ) 2 n log ( θ ) n log ( 1 + θ ) + n x ¯ log ( 1 θ ) .
The MLE of θ follows by solving d d θ ( θ | x ) = 0 , that is
d d θ ( θ | x ) = 2 n θ n 1 + θ n x ¯ 1 θ = 0 .
After some algebra, the MLE of θ , is given by the following compact formula:
θ ^ = 1 2 1 + 8 / ( 1 + x ¯ ) 1 2 .
Al-Babtain et al. [9] showed that the MLE and moment estimator of the parameter θ of the NDL distribution have the same estimator in closed form. They also derived a formula to calculate the bias-correction (BI-C) as follows:
BI - C ( θ ^ ) = 1 n 2 [ 1 θ 3 + 1 ( 1 + θ ) 3 + ( 1 θ ) ( 2 + θ ) θ ( 1 + θ ) ( 1 θ ) 3 ] .

4.2. Least Squares and Weighted Least Squares Estimators

Consider the order statistics of a random sample from the NDL distribution denoted by x 1 : m , x 2 : m , , x m : m . The LSE of θ follows by minimizing
L S ( θ ) = i = 1 m [ 1 1 + θ + θ x i : m 1 + θ ( 1 θ ) x i : m ( i m + 1 ) ] 2 ,
with respect to θ . Further, the LSE of θ follows by solving the non-linear equation
i = 1 m [ 1 1 + θ + θ x i : m 1 + θ ( 1 θ ) x i : m ( i m + 1 ) ] ϕ ( x i : m | θ ) = 0 ,
where ϕ ( x i : m | θ ) = d d θ F ( x i : m | θ ) = d d θ 1 + θ + θ x i : n 1 + θ ( 1 θ ) x i : n and it reduces to
ϕ ( x i : m | θ ) = ( 1 θ + x + θ x i : m ) 1 + θ 1 + θ + θ x i : m 1 + θ ( 1 θ ) x i : m 1 ( 1 + x i : m ) 1 + θ ( 1 θ ) x i : m .
The WLSE of θ can be derived by minimizing the following equation with respect to θ
W ( θ ) = i = 1 m ( m + 1 ) 2   ( m + 2 ) i ( m i + 1 ) [ 1 1 + θ + θ   x i : m 1 + θ ( 1 θ ) x i : m i m + 1 ] 2 .
Further, the WLSE of θ can also be calculated by solving the following non-linear equation
i = 1 m ( m + 1 ) 2   ( m + 2 ) i ( m i + 1 ) [ 1 1 + θ + θ   x i : m 1 + θ ( 1 θ ) x i : m i m + 1 ] ϕ ( x i : m | θ ) = 0 ,
in which ϕ ( x i : m | θ ) is derived in (2).

4.3. Cramér–Von Mises Estimator

The CVME can be derived as the difference between the estimates of the CDF and the empirical CDF [18]. The CVME of θ can be obtained by minimizing the following equation with respect to θ
C M ( θ ) = 1 12   m + i = 1 m [ 1 1 + θ + θ   x i : m 1 + θ ( 1 θ ) x i : m ( 2 i 1 2   m ) ] 2 .
The CVME of θ can also calculated by solving the following equation
i = 1 n [ 1 1 + θ + θ x i : m 1 + θ ( 1 θ ) x i : m ( 2 i 1 2   m ) ] ϕ ( x i : m | θ ) = 0 .

4.4. Maximum Product of Spacing Estimator

The MPSE is a good alternative to the MLE [19,20]. Consider the uniform spacings for a random sample from the NDL distribution
D i ( θ ) = 1 + θ + θ   x i 1 : m 1 + θ ( 1 θ ) x i 1 : m 1 + θ + θ   x i : m 1 + θ ( 1 θ ) x i : m ,   for   i = 1 , 2 , , m + 1 ,  
where F ( x 0 : m | θ ) = 0 , F ( x m + 1 : m | θ ) = 1 and i = 1 m + 1 D i ( θ ) = 1 .
The MPSE of θ follows by maximizing either the geometric mean of spacings, M S ( θ ) , or the logarithm of the sample geometric mean of spacings, L M S ( θ ) , given by
M S ( θ ) = { i = 1 m + 1 [ 1 + θ + θ   x i 1 : m 1 + θ ( 1 θ ) x i 1 : m 1 + θ + θ   x i : m 1 + θ ( 1 θ ) x i : n ] } 1 m + 1
and
L M S ( θ ) = 1 m + 1 i = 1 m + 1 log [ 1 + θ + θ x i 1 : m 1 + θ ( 1 θ ) x i 1 : m 1 + θ + θ   x i : m 1 + θ ( 1 θ ) x i : m ] .
The MPSE of θ follows also, by solving the following equation:
1 n + 1 i = 1 m + 1 ϕ ( x i : m | θ ) ϕ ( x i 1 : m | θ ) D i ( θ ) = 0 .

4.5. Anderson–Darling and Right-Tail Anderson–Darling Estimators

The ADE is a type of MDE. The ADE of the parameter θ can be derived by minimizing
A D ( θ ) = m 1 m i = 1 m ( 2 i 1 ) { log [ 1 1 + θ + θ   x i : m 1 + θ ( 1 θ ) x i : m ] + log [ 1 + θ + θ   x i : m 1 + θ ( 1 θ ) x i : m ] } ,
with respect to θ . This estimator is also derived by solving the following equation:
i = 1 m ( 2 i 1 ) [ ϕ ( x i : m | θ ) F ( x i : m | θ ) ϕ ( x n + 1 i : m | θ ) F ¯ ( x n + 1 i : m | θ ) ] = 0 .
The RTADE of the parameter θ of the NDL distribution can be derived by minimizing
R T ( θ ) = m 2 2 i = 1 n [ 1 1 + θ + θ   x i : m 1 + θ ( 1 θ ) x i : m ]           1 m i = 1 m ( 2 i 1 ) log [ 1 + θ + θ x m + 1 i : m 1 + θ ( 1 θ ) x m + 1 i : m ] ,
with respect to θ . The RTADE follows also, by solving the following equation:
2 i = 1 m ϕ ( x i : m | θ ) + 1 m i = 1 m ( 2 i 1 ) ϕ ( x m + 1 i : m | θ ) F ¯ ( x m + 1 i : m | θ ) = 0 .

4.6. Percentiles Estimator

The percentiles approach is introduced by [21,22]. Consider the unbiased estimator of F ( x i : m | θ ) given by u i = i / ( m + 1 ) . Then, the PCE of the NDL parameter is derived by minimizing the following eqution with respect to θ :
P ( θ ) = i = 1 m { x i : m + 1 + 1 θ 1 log ( 1 θ ) W [ ( u i 1 ) ( θ 1 ) ( 1 + θ ) ( 1 θ ) 1 θ log ( 1 θ ) ] } 2 ,
where W   ( x ) denotes the negative branch of the Lambert W function that is known as the product-log function in the Mathematica software© [23].

5. Simulation Results

Now, we present the results of a simulation study to explore the behavior of the proposed estimators for different combinations of the parameter θ and samples sizes, based on the average estimates (AVEs), average mean square errors (MSEs), average absolute biases (AABs), and average mean relative errors (MREs).
The MSEs, AABs, and MREs are defined by MSEs = 1 N i = 1 N ( θ ^ θ ) 2 , AABs = 1 N i = 1 N | θ ^ θ | ,   and MREs = 1 N i = 1 N | θ ^ θ | / θ .
We generate 5000 random samples from the NDL distribution of sizes n = (15, 25, 50,100, 150, 200) using its quantile function, given by
Q ( u ) = 1 1 θ + 1 log ( 1 θ ) W { ( u 1 ) ( θ 1 ) ( 1 + θ ) ( 1 θ ) 1 θ log ( 1 θ ) } ,   0 < u < 1 ,
where x denotes the integer part of x .
The numerical results are calculated using R software© [24], for several values θ = (0.05, 0.25, 0.35, 0.5, 0.75, 0.95). The AVEs, MSEs, AABs, and MREs for the parameter θ are reported in Table 1, Table 2, Table 3, Table 4, Table 5 and Table 6. One can note, from Table 1, Table 2, Table 3, Table 4, Table 5 and Table 6, that the estimates of the parameter θ of the NDL distribution are entirely good; that is, these estimates are quite reliable and very close to the true values for all values of θ , showing small biases, MSEs, and MREs for all considered values of θ . For all values of θ , the MSEs, AABs, and MREs decrease as sample size increases, hence the eight estimators show the consistency property. We conclude that the MLE, LSE, WLSE, CME, MPSE, ADE, RTADE, and PCE perform very well in estimating the parameter θ of the NDL distribution. Further, the performance of these methods will be checked empirically in the next section.

6. Estimation Methods Based on Real Biological Data

To check the validity of the methods used in this paper to estimate the parameter of the NDL distribution, two different datasets are taken from [9]. One dataset consists of 47 observations representing the daily deaths in Egypt due to COVID-19 infections in the time interval from 8 March to 30 April 2020. The other dataset, measuring remission times in weeks, consists of 20 leukemia patients who were randomly assigned to a certain treatment [25]. Both datasets have been used to illustrate the flexibility of the NDL distribution in modeling similar datasets in estimating the parameter θ . For this purpose, eight methods of estimation have been applied to both datasets.
The estimates of the parameter θ and goodness-of-fit statistics such as Cramér–von Mises (W), Anderson–Darling (A), and Kolmogorov–Smirnov (KS) statistics, with their associated p-value (KS p-value) are reported in Table 7. Probability–probability (PP) plots for COVID-19 and remission times data for the eight estimates are displayed in Figure 3 and Figure 4, respectively. It is shown, from Table 7 and Figure 3 and Figure 4, that all estimators perform very well.

7. Conclusions and Future Work

The natural discrete Lindley (NDL) distribution has been published as an application of a natural discretization method. However, the published paper did not show its possible applications in significant areas of statistics, like reliability applications. Thus, the main object of this paper has been to widen the usefulness of the NDL distribution through further study of several closure properties under different reliability properties, including the conditions leading to an IFR, as well as hazard rate ordering, reversed hazard rate ordering, and associated results based on these orders.
In addition to the basic results, we also show that the hazard rate ordering of members of the NDL family is preserved under a common contamination. This is quite useful in cases where the systems are operating under random common environments. Important results are derived covering the preservation of the sums of random variables under the hazard rate, likelihood ratio, and reversed hazard rate. Such results are quite useful in the reliability practicing. Furthermore, it is shown that the life lengths of two series systems composed of ordered components of the NDL family preserve the hazard rate order. A basic result gives sufficient conditions for the preservation of the D-MRL property under the assumption of log-concavity of an added contamination. Other, similar results consider the D-MRL case. Finally, an interesting application to renewal processes, which is very helpful in “replacement studies”, is also presented.
The paper is concluded with eight different estimation methods to estimate the parameter θ , and a comparative study has been conducted on their results to explore the behavior of the eight proposed estimators. Two real datasets have been used to explore the behavior of these estimators for estimating the NDL parameter empirically. Each of the methods used has demonstrated acceptable results.
For a possible direction of future studies, the work in this paper can be augmented with the binomial distribution to generate a new model to handle the relationships between the number of particles entering and leaving an attenuator, where several interesting results of value in applications can be established. Compounding results based on adding the life lengths of a random number of components following the NDL distribution could be applied to several insurance problems.

Author Contributions

All the authors contributed equally to this work. All authors have read and agreed to the published version of the manuscript.

Funding

The first author extends his appreciation to the Deanship of Scientific Research at King Khalid University for funding this work under grant number (RGP. 1/26/42), received by Mohammed M. Almazah (www.kku.edu.sa).

Data Availability Statement

The datasets used in this paper are provided within the main body of the manuscript.

Acknowledgments

The authors would like to thank the editorial board and three referees for their valuable comments and remarks that greatly improved the final version of this paper.

Conflicts of Interest

The authors declare no conflict of interest.

References

  1. Barlow, R.E.; Proschan, F. Statistical Theory of Reliability and Life Testing; To Begin With: New York, NY, USA, 1981. [Google Scholar]
  2. Salvia, A.A.; Bollinger, R.C. On discrete hazard functions. IEEE Trans. Reliab. 1982, 31, 458–459. [Google Scholar] [CrossRef]
  3. Ebrahimi, N. Classes of discrete decreasing and increasing mean-residual-life distributions. IEEE Trans. Reliab. 1986, 35, 403–405. [Google Scholar] [CrossRef]
  4. Padgett, W.J.; Spurrier, J.D. On discrete failure models. IEEE Trans. Reliab. 1985, 34, 253–256. [Google Scholar] [CrossRef]
  5. Xekalaki, E. Hazard functions and life distributions in discrete time. Commun. Stat. Theory Methods 1983, 12, 2503–2509. [Google Scholar] [CrossRef]
  6. Krishna, H.; Pundir, P.S. Discrete Burr and discrete Pareto distributions. Stat. Methodol. 2009, 6, 177–188. [Google Scholar] [CrossRef]
  7. Jazi, M.A.; Lai, C.D.; Alamatsaz, M.H. A discrete inverse Weibull distribution and estimation of its parameters. Stat. Methodol. 2010, 7, 121–132. [Google Scholar] [CrossRef]
  8. Gómez-Déniz, E. Another generalization of the geometric distribution. Test 2010, 19, 399–415. [Google Scholar] [CrossRef]
  9. Al-Babtain, A.A.; Ahmed, A.H.N.; Afify, A.Z. A new discrete analog of the continuous Lindley distribution, with reliability applications. Entropy 2020, 22, 603. [Google Scholar] [CrossRef] [PubMed]
  10. Keilson, J.; Gerber, H. Some results for discrete unimodality. J. Am. Stat. Assoc. 1971, 66, 386–389. [Google Scholar] [CrossRef]
  11. Khider, S.E.; Ahmed, A.H.N.; Mohamed, M.K. Preservation of some new partial orderings under Poisson and cumulative damage shock models. J. Jpn. Stat. Soc. 2002, 32, 95–105. [Google Scholar] [CrossRef][Green Version]
  12. Shaked, M.; Shanthikumar, J.G. Stochastic Orders; Springer: New York, NY, USA, 2007. [Google Scholar]
  13. Shaked, M.; Shanthikumar, J.G. Phase Type Distributions. In Encyclopedia of Statistical Sciences; Wiley Online Library: Hoboken, NJ, USA, 2004. [Google Scholar]
  14. Karlin, S. Total Positivity; Stanford University Press: Stanford, CA, USA, 1968; Volume I. [Google Scholar]
  15. Ahmed, A.H.N. Preservation properties for the mean residual life ordering. Stat. Pap. 1988, 29, 143–150. [Google Scholar] [CrossRef]
  16. Ross, S.M.; Schechner, Z. Some reliability applications of the variability ordering. Oper. Res. 1984, 32, 679–687. [Google Scholar] [CrossRef][Green Version]
  17. Barlow, R.E.; Proschan, F. Statistical Theory of Reliability and Life Testing; Holt, Rinehart & Winston: New York, NY, USA, 1975. [Google Scholar]
  18. Luceño, A. Fitting the generalized pareto distribution to data using maximum goodness-of-fit estimators. Comput. Stat. Data Anal. 2006, 51, 904–917. [Google Scholar] [CrossRef]
  19. Cheng, R.; Amin, N. Maximum Product of Spacings Estimation with Application to the Lognormal Distribution; Mathematical Report 79-1; University of Wales IST: Cardiff, UK, 1979. [Google Scholar]
  20. Ranneby, B. The maximum spacing method. An estimation method related to the maximum likelihood method. Scand. J. Stat. 1984, 11, 93–112. [Google Scholar]
  21. Kao, J. Computer methods for estimating Weibull parameters in reliability studies. IRE Reliab. Qual. Control 1958, 13, 15–22. [Google Scholar] [CrossRef]
  22. Kao, J. A graphical estimation of mixed Weibull parameters in life testing electron tube. Technometrics 1959, 1, 389–407. [Google Scholar] [CrossRef]
  23. Wolfram, S. The MATHEMATICA® Book; Version 4; Cambridge University Press: Cambridge, UK, 1999. [Google Scholar]
  24. R Core Team. R: A Language and Environment for Statistical Computing; R Foundation for Statistical Computing: Vienna, Austria, 2020; Available online: https://www.R-project.org/ (accessed on 22 June 2020).
  25. Lawless, J.F. Statistical Models and Methods for Lifetime Data, 2nd ed.; John Wiley and Sons: New York, NY, USA, 2003. [Google Scholar]
Figure 1. Probability mass function (PMF) plots of the natural discrete Lindley (NDL) distribution.
Figure 1. Probability mass function (PMF) plots of the natural discrete Lindley (NDL) distribution.
Mathematics 09 01139 g001
Figure 2. Plots of the hazard rate (HR) function of the NDL distribution.
Figure 2. Plots of the hazard rate (HR) function of the NDL distribution.
Mathematics 09 01139 g002
Figure 3. PP plots for COVID-19 data using the eight estimates.
Figure 3. PP plots for COVID-19 data using the eight estimates.
Mathematics 09 01139 g003
Figure 4. PP plots for remission times data using the eight estimates.
Figure 4. PP plots for remission times data using the eight estimates.
Mathematics 09 01139 g004
Table 1. Simulation results for the NDL distribution for θ = 0.05 .
Table 1. Simulation results for the NDL distribution for θ = 0.05 .
n MeasureMLELSEWLSECMEMPSEADERTADEPCE
15AVEs0.050850.051110.051020.051380.049190.050970.050570.04851
250.050470.050690.050660.050860.049180.050430.050200.04864
500.049900.050200.050190.050290.049500.050260.050150.04902
1000.049700.050090.050100.050140.049620.050200.050140.04926
1500.049580.050160.050160.050190.049790.050130.050090.04944
2000.049480.050130.050130.050150.049800.050080.050060.04955
15MSEs0.000080.000110.000040.000110.000080.000110.000090.00009
250.000050.000060.000060.00006 0.000050.000060.000050.00005
500.000020.000030.000030.000030.000020.000030.000030.00003
1000.000010.000010.000010.000010.000010.000010.000010.00001
1500.000010.000010.000010.000010.000010.000010.000010.00001
2000.000010.000010.000010.000010.000010.000010.000010.00001
15AABs0.006990.008070.007870.008080.007160.007790.007520.00745
250.005620.006220.006030.006220.005400.005810.005680.00578
500.003900.004300.004160.004300.003860.004110.004000.00415
1000.002700.002980.002870.002980.002750.002910.002830.00295
1500.002230.002470.002370.002470.002210.002380.002330.00245
2000.002010.002140.002060.002140.001970.002040.002000.00213
15MREs0.139770.161320.157490.161520.143230.155700.150390.14898
250.112340.124400.120600.124480.107940.116270.113650.11569
500.077920.086050.083280.086050.077130.082110.080070.08295
1000.054040.059600.057300.059610.054990.058110.056550.05897
1500.044530.049450.047410.049460.044180.047680.046510.04895
2000.040230.042810.041140.042820.039370.040800.040020.04250
Table 2. Simulation results for the NDL distribution for θ = 0.25 .
Table 2. Simulation results for the NDL distribution for θ = 0.25 .
n MeasureMLELSEWLSECMEMPSEADERTADEPCE
15AVEs0.239870.253840.252720.254310.245900.252830.251400.24286
250.238260.251590.252510.253430.245490.252590.250480.24307
500.236770.250900.251210.251670.247000.251210.250970.24525
1000.235990.250870.251010.251230.247570.250980.250170.24651
1500.235460.250520.250580.250700.248390.250530.250470.24723
2000.235150.250280.250100.250150.248780.250040.25025 0.24814
15MSEs0.001460.002260.001950.002070.001690.001820.001810.00182
250.000950.001240.001210.001290.000990.001170.000990.00113
500.000570.000620.000570.000620.000490.000570.000500.00058
1000.000390.000300.000280.000300.000250.000280.000260.00028
1500.000340.000200.000190.000200.000160.000190.000170.00019
2000.000320.000150.000140.000150.000120.000130.000130.00014
15AABs0.030820.037020.034290.035220.032500.033360.033120.03425
250.025150.027610.027400.028210.025210.026900.024930.02696
500.019620.019550.018920.019630.017730.018710.017820.01938
1000.016470.013790.013170.013740.012560.013230.012690.01351
1500.015710.011250.010750.011270.010280.010990.010260.01100
2000.015480.009610.009560.009950.008910.009200.009100.00957
15MREs0.123280.148070.137180.140880.130000.133460.132490.13701
250.100600.110430.109580.112830.100820.107620.099710.10782
500.078470.078180.075680.078530.070910.074860.071270.07753
1000.065870.055150.052690.054970.050230.052920.050750.05404
1500.062850.044990.043010.045100.041100.043970.041060.04401
2000.061930.038450.038260.039780.035630.036820.036380.03828
Table 3. Simulation results for the NDL distribution for θ = 0.35 .
Table 3. Simulation results for the NDL distribution for θ = 0.35 .
n MeasureMLELSEWLSECMEMPSEADERTADEPCE
15AVEs0.327220.353730.355120.356000.341880.353450.350910.33938
250.324410.352580.353020.352860.343990.352270.350900.34068
500.323190.351710.351600.352370.346020.350680.350710.34307
1000.321850.351000.350360.350700.347600.350270.350660.34559
1500.321900.350400.350570.351020.347900.350360.350080.34633
2000.32154 0.34980 0.350550.350680.348040.350120.349730.34707
15MSEs0.002630.003690.003670.003930.002910.003250.003040.00315
250.001810.002240.001930.002050.001760.001990.001870.00192
500.001310.001080.000970.001040.000870.000920.000900.00098
1000.001090.000530.000480.000530.000420.000470.000450.00050
1500.000980.000350.000320.000330.000280.000310.000300.00032
2000.000960.000270.000240.000260.000220.000230.000220.00026
15AABs0.042050.047350.046870.048400.042980.044730.043270.04570
250.035330.037250.034470.035570.033590.034990.034310.03505
500.030470.026100.024770.025410.023620.024040.023980.02515
1000.029160.018150.017300.018320.016420.017260.016880.01784
1500.028370.014870.014310.014490.013450.013940.013710.01434
2000.028550.013170.012200.012580.011950.012190.011860.01280
15MREs0.120160.135290.133900.138300.122790.127810.123620.13057
250.100960.106420.098500.101630.095980.099980.098020.10013
500.087070.074580.070780.072600.067500.068680.068530.07186
1000.083300.051860.049430.052330.046920.049330.048220.05098
1500.081050.042490.040880.041410.038430.039820.039180.04097
2000.081580.037620.034850.035950.034160.034820.033890.03656
Table 4. Simulation results for the NDL distribution for θ = 0.5 .
Table 4. Simulation results for the NDL distribution for θ = 0.5 .
n MeasureMLELSEWLSECMEMPSEADERTADEPCE
15AVEs0.448990.504210.503620.506620.489430.503390.500700.48498
250.447020.502750.502630.504270.490550.501060.499520.48593
500.443530.500360.500360.501140.494290.500870.500160.49048
1000.442940.500130.500240.500520.496490.501000.500530.49378
1500.443160.500800.500900.501070.497440.500620.500370.49496
2000.442820.500670.50069 0.50087 0.49783 0.50033 0.50021 0.49595
15MSEs0.005490.005840.005550.005860.004840.005390.005020.00507
250.004500.003570.003360.003580.002790.003070.002870.00308
500.004010.001700.001580.001700.001430.001560.001460.00160
1000.003670.000830.000760.000830.000670.000780.000720.00079
1500.003510.000570.000520.000570.000470.000530.000490.00056
2000.003480.000430.000400.000430.000350.000390.000360.00041
15AABs0.062190.060710.059200.060720.056000.058370.056240.05737
250.057670.047200.045680.047200.042560.044080.042840.04506
500.057240.032930.031780.032920.030240.031300.030300.03212
1000.057100.022860.021910.022860.020820.022190.021430.02251
1500.056850.018970.018120.018970.017180.018230.017640.01904
2000.057190.016430.015740.016440.014890.015620.015190.01627
15MREs0.124380.121410.118400.121450.112000.116740.112480.11473
250.115350.094400.091360.094400.085120.088150.085680.09012
500.114480.065860.063570.065830.060490.062610.060590.06423
1000.114200.045730.043820.045730.041640.044380.042860.04501
1500.113700.037940.036240.037940.034360.036470.035290.03807
2000.114370.032870.031470.032880.029780.031240.030390.03253
Table 5. Simulation results for the NDL distribution for θ = 0.75 .
Table 5. Simulation results for the NDL distribution for θ = 0.75 .
n MeasureMLELSEWLSECMEMPSEADERTADEPCE
15AVEs0.635960.746610.746530.749450.732290.747500.745020.72713
250.633230.749240.749350.750970.738250.748260.746710.73176
500.632420.749640.749750.750520.742280.750190.749610.73793
1000.631770.750520.750630.750990.745710.749530.749220.74208
1500.631470.750140.750270.750450.746700.750370.750130.74403
2000.631240.749390.74958 0.74963 0.746970.75015 0.74991 0.74516
15MSEs0.015970.005900.005590.005830.005160.005570.005190.00608
250.015340.003840.003630.003850.003310.003340.003020.00375
500.014690.001960.001800.001940.001640.001690.001570.00189
1000.014410.000960.000880.000960.000780.000890.000810.00095
1500.014340.000660.000600.000660.000520.000580.000530.00064
2000.014320.000500.000460.000510.000410.000440.000410.00047
15AABs0.114860.062010.060260.061590.057800.060110.057860.06256
250.116870.049750.048500.049920.046360.046260.044160.04915
500.117580.035310.033880.035280.032380.033240.031620.03506
1000.118230.024780.023660.024810.022280.023740.022630.02460
1500.118530.020440.019360.020420.018240.019240.018330.02014
2000.118760.017890.017270.018060.016300.016790.016250.01734
15MREs0.153140.082680.080350.082120.077060.080140.077140.08341
250.155820.066340.064660.066560.061820.061680.058880.06553
500.156770.047080.045180.047030.043180.044320.042160.04674
1000.157640.033050.031550.033070.029700.031650.030170.03279
1500.158040.027260.025820.027230.024310.025650.024440.02685
2000.158350.023850.023020.024080.021730.022380.021670.02312
Table 6. Simulation results for the NDL distribution for θ = 0.95 .
Table 6. Simulation results for the NDL distribution for θ = 0.95 .
n MeasureMLELSEWLSECMEMPSEADERTADEPCE
15AVEs0.803040.941050.941300.942600.935740.942020.942300.93215
250.801230.944600.945130.945540.939520.945250.944650.93631
500.800910.947810.947810.948040.944030.947870.947350.94132
1000.800150.948510.949080.949140.946170.949050.948300.94536
1500.800380.949420.949220.949240.947440.949160.948990.94632
2000.800430.94948 0.94912 0.94908 0.94805 0.94907 0.94933 0.94707
15MSEs0.023100.001580.001530.001540.001590.001440.001300.00193
250.023040.000870.000830.000910.000900.000830.000780.00113
500.022690.000440.000410.000440.000410.000400.000380.00053
1000.022690.000220.000200.000220.000200.000200.000190.00024
1500.022540.000140.000130.000150.000120.000130.000120.00015
2000.022490.000110.000100.000120.000090.000100.000090.00011
15AABs0.146960.030660.029650.029830.030010.028680.027570.03284
250.148770.022980.022530.023570.023000.022500.021710.02535
500.149090.016530.016130.016670.015700.015840.015240.01768
1000.149850.011800.011120.011680.010990.011070.010790.01226
1500.149620.009380.009130.009630.008850.009120.008690.00972
2000.149570.008390.008140.008580.007620.008140.007550.00837
15MREs0.154690.032270.031210.031400.031590.030190.029020.03456
250.156600.024190.023720.024810.024210.023680.022860.02669
500.156940.017400.016980.017540.016520.016680.016040.01862
1000.157740.012430.011700.012290.011570.011650.011350.01290
1500.157500.009880.009610.010140.009310.009600.009150.01024
2000.157440.008830.008570.009030.008020.008570.007950.00881
Table 7. Fitted estimates for COVID-19 and remission times data.
Table 7. Fitted estimates for COVID-19 and remission times data.
DataMethod θ ^ WAKSKS p-Value
Data Set IMLE0.181270.07635 0.654530.093310.80785
LSE0.180360.076400.654870.093820.80248
WLSE0.182890.076270.653930.092380.81733
CME0.180820.076370.654690.093560.80522
MPSE0.181990.0763120.654260.092900.81205
ADE0.184070.076210.653490.091710.82413
RTADE0.183810.076220.653590.091860.82262
PCE0.189150.075950.651660.094130.79927
Data Set IIMLE0.089340.018540.155680.117560.94505
LSE0.080830.017840.152750.075030.99974
WLSE0.08923 0.018550.155690.117920.94373
CME0.089940.018530.155600.115640.95191
MPSE0.082010.017780.152350.071200.99990
ADE0.090580.018520.155510.113550.95873
RTADE0.087940.018570.155870.122070.92686
PCE0.085290.018640.156250.130530.88506
Publisher’s Note: MDPI stays neutral with regard to jurisdictional claims in published maps and institutional affiliations.

Share and Cite

MDPI and ACS Style

Almazah, M.M.A.; Alnssyan, B.; Ahmed, A.H.N.; Afify, A.Z. Reliability Properties of the NDL Family of Discrete Distributions with Its Inference. Mathematics 2021, 9, 1139. https://doi.org/10.3390/math9101139

AMA Style

Almazah MMA, Alnssyan B, Ahmed AHN, Afify AZ. Reliability Properties of the NDL Family of Discrete Distributions with Its Inference. Mathematics. 2021; 9(10):1139. https://doi.org/10.3390/math9101139

Chicago/Turabian Style

Almazah, Mohammed Mohammed Ahmed, Badr Alnssyan, Abdul Hadi N. Ahmed, and Ahmed Z. Afify. 2021. "Reliability Properties of the NDL Family of Discrete Distributions with Its Inference" Mathematics 9, no. 10: 1139. https://doi.org/10.3390/math9101139

APA Style

Almazah, M. M. A., Alnssyan, B., Ahmed, A. H. N., & Afify, A. Z. (2021). Reliability Properties of the NDL Family of Discrete Distributions with Its Inference. Mathematics, 9(10), 1139. https://doi.org/10.3390/math9101139

Note that from the first issue of 2016, this journal uses article numbers instead of page numbers. See further details here.

Article Metrics

Back to TopTop