A Radial Basis Function Finite Difference Scheme for the Benjamin–Ono Equation
Abstract
1. Introduction
2. Numerical Method
2.1. RBF-FD Weight Calculations for Linear Operators
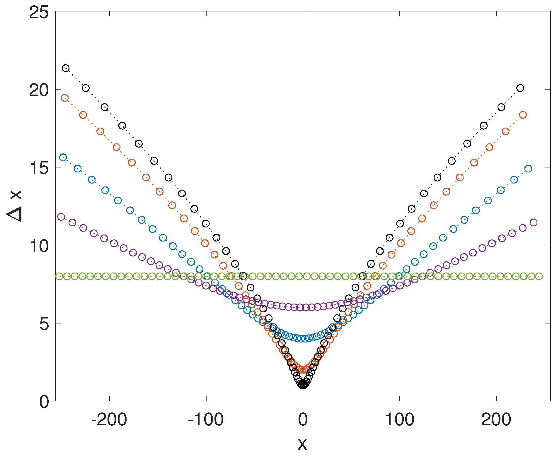
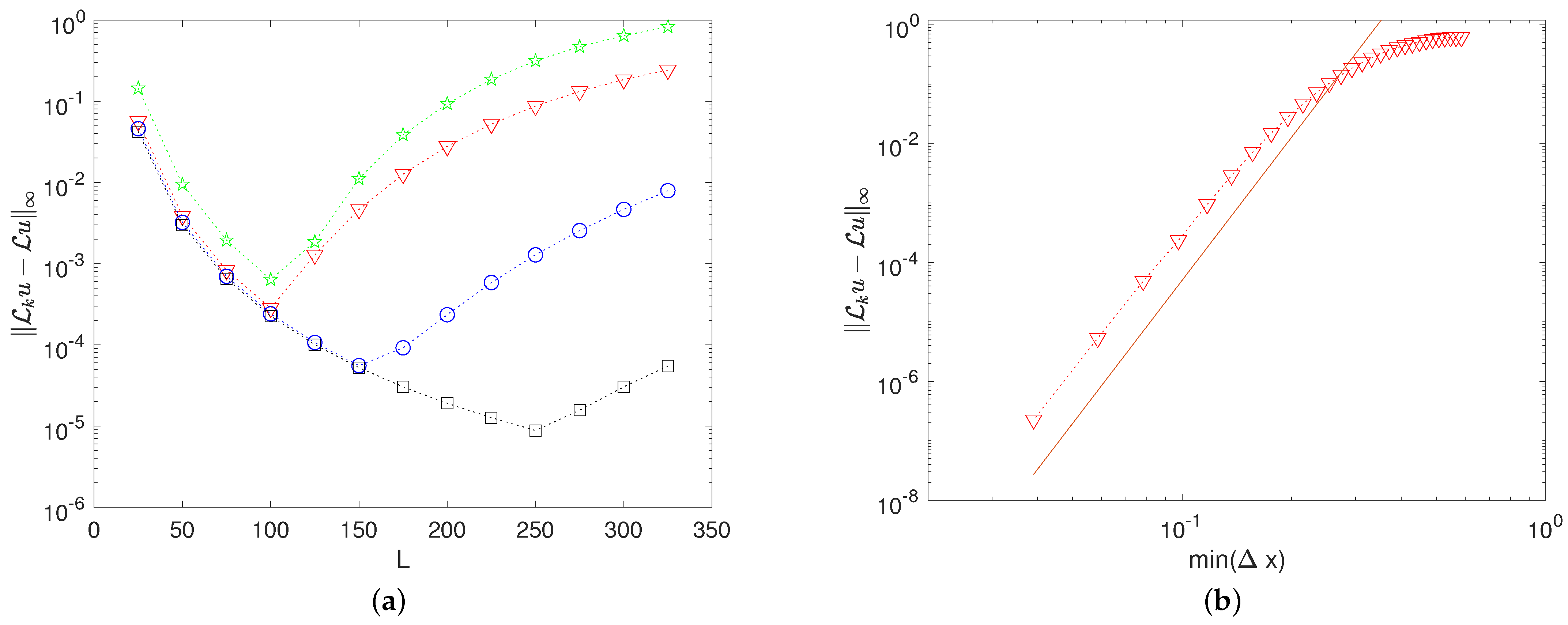
2.2. Node Placement
2.3. Approximating the Hilbert Transform
2.4. Time Stepping
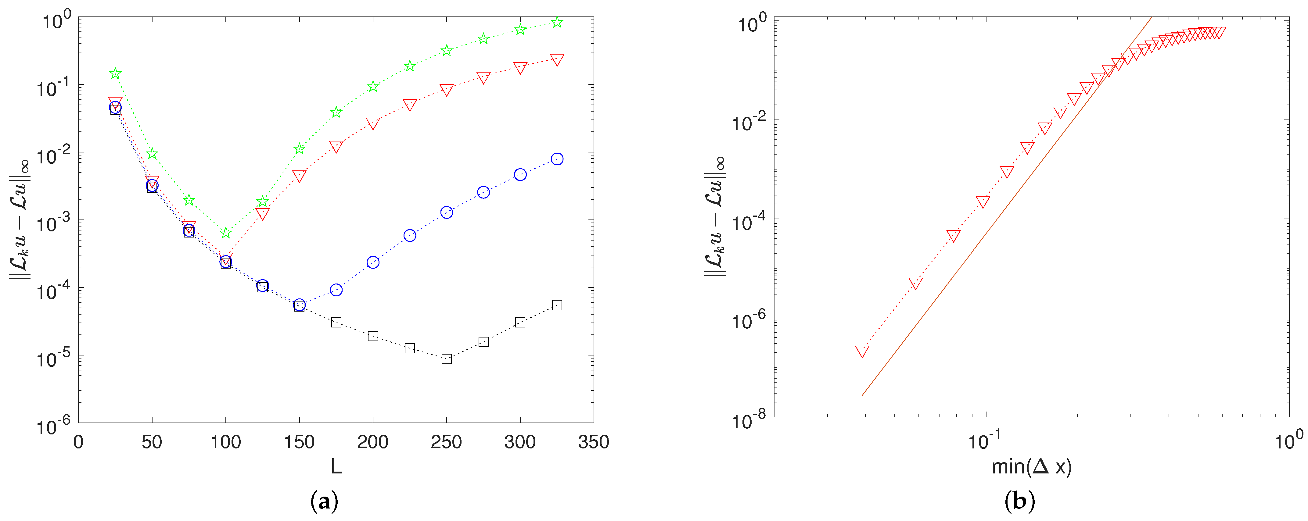
3. Results
4. Conclusions
Author Contributions
Funding
Acknowledgments
Conflicts of Interest
References
- Tao, T. Global well-posedness of the Benjamin–Ono equation in H1 (R). J. Hyperbolic Differ. Equat. 2004, 1, 27–49. [Google Scholar] [CrossRef]
- Matsuno, Y. Interaction of the Benjamin-Ono solitons. J. Phys. A Math. Gen. 1980, 13, 1519. [Google Scholar] [CrossRef]
- Kaup, D.; Matsuno, Y. The inverse scattering transform for the Benjamin–Ono equation. Stud. Appl. Math. 1998, 101, 73–98. [Google Scholar] [CrossRef]
- Ambrose, D.M.; Wilkening, J. Computation of time-periodic solutions of the Benjamin–Ono equation. J. Nonlinear Sci. 2010, 20, 277–308. [Google Scholar] [CrossRef][Green Version]
- Feng, B.F.; Kawahara, T. Temporal evolutions and stationary waves for dissipative Benjamin–Ono equation. Phys. D Nonlinear Phenom. 2000, 139, 301–318. [Google Scholar] [CrossRef]
- Pelloni, B.; Dougalis, V.A. Numerical solution of some nonlocal, nonlinear dispersive wave equations. J. Nonlinear Sci. 2000, 10, 1–22. [Google Scholar] [CrossRef]
- Kalisch, H. Error analysis of a spectral projection of the regularized Benjamin–Ono equation. BIT Numer. Math. 2005, 45, 69–89. [Google Scholar] [CrossRef][Green Version]
- Boyd, J.P.; Xu, Z. Comparison of three spectral methods for the Benjamin–Ono equation: Fourier pseudospectral, rational Christov functions and Gaussian radial basis functions. Wave Motion 2011, 48, 702–706. [Google Scholar] [CrossRef]
- Fasshauer, G.E. Meshfree Approximation Methods with MATLAB; World Scientific: Singapore, 2007; Volume 6. [Google Scholar]
- Fornberg, B.; Flyer, N. A Primer On Radial Basis Functions With Applications To The Geosciences; SIAM: Philadelphia, PA, USA, 2015. [Google Scholar]
- Reeger, J.A.; Fornberg, B. Numerical quadrature over the surface of a sphere. Stud. Appl. Math. 2016, 137, 174–188. [Google Scholar] [CrossRef]
- Reeger, J.A.; Fornberg, B.; Watts, M.L. Numerical quadrature over smooth, closed surfaces. Proc. R. Soc. A Math. Phys. Eng. Sci. 2016, 472. [Google Scholar] [CrossRef]
- Reeger, J.A.; Fornberg, B. Numerical quadrature over smooth surfaces with boundaries. J. Comput. Phys. 2018, 355, 176–190. [Google Scholar] [CrossRef]
- Reeger, J.A. Approximate Integrals Over the Volume of the Ball. J. Sci. Comput. 2020, 83. [Google Scholar] [CrossRef]
- Bayona, V. An insight into RBF-FD approximations augmented with polynomials. Comput. Math. Appl. 2019, 77, 2337–2353. [Google Scholar] [CrossRef]
- Platte, R.B.; Driscoll, T.A. Eigenvalue stability of radial basis function discretizations for time-dependent problems. Comput. Math. Appl. 2006, 51, 1251–1268. [Google Scholar] [CrossRef]
- Sarra, S.A. A numerical study of the accuracy and stability of symmetric and asymmetric RBF collocation methods for hyperbolic PDEs. Numer. Methods Part. Differ. Equ. Int. J. 2008, 24, 670–686. [Google Scholar] [CrossRef]
- Libre, N.A.; Emdadi, A.; Kansa, E.J.; Shekarchi, M.; Rahimian, M. A multiresolution prewavelet-based adaptive refinement scheme for RBF approximations of nearly singular problems. Eng. Anal. Bound. Elem. 2009, 33, 901–914. [Google Scholar] [CrossRef]
- Davydov, O.; Oanh, D.T. Adaptive meshless centres and RBF stencils for Poisson equation. J. Comput. Phys. 2011, 230, 287–304. [Google Scholar] [CrossRef]
- Akers, B.; Milewski, P.A. A model equation for wavepacket solitary waves arising from capillary-gravity flows. Stud. Appl. Math. 2009, 122, 249–274. [Google Scholar] [CrossRef]
- Shen, Q. A meshless method of lines for the numerical solution of KdV equation using radial basis functions. Eng. Anal. Bound. Elem. 2009, 33, 1171–1180. [Google Scholar] [CrossRef]
- Ehrnström, M.; Kalisch, H. Traveling waves for the Whitham equation. Differ. Integral Equat. 2009, 22, 1193–1210. [Google Scholar]
- Akers, B.; Milewski, P.A. Dynamics of three-dimensional gravity-capillary solitary waves in deep water. SIAM J. Appl. Math. 2010, 70, 2390–2408. [Google Scholar] [CrossRef]
- Akers, B.; Milewski, P.A. Model equations for gravity-capillary waves in deep water. Stud. Appl. Math. 2008, 121, 49–69. [Google Scholar] [CrossRef]
- Ablowitz, M.; Fokas, A.; Satsuma, J.; Segur, H. On the periodic intermediate long wave equation. J. Phys. A Math. Gen. 1982, 15, 781. [Google Scholar] [CrossRef]
- Parau, E.; Vanden-Broeck, J.M.; Cooker, M. Nonlinear three-dimensional gravity-capillary solitary waves. J. Fluid Mech. 2005, 536, 99–105. [Google Scholar] [CrossRef]
- Oliveras, K.; Curtis, C. Nonlinear travelling internal waves with piecewise-linear shear profiles. J. Fluid Mech. 2018, 856, 984–1013. [Google Scholar] [CrossRef]
- Claassen, K.M.; Johnson, M.A. Numerical bifurcation and spectral stability of wavetrains in bidirectional Whitham models. Stud. Appl. Math. 2018, 141, 205–246. [Google Scholar] [CrossRef]
- Flyer, N.; Lehto, E.; Blaise, S.; Wright, G.B.; St-Cyr, A. A Guide to RBF-generated finite-differences for nonlinear transport: Shallow water simulations on a sphere. J. Comput. Math. 2012, 231, 4078–4095. [Google Scholar] [CrossRef]
- Flyer, N.; Wright, G.; Fornberg, B. Radial Basis function-generated finite differences: A mesh-free method for computational geosciences. In Handbook of Geomathematics; Freeden, W., Nashed, M.Z., Sonar, T., Eds.; Springer: Berlin/Heidelberg, Germany, 2014. [Google Scholar] [CrossRef]
- Fornberg, B.; Flyer, N. Solving PDEs with radial basis functions. Acta Numer. 2015, 24, 215–258. [Google Scholar] [CrossRef]
- Wendland, H. Scattered Data Approximation; Cambridge University Press: Cambridge, UK, 2005. [Google Scholar]
- Ascher, U.; Ruuth, S.; Wetton, B. Implicit-explicit methods for time-dependent partial differential equations. SIAM J. Numer. Anal. 1995, 32, 797–823. [Google Scholar] [CrossRef]
- Varah, J.M. Stability restrictions on second order, three level finite difference schemes for parabolic equations. SIAM J. Numer. Anal. 1980, 17, 300–309. [Google Scholar] [CrossRef]
- Kassam, A.K.; Trefethen, L. Fourth-order time-stepping for stiff PDEs. SIAM J. Sci. Comput. 2005, 26, 1214–1233. [Google Scholar] [CrossRef]
- Milewski, P.; Tabak, E. A pseudospectral procedure for the solution of nonlinear wave equations with examples from free-surface flows. SIAM J. Sci. Comput. 1999, 21, 1102–1114. [Google Scholar] [CrossRef]
- Kosloff, D.; Tal-Ezer, H. A modified Chebyshev pseudospectral method with an O (N-1) time step restriction. J. Comput. Phys. 1993, 104, 457–469. [Google Scholar] [CrossRef]
- Bayliss, A.; Turkel, E. Mappings and accuracy for Chebyshev pseudo-spectral approximations. J. Comput. Phys. 1992, 101, 349–359. [Google Scholar] [CrossRef]
- Shen, J.; Wang, L.L. Error analysis for mapped Legendre spectral and pseudospectral methods. SIAM J. Numer. Anal. 2004, 42, 326–349. [Google Scholar] [CrossRef][Green Version]
- Zhong, X.; Tatineni, M. High-order non-uniform grid schemes for numerical simulation of hypersonic boundary-layer stability and transition. J. Comput. Phys. 2003, 190, 419–458. [Google Scholar] [CrossRef]
- Shukla, R.K.; Zhong, X. Derivation of high-order compact finite difference schemes for non-uniform grid using polynomial interpolation. J. Comput. Phys. 2005, 204, 404–429. [Google Scholar] [CrossRef]
- Orszag, S.A. Accurate solution of the Orr–Sommerfeld stability equation. J. Fluid Mech. 1971, 50, 689–703. [Google Scholar] [CrossRef]
- Diorio, J.; Cho, Y.; Duncan, J.H.; Akylas, T. Gravity-capillary lumps generated by a moving pressure source. Phys. Rev. Lett. 2009, 103, 214502. [Google Scholar] [CrossRef]
- Akers, B.F.; Seiders, M. Numerical Simulations of Overturned Traveling Waves. In Nonlinear Water Waves; Springer: Berlin/Heidelberg, Germany, 2019; pp. 109–122. [Google Scholar]






Publisher’s Note: MDPI stays neutral with regard to jurisdictional claims in published maps and institutional affiliations. |
© 2020 by the authors. Licensee MDPI, Basel, Switzerland. This article is an open access article distributed under the terms and conditions of the Creative Commons Attribution (CC BY) license (http://creativecommons.org/licenses/by/4.0/).
Share and Cite
Akers, B.; Liu, T.; Reeger, J. A Radial Basis Function Finite Difference Scheme for the Benjamin–Ono Equation. Mathematics 2021, 9, 65. https://doi.org/10.3390/math9010065
Akers B, Liu T, Reeger J. A Radial Basis Function Finite Difference Scheme for the Benjamin–Ono Equation. Mathematics. 2021; 9(1):65. https://doi.org/10.3390/math9010065
Chicago/Turabian StyleAkers, Benjamin, Tony Liu, and Jonah Reeger. 2021. "A Radial Basis Function Finite Difference Scheme for the Benjamin–Ono Equation" Mathematics 9, no. 1: 65. https://doi.org/10.3390/math9010065
APA StyleAkers, B., Liu, T., & Reeger, J. (2021). A Radial Basis Function Finite Difference Scheme for the Benjamin–Ono Equation. Mathematics, 9(1), 65. https://doi.org/10.3390/math9010065
