Lie Group Analysis of Unsteady Flow of Kerosene/Cobalt Ferrofluid Past A Radiated Stretching Surface with Navier Slip and Convective Heating
Abstract
1. Introduction
2. Problem Formulation
3. Lie Group Framework
4. Numerical Method
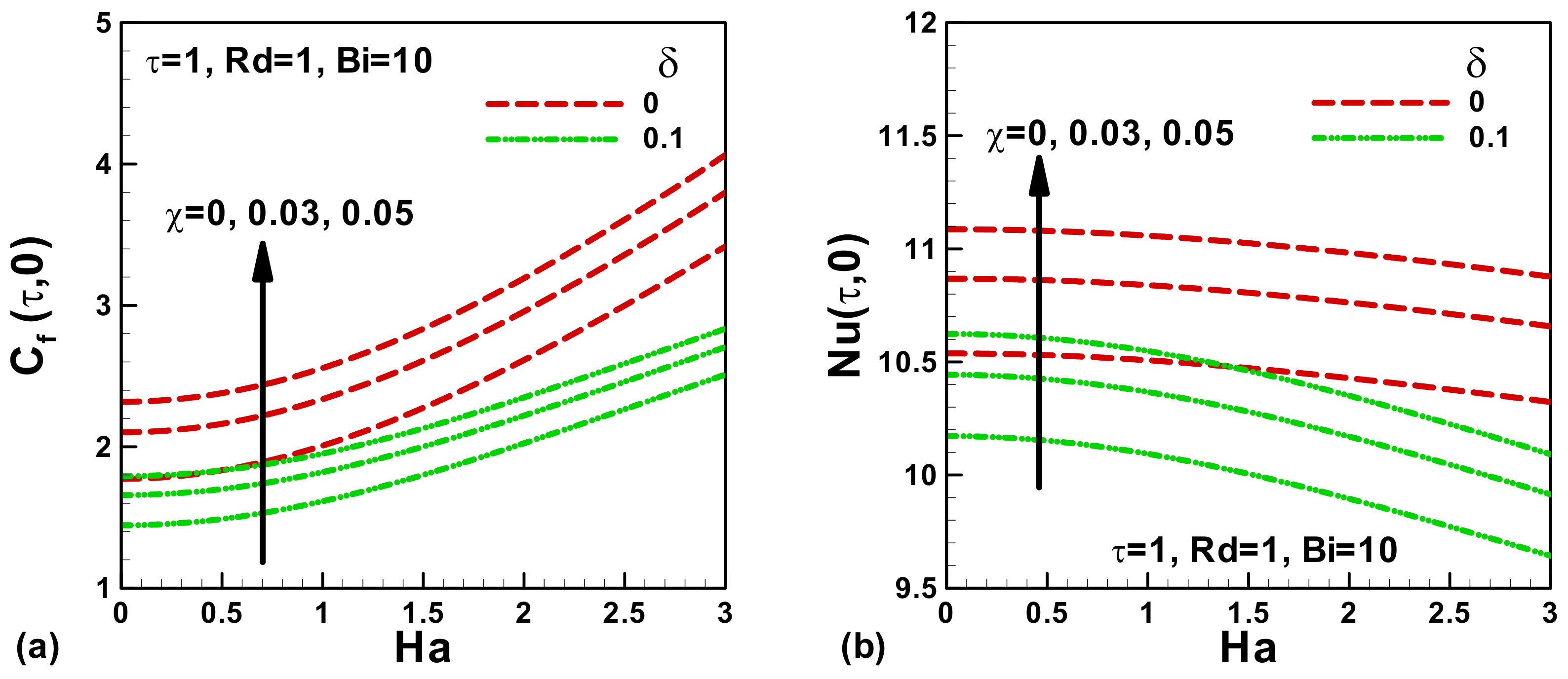
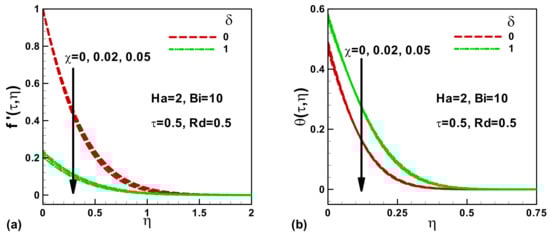
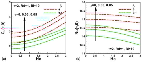
5. Results and Discussions
6. Conclusions
- Employing the Lie group framework, the symmetries of the partial differential equations are presented exclusively in this investigation, these equations are reduced to self-similar equations utilizing translational and scaling symmetries. Numerical solutions for scaling symmetry are obtained applying the Runge–Kutta–Fehlberg method.
- The magnetic field, Navier slip, and solid volume fraction of ferroparticles tend to reduce the dimensionless velocity.
- The radiation parameter and Biot number have no effects on the dimensionless velocity.
- Magnetic field, radiation, Biot number, and Navier slip increase the surface temperature, whereas the solid volume fraction of ferroparticles reduces the surface temperature.
- The magnetic field, dimensionless time and solid volume fraction increase skin friction, whereas Navier slip reduces the skin friction.
- The magnetic field and Navier slip reduce the Nusselt number, whereas solid volume fraction of ferroparticles, convective heating, and radiation parameters help in increasing the Nusselt number.
- The Nusselt number for kerosene oil is higher than for water.
Author Contributions
Funding
Conflicts of Interest
References
- Haq, R.; Nadeem, S.; Khan, Z.H.; Akbar, N.S. Thermal radiation and slip effects on MHD stagnation point over of nano fluid over a stretching sheet. J. Phys. 2015, 6, 7–13. [Google Scholar]
- Kudenattia, R.B.; Kirsurb, S.R.; Achalab, L.N.; Bujurkec, N.M. MHD boundary layer flow over a non-linear stretching boundary with suction and injection. Int. J. Non Linear Mech. 2013, 50, 58–67. [Google Scholar] [CrossRef]
- Yigra, Y.; Tesfay, D. Magneto-hydrodynamic flow of viscous fluid over a non-linearly stretching sheet. J. Fluid Mech. 2014, 1, 1–11. [Google Scholar]
- Das, S.K.; Choi, S.U.S.; Yu, W.; Pradeep, T. Nanofluids-Science and Technology; John Wiley & Sons Publishers: Hoboken, NJ, USA, 2007. [Google Scholar]
- Tlili, I.; Nabwey, H.A.; Ashwinkumar, G.P.; Sandeep, N. 3-D magnetohydrodynamic AA7072-AA7075/methanol hybrid nanofluid flow above an uneven thickness surface with slip effect. Sci. Rep. 2020, 10, 1–13. [Google Scholar] [CrossRef] [PubMed]
- Abdelmalek, Z.; Khan, S.U.; Waqas, H.; Nabwey, H.A.; Tlili, I. Utilization of second order slip, activation energy and viscous dissipation consequences in thermally developed flow of third grade nanofluid with gyrotactic microorganisms. Symmetry 2020, 12, 309. [Google Scholar] [CrossRef]
- Kumar, S.; Prasad, S.K.; Banerjee, J. Analysis of flow and thermal field in nanofluid using a single phase thermal dispersion model. Appl. Math. Model. 2010, 34, 573–592. [Google Scholar] [CrossRef]
- Wang, F.C.; Wu, H.A. Enhanced oil droplet detachment from solid surfaces in charged nanoparticle suspensions. Soft Matter. 2013, 9, 7974–7980. [Google Scholar] [CrossRef]
- Bég, O.A.; Espinoza, D.E.S.; Kadir, A.; Shamshuddin, M.; Sohail, A. Experimental study of improved rheology and lubricity of drilling fluids enhanced with nanoparticles. Appl. Nanosci. 2018, 8, 1069–1090. [Google Scholar] [CrossRef]
- Zhu, J.; Cao, J. Effects of nanolayer and second order slip on unsteady nanofluid flow past a wedge. Mathematics 2019, 7, 1043. [Google Scholar] [CrossRef]
- Avramenko, A.A.; Shevchuk, I.V.; Tyrinov, A.I.; Blinov, D.G. Heat transfer in stable film boiling of a nanofluid over a vertical surface. Int. J. Therm. Sci. 2015, 92, 106–118. [Google Scholar] [CrossRef]
- Avramenko, A.A.; Shevchuk, I.V.; Tyrinov, A.I.; Blinov, D.G. Heat transfer at film condensation of stationary vapor with nanoparticles near a vertical plate. Appl. Therm. Eng. 2014, 73, 391–398. [Google Scholar] [CrossRef]
- Avramenko, A.A.; Shevchuk, I.V.; Tyrinov, A.I.; Blinov, D.G. Heat transfer at film condensation of moving vapor with nanoparticles over a flat surface. Int. J. Heat Mass Transf. 2015, 82, 316–324. [Google Scholar] [CrossRef]
- Avramenko, A.A.; Shevchuk, I.V. Lie group analysis and general forms of self-similar parabolic equations for fluid flow, heat and mass transfer of nanofluids. J. Therm. Anal. Calorim. 2019, 135, 223–235. [Google Scholar] [CrossRef]
- Murthy, P.V.S.N.; RamReddy, C.; Chamkha, A.J.; Rashad, A.M. Magnetic effect on thermally stratified nanofluid saturated non-darcy porous medium under convective boundary condition. Int. Commun. Heat Mass Transf. 2013, 47, 41–48. [Google Scholar] [CrossRef]
- Rashad, A.M. Impact of thermal radiation on MHD slip flow of a ferrofluid over a nonisothermal wedge. J. Magn. Magn. Mater. 2017, 422, 25–31. [Google Scholar] [CrossRef]
- Chamkha, A.J.; Nabwey, H.A.; Abdelrahman, Z.M.A.; Rashad, A.M. Mixed bioconvective flow over a wedge in porous media drenched with a nanofluid. J. Nanofluids 2019, 8, 1692–1703. [Google Scholar] [CrossRef]
- Nabwey, H.A.; Hashmi, M.S.; Khan, S.U.; Tlili, I. A theoretical analysis for mixed convection flow of Maxwell fluid between two infinite isothermal stretching disks with heat source/sink. Symmetry 2020, 12, 62. [Google Scholar]
- Kumar, K.G.; Ramesh, G.K.; Gireesha, B.J.; Rashad, A.M. On stretched magnetic flow of Carreau nanofluid with slip effects and nonlinear thermal radiation. Nonlinear Eng. 2019, 8, 340–349. [Google Scholar] [CrossRef]
- Rashad, A.M.; Nabwey, H.A. Gyrotactic mixed bioconvection flow of a nanofluid past a circular cylinder with convective boundary condition. J. Taiwan Inst. Chem. Eng. 2019, 99, 9–17. [Google Scholar] [CrossRef]
- Chamkha, A.J.; Rashad, A.M.; Alsabery, A.I.; Abdelrahman, Z.M.A.; Nabwey, H.A. Impact of partial slip on magneto-ferrofluids mixed convection flow in enclosure. J. Therm. Sci. Eng. Appl. 2020, 12. [Google Scholar] [CrossRef]
- Ferdows, M.; Nabwey, A.H.; Rashad, A.M.; Uddin, M.J.; Alzahrani, F. Boundary layer flow of a nanofluid past a horizontal flat plate in a Darcy porous medium: A Lie group approach. Proc. Inst. Mech. Eng. Part C J. Mech. Eng. Sci. 2019. [Google Scholar] [CrossRef]
- Nabwey, H.A.; El-Mkyn, H.A. Lie group analysis of thermophoresis on a vertical surface in a porous medium. J. King Saud Univ. Sci. 2019, 31, 1048–1055. [Google Scholar] [CrossRef]
- Nabwey, H.A.; Boumazgour, M.; Rashad, A.M. Group method analysis of mixed convection stagnation-point flow of non-Newtonian nanofluid over a vertical stretching surface. Indian J. Phys. 2017, 91, 731–742. [Google Scholar] [CrossRef]
- Nabwey, H.A.; EL-Kabeir, S.M.M.; Rashad, A.M. Lie group analysis of effects of radiation and chemical reaction on heat and mass transfer by unsteady slip flow from a non-isothermal stretching sheet immersed in a porous medium. J. Comput. Theor. Nanosci. 2015, 12, 4056–4062. [Google Scholar] [CrossRef]
- Bakier, A.Y.; Rashad, A.M.; Mansour, M.A. Group method analysis of melting effect on MHD mixed convection flow from radiate vertical plate embedded in a saturated porous media. Commun. Nonlinear Sci. Numer. Simul. 2009, 14, 2160–2170. [Google Scholar] [CrossRef]
- EL-Kabeir, S.M.M.; EL-Hakiem, M.A.; Rashad, A.M. Group method analysis of combined heat and mass transfer by MHD non-Darcy non-Newtonian natural convection adjacent to horizontal cylinder in a saturated porous medium. Appl. Math. Model. 2008, 32, 2378–2395. [Google Scholar] [CrossRef]
- EL-Kabeir, S.M.M.; EL-Hakiem, M.A.; Rashad, A.M. Lie group analysis of unsteady MHD three dimensional by natural convection from an inclined stretching surface saturated porous medium. J. Comput. Appl. Math. 2008, 213, 582–603. [Google Scholar] [CrossRef]
- Chamkha, A.J. Unsteady hydromagnetic flow and heat transfer from a non-isothermal stretching sheet immersed in a porous medium. Int. Comm. Heat Mass Transf. 1998, 25, 899–906. [Google Scholar] [CrossRef]
- Noghrehabadi, A.; Pourrajab, R.; Ghalambaz, M. Effect of partial slip boundary condition on the flow and heat transfer of nanofluids past stretching sheet prescribed constant wall temperature. Int. J. Therm. Sci. 2012, 54, 253–261. [Google Scholar] [CrossRef]
- Rashad, A.M.; Ismael, M.A.; Chamkha, A.J.; Mansour, M.A. MHD mixed convection of localized heat source/sink in a nanofluid-filled lid-driven square cavity with partial slip. J. Taiwan Inst. Chem. Eng. 2016, 68, 173–186. [Google Scholar] [CrossRef]
- Ismael, M.A.; Pop, I.; Chamkha, A.J. Mixed convection in a lid-driven square cavity with partial slip. Int. J. Therm. Sci. 2014, 82, 47–61. [Google Scholar] [CrossRef]
- Hafidzuddin, E.H.; Nazar, R.; Arifin, N.M.; Pop, I. Effects of anisotropic slip on three-dimensional stagnation-point flow past a permeable moving surface. Eur. J. Mech. B Fluids 2017, 65, 515–521. [Google Scholar] [CrossRef]
- Roşca, A.V.; Roşca, N.C.; Pop, I. Axisymmetric stagnation point flow and heat transfer towards a permeable moving flat plate with surface slip condition. Appl. Math. Comput. 2014, 233, 139–151. [Google Scholar] [CrossRef]
- Raptis, A. Radiation and free convection flow through a porous medium. Int. Comm. Heat Mass Transf. 1998, 25, 289–295. [Google Scholar] [CrossRef]
- EL-Hakiem, M.A.; Rashad, A.M. Effect of radiation on non-Darcy free convection from a vertical cylinder embedded in a fluid-saturated porous medium with a temperature-dependent viscosity. J. Porous Media 2007, 10, 209–218. [Google Scholar]
- Sheikholeslami, M.; Gorji-Bandpy, M. Free convection of ferrofluid in a cavity heated from below in the presence of an external magnetic field. Power Technol. 2014, 256, 490–498. [Google Scholar] [CrossRef]
- Mukhopadhyay, S.; Layek, G.C.; Samad, S.A. Study of MHD boundary layer flow over a heated stretching sheet with variable viscosity. Int. J. Heat Mass Transf. 2005, 48, 4460–4466. [Google Scholar] [CrossRef]
- Reddy, G.V.R.; Chamkha, A.J. Lie group analysis of chemical reaction effects on MHD free convection dissipative fluid flow past an inclined porous surface. Int. J. Numer. Methods Heat Fluid Flow 2015, 25, 1557. [Google Scholar] [CrossRef]
- Ibragimov, N.H. CRC Handbook of Lie Group Analysis of Differential Equations; CRC Press: Boca Raton, FL, USA, 1995; Volume 3. [Google Scholar]
- Ovsiannikov, L.V. Group Analysis of Differential Equations; Academic Press: Cambridge, MA, USA, 2014. [Google Scholar]
- Olver, P.J. Applications of Lie Groups to Differential Equations; Springer Science & Business Media: Berlin/Heidelberg, Germany, 2000; Volume 107. [Google Scholar]
- Yürüsoy, M.; Pakdemirli, M.; Noyan, Ö.F. Lie group analysis of creeping flow of a second grade fluid. Int. J. Non Linear Mech. 2001, 36, 955–960. [Google Scholar] [CrossRef]
- Yürüsoy, M.; Pakdemirli, M. Exact solutions of boundary layer equations of a special non-Newtonian fluid over a stretching sheet. Mech. Res. Commun. 1999, 26, 171–175. [Google Scholar] [CrossRef]
- Sivasankaran, S.; Bhuvaneswari, M.; Kandaswamy, P.; Ramasami, E.K. Lie group analysis of natural convection heat and mass transfer in an inclined porous surface with heat generation. Int. J. Appl. Math. Mech. 2006, 2, 34–40. [Google Scholar]
- Sivasankaran, S.; Bhuvaneswari, M.; Kandaswamy, P.; Ramasami, E.K. Lie group analysis of natural convection heat and mass transfer in an inclined surface. Nonlinear Anal. Model. Control 2006, 11, 201–212. [Google Scholar]
- Sparrow, E.M.; Quack, H.; Boerner, C.J. Local non-similarity boundary-layer solutions. AIAA J. 1970, 8, 1936–1942. [Google Scholar] [CrossRef]
- Minkowycz, W.J.; Sparrow, E.M. Numerical solution scheme for local non-similarity boundary-layer analysis. Numer. Heat Transf. Part B Fundam. Int. J. Comput. Methodol. 1978, 1, 69–85. [Google Scholar] [CrossRef]






| Property | Kerosene | Water | Cobalt |
|---|---|---|---|
| ρ (kg m−3) | 780 | 997.1 | 8900 |
| Cp (Jkg−1 K−1) | 2090 | 4179 | 420 |
| k (W m−1 K−1) | 0.149 | 0.613 | 100 |
| β (K−1) | 9.9 × 10−4 | 21 × 10−5 | 1.3 × 10−5 |
| σ (Simens/m) | 6 × 10−10 | 0.05 | 1.602 × 107 |
| µ (kg−1 m−1 s−1) | 164 × 10−5 | 625 × 10−6 | - |
© 2020 by the authors. Licensee MDPI, Basel, Switzerland. This article is an open access article distributed under the terms and conditions of the Creative Commons Attribution (CC BY) license (http://creativecommons.org/licenses/by/4.0/).
Share and Cite
Nabwey, H.A.; Khan, W.A.; Rashad, A.M. Lie Group Analysis of Unsteady Flow of Kerosene/Cobalt Ferrofluid Past A Radiated Stretching Surface with Navier Slip and Convective Heating. Mathematics 2020, 8, 826. https://doi.org/10.3390/math8050826
Nabwey HA, Khan WA, Rashad AM. Lie Group Analysis of Unsteady Flow of Kerosene/Cobalt Ferrofluid Past A Radiated Stretching Surface with Navier Slip and Convective Heating. Mathematics. 2020; 8(5):826. https://doi.org/10.3390/math8050826
Chicago/Turabian StyleNabwey, Hossam A., Waqar A. Khan, and Ahmed M. Rashad. 2020. "Lie Group Analysis of Unsteady Flow of Kerosene/Cobalt Ferrofluid Past A Radiated Stretching Surface with Navier Slip and Convective Heating" Mathematics 8, no. 5: 826. https://doi.org/10.3390/math8050826
APA StyleNabwey, H. A., Khan, W. A., & Rashad, A. M. (2020). Lie Group Analysis of Unsteady Flow of Kerosene/Cobalt Ferrofluid Past A Radiated Stretching Surface with Navier Slip and Convective Heating. Mathematics, 8(5), 826. https://doi.org/10.3390/math8050826

