A Three-Player Game Model for Promoting the Diffusion of Green Technology in Manufacturing Enterprises from the Perspective of Supply and Demand
Abstract
1. Introduction
2. Literature Review
2.1. Green Technology Innovation
2.2. Diffusion of Green Technology Innovation
2.3. Environmental Regulation and Diffusion of Green Technology Innovation
3. Theoretical Framework
3.1. The Subject of Diffusion of Green Technology Innovation
3.2. Analysis of the Subject Benefits
4. An Evolutionary Game Analysis of the Diffusion of Green Technology Innovation
4.1. Tripartite Evolutionary Game Model
4.1.1. Game Model Construction
- (1)
- Game player
- (2)
- Behavioral strategies of all players
- (3)
- Model hypothesis
4.1.2. Game Model Solution and Analysis
4.2. Evolutionary Stability Analysis
4.2.1. The Gradual Stability Analysis of Government Regulatory Department
- ①
- When , and . In this case, the stability strategy is unchanged regardless of whether the government regulatory department chooses the strategy of “regulate” or “not regulate”. That is, the proportion of strategy does not change with time, which is the boundary of the stable state (as shown in Figure 2a).
- ②
- When , and . In this case, the evolutionary stable state of the system is , and the government chooses the “regulate” strategy. In contrast, the evolutionary unstable state of the system is , and the government chooses the “not regulate” strategy. Therefore, government regulatory departments evolve towards the direction of choosing the “regulate” strategy (as shown in Figure 2b).
- ③
- When , and . In this case, the evolutionary stable state of the system is , and the government chooses the “not regulate” strategy. In contrast, the evolutionary unstable state of the system is , and the government chooses the “regulate” strategy. Therefore, government regulatory departments evolve towards the direction of choosing the “not regulate” strategy (as shown in Figure 2c).
4.2.2. The Gradual Stability Analysis of Innovation-Supplying Enterprises
- ①
- When , and . In this case, the stability strategy is unchanged regardless of whether the innovation-supplying enterprises choose the strategy of “supply” or “not supply”. That is, the proportion of strategy does not change with time, which is the boundary of the stable state (as shown in Figure 3a).
- ②
- When , and . In this case, the evolutionary stable state of the system is , and the innovation-supplying enterprises choose the “supply” strategy. In contrast, the evolutionary unstable state of the system is , and the innovation-supplying enterprises choose the “not supply” strategy. Therefore, the innovation-supplying enterprises evolve towards the direction of choosing the “supply” strategy (as shown in Figure 3b).
- ③
- When , and . In this case, the evolutionary stable state of the system is , and the innovation-supplying enterprises choose the “not supply” strategy. In contrast, the evolutionary unstable state of the system is , and the innovation-supplying enterprises choose the “supply” strategy. Therefore, the innovation-supplying enterprises evolve towards the direction of choosing the “not supply” strategy (as shown in Figure 3c).
4.2.3. The gradual stability analysis of potential demand-oriented enterprises
- ①
- When , and . In this case, the stability strategy is unchanged regardless of whether the potential demand-oriented enterprises choose the strategy of “adopt” or “not adopt”. That is, the proportion of strategy does not change with time, which is the boundary of the stable state (as shown in Figure 4a).
- ②
- When , and . In this case, the evolutionary stable state of the system is , and the potential demand-oriented enterprises choose the “adopt” strategy. In contrast, the evolutionary unstable state of the system is , and the potential demand-oriented enterprises choose the “not adopt” strategy. Therefore, the potential demand-oriented enterprises evolve towards the direction of choosing the “adopt” strategy (as shown in Figure 4b).
- ③
- When , and . In this case, the evolutionary stable state of the system is , and the potential demand-oriented enterprises choose the “not adopt” strategy. In contrast, the evolutionary unstable state of the system is , and the potential demand-oriented enterprises choose the “adopt” strategy. Therefore, the potential demand-oriented enterprises evolve towards the direction of choosing the “not adopt” strategy (as shown in Figure 4c).
5. Numerical Simulation and Discussion
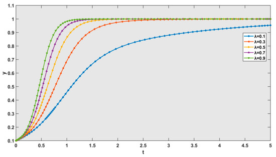
5.1. The Influence of Command and Control Regulation on the Strategy Selection of the Three Parties
- (1)
- The influence of command and control regulation on the system
- (2)
- The influence of command and control regulation on the innovation-supplying enterprises
- (3)
- The influence of command and control regulation on the potential demand-oriented enterprises
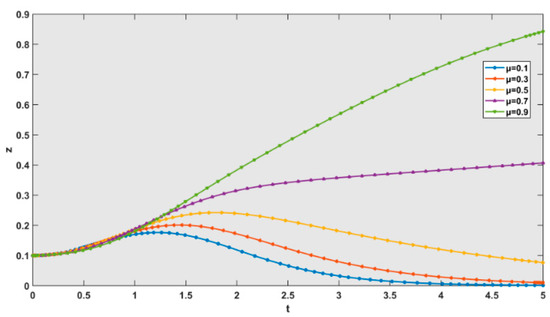
5.2. The Influence of Market-Based Incentive Regulation on the Strategy Selection of the Three Parties
- (1)
- The influence of market-based incentive regulation on the system
- (2)
- The influence of market-based incentive regulation on the innovation-supplying enterprises
- (3)
- The influence of market-based incentive regulation on the potential demand-oriented enterprises
5.3. The Influence of a Combination of Environmental Regulation on the Strategy Selection of the Three Parties
6. Conclusions and Implications
6.1. Conclusions
- (1)
- When the government does not implement any tools of environmental regulation or the regulatory intensity is relatively small, the diffusion system of green technology innovation eventually evolves to (1,1,0) and the diffusion depth is zero. When the government regulation reaches a certain level, the system of manufacturing enterprises, innovation-supplying enterprises, and potential demand-oriented enterprises eventually chooses to actively promote the diffusion of green technology innovation after a long evolution process. That is to say, innovation-supplying enterprises will actively supply the achievements of green technology innovation, and potential demand-oriented enterprises will actively adopt the achievements of green technology innovation.
- (2)
- The influence of different environmental regulation tools on the strategic selection of manufacturing enterprises is different. Increases of both the punishment intensity and the subsidy rate of green innovation input can increase the probability of manufacturing enterprises carrying out the diffusion of green technology innovation. When the punishment intensity or subsidy rate set by the government is less than a certain threshold value, the incentive effect of promoting the diffusion of green technology innovation among manufacturing enterprises cannot be successfully realized. However, levels of the punishment intensity or subsidy rate higher than a certain threshold value can improve the enthusiasm of manufacturing enterprises to spread the achievements of green technology innovation. Therefore, the greater the punishment or subsidy the government imposes, the more conducive it is to the diffusion of green technology innovation.
- (3)
- The comprehensive use of the two kinds of environmental regulation tools has a heterogeneous influence on the strategic choice of the diffusion subject of green technology innovation in manufacturing enterprises. When the value of is 0.1 and 0.3, regardless of the value of , the group of innovation-supplying enterprises will ultimately choose to provide the achievements of green technology innovation. However, only when the is greater than 0.5 can the potential demand-oriented enterprises finally evolve to a stable state in which all of the enterprises choose the “adopt” strategy. Compared with innovation-supplying enterprises, potential demand-oriented enterprises have lower policy sensitivity, and environmental regulation of government acts as a relatively weak constraint on potential demand-oriented enterprises.
6.2. Implications
Author Contributions
Funding
Acknowledgments
Conflicts of Interest
References
- Hart, S.L.; Dowell, G. A Natural-Resource-Based View of the Firm: Fifteen Years After. J. Manag. 2011, 37, 1464–1479. [Google Scholar]
- Ludbrook, F.; Michalikova, K.F.; Musova, Z.; Suler, P. Business Models for Sustainable Innovation in Industry 4.0: Smart Manufacturing Processes, Digitalization of Production Systems, and Data-driven Decision Making. J. Self Gov. Manag. Econ. 2019, 7, 21–26. [Google Scholar]
- Gradeck, J.; Octav, N.; Iulia, G.; Gheorghe, G. Big Data Analytics in Industry 4.0: Sustainable Industrial Value Creation, Manufacturing Process Innovation, and Networked Production Structures. J. Self Gov. Manag. Econ. 2019, 7, 34–40. [Google Scholar]
- Ooba, M.; Hayashi, K.; Fujii, M. A long-term assessment of ecological-economic sustainability of woody biomass production in Japan. J. Clean. Prod. 2015, 88, 318–325. [Google Scholar] [CrossRef]
- Zhao, X.; Zhao, Y.; Zeng, S.; Zhang, S. Corporate behavior and competitiveness: Impact of environmental regulation on Chinese firms. J. Clean. Prod. 2015, 86, 311–322. [Google Scholar] [CrossRef]
- Karen, C. Cyber-Physical Smart Manufacturing Systems: Sustainable Industrial Networks, Cognitive Automation, and Big Data-driven Innovation. Econ. Manag. Financ. Mark. 2019, 14, 23–29. [Google Scholar]
- Blaut, J.M. Diffusions: A Uniformitarian Critique. Ann. Assoc. Am. Geogr. 1987, 77, 30–47. [Google Scholar] [CrossRef]
- Mulder, P.; de Groot, H.L.F.; Hofkes, M.W. Explaining slow diffusion of energy-saving technologies: A vintage model with returns to diversity and learning-by-using. Resour. Energy Econ. 2003, 25, 105–126. [Google Scholar] [CrossRef]
- Reinganum, J.F. On the diffusion of new technology: A game theoretic approach. Rev. Econ. Stud. 1981, 48, 395–405. [Google Scholar] [CrossRef]
- Yin, S.; Zhang, N.; Li, B.Z. Enhancing the competitiveness of multi-agent cooperation for green manufacturing in China: An empirical study of the measure of green technology innovation capabilities and their influencing factors. Sustain. Prod. and Consump. 2020, 23, 63–76. [Google Scholar] [CrossRef]
- Kemp, R.P.M. Environmental policy and technical change: A comparison of the technological impact of policy instruments. Open Access Publ. Maastricht Univ. 2015, 108, 231–233. [Google Scholar]
- Medrano, N.; Cornejo-Cañamares, M.; Olarte-Pascual, C. The impact of marketing innovation on companies’ environmental orientation. J. Bus. Ind. Mark. 2020, 35, 1–12. [Google Scholar] [CrossRef]
- Khan, Z.; Sisi, Z.; Siqun, Y. Environmental regulations an option: Asymmetry effect of environmental regulations on carbon emissions using non-linear ARDL. Energy Source 2019, 41, 137–155. [Google Scholar] [CrossRef]
- Wang, Y.; Sun, X.; Guo, X. Environmental regulation and green productivity growth: Empirical evidence on the Porter Hypothesis from OECD industrial sectors. Energy Policy 2019, 132, 611–619. [Google Scholar] [CrossRef]
- Delre, S.A.; Jager, W.; Bijmolt, T.H.; Janssen, M.A. Targeting and timing promotional activities: An agent-based model for the takeoff of new products. J. Bus. Res. 2007, 60, 826–835. [Google Scholar] [CrossRef]
- D’Orazio, P.; Valente, M. The role of finance in environmental innovation diffusion: An evolutionary modeling approach. J. Econ. Behav. Organ. 2019, 162, 417–439. [Google Scholar] [CrossRef]
- Gao, X.; Zhang, W. Foreign investment, innovation capacity and environmental efficiency in China. Math. Comput. Model. 2013, 58, 1040–1046. [Google Scholar] [CrossRef]
- Zsifkovits, M.; Günther, M. Simulating resistances in innovation diffusion over multiple generations: An agent-based approach for fuel-cell vehicles. Cent. Eur. J. Oper. Res. 2015, 23, 501–522. [Google Scholar] [CrossRef]
- Coad, A.; Haan, P.D.; Woersdorfer, J.S. Consumer support for environmental policies: An application to purchases of green cars. Ecol. Econ. 2009, 68, 2078–2086. [Google Scholar] [CrossRef]
- Shi, J.; Tong, X. The Diffusion of ‘Green’ Technology: Comparison of Three Electronics Industrial Clusters in China. Chin. J. Popul. Resour. Environ. 2010, 20, 120–126. [Google Scholar]
- Yang, C.J.; Liu, B.; BI, K.X. Research on the Evolutionary Game of Green Innovation Industry-UniversityResearch Cooperation under the International Technology Spillover. Ecol. Econ. 2019, 33, 86–91. [Google Scholar]
- XU, Y.Y.; QI, L.Q. Research on low carbon technological innovation diffusion in enterprises clusters based on evolutionary game theory on complex networks. Chin. J. Popul. Resour. Environ. 2016, 26, 16–24. [Google Scholar]
- Xu, J.Z.; Fu, J.W.; Li, F.S. Research on the service innovation diffusion of manufacturing enterprises based on evolutionary game theory. Oper. Res. Manag. Sci. 2018, 27, 177–183. [Google Scholar]
- Rennings, K. Redefining innovation-eco-innovation research and the contribution from ecological economics. Ecol. Econ. 2000, 32, 319–332. [Google Scholar] [CrossRef]
- Cai, W.; Li, G. The drivers of eco-innovation and its impact on performance: Evidence from China. J. Clean. Prod. 2018, 176, 110–118. [Google Scholar] [CrossRef]
- Shahin, A.; Imanipour, N.; Shahin, A.; Wood, L.C. An integrative approach for structuring and prioritising eco-innovation determinants with a survey in knowledge-based companies. J. Manuf. Technol. Manag. 2020, 31, 799–824. [Google Scholar] [CrossRef]
- Oltra, V.; Jean, M.S. Sectoral systems of environmental innovation: An application to the frenchautomotive industry. Technol. Forecast. Soc. 2009, 76, 567–583. [Google Scholar] [CrossRef]
- Horbach, J.; Rammer, C.; Rennings, K. Determinants of Eco-innovations by Type of Environmental Impact: The Role of Regulatory Push/Pull, Technology Push and Market Pull. Zew Discuss. Pap. 2011, 78, 112–122. [Google Scholar] [CrossRef]
- Yin, S.; Zhang, N.; Li, B.Z. Improving the Effectiveness of Multi-Agent Cooperation for Green Manufacturing in China: A Theoretical Framework to Measure the Performance of Green Technology Innovation. Int. J. Public Health 2020, 17, 3211. [Google Scholar] [CrossRef] [PubMed]
- Fussler, C. Driving Eco-Innovation: A Breakthrough Discipline for Innovation and Sustainability; Pitman: London, UK, 1996. [Google Scholar]
- Driessen, P.H.; Hillebrand, B. Adoption and Diffusion of Green Innovations; Ios Press Inc.: Amsterdam, The Netherlands, 2003; pp. 343–356. [Google Scholar]
- OECD. Sustainable Manufacturing and Eco-Innovation: Towards a Green Economy; Policy Brief-OECD Observer: Paris, France, 2009. [Google Scholar]
- Xie, X.; Huo, J.; Zou, H. Green process innovation, green product innovation, and corporate financial performance: A content analysis method. J. Bus. Res. 2019, 101, 697–706. [Google Scholar] [CrossRef]
- Stoneman, P. The Economic Analysis of Technological Change; Oxford University Press: Oxford, UK, 1983. [Google Scholar]
- Rogers, E.M. Diffusion of Innovation; Free Press: New York, NY, USA, 2003. [Google Scholar]
- Wang, Q.; Luo, J.; Zhong, Z.; Borgna, A. CO2 capture by solid adsorbents and their applications: Current status and new trends. Energy Environ. Sci. 2011, 4, 42–55. [Google Scholar] [CrossRef]
- Kama, A.A.L.; Fodha, M.; Lafforgue, G. Optimal Carbon Capture and Storage Policies. Environ. Model. Assess. 2013, 18, 417–426. [Google Scholar] [CrossRef]
- Boot-Handford, M.E.; Abanades, J.C.; Anthony, E.J.; Blunt, M.J.; Brandani, S.; Mac Dowell, N.; Fernández, J.R.; Ferrari, M.C.; Gross, R.; Hallett, J.P.; et al. Carbon capture and storage update. Energy Environ. Sci. 2014, 7, 130–189. [Google Scholar] [CrossRef]
- Haas, J.; Nowak, W.; Palma-Behnke, R. Multi-objective planning of energy storage technologies for a fully renewable system: Implications for the main stakeholders in Chile. Energy Policy 2019, 126, 494–506. [Google Scholar] [CrossRef]
- Derakhshan-Nejad, Z.; Lee, W.; Han, S.; Choi j Yun, S.; Lee, G. Effects of soil moisture content on CO2 triggered soil physicochemical properties in a near-surface environment. J. Soil. Sediment. 2020, 20, 2107–2120. [Google Scholar] [CrossRef]
- Fraas, A.G.; Lutter, R.W.; Wietelman, D.C. The energy paradox in seemingly competitive industries: The use of energy-efficient equipment on heavy-duty tractor trailers. Energy Policy 2019, 129, 467–480. [Google Scholar] [CrossRef]
- Lavery, M.P.; Abadi, M.M.; Bauer, R.; Brambilla, G.; Cheng, L.; Cox, M.A.; Dudley, A.; Ellis, A.D.; Fontaine, N.K.; Kelly, A.E.; et al. Tackling Africa’s digital divide. Nat. Photonics 2018, 12, 249–252. [Google Scholar] [CrossRef]
- Saudi, M.H.M.; Sinaga, O.; Roespinoedji, D.S. The Impact of Technological Innovation on Energy Intensity: Evidence from Indonesia. Int. J. Energy Econ. Policy 2019, 9, 11–17. [Google Scholar] [CrossRef]
- Strandholm, J.C.; Espínola-Arredondo, A. Investment in Green Technology and Entry Deterrence. BE J. Econ. Anal. Policy 2020, 20, 835–878. [Google Scholar] [CrossRef]
- Yang, G.; Guo, Q. Research on the Influencing Factors of Green Technology Innovation Diffusion Based on Multi-Agent Model. J. Ind. Technol. Econ. 2017, 8, 43–50. [Google Scholar]
- Li, T.; Liang, L.; Han, D. Research on the Efficiency of Green Technology Innovation in China’s Provincial High-End Manufacturing Industry Based on the RAGA-PP-SFA Model. Math. Probl. Eng. 2018, 2018, 1–13. [Google Scholar] [CrossRef]
- Hwang, B.G.; Tan, J.S. Green building project management: Obstacles and solutions for sustainable development. Sustain. Dev. 2012, 20, 335–349. [Google Scholar] [CrossRef]
- Fawzi, H.; Joakim, T.; Maya, H.; Qi, L. The diffusion of green innovation technology in the construction industry: European passive house knowledge transfer to China. Progr. Ind. Eco. 2017, 11, 164–181. [Google Scholar]
- Zhang, X.; Shen, L.; Wu, Y. Green strategy for gaining competitive advantage in housing development: A China study. J. Clean. Prod. 2011, 19, 157–167. [Google Scholar] [CrossRef]
- Mohammed Shareef, M.S.H.; Zhang, R.J. Critical Barriers and Challenges in Implementation of Green Construction in China. Int. J. Curr. Eng. Technol. 2016, 6, 435–445. [Google Scholar]
- Shi, Q.; Zuo, J.; Huang, R.; Pullen, S. Identifying the critical factors for green construction-An empirical study in China. Habitat Int. 2013, 40, 1–8. [Google Scholar] [CrossRef]
- Tran, M. Technology-behavioural modelling of energy innovation diffusion in the UK. Appl. Energy 2012, 95, 1–11. [Google Scholar] [CrossRef]
- Arnold, D.G.; Williams, L.H.D. The Paradox at the Base of the Pyramid: Environmental Sustainability and Market-Based Poverty Alleviation. Soc. Sci. Electron. Publ. 2013, 60, 44–59. [Google Scholar] [CrossRef]
- Sung, B. Do government subsidies promote firm-level innovation? Evidence from the Korean renewable energy technology industry. Energy Policy 2019, 132, 1333–1344. [Google Scholar] [CrossRef]
- Crespi, F.; Ghisetti, C.; Quatraro, F. Environmental and Innovation Policies for the Evolution of green technologies: A survey and a test. Eurasian Bus. Rev. 2015, 5, 343–370. [Google Scholar] [CrossRef]
- Xu, J.Z.; Xu, Y.Y. Low-carbon technology innovation di usion under environmental regulation: Evolutionary game analysis based on prospect theory. Syst. Eng. 2015, 33, 118–125. [Google Scholar]
- Cao, X.; Xing, Z.Y.; Zhang, L.P. An Evolutionary Game Analysis of New Energy Vehicle Industry Development under Government Regulations. Manag. Rev. 2018, 30, 84–98. [Google Scholar]
- Luigi, D.C.; Andrea, D.L. A stackelberg game of innovation diffusion: Pricing, advertising and subsidy strategies. Int. Game Theory Rev. 2001, 3, 325–339. [Google Scholar]
- Cantono, S.; Silverberg, G. A percolation model of eco-innovation diffusion: The relationship between diffusion, learning economies and subsidies. Technol. Forecast. Soc. Chang. 2008, 76, 487–496. [Google Scholar] [CrossRef]
- Krass, D.; Nedorezov, T.; Ovchinnikov, A. Environmental Taxes and the Choice of Green Technology. Prod. Oper. Manag. 2013, 22, 1035–1055. [Google Scholar] [CrossRef]
- Gil-Moltó, M.J.; Varvarigos, D. Emission taxes and the adoption of cleaner technologies: The case of environmentally conscious consumers. Resour. Energy Econ. 2013, 35, 486–504. [Google Scholar] [CrossRef]
- Cohen, M.C.; Lobel, R.; Perakis, G. The Impact of Demand Uncertainty on Consumer Subsidies for Green Technology Adoption. Soc. Sci. Electron. Publ. 2015, 62, 868–878. [Google Scholar]
- Bendle, N.; Vandenbosch, M. Competitor orientation and the evolution of business markets. Market. Sci. 2014, 21, 781–795. [Google Scholar] [CrossRef]
- Wu, J.; Wang, D.; Li, J.; Yang, F.M. Game analysis of hazardous chemicals transport route selection based on reinforcement learning-model. Syst. Eng. Theor. Pr. 2015, 35, 388–393. [Google Scholar]
- Yuan, B.; Xiang, Q. Environmental regulation, industrial innovation and green development of Chinese manufacturing: Based on an extended CDM model. J. Clean. Prod. 2018, 176, 895–908. [Google Scholar] [CrossRef]
- Wang, F.Z.; Jiang, T. The impact of environmental regulation on the green technology innovation of resource-based industries: Based on the perspective of industry heterogeneity. Res. Financ. Econ. 2015, 8, 17–23. [Google Scholar]
- Ambec, S.; Barla, P. Can environmental regulations be good for business? An assessment of the Porter Hypothesis. Energy Stud. Rev. 2006, 14, 601–610. [Google Scholar] [CrossRef]
- Qiao, J.J.; Mu, Y.M.; Zhao, X.Q.; Zheng, J.X.; Qi, X.H. The intervention effect of government subsidy on the adoption of low carbon agricultural technology in Shanxi and Hebei provinces. J. Arid Land Resour. Environ. 2016, 30, 46–50. [Google Scholar]
- Hafstead, M.A.C.; Williams, R.C.I. Unemployment and Environmental Regulation in General Equilibrium. J. Public Econ. 2018, 160, 50–65. [Google Scholar] [CrossRef]
- Yin, S.; Zhang, N.; Dong, H.M. Preventing COVID-19 from the perspective of industrial information integration: Evaluation and continuous improvement of information networks for sustainable epidemic prevention. J. Ind. Inf. Integr. 2020, 19, 100157. [Google Scholar] [CrossRef] [PubMed]














| Strategic Combination | Government | Innovation-Supplying Enterprises | Potential Demand-Oriented Enterprises |
|---|---|---|---|
| 1 | Regulate | Supply | Adopt |
| 2 | Regulate | Supply | Not Adopt |
| 3 | Regulate | Not Supply | Adopt |
| 4 | Regulate | Not Supply | Not Adopt |
| 5 | Not Regulate | Supply | Adopt |
| 6 | Not Regulate | Supply | Not Adopt |
| 7 | Not Regulate | Not Supply | Adopt |
| 8 | Not Regulate | Not Supply | Not Adopt |
| Game Player | Potential Demand-Oriented Enterprises | ||||
|---|---|---|---|---|---|
| Adopt (z) | Not Adopt (1 − z) | ||||
| Government | Regulate (x) | Innovation-supplying Enterprises | Supply (y) | ||
| Not Supply (1 − y) | |||||
| Not Regulate (1 − x) | Innovation-supplying Enterprises | Supply (y) | |||
| Not Supply (1 − y) | |||||
© 2020 by the authors. Licensee MDPI, Basel, Switzerland. This article is an open access article distributed under the terms and conditions of the Creative Commons Attribution (CC BY) license (http://creativecommons.org/licenses/by/4.0/).
Share and Cite
Wang, M.; Lian, S.; Yin, S.; Dong, H. A Three-Player Game Model for Promoting the Diffusion of Green Technology in Manufacturing Enterprises from the Perspective of Supply and Demand. Mathematics 2020, 8, 1585. https://doi.org/10.3390/math8091585
Wang M, Lian S, Yin S, Dong H. A Three-Player Game Model for Promoting the Diffusion of Green Technology in Manufacturing Enterprises from the Perspective of Supply and Demand. Mathematics. 2020; 8(9):1585. https://doi.org/10.3390/math8091585
Chicago/Turabian StyleWang, Manman, Shuai Lian, Shi Yin, and Hengmin Dong. 2020. "A Three-Player Game Model for Promoting the Diffusion of Green Technology in Manufacturing Enterprises from the Perspective of Supply and Demand" Mathematics 8, no. 9: 1585. https://doi.org/10.3390/math8091585
APA StyleWang, M., Lian, S., Yin, S., & Dong, H. (2020). A Three-Player Game Model for Promoting the Diffusion of Green Technology in Manufacturing Enterprises from the Perspective of Supply and Demand. Mathematics, 8(9), 1585. https://doi.org/10.3390/math8091585

