Electricity Cost Optimization in Energy Storage Systems by Combining a Genetic Algorithm with Dynamic Programming
Abstract
1. Introduction
2. Dynamic Programming for ESS Scheduling
2.1. Problem Formulation
2.2. Assumptions and Limitations of the Proposed Problem Formulation
- In relation with the demand charge, the amount of the largest hourly electrical energy required from the power grid during the billing period is used for the value of peak demand instead of the exact amount power. In practical, power is usually measured by calculating the electrical energy drawn during a predetermined time interval. We used an hour as this time interval in this study, however, if we use a shorter time interval, such as five minutes, the result will be more accurate.
- For the electricity that is sent back to the grid, we assumed that there is no compensation of the feed-in electricity. If the other pricing policies for this feed-in electricity are applied, the problem formulation should be modified.
- Another existing study [32] has modeled the problem of scheduling the charge/discharge power of ESS considering power balance constraint. The problem formulation of our study has slightly different view. In our study, we optimize the amount of charge/discharge energy during the unit time interval instead of optimizing the power of the ESS. Therefore, energy balance among generation, load, grid, and ESS is considered instead of power balance. Both models can be applied to ESS scheduling problem considering the other environments.
- In this study, we experimented the proposed method assuming that actual generation and load completely follow the certain predetermined patterns. However, in practical, generation and load may not follow the same pattern every day, so the proposed method should be applied with some predicted generation and load patterns to be used in the field. There have been a number of recent studies on day-ahead prediction of photovoltaic (PV) output [33,34], wind power generation [35], and load [36,37,38,39]. It is expected that the proposed method of combining GA and DP will show a good performance when an ideal prediction algorithm with great accuracy is adopted as we simulated in this study. However, generation and load predictions will usually have errors and simulation results may be different from this study. A statistical analysis of the day-ahead (and two-days-ahead) load forecasting errors have been made in [40] and economic impact assessment of load forecast errors have been discussed in [41]. In the ESS scheduling problem addressed in this paper, if the net energy (the difference between renewable energy and load) is underforecasted, excessive electrical energy may be accumulated in the battery uselessly by the predetermined schedule. On the other hand, the net energy is overforecasted, the energy contained in the battery may be used up in advance, so the consumer may have to buy energy from the grid even when the price is high. In both cases, there can be some economic inefficiencies in practical.
2.3. Dynamic Programming
3. Genetic Algorithm Process
- Encoding: in the proposed RCGA, a real-number vector is encoded, with a length of the number of the maximum time intervals. Unlike in general real encoding, the value of the gene of a solution vector is limited by the value of the gene of the previous index. Therefore, the range of is as follows:
- Evaluation: if there is no demand charge, the objective function of this problem is the same as Equation (2) in Section 2. If there is a demand charge, the function in Equation (4) is used. The lower the function value is, the higher is the possibility to be selected as parents.
- Initialization: an initial population of 100 individuals is generated and the encoding constraint in Equation (11) should be adhered to. The individuals are randomly generated and the limit is not exceeded.
- Crossover operator: in this study, blend crossover (), one of the crossover techniques for real-valued chromosomes, is used, where is a non-negative real number. This crossover operation randomly determines genes within the range , where and ). The parameter used in this study is 0.5 and . This study includes additional constraints because the encoding conditions should not be violated. Therefore, the range of the th gene of the offspring of the crossover should be set to .
- Mutation: the mutation transforms a part of the offspring generated via crossover such that more diverse solutions are generated during the genetic process. Mutation is not performed always but depending on the probability value. In this study, the probability is set to 0.2. The mutation process selects a part of the chromosome index and changes the corresponding part, but it assigns values uniformly and randomly within the range of the encoding constraint.
4. Experimental Results
4.1. Experiment Data
4.2. Performace Comparison for the Case without Demand Charge
4.3. Comparison for the Case with Demand Charge
4.4. Experiments with Various Sizes of Base Unit
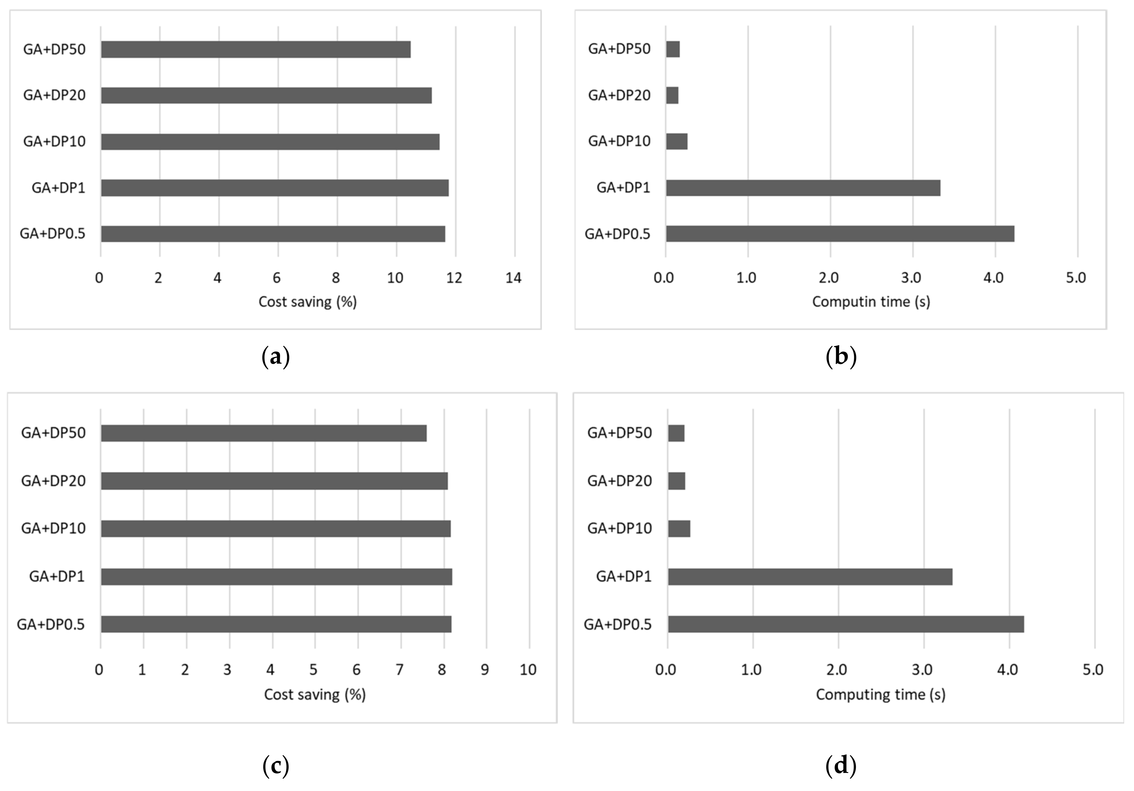
4.5. Experiments with Combined Methods of Improved GA and DP
5. Conclusions
Author Contributions
Funding
Acknowledgments
Conflicts of Interest
Nomenclature
| ESS | Energy storage system |
| TOU | Time-of-use |
| DP | Dynamic programming |
| DP1 | DP with a base unit of 1 kWh |
| DP10 | DP with a base unit of 10 kWh |
| GA | Genetic algorithm |
| GA+DP1 | The combined method of GA and DP with a base unit 1 kWh |
| GA+DP10 | The combined method of GA and DP with a base unit 10 kWh |
| HS | Harmony search |
| HS+DP1 | The combined method of HS and DP with a base unit 1 kWh |
| HS+DP10 | The combined method of GA and DP with a base unit 10 kWh |
References
- Roberts, B.P.; Sandberg, C. The role of energy storage in development of smart grids. Proc. IEEE 2011, 99, 1139–1144. [Google Scholar] [CrossRef]
- Wang, H.; Huang, J. Joint investment and operation of microgrid. IEEE Trans. Smart Grid 2017, 8, 833–845. [Google Scholar] [CrossRef]
- Mozafari, B.; Mohammadi, S. Optimal sizing of energy storage system for microgrids. Sadhana 2014, 39, 819–841. [Google Scholar] [CrossRef]
- Li, Y.; Yang, Z.; Li, G.; Zhao, D.; Tian, W. Optimal scheduling of an isolated microgrid with battery storage considering load and renewable generation uncertainties. IEEE Trans. Ind. Electron. 2018, 66, 1565–1575. [Google Scholar] [CrossRef]
- Tushar, M.H.K.; Zeineddine, A.W.; Assi, C. Demand-side management by regulating charging and discharging of the EV, ESS, and utilizing renewable energy. IEEE Trans. Ind. Inform. 2017, 14, 117–126. [Google Scholar] [CrossRef]
- Barton, J.P.; Infield, D.G. Energy storage and its use with intermittent renewable energy. IEEE Trans. Energy Convers. 2004, 19, 441–448. [Google Scholar] [CrossRef]
- Smith, S.C.; Sen, P.K.; Kroposki, B. Advancement of energy storage devices and applications in electrical power system. In Proceedings of the IEEE Power and Energy Society General Meeting: Conversion and Delivery of Electrical Energy in the 21st Century, Pittsburgh, PA, USA, 20–24 July 2008; pp. 1–8. [Google Scholar]
- Sanghvi, A.P. Flexible strategies for load/demand management using dynamic pricing. IEEE Trans. Power Syst. 1989, 4, 83–93. [Google Scholar] [CrossRef]
- Grillo, S.; Marinelli, M.; Massucco, S.; Silvestro, F. Optimal management strategy of a battery-based storage system to improve renewable energy integration in distribution networks. IEEE Trans. Smart Grid 2012, 3, 950–958. [Google Scholar] [CrossRef]
- PG&E’s TOU Rate Plan. Available online: https://www.pge.com/en_US/residential/rate-plans/rate-plan-options/time-of-use-base-plan/tou-everyday.page (accessed on 30 August 2020).
- Time-Of-Use|Hydro Ottawa. Available online: https://hydroottawa.com/accounts-services/accounts/time-use (accessed on 30 August 2020).
- Electric Rates Table|KEPCO. Available online: https://home.kepco.co.kr/kepco/EN/F/htmlView/ENFBHP00103.do?menuCd=EN060201 (accessed on 30 August 2020).
- Sheen, J.-N.; Chen, C.-S.; Yang, J.-K. Time-of-use pricing for load management programs in Taiwan power company. IEEE Trans. Power Syst. 1994, 9, 388–396. [Google Scholar] [CrossRef]
- Hwangbo, S.W.; Kim, B.J.; Kim, J.H. Application of economic operation strategy on battery energy storage system at Jeju. In Proceedings of the IEEE PES Conference on Innovative Smart Grid Technologies, Vancouver, BC, Canada, 1–6 April 2013; pp. 1–8. [Google Scholar]
- Nguyen, M.Y.; Yoon, Y.T. Optimal scheduling and operation of battery/wind generation system in response to real-time market prices. IEEE Trans. Electr. Electron. Eng. 2014, 9, 129–135. [Google Scholar] [CrossRef]
- Nottrott, A.; Kleissl, J.; Washom, B. Energy dispatch schedule optimization and cost benefit analysis for grid-connected, photovoltaic-battery storage systems. Renew. Energy 2013, 55, 230–240. [Google Scholar] [CrossRef]
- Squartini, S.; Boaro, M.; de Angelis, F.; Fuselli, D.; Piazza, F. Optimization algorithms for home energy resource scheduling in presence of data uncertainty. In Proceedings of the 4th International Conference on Intelligent Control and Information Processing, Nanyang, China, 16–17 November 2019; pp. 323–328. [Google Scholar]
- Ionescu, L.M.; Bizon, N.; Mazare, A.G.; Belu, N. Reducing the cost of electricity by optimizing real-time consumer planning using a new genetic algorithm-based strategy. Mathematics 2020, 8, 1144. [Google Scholar] [CrossRef]
- Maly, D.K.; Kwan, K.S. Optimal battery energy storage system (BESS) charge scheduling with dynamic programming. IEEE Proc. Sci. Meas. Technol. 1995, 142, 453–458. [Google Scholar] [CrossRef]
- Van de Ven, P.; Hegde, N.; Massoulie, L.; Salonidis, T. Optimal control of residential energy storage under price fluctuations. In Proceedings of the 1st International Conference on Smart Grids, Green Communications and IT Energy-Aware Technologies, Athens, Greece, 2–6 June 2019; pp. 159–162. [Google Scholar]
- Koutsopoulos, I.; Hatzi, V.; Tassiulas, L. Optimal energy storage control policies for the smart power grid. In Proceedings of the 2nd IEEE International Conference on Smart Grid Communications, Brussels, Belgium, 17–20 October 2011; pp. 475–480. [Google Scholar]
- Romaus, C.; Gathmann, K.; Bocker, J. Optimal energy management for a hybrid energy storage system for electric vehicles based on stochastic dynamic programming. In Proceedings of the IEEE Vehicle Power and Propulsion Conference, Lille, France, 1–3 September 2010; pp. 1–6. [Google Scholar]
- Neufeld, J.L. Price discrimination and the adoption of the electricity demand charge. J. Econ. Hist. 1987, 47, 693–709. [Google Scholar] [CrossRef]
- Taylor, T.N.; Schwarz, P.M. A residential demand charge: Evidence from the Duke power time-of-day pricing experiment. Energy J. 1986, 7, 135–151. [Google Scholar] [CrossRef]
- Yoon, Y.; Kim, Y.-H. Effective scheduling of residential energy storage systems under dynamic pricing. Renew. Energy 2016, 87, 936–945. [Google Scholar] [CrossRef]
- Zhang, J.; Zhang, C.; Wu, S.; Zhang, X.; Li, C.; Xue, C.; Cheng, B. High-columbic-efficiency lithium battery based on silicon particle materials. Nanoscale Res. Lett. 2015, 10, 1–5. [Google Scholar] [CrossRef]
- Zhang, Y.; Duan, X.; Wang, J.; Wang, C.; Wang, J.; Wang, J.; Wang, J. Natural graphene microsheets/sulfur as Li-S battery cathode towards >99% coulombic efficiency of long cycles. J. Power Sources 2018, 376, 131–137. [Google Scholar] [CrossRef]
- Zhou, X.L.; Zhao, T.S.; An, L.; Wei, L.; Zhang, C. The use of polybenzimidazole membranes in vanadium redox flow batteries leading to increased coulombic efficiency and cycling performance. Electrochim. Acta 2015, 153, 492–498. [Google Scholar] [CrossRef]
- Yoon, Y.; Kim, Y.-H. Charge scheduling of an energy storage system under time-of-use pricing and a demand charge. Sci. World J. 2014, 2014, 937329. [Google Scholar] [CrossRef]
- Yang, X. Introduction to Mathematical Optimization; Cambridge International Science Publishing: Cambridge, UK, 2008; pp. 84–85. [Google Scholar]
- Bianchi, L.; Dorigo, M.; Gambardella, L.M.; Gutjahr, W.J. A survey on metaheuristics for stochastic combinatorial optimization. Nat. Comput. 2009, 8, 239–287. [Google Scholar] [CrossRef]
- Choi, Y.; Kim, H. Optimal scheduling of energy storage system for self-sustainable base station operation considering battery wear-out cost. Energies 2016, 9, 462. [Google Scholar] [CrossRef]
- Larson, D.P.; Nonnenmacher, L.; Coimbra, C.F.M. Day-ahead forecasting of solar power output from photovoltaic plants in the American Southwest. Renew. Energy 2016, 91, 11–20. [Google Scholar] [CrossRef]
- Yang, H.-T.; Huang, C.-M.; Huang, Y.-C.; Pai, Y.-S. A weather-based hybrid method for 1-day ahead hourly forecasting of PV power output. IEEE Trans. Sustain. Energy 2014, 5, 917–926. [Google Scholar] [CrossRef]
- Foley, A.M.; Leahy, P.G.; Marvuglia, A.; McKeogh, E. Current methods and advances in forecasting of wind power generation. Renew. Energy 2012, 37, 1–8. [Google Scholar] [CrossRef]
- Panapakidis, I.P. Clustering based day-ahead and hour-ahead bus load forecasting models. Int. J. Electr. Power Energy Syst. 2016, 80, 171–178. [Google Scholar] [CrossRef]
- Sadaei, H.J.; Enayatifar, R.; Abdullah, A.H.; Gani, A. Short-term load forecasting using a hybrid model with a refined exponentially weighted fuzzy time series and an improved harmony search. Int. J. Electr. Power Energy Syst. 2014, 62, 118–129. [Google Scholar] [CrossRef]
- Shayeghi, H.; Ghasemi, A.; Moradzadeh, M.; Nooshyar, M. Simultaneous day-ahead forecasting of electricity price and load in smart grids. Energy Convers. Manag. 2015, 95, 371–384. [Google Scholar] [CrossRef]
- Sudheer, G.; Suseelatha, A. Short term load forecasting using wavelet transform combined with Holt–Winters and weighted nearest neighbor models. Int. J. Electr. Power Energy Syst. 2015, 64, 340–346. [Google Scholar] [CrossRef]
- Hodge, B.; Lew, D.; Milligan, M. Short-term load forecast error distributions and implications for renewable integration studies. In Proceedings of the IEEE Green Technologies Conference (GreenTech), Denver, CO, USA, 4–5 April 2013; pp. 435–442. [Google Scholar]
- Ortega-Vazquez, M.A.; Kirschen, D.S. Economic impact assessment of load forecast errors considering the cost of interruptions. In Proceedings of the IEEE Power Engineering Society General Meeting, Montreal, QC, Canada, 18–22 June 2006; pp. 1–8. [Google Scholar]
- Herrera, F.; Lozano, M.; Verdegay, J.L. Tackling real-coded genetic algorithms: Operators and tools for behavioral analysis. Artif. Intell. Rev. 1998, 12, 265–319. [Google Scholar] [CrossRef]
- Kim, Y.-H.; Yoon, Y.; Moon, B.-R. A Lagrangian approach for multiple personalized campaigns. IEEE Trans. Knowl. Data Eng. 2008, 20, 383–395. [Google Scholar] [CrossRef]
- Yoon, Y.; Kim, Y.-H. An efficient genetic algorithm for maximum coverage deployment in wireless sensor networks. IEEE Trans. Cybern. 2013, 43, 1473–1483. [Google Scholar] [CrossRef] [PubMed]
- Yoon, Y.; Kim, Y.-H. Geometricity of genetic operators for real-coded representation. Appl. Math. Comput. 2013, 219, 10915–10927. [Google Scholar] [CrossRef]
- Yoon, Y.; Kim, Y.-H.; Moraglio, A.; Moon, B.-R. A theoretical and empirical study on unbiased boundary-extended crossover for real-valued representation. Inf. Sci. 2012, 183, 48–65. [Google Scholar] [CrossRef]
- Commercial and Residential Hourly Load Profiles for All TMY3 Locations in the United States. Available online: https://openei.org/datasets/dataset/commercial-and-residential-hourly-load-profiles-for-all-tmy3-locations-in-the-united-states (accessed on 31 July 2020).
- The Photovoltaic (PV) Watts Calculator. Available online: https://pvwatts.nrel.gov/ (accessed on 31 July 2020).
- Geem, Z.W.; Yoon, Y. Harmony search optimization of renewable energy charging with energy storage system. Int. J. Electr. Power Energy Syst. 2017, 86, 120–126. [Google Scholar] [CrossRef]








| Case | Season | Weather | Building |
|---|---|---|---|
| 1 | Summer | Cloudy | Hospital |
| 2 | Summer | Rainy | Hospital |
| 3 | Summer | Sunny | Hospital |
| 4 | Winter | Cloudy | Hospital |
| 5 | Winter | Rainy | Hospital |
| 6 | Winter | Sunny | Hospital |
| 7 | Summer | Cloudy | Office |
| 8 | Summer | Rainy | Office |
| 9 | Summer | Sunny | Office |
| 10 | Winter | Cloudy | Office |
| 11 | Winter | Rainy | Office |
| 12 | Winter | Sunny | Office |
| 13 | Summer | Cloudy | Restaurant |
| 14 | Summer | Rainy | Restaurant |
| 15 | Summer | Sunny | Restaurant |
| 16 | Winter | Cloudy | Restaurant |
| 17 | Winter | Rainy | Restaurant |
| 18 | Winter | Sunny | Restaurant |
| Hour (from-to) | Summer (Cents/kWh) | Winter (Cents/kWh) |
|---|---|---|
| 0–1 | 5 | 5 |
| 1–2 | 5 | 5 |
| 2–3 | 5 | 5 |
| 3–4 | 5 | 5 |
| 4–5 | 5 | 5 |
| 5–6 | 5 | 5 |
| 6–7 | 5 | 5 |
| 7–8 | 10 | 15 |
| 8–9 | 10 | 15 |
| 9–10 | 10 | 15 |
| 10–11 | 10 | 15 |
| 11–12 | 15 | 10 |
| 12–13 | 15 | 10 |
| 13–14 | 15 | 10 |
| 14–15 | 15 | 10 |
| 15–16 | 15 | 10 |
| 16–17 | 15 | 10 |
| 17–18 | 10 | 15 |
| 18–19 | 10 | 15 |
| 19–20 | 5 | 5 |
| 20–21 | 5 | 5 |
| 21–22 | 5 | 5 |
| 22–23 | 5 | 5 |
| 23–24 | 5 | 5 |
| Case | DP1 | DP10 | GA | GA+DP1 | GA+DP10 | HS | HS+DP1 | HS+DP10 |
|---|---|---|---|---|---|---|---|---|
| 1 | 10.32% | 10.29% | 8.75% (0.16%) | 10.33% (0.00%) | 10.29% (0.04%) | 8.37% (0.17%) | 10.32% (0.00%) | 10.31% (0.05%) |
| (2.924) | (0.052) | (0.192) | (3.201) | (0.257) | (0.224) | (3.212) | (0.281) | |
| 2 | 7.85% | 7.79% | 6.61% (0.11%) | 7.85% (0.00%) | 7.80% (0.03%) | 5.22% (0.13%) | 7.85% (0.00%) | 7.79% (0.01%) |
| (2.854) | (0.048) | (0.184) | (3.433) | (0.262) | (0.237) | (3.238) | (0.243) | |
| 3 | 7.36% | 7.36% | 6.05% (0.10%) | 7.52% (0.50%) | 7.36% (0.01%) | 5.40% (0.10%) | 7.36% (0.00%) | 7.48% (0.02%) |
| (2.994) | (0.047) | (0.164) | (3.452) | (0.273) | (0.242) | (3.228) | (0.201) | |
| 4 | 3.60% | 3.60% | 2.96% (0.14%) | 3.60% (0.00%) | 3.60% (0.00%) | 1.93% (0.12%) | 3.60% (0.00%) | 3.60% (0.01%) |
| (3.014) | (0.051) | (0.171) | (3.321) | (0.281) | (0.204) | (3.216) | (0.239) | |
| 5 | 3.58% | 3.58% | 2.95% (0.13%) | 3.58% (0.01%) | 3.58% (0.00%) | 1.88% (0.15%) | 3.58% (0.00%) | 3.58% (0.00%) |
| (2.962) | (0.039) | (0.199) | (3.361) | (0.299) | (0.218) | (3.276) | (0.267) | |
| 6 | 3.96% | 3.96% | 3.28% (0.06%) | 3.96% (0.00%) | 3.96% (0.00%) | 2.09% (0.06%) | 3.96% (0.00%) | 3.96% (0.00%) |
| (2.940) | (0.043) | (0.201) | (3.399) | (0.244) | (0.291) | (3.268) | (0.227) | |
| 7 | 13.35% | 13.35% | 11.64% (0.08%) | 13.50% (0.05%) | 13.45% (0.05%) | 10.07% (0.16%) | 13.50% (0.05%) | 13.52% (0.02%) |
| (3.092) | (0.045) | (0.175) | (3.417) | (0.263) | (0.272) | (3.213) | (0.298) | |
| 8 | 15.17% | 15.10% | 11.97% (0.15%) | 15.17% (0.00%) | 15.10% (0.03%) | 9.30% (0.14%) | 15.17% (0.00%) | 15.11% (0.01%) |
| (2.885) | (0.038) | (0.161) | (3.363) | (0.251) | (0.271) | (3.232) | (0.277) | |
| 9 | 17.66% | 17.64% | 14.46% (0.17%) | 17.67% (0.00%) | 17.64% (0.02%) | 12.07% (0.12%) | 17.67% (0.01%) | 17.64% (0.01%) |
| (2.911) | (0.050) | (0.134) | (3.367) | (0.259) | (0.208) | (3.268) | (0.214) | |
| 10 | 8.30% | 8.30% | 6.85% (0.13%) | 8.30% (0.00%) | 8.30% (0.00%) | 4.49% (0.17%) | 8.30% (0.00%) | 8.30% (0.01%) |
| (2.923) | (0.055) | (0.156) | (3.393) | (0.262) | (0.275) | (3.252) | (0.227) | |
| 11 | 8.19% | 8.19% | 6.80% (0.16%) | 8.19% (0.00%) | 8.19% (0.00%) | 4.43% (0.13%) | 8.19% (0.01%) | 8.19% (0.00%) |
| (2.924) | (0.058) | (0.161) | (3.264) | (0.241) | (0.221) | (3.206) | (0.234) | |
| 12 | 11.58% | 11.58% | 10.35% (0.10%) | 11.60% (0.04%) | 11.61% (0.03%) | 8.38% (0.10%) | 11.59% (0.02%) | 11.60% (0.00%) |
| (2.975) | (0.052) | (0.183) | (3.251) | (0.268) | (0.258) | (3.214) | (0.242) | |
| 13 | 21.17% | 18.48% | 15.95% (0.11%) | 21.19% (0.03%) | 19.33% (0.07%) | 10.95% (0.11%) | 21.17% (0.00%) | 18.48% (0.01%) |
| (2.963) | (0.053) | (0.199) | (3.411) | (0.290) | (0.251) | (3.289) | (0.271) | |
| 14 | 19.63% | 19.19% | 15.22% (0.08%) | 19.67% (0.05%) | 19.40% (0.02%) | 10.11% (0.13%) | 19.63% (0.04%) | 19.19% (0.05%) |
| (2.989) | (0.045) | (0.181) | (3.252) | (0.284) | (0.279) | (3.266) | (0.226) | |
| 15 | 23.83% | 20.17% | 18.86% (0.16%) | 23.85% (0.04%) | 20.91% (0.16%) | 14.29% (0.10%) | 23.83% (0.02%) | 20.51% (0.06%) |
| (2.931) | (0.047) | (0.179) | (3.245) | (0.285) | (0.249) | (3.240) | (0.274) | |
| 16 | 11.80% | 11.80% | 9.86% (0.13%) | 11.80% (0.00%) | 11.80% (0.00%) | 6.41% (0.06%) | 11.80% (0.03%) | 11.80% (0.03%) |
| (2.938) | (0.049) | (0.169) | (3.273) | (0.279) | (0.230) | (3.217) | (0.264) | |
| 17 | 11.77% | 11.77% | 9.75% (0.12%) | 11.77% (0.00%) | 11.77% (0.00%) | 6.50% (0.15%) | 11.77% (0.01%) | 11.77% (0.00%) |
| (2.946) | (0.045) | (0.185) | (3.293) | (0.268) | (0.263) | (3.279) | (0.276) | |
| 18 | 12.26% | 12.26% | 10.17% (0.09%) | 12.26% (0.00%) | 12.26% (0.00%) | 6.51% (0.13%) | 12.26% (0.00%) | 12.26% (0.00%) |
| (2.974) | (0.054) | (0.193) | (3.283) | (0.282) | (0.278) | (3.208) | (0.264) |
| Case | DP1 | DP10 | GA | GA+DP1 | GA+DP10 | HS | HS+DP1 | HS+DP10 |
|---|---|---|---|---|---|---|---|---|
| 1 | 5.87% | 5.76% | 6.71% (0.25%) | 6.75% (0.19%) | 6.74% (0.02%) | 5.94% (0.15%) | 6.73% (0.05%) | 6.61% (0.05%) |
| (2.924) | (0.052) | (0.192) | (3.201) | (0.257) | (0.224) | (3.212) | (0.281) | |
| 2 | 4.38% | 4.33% | 4.51% (0.10%) | 4.62% (0.15%) | 4.65% (0.04%) | 3.66% (0.12%) | 4.64% (0.06%) | 4.61% (0.04%) |
| (2.854) | (0.048) | (0.184) | (3.433) | (0.262) | (0.237) | (3.238) | (0.243) | |
| 3 | 3.60% | 3.60% | 4.05% (0.09%) | 4.08% (0.17%) | 4.12% (0.03%) | 3.58% (0.08%) | 4.26% (0.10%) | 4.25% (0.07%) |
| (2.994) | (0.047) | (0.164) | (3.452v | (0.273) | (0.242) | (3.228) | (0.201) | |
| 4 | 2.22% | 2.21% | 2.42% (0.12%) | 2.75% (0.20%) | 2.77% (0.00%) | 1.84% (0.10%) | 2.30% (0.06%) | 2.29% (0.08%) |
| (3.014) | (0.051) | (0.171) | (3.321) | (0.281) | (0.204) | (3.216) | (0.239) | |
| 5 | 2.21% | 2.19% | 2.39% (0.14%) | 2.70% (0.15%) | 2.72% (0.01%) | 1.83% (0.12%) | 2.29% (0.08%) | 2.28% (0.10%) |
| (2.962) | (0.039) | (0.199) | (3.361) | (0.299) | (0.218) | (3.276) | (0.267) | |
| 6 | 2.42% | 2.40% | 2.62% (0.14%) | 2.95% (0.25%) | 2.97% (0.00%) | 1.99% (0.09%) | 2.52% (0.07%) | 2.49% (0.15%) |
| (2.94) | (0.043) | (0.201) | (3.399) | (0.244) | (0.291) | (3.268) | (0.227) | |
| 7 | 2.50% | 2.50% | 13.54% (0.13%) | 13.20% (0.27%) | 13.43% (0.00%) | 9.71% (0.12%) | 10.12% (0.12%) | 10.29% (0.02%) |
| (3.092) | (0.045) | (0.175) | (3.417) | (0.263) | (0.272) | (3.213) | (0.298) | |
| 8 | 12.30% | 12.26% | 12.32% (0.11%) | 12.69% (0.24%) | 12.76% (0.05%) | 11.14% (0.15%) | 13.48% (0.13%) | 13.39% (0.05%) |
| (2.885) | (0.038) | (0.161) | (3.363) | (0.251) | (0.271) | (3.232) | (0.277) | |
| 9 | 6.21% | 6.15% | 14.81% (0.08%) | 14.61% (0.20%) | 14.60% (0.04%) | 10.88% (0.10%) | 11.18% (0.04%) | 11.10% (0.14%) |
| (2.911) | (0.05) | (0.134) | (3.367) | (0.259) | (0.208) | (3.268) | (0.214) | |
| 10 | 5.18% | 5.18% | 4.28% (0.09%) | 5.70% (0.24%) | 5.72% (0.00%) | 3.13% (0.13%) | 5.19% (0.05%) | 5.18% (0.07%) |
| (2.923) | (0.055) | (0.156) | (3.393) | (0.262) | (0.275) | (3.252) | (0.227) | |
| 11 | 5.12% | 5.12% | 4.18% (0.10%) | 5.58% (0.21%) | 5.63% (0.00%) | 3.21% (0.12%) | 5.12% (0.07%) | 5.12% (0.13%) |
| (2.924) | (0.058) | (0.161) | (3.264) | (0.241) | (0.221) | (3.206) | (0.234) | |
| 12 | 7.73% | 7.73% | 7.92% (0.13%) | 8.74% (0.18%) | 8.51% (0.05%) | 6.95% (0.11%) | 7.98% (0.05%) | 7.94% (0.09%) |
| (2.975) | (0.052) | (0.183) | (3.251) | (0.268) | (0.258) | (3.214) | (0.242) | |
| 13 | 10.01% | 7.79% | 11.09% (0.15%) | 12.26% (0.19%) | 12.28% (0.06%) | 8.14% (0.10%) | 11.4% (0.10%) | 9.63% (0.12%) |
| (2.963) | (0.053) | (0.199) | (3.411) | (0.29) | (0.251) | (3.289 | (0.271) | |
| 14 | 9.74% | 11.57% | 10.32% (0.14%) | 11.69% (0.15%) | 12.60% (0.04%) | 7.38% (0.11%) | 10.19% (0.14%) | 11.63% (0.10%) |
| (2.989) | (0.045) | (0.181) | (3.252v | (0.284) | (0.279) | (3.266) | (0.226) | |
| 15 | 11.16% | 8.20% | 13.06% (0.12%) | 13.82% (0.21%) | 13.48% (0.12%) | 11.06% (0.13%) | 12.28% (0.10%) | 11.73% (0.04%) |
| (2.931) | (0.047) | (0.179) | (3.245) | (0.285) | (0.249) | (3.24) | (0.274) | |
| 16 | 7.20% | 7.20% | 6.17% (0.15%) | 8.38% (0.24%) | 7.87% (0.00%) | 4.63% (0.06%) | 7.20% (0.07%) | 7.21% (0.06%) |
| (2.938) | (0.049) | (0.169) | (3.273) | (0.279) | (0.23) | (3.217) | (0.264) | |
| 17 | 7.16% | 7.16% | 6.11% (0.11%) | 8.39% (0.16%) | 7.83% (0.00%) | 4.58% (0.10%) | 7.16% (0.08%) | 7.17% (0.08%) |
| (2.946) | (0.045) | (0.185) | (3.293) | (0.268) | (0.263) | (3.279) | (0.276) | |
| 18 | 7.45% | 7.45% | 6.33% (0.13%) | 8.54% (0.18%) | 8.30% (0.00%) | 4.72% (0.09%) | 7.48% (0.06%) | 7.45% (0.10%) |
| (2.974) | (0.054) | (0.193) | (3.283) | (0.282) | (0.278) | (3.208) | (0.264) |
© 2020 by the authors. Licensee MDPI, Basel, Switzerland. This article is an open access article distributed under the terms and conditions of the Creative Commons Attribution (CC BY) license (http://creativecommons.org/licenses/by/4.0/).
Share and Cite
Lee, S.-J.; Yoon, Y. Electricity Cost Optimization in Energy Storage Systems by Combining a Genetic Algorithm with Dynamic Programming. Mathematics 2020, 8, 1526. https://doi.org/10.3390/math8091526
Lee S-J, Yoon Y. Electricity Cost Optimization in Energy Storage Systems by Combining a Genetic Algorithm with Dynamic Programming. Mathematics. 2020; 8(9):1526. https://doi.org/10.3390/math8091526
Chicago/Turabian StyleLee, Seung-Ju, and Yourim Yoon. 2020. "Electricity Cost Optimization in Energy Storage Systems by Combining a Genetic Algorithm with Dynamic Programming" Mathematics 8, no. 9: 1526. https://doi.org/10.3390/math8091526
APA StyleLee, S.-J., & Yoon, Y. (2020). Electricity Cost Optimization in Energy Storage Systems by Combining a Genetic Algorithm with Dynamic Programming. Mathematics, 8(9), 1526. https://doi.org/10.3390/math8091526
