An Analytical Method for the Longitudinal Vibration of a Large-Diameter Pipe Pile in Radially Heterogeneous Soil Based on Rayleigh–Love Rod Model
Abstract
1. Introduction
2. Mechanical Model and Basic Assumptions
3. Governing Equations
4. Solution of the Disturbed Soil
5. Solutions of the Inner Soil
6. Solutions of the Pipe Pile
7. Results and Discussions
7.1. Verification of the Solution
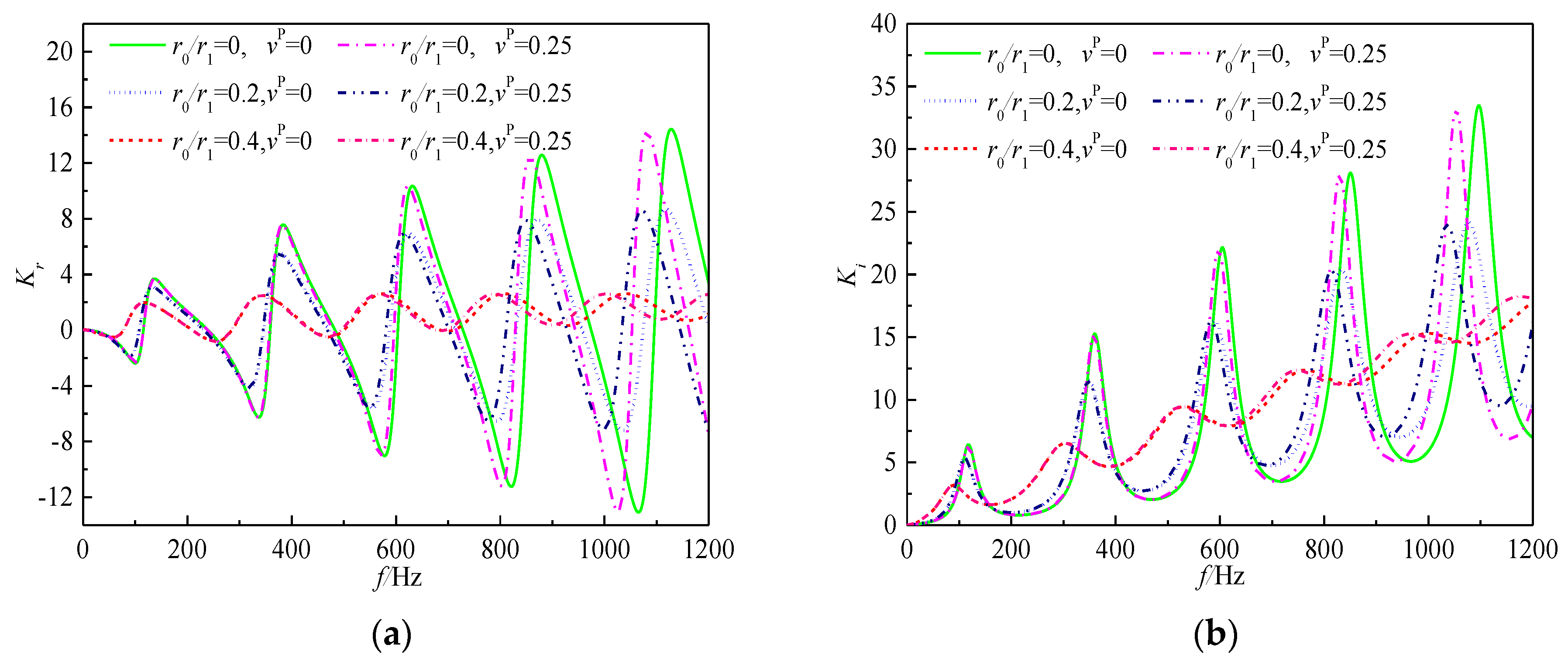
7.2. Parametric Analyses
8. Conclusions
Author Contributions
Funding
Acknowledgments
Conflicts of Interest
Appendix A
References
- Varghese, R.; Boominathan, A.; Banerjee, S. Stiffness and load sharing characteristics of piled raft foundations subjected to dynamic loads. Soil Dyn. Earthq. Eng. 2020, 133, 106177. [Google Scholar] [CrossRef]
- Xu, Y.; Zeng, Z.; Wang, Z.; Yan, H. Seismic study of a widened and reconstructed long-span continuous steel truss bridge. Struct. Infrastruct. Eng. 2020, 1, 1–11. [Google Scholar] [CrossRef]
- Gao, L.; Wang, K.H.; Xiao, S.; Li, Z.Y.; Wu, J.T. An analytical solution for excited pile vibrations with variable section impedance in the time domain and its engineering application. Comput. Geotech. 2016, 73, 170–178. [Google Scholar] [CrossRef]
- Wu, W.B.; Liu, H.; Yang, X.Y.; Jiang, G.S.; EI Naggar, M.H.; Mei, G.X.; Liang, R.Z. New method to calculate the apparent phase velocity of open-ended pipe pile. Can. Geotech. J. 2020, 57, 127–138. [Google Scholar] [CrossRef]
- Yuan, B.X.; Sun, M.; Xiong, L.; Luo, Q.Z.; Pradhan, S.P.; Li, H.Z. Investigation of 3D deformation of transparent soil around a laterally loaded pile based on a hydraulic gradient model test. J. Build Eng. 2020, 28, 1–9. [Google Scholar] [CrossRef]
- Xu, D.S.; Xu, X.Y.; Li, W.; Fatahi, B. Field experiments on laterally loaded piles for an offshore wind farm. Mar. Struct. 2020, 69, 102684. [Google Scholar] [CrossRef]
- Song, H.B.; Pei, H.F.; Xu, D.S.; Cui, C.Y. Performance study of energy piles in different climatic conditions by using multi-sensor technologies. Meas. J. Inter. Measur. Con. 2020, 162, 107875. [Google Scholar] [CrossRef]
- Fan, Q.L.; Xiao, G.F.; Chen, X.D. Analysis of cyclic response of bucket foundations based on simplified kinematic hardening model. Adv. Civ. Eng. 2020, 2020, 1–8. [Google Scholar] [CrossRef]
- Meng, K.; Cui, C.Y.; Li, H.J. An Ontology Framework for Pile Integrity Evaluation Based on Analytical Methodology. IEEE Access 2020, 8, 72158–72168. [Google Scholar] [CrossRef]
- Luan, L.B.; Zheng, C.J.; Kouretzis, G.; Ding, X.M. Dynamic analysis of pile groups subjected to horizontal loads considering coupled pile-to-pile interaction. Comput. Geotech. 2020, 117, 103276. [Google Scholar] [CrossRef]
- Meng, K.; Cui, C.Y.; Liang, Z.M.; Li, H.J.; Pei, H.F. An Analytical Solution for Longitudinal Impedance of a Large-Diameter Floating Pile in Soil with Radial Heterogeneity and Viscous-Type Damping. Appl. Sci. 2020, 10, 4906. [Google Scholar] [CrossRef]
- Miao, Y.; Shi, Y.; Zhuang, H.Y.; Wang, S.Y.; Liu, H.B.; Yu, X.B. Influence of seasonal frozen soil on near-surface shear wave velocity in Eastern Hokkaido. Geophys. Res. Lett. 2019, 46, 9497–9508. [Google Scholar] [CrossRef]
- Liang, F.Y.; Zhao, M.Y.; Qin, C.R.; Jia, Y.J.; Wang, Z.W.; Yue, G.P. Centrifugal test of a road embankment built after new dredger fill on thick marine clay. Mar. Georesour. Geotech. 2020, 38, 114–121. [Google Scholar] [CrossRef]
- Liang, Z.M.; Cui, C.Y.; Meng, K.; Xin, Y.; Pei, H.F.; Li, H.J. New Analytical Solutions for Longitudinal Vibration of a Floating Pile in Layered Soils with Radial Heterogeneity. Mathematics 2020, 8, 1294. [Google Scholar] [CrossRef]
- Randolph, M.F.; Leong, E.C.; Houlsby, G.T. One-dimensional analysis of soil plugs in pipe piles. Geotechnique 1991, 41, 587–598. [Google Scholar] [CrossRef]
- Randolph, M.F.; May, M.; Leong, E.C.; Hyden, A.M.; Murff, J.D. Soil plug response in open-ended pipe piles. J. Geotech. Eng. 1992, 118, 743–759. [Google Scholar] [CrossRef]
- Liu, Z.P.; Liu, H.L.; Tan, H.M. Application of PCC pile in soil improvement of highway. J. Cent. South Univ. Technol. 2008, 15, 108–113. [Google Scholar] [CrossRef]
- Liu, H.L.; Jian, C.; Deng, A. Use of large-diameter cast–insitu concrete pipe piles for embankment over soft clay. Can. Geotech. J. 2009, 46, 915–927. [Google Scholar] [CrossRef]
- Ding, X.M.; Liu, H.L.; Zhang, B. High-frequency interference in low strain integrity testing of large-diameter pipe piles. Sci. China Technol. Sci. 2011, 54, 420–430. [Google Scholar] [CrossRef]
- Ding, X.M.; Liu, H.L.; Kong, G.Q.; Zheng, C.J. Time-domain analysis of velocity waves in a pipe pile due to a transient point load. Comput. Geotech. 2014, 58, 101–116. [Google Scholar] [CrossRef]
- Zheng, C.J.; Ding, X.M.; Sun, Y.F. Vertical Vibration of a Pipe Pile in Viscoelastic Soil Considering the Three-Dimensional Wave Effect of Soil. Int. J. Geomech. 2015, 16. [Google Scholar] [CrossRef]
- Zheng, C.J.; Liu, H.L.; Ding, X.M.; Kouretzis, G. Resistance of inner soil to the vertical vibration of pipe piles. Soil Dyn. Earthq. Eng. 2017, 94, 83–87. [Google Scholar] [CrossRef]
- Ai, Z.Y.; Liu, C.L. Dynamic impedance of a pipe pile in layered soils under vertical excitations. Soil Dyn. Earthq. Eng. 2017, 97, 387–394. [Google Scholar] [CrossRef]
- Li, Z.Y.; Wang, K.H.; Wu, W.B.; Leo, C.J.; Wang, N. Vertical vibration of a large-diameter pipe pile considering the radial inhomogeneity of soil caused by the construction disturbance effect. Comput. Geotech. 2017, 85, 90–102. [Google Scholar] [CrossRef]
- Wu, W.B.; Deng, G.D.; Zhang, J.S.; Huang, S.G. Vertical dynamic response of soil surrounding pile-pipe pile-soil plug by considering lateral inertial effect. Rock Soil Mech. 2017, 38, 993–1002. [Google Scholar]
- Liu, H.; Wu, W.B.; Jiang, G.S.; El Naggar, M.H.; Mei, G.; Liang, R.Z. Influence of soil plug effect on the vertical dynamic response of large diameter pipe piles. Ocean Eng. 2018, 157, 13–25. [Google Scholar] [CrossRef]
- Chow, Y.K.; Phoon, K.K.; Chow, W.F.; Wong, K.Y. Low strain integrity testing of piles: Three dimensional effects. J. Geotech. Geoenviron. 2003, 129, 1057–1062. [Google Scholar] [CrossRef]
- Krawczuk, M.; Grabowska, J.; Palacz, M. Longitudinal wave propagation. Part I-Comparison of rod theories. J. Sound Vib. 2006, 295, 461–478. [Google Scholar] [CrossRef]
- Chai, H.Y.; Phoon, K.K.; Zhang, D.J. Effects of the source on wave propagation in pile integrity testing. J. Geotech. Geoenviron. 2010, 136, 1200–1208. [Google Scholar] [CrossRef]
- Chai, H.Y.; Wei, C.F.; Phoon, K.K.; Yang, Y.M. Some observations on the performance of the signal matching technique in assessment of pile integrity. J. Nondestruct. Eval. 2011, 30, 246–258. [Google Scholar] [CrossRef]
- Li, Z.Y.; Wang, K.H.; Wu, W.B.; Leo, C.J. Vertical vibration of a large diameter pile embedded in inhomogeneous soil based on the Rayleigh-Love rod theory. J. Zhejiang Univ. Sci. A 2016, 17, 974–988. [Google Scholar] [CrossRef]
- Wu, W.B.; El Naggar, M.H.; Abdlrahem, M.; Mei, G.X.; Wang, K.H. New interaction model for the vertical dynamic response of pipe piles considering soil plug effect. Can. Geotech. J. 2017, 54, 987–1001. [Google Scholar] [CrossRef]
- Lü, S.H.; Wang, K.H.; Wu, W.B.; Leo, C.J. Longitudinal vibration of a pile embedded in layered soil considering the transverse inertia effect of pile. Comput. Geotech. 2014, 62, 90–99. [Google Scholar] [CrossRef]
- Lü, S.H.; Wang, K.H.; Wu, W.B.; Leo, C.J. Longitudinal vibration of pile in layered soil based on Rayleigh-Love rod theory and fictitious soil-pile model. J. Cent. South Univ. 2015, 22, 1909–1918. [Google Scholar] [CrossRef]
- Li, Z.Y.; Wang, K.H. Vertical Dynamic Impedance of Large-Diameter Pile Considering Its Transverse Inertia Effect and Construction Disturbance Effect. Mar. Georesour. Geotec. 2016, 35, 256–265. [Google Scholar] [CrossRef]
- Zheng, C.J.; Liu, H.L.; Ding, X.M.; Zhou, H. Vertical vibration of a large diameter pipe pile considering transverse inertia effect of pile. J. Cent. South Univ. 2016, 23, 891–897. [Google Scholar] [CrossRef]
- Yang, D.Y.; Wang, K.H.; Zhang, Z.; Leo, C.J. Vertical dynamic response of pile in a radially heterogeneous soil layer. Int. J. Numer. Anal. Met. 2009, 33, 1039–1054. [Google Scholar] [CrossRef]
- Wang, K.H.; Yang, D.Y.; Zhang, Z.; Leo, C.J. A new approach for vertical impedance in radially inhomogeneous soil layer. Int. J. Numer. Anal. Meth. 2012, 36, 697–707. [Google Scholar] [CrossRef]
- Novak, M.; Nogami, T.; Aboulella, F. Dynamic soil reactions for plane strain case. J. Eng. Mech.-ASCE 1978, 104, 953–959. [Google Scholar] [CrossRef]
- EI Naggar, M.H. Vertical and torsional soil reactions for radially inhomogeneous soil layer. Struct. Eng. Mech. 2000, 10, 299–312. [Google Scholar] [CrossRef]
- Ding, X.M.; Chen, L. Study on vertical vibration characteristics of pipe piles in viscoelastic soil. J. Yangtze River Sci. Res. Inst. 2009, 26, 32–35. [Google Scholar] [CrossRef]





© 2020 by the authors. Licensee MDPI, Basel, Switzerland. This article is an open access article distributed under the terms and conditions of the Creative Commons Attribution (CC BY) license (http://creativecommons.org/licenses/by/4.0/).
Share and Cite
Liang, Z.; Cui, C.; Meng, K.; Xin, Y.; Pei, H.; Wang, B. An Analytical Method for the Longitudinal Vibration of a Large-Diameter Pipe Pile in Radially Heterogeneous Soil Based on Rayleigh–Love Rod Model. Mathematics 2020, 8, 1442. https://doi.org/10.3390/math8091442
Liang Z, Cui C, Meng K, Xin Y, Pei H, Wang B. An Analytical Method for the Longitudinal Vibration of a Large-Diameter Pipe Pile in Radially Heterogeneous Soil Based on Rayleigh–Love Rod Model. Mathematics. 2020; 8(9):1442. https://doi.org/10.3390/math8091442
Chicago/Turabian StyleLiang, Zhimeng, Chunyi Cui, Kun Meng, Yu Xin, Huafu Pei, and Benlong Wang. 2020. "An Analytical Method for the Longitudinal Vibration of a Large-Diameter Pipe Pile in Radially Heterogeneous Soil Based on Rayleigh–Love Rod Model" Mathematics 8, no. 9: 1442. https://doi.org/10.3390/math8091442
APA StyleLiang, Z., Cui, C., Meng, K., Xin, Y., Pei, H., & Wang, B. (2020). An Analytical Method for the Longitudinal Vibration of a Large-Diameter Pipe Pile in Radially Heterogeneous Soil Based on Rayleigh–Love Rod Model. Mathematics, 8(9), 1442. https://doi.org/10.3390/math8091442
