Robust Stability of Complex-Valued Stochastic Neural Networks with Time-Varying Delays and Parameter Uncertainties
Abstract
1. Introduction
1.1. Background and Motivation
1.2. Contributions
1.3. Organization
1.4. List of Symbols
2. Problem Definition and Fundamentals
2.1. Problem Definition
2.2. Fundamentals
3. Main Results
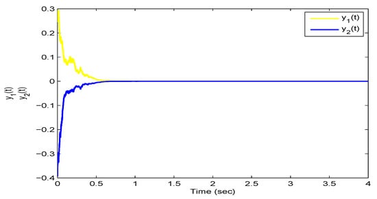
4. Illustrative Examples
5. Conclusions
Author Contributions
Funding
Acknowledgments
Conflicts of Interest
References
- Liang, L.; Cao, J. A based-on LMI stability criterion for delayed recurrent neural networks. Chaos Soliton Fract. 2006, 28, 154–160. [Google Scholar] [CrossRef]
- Kwon, O.M.; Park, J.H. New delay-dependent robust stability criterion for uncertain neural networks with time-varying delays. Appl. Math. Comput. 2008, 205, 417–427. [Google Scholar] [CrossRef]
- Agarwal, R.; Hristova, S.; O’Regan, D.; Kopanov, P. Stability analysis of Cohen–Grossberg neural networks with nandom impulses. Mathematics 2018, 6, 144. [Google Scholar] [CrossRef]
- Zhu, Q.; Cao, J. Robust exponential stability of Markovian jump impulsive stochastic Cohen-Grossberg neural networks with mixed time delays. IEEE Trans. Neural Netw. 2010, 21, 1314–1325. [Google Scholar] [PubMed]
- Li, X.; Ding, D. Mean square exponential stability of stochastic Hopfield neural networks with mixed delays. Stat. Probabil. Lett. 2017, 126, 88–96. [Google Scholar] [CrossRef]
- Mathews, J.H.; Howell, R.H. Complex Analysis for Mathematics and Engineering; Jones and Bartlett Publishers: Burlington, MA, USA, 2012. [Google Scholar]
- Jankowski, S.; Lozowski, A.; Zurada, J.M. Complex-valued multistate neural associative memory. IEEE Trans. Neural Netw. 1996, 7, 1491–1496. [Google Scholar] [CrossRef] [PubMed]
- Nishikawa, T.; Iritani, T.; Sakakibara, K.; Kuroe, Y. Phase dynamics of complex-valued neural networks and its application to traffic signal control. Int. J. Neural Syst. 2005, 15, 111–120. [Google Scholar] [CrossRef]
- Wang, Z.; Guo, Z.; Huang, L.; Liu, X. Dynamical behavior of complex-valued Hopfield neural networks with discontinuous activation functions. Neural Process. Lett. 2017, 45, 1039–1061. [Google Scholar] [CrossRef]
- Song, Q.; Zhao, Z.; Liu, Y. Stability analysis of complex-valued neural networks with probabilistic time-varying delays. Neurocomputing 2015, 159, 96–104. [Google Scholar] [CrossRef]
- Samidurai, R.; Sriraman, R.; Cao, J.; Tu, Z. Effects of leakage delay on global asymptotic stability of complex-valued neural networks with interval time-varying delays via new complex-valued Jensens inequality. Int. J. Adapt. Control Signal Process. 2018, 32, 1294–1312. [Google Scholar] [CrossRef]
- Subramanian, K.; Muthukumar, P. Global asymptotic stability of complex-valued neural networks with additive time-varying delays. Cogn. Neurodyn. 2017, 11, 293–306. [Google Scholar] [CrossRef] [PubMed]
- Wang, Z.; Huang, L. Global stability analysis for delayed complex-valued BAM neural networks. Neurocomputing 2016, 173, 2083–2089. [Google Scholar] [CrossRef]
- Shi, Y.; Cao, J.; Chen, G. Exponential stability of complex-valued memristor-based neural networks with time-varying delays. Appl. Math. Comput. 2017, 313, 222–234. [Google Scholar] [CrossRef]
- Zhang, W.; Cao, J.; Chen, D.; Alsaadi, F.E. Synchronization in fractional-order complex-valued delayed neural networks. Entropy 2018, 20, 54. [Google Scholar] [CrossRef]
- Li, L.; Wang, Z.; Lu, J.; Li, Y. Adaptive synchronization of fractional-order complex-valued neural networks with discrete and distributed delays. Entropy 2018, 20, 124. [Google Scholar] [CrossRef]
- Wang, Z.; Liu, X. Exponential stability of impulsive complex-valued neural networks with time delay. Math. Comput. Simulat. 2019, 156, 143–157. [Google Scholar] [CrossRef]
- Liang, J.; Li, K.; Song, Q.; Zhao, Z.; Liu, Y.; Alsaadi, F.E. State estimation of complex-valued neural networks with two additive time-varying delays. Neurocomputing 2018, 309, 54–61. [Google Scholar] [CrossRef]
- Gong, W.; Liang, J.; Kan, X.; Nie, X. Robust state estimation for delayed complex-valued neural networks. Neural Process. Lett. 2017, 46, 1009–1029. [Google Scholar] [CrossRef]
- Pratap, A.; Raja, R.; Cao, J.; Rajchakit, G.; Lim, C.P. Global robust synchronization of fractional order complex-valued neural networks with mixed time-varying delays and impulses. Int. J. Control Automat. Syst. 2019, 17, 509–520. [Google Scholar]
- Chen, X.; Zhao, Z.; Song, Q.; Hu, J. Multistability of complex-valued neural networks with time-varying delays. Appl. Math. Comput. 2017, 294, 18–35. [Google Scholar] [CrossRef]
- Tu, Z.; Cao, J.; Alsaedi, A.; Alsaadi, F.E.; Hayat, T. Global Lagrange stability of complex-valued neural networks of neutral type with time-varying delays. Complexity 2016, 21, 438–450. [Google Scholar] [CrossRef]
- Zhang, Z.; Liu, X.; Guo, R.; Lin, C. Finite-time stability for delayed complex-valued BAM neural networks. Neural Process. Lett. 2018, 48, 179–193. [Google Scholar] [CrossRef]
- Samidurai, R.; Sriraman, R.; Zhu, S. Leakage delay-dependent stability analysis for complex-valued neural networks with discrete and distributed time-varying delays. Neurocomputing 2019, 338, 262–273. [Google Scholar] [CrossRef]
- Ramasamy, S.; Nagamani, G. Dissipativity and passivity analysis for discrete-time complex-valued neural networks with leakage delay and probabilistic time-varying delays. Int. J. Adapt. Control Signal Process. 2017, 31, 876–902. [Google Scholar] [CrossRef]
- Raja, R.; Samidurai, R. New delay dependent robust asymptotic stability for uncertain stochastic recurrent neural networks with multiple time varying delays. J. Franklin Inst. 2012, 349, 2108–2123. [Google Scholar] [CrossRef]
- Samidurai, R.; Sriraman, R. Robust dissipativity analysis for uncertain neural networks with additive time-varying delays and general activation functions. Math. Comput. Simulat. 2019, 155, 201–216. [Google Scholar] [CrossRef]
- Raja, R.; Sakthivel, R.; Anthoni, S.M. Delay-dependent stability criteria of stochastic uncertain Hopfield neural networks with unbounded distributed delays and impulses. Adv. Syst. Sci. Appl. 2011, 10, 94–110. [Google Scholar]
- Liu, G.; Yang, S.X.; Chai, Y.; Feng, W.; Fu, W. Robust stability criteria for uncertain stochastic neural networks of neutral-type with interval time-varying delays. Neural Comput. Appl. 2013, 22, 349–359. [Google Scholar] [CrossRef]
- Huang, H.; Feng, G. Delay-dependent stability for uncertain stochastic neural networks with time-varying delay. Physica A 2007, 381, 93–103. [Google Scholar] [CrossRef]
- Zhang, Z.; Liu, X.; Chen, J.; Guo, R.; Zhou, S. Further stability analysis for delayed complex-valued recurrent neural networks. Neurocomputing 2017, 251, 81–89. [Google Scholar] [CrossRef]
- Wang, Z.; Lauria, S.; Fang, J.; Liu, X. Exponential stability of uncertain stochastic neural networks with mixed time delays. Chaos Soliton. Fract. 2007, 32, 62–72. [Google Scholar] [CrossRef]
- Mao, X. Stochastic Differential Equations and Their Applications; Chichester: Horwood, UK, 1997. [Google Scholar]
- Blythe, S.; Mao, X.; Liao, X. Stability of stochastic delay neural networks. J. Franklin Inst. 2001, 338, 481–495. [Google Scholar] [CrossRef]
- Chen, Y.; Zheng, W. Stability analysis of time delay neural networks subject to stochastic perturbations. IEEE Trans. Cyber. 2013, 43, 2122–2134. [Google Scholar] [CrossRef] [PubMed]
- Tan, H.; Hua, M.; Chen, J.; Fei, J. Stability analysis of stochastic Markovian switching static neural networks with asynchronous mode-dependent delays. Neurocomputing 2015, 151, 864–872. [Google Scholar] [CrossRef]
- Wan, L.; Sun, J. Mean square exponential stability of stochastic delayed Hopfield neural networks. Phys. Lett. A 2005, 343, 306–318. [Google Scholar] [CrossRef]
- Zhu, S.; Shen, Y. Passivity analysis of stochastic delayed neural networks with Markovian switching. Neurocomputing 2011, 74, 1754–1761. [Google Scholar] [CrossRef]
- Cao, Y.; Samidurai, R.; Sriraman, R. Stability and dissipativity analysis for neutral type stochastic Markovian jump static neural networks with time delays. J. Artif. Intell. Soft Comput. Res. 2019, 9, 189–204. [Google Scholar] [CrossRef]
- Guo, J.; Meng, Z.; Xiang, Z. Passivity analysis of stochastic memristor-based complex-valued recurrent neural networks with mixed time-varying delays. Neural Process. Lett. 2018, 47, 1097–1113. [Google Scholar] [CrossRef]
- Cao, Y.; Sriraman, R.; Shyamsundarraj, N.; Samidurai, R. Robust stability of uncertain stochastic complex-valued neural networks with additive time-varying delays. Math. Comput. Simulat. 2020, 171, 207–220. [Google Scholar] [CrossRef]
- Liu, D.; Zhu, S.; Chang, W. Mean square exponential input-to-state stability of stochastic memristive complex-valued neural networks with time varying delay. Int. J. Syst. Sci. 2017, 48, 1966–1977. [Google Scholar] [CrossRef]
- Xu, X.; Yang, J.; Xu, Y. Mean square exponential stability of stochastic complex-valued neural networks with mixed delays. Complexity 2019, 2019, 3429326. [Google Scholar] [CrossRef]
- Liu, D.; Zhu, S.; Chang, W. Global exponential stability of stochastic memristor-based complex-valued neural networks with time delays. Nonlinear Dyn. 2017, 90, 915–934. [Google Scholar] [CrossRef]
- Li, P.; Cao, J. Stability in static delayed neural networks: A nonlinear measure approach. Neurocomputing 2006, 69, 1776–1781. [Google Scholar] [CrossRef]
- Hui, J.J.; Kong, X.Y.; Zhang, H.X.; Zhou, X. Delay-partitioning approach for systems with interval time-varying delay and nonlinear perturbations. J. Comput. Appl. Math. 2015, 281, 74–81. [Google Scholar] [CrossRef]
- Zeng, H.B.; Park, J.H.; Zhang, C.F.; Wang, W. Stability and dissipativity analysis of static neural networks with interval time-varying delay. J. Franklin Inst. 2015, 352, 1284–1295. [Google Scholar] [CrossRef]
- Gong, W.; Liang, J.; Kan, X.; Wang, L.; Dobaie, A.M. Robust state estimation for stochastic complex-valued neural networks with sampled-data. Neural Comput. Appl. 2019, 31, 523–542. [Google Scholar] [CrossRef]




© 2020 by the authors. Licensee MDPI, Basel, Switzerland. This article is an open access article distributed under the terms and conditions of the Creative Commons Attribution (CC BY) license (http://creativecommons.org/licenses/by/4.0/).
Share and Cite
Chanthorn, P.; Rajchakit, G.; Thipcha, J.; Emharuethai, C.; Sriraman, R.; Lim, C.P.; Ramachandran, R. Robust Stability of Complex-Valued Stochastic Neural Networks with Time-Varying Delays and Parameter Uncertainties. Mathematics 2020, 8, 742. https://doi.org/10.3390/math8050742
Chanthorn P, Rajchakit G, Thipcha J, Emharuethai C, Sriraman R, Lim CP, Ramachandran R. Robust Stability of Complex-Valued Stochastic Neural Networks with Time-Varying Delays and Parameter Uncertainties. Mathematics. 2020; 8(5):742. https://doi.org/10.3390/math8050742
Chicago/Turabian StyleChanthorn, Pharunyou, Grienggrai Rajchakit, Jenjira Thipcha, Chanikan Emharuethai, Ramalingam Sriraman, Chee Peng Lim, and Raja Ramachandran. 2020. "Robust Stability of Complex-Valued Stochastic Neural Networks with Time-Varying Delays and Parameter Uncertainties" Mathematics 8, no. 5: 742. https://doi.org/10.3390/math8050742
APA StyleChanthorn, P., Rajchakit, G., Thipcha, J., Emharuethai, C., Sriraman, R., Lim, C. P., & Ramachandran, R. (2020). Robust Stability of Complex-Valued Stochastic Neural Networks with Time-Varying Delays and Parameter Uncertainties. Mathematics, 8(5), 742. https://doi.org/10.3390/math8050742

