A Fourth Order Energy Dissipative Scheme for a Traffic Flow Model
Abstract
1. Introduction
2. Invariant Energy Quadratization Approach
3. High Order Energy Dissipative Scheme
3.1. Spatial Discretization by Using Fourier Pseudo-Spectral Method
3.2. Full Discretization by Using Implicit High Order Runge–Kutta Method
| c | A | ||
| = | |||
| ⋯ | |||
| ⋮ | ⋮ | ⋮ | |
| ⋯ | |||
| ⋯ | |||
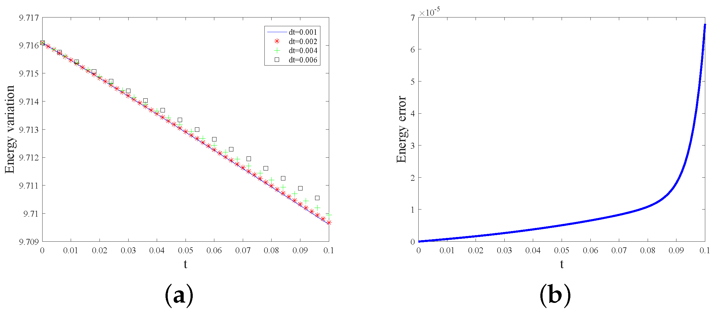
4. Numerical Simulation
5. Conclusions
Author Contributions
Funding
Conflicts of Interest
References
- Celledoni, E.; Grimm, V.; McLachlan, R.I.; McLaren, D.I.; O’Neale, D.; Owren, B.; Quispel, G.R.W. Preserving energy resp. dissipation in numerical PDEs using the “Average Vector Field” method. J. Comput. Phys. 2012, 231, 6770–6789. [Google Scholar] [CrossRef]
- Nagatani, T. Time-dependent Ginzburg–Landau equation for the jamming transition in traffic flow. Phys. Stat. Mech. Appl. 1998, 258, 237–242. [Google Scholar] [CrossRef]
- Gunzburger, M.D.; Hou, L.S.; Ravindran, S.S. Analysis and approximation of optimal control problems for a simplified Ginzburg–Landau model of superconductivity. Numer. Math. 1997, 77, 243–268. [Google Scholar] [CrossRef]
- Kuroda, T.; Ôtani, M. Local well-posedness of the complex Ginzburg–Landau equation in bounded domains. Nonlinear Anal. Real World Appl. 2019, 45, 877–894. [Google Scholar] [CrossRef]
- Yildiz, T.A.; Uzunca, M.; Karasozen, B. Structure preserving reduced order modeling for gradient systems. Appl. Math. Comput. 2019, 347, 194–209. [Google Scholar]
- Chen, L.Q.; Shen, J. Applications of semi-implicit Fourier-spectral method to phase field equations. Comput. Phys. Commun. 1998, 108, 147–158. [Google Scholar] [CrossRef]
- Liu, Y.; Chen, S.Q.; Wei, L.X.; Guan, B. Exact solutions to complex Ginzburg–Landau equation. Pramana J. Phys. 2018, 91. [Google Scholar] [CrossRef]
- Zhang, Q.G.; Li, Y.N.; Su, M.L. The local and global existence of solutions for a time fractional complex Ginzburg–Landau equation. J. Math. Anal. Appl. 2019, 469, 16–43. [Google Scholar] [CrossRef]
- He, D.D.; Pan, K.J. An unconditionally stable linearized difference scheme for the fractional Ginzburg–Landau equation. Numer. Algorithms 2018, 79, 899–925. [Google Scholar] [CrossRef]
- Li, L.; Jin, L.Y.; Fang, S.M. Large time behavior for the fractional Ginzburg–Landau equations near the BCS-BEC crossover regime of Fermi gases. Bound. Value Probl. 2017, 2017, 8. [Google Scholar] [CrossRef][Green Version]
- Lu, H.; Bates, P.W.; Lu, S.J.; Zhang, M.J. Dynamics of the 3D fractional Ginzburg–Landau equation with multiplicative noise on an unbounded domain. Commun. Math. Sci. 2016, 14, 273–295. [Google Scholar] [CrossRef]
- Guo, Y.F.; Li, D.L. Random attractor stochastic complex Ginzburg–Landau equation with multiplicative noise ou unbounded domain. Stoch. Anal. Appl. 2017, 35, 409–422. [Google Scholar] [CrossRef]
- Shen, T.L.; Huang, J.H. Ergodicity of 2D stochastic Ginzburg–Landau-Newell equations driven by degenerate noise. Math. Method Appl. Sci. 2017, 40, 4812–4831. [Google Scholar]
- Shen, T.L.; Xin, J.; Huang, J.H. Time-space fractional stochastic Ginzburg–Landau equation driven by Gaussian white noise. Stoch. Anal. Appl. 2018, 36, 103–113. [Google Scholar] [CrossRef]
- Chugreeva, O.; Melcher, C. Vortices in a stochastic parabolic Ginzburg–Landau equation. Stochastics Partial. Differ. Equations Anal. Comput. 2017, 5, 113–143. [Google Scholar] [CrossRef][Green Version]
- Lin, L.; Gao, H.J. A stochastic generalized Ginzburg–Landau equation driven by jump noise. J. Theor. Probab. 2019, 32, 460–483. [Google Scholar] [CrossRef]
- Guillen, G.F.; Tierra, G. On linear schemes for a Cahn-Hilliard diffuse interface model. J. Comput. Phys. 2013, 234, 140–171. [Google Scholar] [CrossRef]
- Han, D.Z.; Brylev, A.; Yang, X.F.; Tan, Z.J. Numerical analysis of second order, fully discrete energy stable schemes for phase field models of two-phase incompressible flows. J. Sci. Comput. 2017, 70, 965–989. [Google Scholar] [CrossRef]
- Zhao, J.; Yang, X.F.; Gong, Y.Z.; Wang, Q. A novel linear second order unconditionally energy stable scheme for a hydrodynamic q-tensor model of liquid crystals. Comput. Method Appl. Mech. Eng. 2017, 318, 803–825. [Google Scholar] [CrossRef]
- Yang, X.F. Linear, first and second-order, unconditionally energy stable numerical schemes for the phase field model of homopolymer blends. J. Comput. Phys. 2016, 327, 294–316. [Google Scholar] [CrossRef]
- Yang, X.F.; Han, D.Z. Linearly first and second-order, unconditionally energy stable schemes for the phase field crystal model. J. Comput. Phys. 2017, 33, 1116–1134. [Google Scholar] [CrossRef]
- Yang, X.F.; Ju, L.L. Efficient linear schemes with unconditional energy stability for the phase field elastic bending energy model. Comput. Method Appl. Mech. Eng. 2017, 315, 691–712. [Google Scholar] [CrossRef]
- Yang, X.F.; Ju, L.L. Linear and unconditionally energy stable schemes for the binary fluid-surfactant phase field model. Comput. Method Appl. Mech. Eng. 2017, 318, 1005–1029. [Google Scholar] [CrossRef]
- Yang, X.F.; Zhao, J.; Wang, Q. Numerical approximations for the molecular beam epitaxial growth model based on the invariant energy quadratization method. J. Comput. Phys. 2017, 333, 104–127. [Google Scholar] [CrossRef]
- Yang, X.F.; Zhao, J.; Wang, Q.; Shen, J. Numerical approximations for a three-component Cahn-Hilliard phase-field model based on the invariant energy quadratization method. Math. Model. Methods Appl. Sci. 2017, 27, 1993–2030. [Google Scholar] [CrossRef]
- Liu, Z.G.; Li, X.L. Efficient modified techniques of invariant energy quadratization approach for gradient flows. Appl. Math. Lett. 2019, 98, 206–214. [Google Scholar] [CrossRef]
- Xu, Z.; Yang, X.F.; Zhang, H.; Xie, Z.Q. Efficient and linear schemes for anisotropic Cahn-Hilliard model using the Stabilized-Invariant Energy Quadratization (S-IEQ) approach. Comput. Phys. Commun. 2019, 238, 36–49. [Google Scholar] [CrossRef]
- Gong, Y.Z.; Zhao, J. Energy-stable Runge–Kutta schemes for gradient flow models using the energy quadratization approach. Appl. Math. Lett. 2019, 94, 224–231. [Google Scholar] [CrossRef]
- Buono, N.D.; Mastroserio, C. Explicit methods based on a class of four stage fourth order Runge–Kutta methods for preserving quadratic laws. J. Comput. Appl. Math. 2002, 140, 231–243. [Google Scholar] [CrossRef]




| t | New Scheme (15) | Time Order | Scheme (18) | Time Order |
|---|---|---|---|---|
| 0.002 | - | - | ||
| 0.001 | 3.994 | 2.016 | ||
| 0.0005 | 3.999 | 2.044 | ||
| 0.00025 | 4.000 | 2.193 |
| N | New Scheme (15) | Space Order | Scheme (18) | Space Order |
|---|---|---|---|---|
| 10 | - | - | ||
| 20 | 0.994 | 1.844 | ||
| 40 | 10.253 | 9.794 | ||
| 80 | 15.533 | 15.978 |
© 2020 by the authors. Licensee MDPI, Basel, Switzerland. This article is an open access article distributed under the terms and conditions of the Creative Commons Attribution (CC BY) license (http://creativecommons.org/licenses/by/4.0/).
Share and Cite
Chen, X.; Song, M.; Song, S. A Fourth Order Energy Dissipative Scheme for a Traffic Flow Model. Mathematics 2020, 8, 1238. https://doi.org/10.3390/math8081238
Chen X, Song M, Song S. A Fourth Order Energy Dissipative Scheme for a Traffic Flow Model. Mathematics. 2020; 8(8):1238. https://doi.org/10.3390/math8081238
Chicago/Turabian StyleChen, Xiaowei, Mingzhan Song, and Songhe Song. 2020. "A Fourth Order Energy Dissipative Scheme for a Traffic Flow Model" Mathematics 8, no. 8: 1238. https://doi.org/10.3390/math8081238
APA StyleChen, X., Song, M., & Song, S. (2020). A Fourth Order Energy Dissipative Scheme for a Traffic Flow Model. Mathematics, 8(8), 1238. https://doi.org/10.3390/math8081238
