An Evolutionary Approach to Improve the Halftoning Process
Abstract
1. Introduction
2. Preliminaries
2.1. Halftoning
Halftoning Algorithms
2.2. Harmony Search Algorithm
| Step 1: | Set the parameter HMS, HMCR, PAR, BW, and NI. |
| Step 2: | Initialize the HM and calculate the objective function value of each harmony. |
| Step 3: | Improvise a new harmony as follows: |
| for (j= 0 to d) do | |
| if (r1 < HMCR) then | |
| , where | |
| if (r2 < PAR) then | |
| , where | |
| end if | |
| if , then | |
| end if | |
| if , then | |
| end if | |
| else | |
| , where | |
| end if | |
| end for | |
| Step 4: | Update the HM as , if . |
| Step 5: | If NI is completed, the best harmony in the HM is returned; otherwise, go back to step 3. |
3. Halftoning by Using Harmony Search Algorithm (HHSA)
Definition of the Optimization Problem
4. Experimental Results
4.1. The Configuration of the HHSA
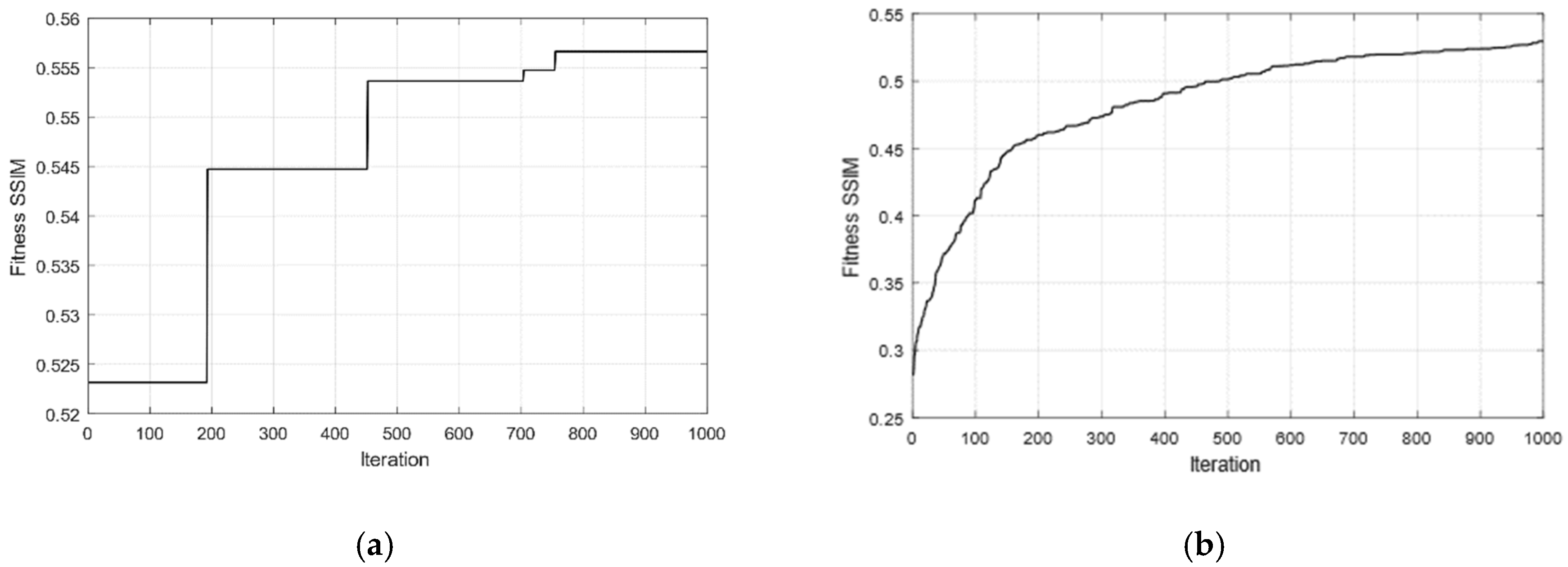
4.2. Optimization Problem Results
4.3. Avoiding the Regular Patterns in HHSA
5. Conclusions
Author Contributions
Funding
Conflicts of Interest
References
- Crounse, K.R.; Chua, L.O.; Roska, T.; Roska, T. Image Halftoning with Cellular Neural Networks. IEEE Trans. Circuits Syst. II Analog Digit. Signal Process. 1993, 40, 267–283. [Google Scholar] [CrossRef]
- Ulichney, R. A Review of Halftoning Techniques. In Proceedings of the Color Imaging: Device-Independent Color, Color Hardcopy, and Graphic Arts V; SPIE: San Jose, CA, USA, 1999; Volume 3963, pp. 378–391. [Google Scholar]
- Jiang, W.; Veis, A.; Ulichney, R.; Allebach, J.P. Novel color halftoning algorithm for ink savings. Electron. Imaging 2018, 2018, 429-1–429-7. [Google Scholar] [CrossRef]
- Bakshi, A.; Patel, A.K. Halftoning Algorithm Using Pull-Based. In Proceedings of the International Conference on Innovative Computing and Communications; Lecture Notes in Networks and Systems; Bhattacharyya, S., Hassanien, A., Gupta, D., Khanna, A.P.I., Eds.; Springer: Singapore, 2019; pp. 411–419. [Google Scholar]
- Makarov, A.; Yakovleva, E. Comparative Analysis of Half toning Algorithms for Digital Watermarking. In Proceedings of the 18th Conference of Open Innovations Association and Seminar on Information Security and Protection of Information Technolog; IEEE: St. Petersburg, Russia, 2016; pp. 193–199. [Google Scholar]
- Lau, D.L.; Arce, G.R. Modern Digital Halftoning; CRC Press: Boca Raton, FL, USA, 2006; ISBN 9780471780496. [Google Scholar]
- Steinberg, R.W.; Floyd, L. An Adaptive Algorithm for Spatial Greyscale. Proc. Soc. 1976, 17, 75–77. [Google Scholar]
- Jarvis, J.F.; Judice, C.N.; Ninke, W.H. A survey of techniques for the display of continuous tone pictures on bilevel displays. Comput. Graph. image Process. 1976, 5, 13–40. [Google Scholar] [CrossRef]
- Stucki, P. Image processing for document reproduction. In Advances in digital image processing; Springer: Berlin/Heidelberg, Germany, 1979; pp. 177–218. [Google Scholar]
- Xu, Y.; Chen, H.; Luo, J.; Zhang, Q.; Jiao, S.; Zhang, X. Enhanced Moth-flame optimizer with mutation strategy for global optimization. Inf. Sci. (N. Y.) 2019, 492, 181–203. [Google Scholar] [CrossRef]
- Chen, H.; Heidari, A.A.; Chen, H.; Wang, M.; Pan, Z.; Gandomi, A.H. Multi-population differential evolution-assisted Harris hawks optimization: Framework and case studies. Futur. Gener. Comput. Syst. 2020, 111, 175–198. [Google Scholar] [CrossRef]
- Shen, L.; Chen, H.; Yu, Z.; Kang, W.; Zhang, B.; Li, H.; Yang, B.; Liu, D. Evolving support vector machines using fruit fly optimization for medical data classification. Knowl.-Based Syst. 2016, 96, 61–75. [Google Scholar] [CrossRef]
- Wang, M.; Chen, H.; Yang, B.; Zhao, X.; Hu, L.; Cai, Z.N.; Huang, H.; Tong, C. Toward an optimal kernel extreme learning machine using a chaotic moth-flame optimization strategy with applications in medical diagnoses. Neurocomputing 2017, 267, 69–84. [Google Scholar] [CrossRef]
- Wang, M.; Chen, H. Chaotic multi-swarm whale optimizer boosted support vector machine for medical diagnosis. Appl. Soft Comput. J. 2020, 88, 105946. [Google Scholar] [CrossRef]
- Geem, Z.W. Recent Advances in Harmony Search Algorithm; Springer: Berlin/Heidelberg, Germany, 2010; Volume 270. [Google Scholar]
- Moon, Y.Y.; Geem, Z.W.; Han, G.T. Vanishing point detection for self-driving car using harmony search algorithm. Swarm Evol. Comput. 2018, 41, 111–119. [Google Scholar] [CrossRef]
- Bhattacharjee, K.; Tiwari, A.; Kumar, S. Block Matching Algorithm Based on Hybridization of Harmony Search and Differential Evolution for Motion Estimation in Video Compression. In Soft Computing: Theories and Applications; Springer: Berlin/Heidelberg, Germany, 2018; pp. 625–635. [Google Scholar]
- Wu, Y.; Zhang, X.; Yan, H. Focusing light through scattering media using the harmony search algorithm for phase optimization of wavefront shaping. Opt. J. Light Electron Opt. 2018, 158, 558–564. [Google Scholar] [CrossRef]
- Wang, Z.; Bovik, A.C.; Sheikh, H.R.; Simoncelli, E.P. Image quality assessment: From error visibility to structural similarity. IEEE Trans. Image Process. 2004, 13, 600–612. [Google Scholar] [CrossRef] [PubMed]
- Horé, A.; Ziou, D. Image quality metrics: PSNR vs. SSIM. In Proceedings of the 20th International Conference on Pattern Recognition, Istabul, Turkey, 23–26 August 2010; pp. 2366–2369. [Google Scholar]
- Knuth, D.E. Digital halftones by dot diffusion. ACM Trans. Graph. 1987, 6, 245–273. [Google Scholar] [CrossRef]
- Ulichney, R.A. Dithering with blue noise. Proc. IEEE 1988, 76, 56–79. [Google Scholar] [CrossRef]
- Sierra, F. LIB 17. Proc. Dev.’s Den CIS Gr. Support Forum 1989. Unpublished. [Google Scholar]
- Geem, Z.W.; Kim, J.H.; Loganathan, G.V. A new heuristic optimization algorithm: Harmony search. Simulation 2001, 76, 60–68. [Google Scholar] [CrossRef]
- Ser, J.D. Harmony Search Algorithm: Proceedings of the 3rd International Conference on Harmony Search Algorithm (ICHSA 2017); Advances in Intelligent Systems and Computing; Springer: Singapore, 2017; ISBN 9789811037283. [Google Scholar]
- Wang, S.; Rehman, A.; Wang, Z.; Ma, S.; Gao, W. SSIM-motivated rate-distortion optimization for video coding. IEEE Trans. Circuits Syst. Video Technol. 2012, 22, 516–529. [Google Scholar] [CrossRef]
- Meadows, D.M.; Johnson, W.O.; Allen, J.B. Generation of Surface Contours by Moiré Patterns. Appl. Opt. 1970, 9, 942. [Google Scholar] [CrossRef] [PubMed]










| HHSA | Jarvis-Judice-Ninke | Floyd-Steinberg | Sierra-Dithering | Stucki | ||
|---|---|---|---|---|---|---|
| SSIM | ||||||
| mean | std | |||||
| test 1 | 0.530965 | 0.006110809 | 0.442754 | 0.305369 | 0.314663 | 0.378702 |
| test 2 | 0.483038 | 0.004577303 | 0.475290 | 0.280892 | 0.294486 | 0.380525 |
| test 3 | 0.584160 | 0.006311886 | 0.578918 | 0.371786 | 0.380374 | 0.454066 |
| test 4 | 0.611333 | 0.002879088 | 0.575283 | 0.449854 | 0.458353 | 0.511553 |
| test 5 | 0.485476 | 0.025799264 | 0.461556 | 0.313459 | 0.328122 | 0.368585 |
| test 6 | 0.470101 | 0.003897454 | 0.443539 | 0.277847 | 0.288033 | 0.358991 |
| test 7 | 0.544270 | 0.006003758 | 0.531579 | 0.323045 | 0.336291 | 0.426775 |
| test 8 | 0.487829 | 0.011720087 | 0.454227 | 0.269676 | 0.279263 | 0.356964 |
| test 9 | 0.583895 | 0.005794814 | 0.575704 | 0.401112 | 0.413867 | 0.474699 |
| test 10 | 0.519052 | 0.005425102 | 0.510012 | 0.29933 | 0.312307 | 0.401745 |
| test 11 | 0.548769 | 0.005214272 | 0.51432 | 0.366638 | 0.377768 | 0.418065 |
| test 12 | 0.495473 | 0.004611630 | 0.484349 | 0.314840 | 0.328805 | 0.400891 |
| PSNR | ||||||
| mean | std | |||||
| test 1 | 7.651838 | 0.034465888 | 7.228841 | 7.277824 | 7.270218 | 7.267355 |
| test 2 | 7.047287 | 0.086462267 | 6.697432 | 6.754390 | 6.746273 | 6.738812 |
| test 3 | 6.977601 | 0.040181257 | 6.659878 | 6.959343 | 6.93148 | 6.901012 |
| test 4 | 8.489320 | 0.065361811 | 8.020814 | 8.164862 | 8.14788 | 8.130009 |
| test 5 | 9.504212 | 0.037655832 | 7.539568 | 7.626550 | 7.614034 | 7.604983 |
| test 6 | 7.153715 | 0.040888407 | 6.841787 | 6.868554 | 6.864408 | 6.862674 |
| test 7 | 6.900233 | 0.056174709 | 6.628160 | 6.747999 | 6.735287 | 6.716799 |
| test 8 | 6.824300 | 0.028533137 | 6.582260 | 6.685023 | 6.675296 | 6.656737 |
| test 9 | 7.587587 | 0.069440544 | 7.058648 | 7.284244 | 7.262257 | 7.236547 |
| test 10 | 6.836581 | 0.052831395 | 6.593367 | 6.668213 | 6.660108 | 6.647340 |
| test 11 | 8.066916 | 0.081025465 | 7.419925 | 7.572861 | 7.551219 | 7.538850 |
| test 12 | 6.994021 | 0.037012217 | 6.689220 | 6.784387 | 6.774046 | 6.757137 |
| Original Image | HHSA | Floyd-Steinberg | Jarvis–Judice–Ninke | Sierra Dithering | Stucki | |
|---|---|---|---|---|---|---|
| test 1 | ![]() | ![]() | ![]() | ![]() | ![]() | ![]() |
| test 2 | ![]() | ![]() | ![]() | ![]() | ![]() | ![]() |
| test 3 | ![]() | ![]() | ![]() | ![]() | ![]() | ![]() |
| test 4 | ![]() | ![]() | ![]() | ![]() | ![]() | ![]() |
| test 5 | ![]() | ![]() | ![]() | ![]() | ![]() | ![]() |
| test 6 | ![]() | ![]() | ![]() | ![]() | ![]() | ![]() |
| test 7 | ![]() | ![]() | ![]() | ![]() | ![]() | ![]() |
| test 8 | ![]() | ![]() | ![]() | ![]() | ![]() | ![]() |
| test 9 | ![]() | ![]() | ![]() | ![]() | ![]() | ![]() |
| test 10 | ![]() | ![]() | ![]() | ![]() | ![]() | ![]() |
| test 11 | ![]() | ![]() | ![]() | ![]() | ![]() | ![]() |
| test 12 | ![]() | ![]() | ![]() | ![]() | ![]() | ![]() |
| SSIM | PSNR | |||||||
|---|---|---|---|---|---|---|---|---|
| HHSA | HHSA-ARP | HHSA | HHSA-ARP | |||||
| Mean | Std | Mean | Std | Mean | Std | Mean | Std | |
| test 1 | 0.530965 | 0.006110809 | 0.52801318 | 0.006915539 | 7.651838 | 0.034465888 | 7.622100038 | 0.042169674 |
| test 2 | 0.483038 | 0.004577303 | 0.47937723 | 0.005241727 | 7.047287 | 0.086462267 | 6.964648742 | 0.078500675 |
| test 3 | 0.584160 | 0.006311886 | 0.56332022 | 0.011727794 | 6.977601 | 0.040181257 | 6.949102235 | 0.066822314 |
| test 4 | 0.611333 | 0.002879088 | 0.60630796 | 0.006449049 | 8.489320 | 0.065361811 | 8.447737055 | 0.08213532 |
| test 5 | 0.485476 | 0.025799264 | 0.47840261 | 0.038499056 | 9.504212 | 0.037655832 | 8.612058266 | 0.775191246 |
| test 6 | 0.470101 | 0.003897454 | 0.46850974 | 0.005744441 | 7.153715 | 0.040888407 | 7.123846942 | 0.045259563 |
| test 7 | 0.544270 | 0.006003758 | 0.53583375 | 0.008759206 | 6.900233 | 0.056174709 | 6.848529485 | 0.041106374 |
| test 8 | 0.487829 | 0.011720087 | 0.4808898 | 0.008525419 | 6.824300 | 0.028533137 | 6.783413082 | 0.056248647 |
| test 9 | 0.583895 | 0.005794814 | 0.56849882 | 0.009178075 | 7.587587 | 0.069440544 | 7.496128991 | 0.078647944 |
| test 10 | 0.519052 | 0.005425102 | 0.51467182 | 0.00873848 | 6.836581 | 0.052831395 | 6.819108727 | 0.078024087 |
| test 11 | 0.548769 | 0.005214272 | 0.54609907 | 0.546099069 | 8.066916 | 0.081025465 | 8.010846971 | 0.049816626 |
| test 12 | 0.495473 | 0.004611630 | 0.49094678 | 0.004913998 | 6.994021 | 0.037012217 | 6.918520971 | 0.066242468 |
| HHSA | HHSA-ARP | |
|---|---|---|
| test 1 | ![]() | ![]() |
| test 2 | ![]() | ![]() |
| test 4 | ![]() | ![]() |
| test 12 | ![]() | ![]() |
© 2020 by the authors. Licensee MDPI, Basel, Switzerland. This article is an open access article distributed under the terms and conditions of the Creative Commons Attribution (CC BY) license (http://creativecommons.org/licenses/by/4.0/).
Share and Cite
Ortega-Sánchez, N.; Oliva, D.; Cuevas, E.; Pérez-Cisneros, M.; Juan, A.A. An Evolutionary Approach to Improve the Halftoning Process. Mathematics 2020, 8, 1636. https://doi.org/10.3390/math8091636
Ortega-Sánchez N, Oliva D, Cuevas E, Pérez-Cisneros M, Juan AA. An Evolutionary Approach to Improve the Halftoning Process. Mathematics. 2020; 8(9):1636. https://doi.org/10.3390/math8091636
Chicago/Turabian StyleOrtega-Sánchez, Noé, Diego Oliva, Erik Cuevas, Marco Pérez-Cisneros, and Angel A. Juan. 2020. "An Evolutionary Approach to Improve the Halftoning Process" Mathematics 8, no. 9: 1636. https://doi.org/10.3390/math8091636
APA StyleOrtega-Sánchez, N., Oliva, D., Cuevas, E., Pérez-Cisneros, M., & Juan, A. A. (2020). An Evolutionary Approach to Improve the Halftoning Process. Mathematics, 8(9), 1636. https://doi.org/10.3390/math8091636

















































































