A New Solution to Well-Known Hencky Problem: Improvement of In-Plane Equilibrium Equation
Abstract
1. Introduction
2. Membrane Equation and Its Solution
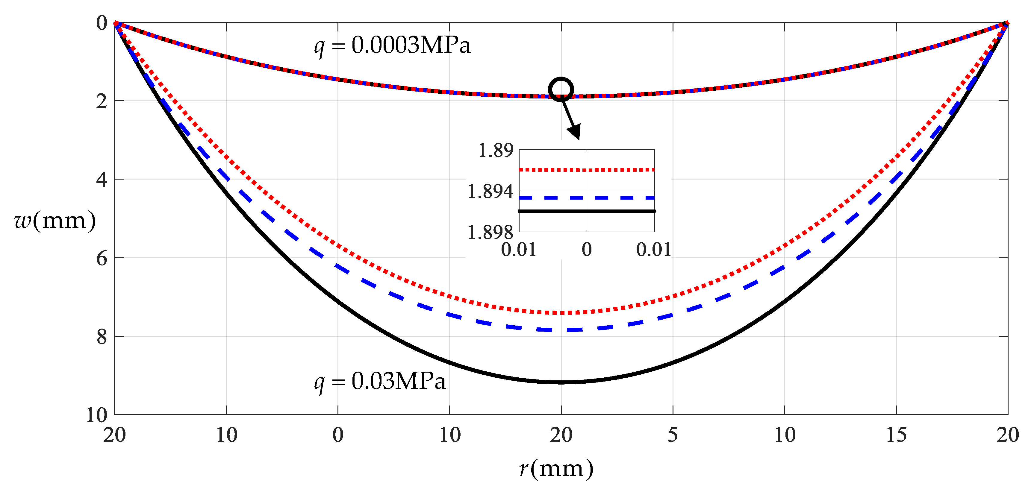
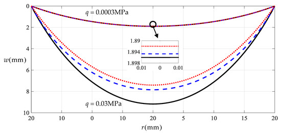
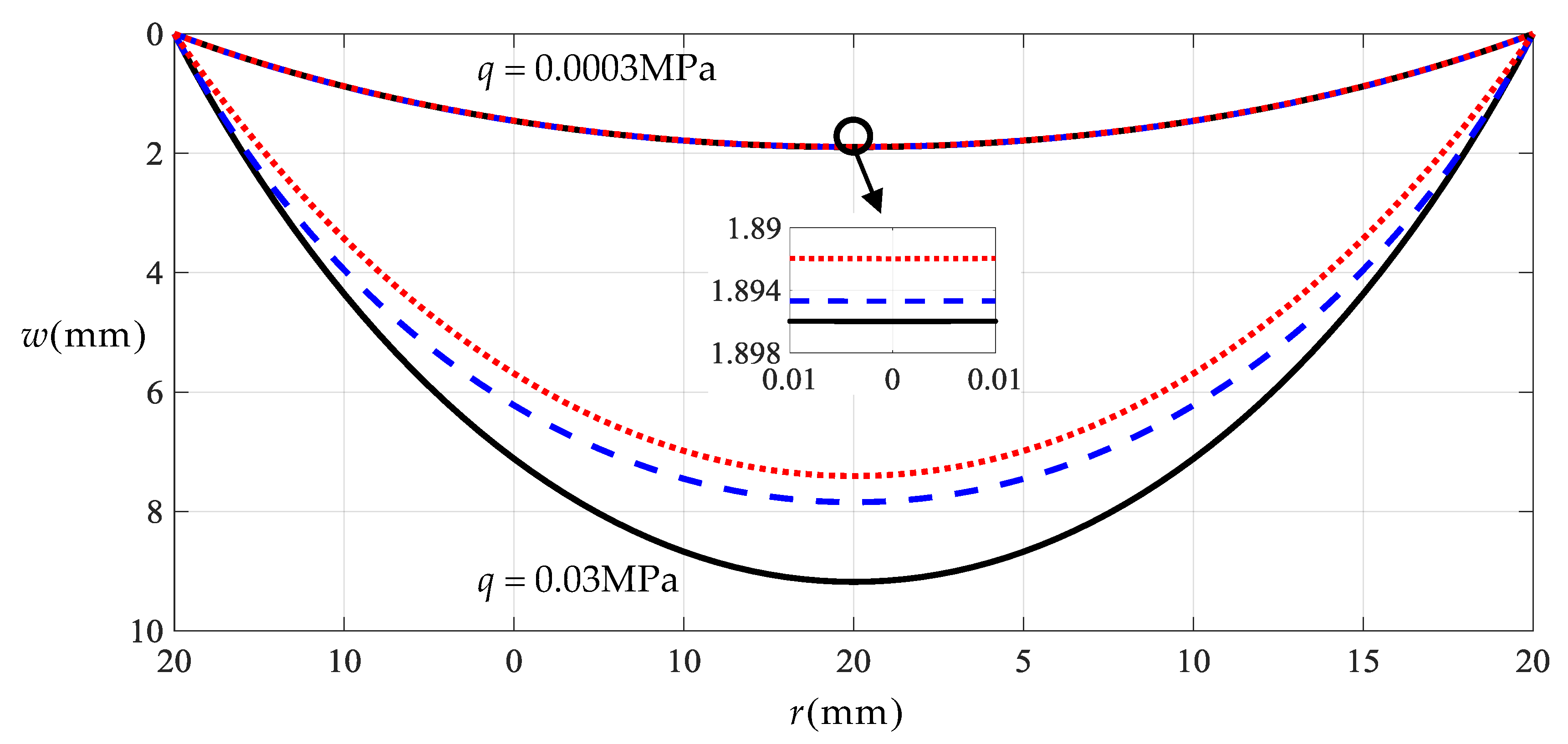
3. Results and Discussion
4. Concluding Remarks
Author Contributions
Funding
Conflicts of Interest
Appendix A


Appendix B
References
- Di Barba, P.; Fattorusso, L.; Versaci, M. A 2D Non-linear second-order differential model for electrostatic circular membrane MEMS devices: A result of existence and uniqueness. Mathematics 2019, 7, 1193. [Google Scholar] [CrossRef]
- Rehman, A.; Salleh, Z.; Gul, T.; Zaheer, Z. The impact of viscous dissipation on the thin film unsteady flow of GO-EG/GO-W nanofluids. Mathematics 2019, 7, 653. [Google Scholar] [CrossRef]
- Sun, J.Y.; Lian, Y.S.; Li, Z.L.; He, X.T.; Zheng, Z.L. Theoretical study on shaft-loaded blister test technique: Synchronous characterization of surface and interfacial mechanical properties. Int. J. Adhes. Adhes. 2014, 51, 128–139. [Google Scholar] [CrossRef]
- Sun, J.Y.; Hu, J.L.; Zheng, Z.L.; He, X.T.; Geng, H.H. A practical method for simultaneous determination of Poisson’s ratio and Young’s modulus of elasticity of thin films. J. Mech. Sci. Technol. 2011, 25, 3165–3171. [Google Scholar] [CrossRef]
- Suo, H.; Angelotti, A.; Zanelli, A. Thermal-physical behavior and energy performance of air-supported membranes for sports halls: A comparison among traditional and advanced building envelopes. Energy Build. 2015, 109, 35–46. [Google Scholar] [CrossRef]
- Król, B.; Pielichowska, K.; Król, P.; Kędzierski, M. Polyurethane cationomer films as ecological membranes for building industry. Prog. Org. Coat. 2019, 130, 83–92. [Google Scholar] [CrossRef]
- Peride, N.; Carabineanu, A.; Craciun, E.M. Mathematical modelling of the interface crack propagation in a pre-stressed fiber reinforced elastic composite. Comp. Mater. Sci. 2009, 45, 684–692. [Google Scholar] [CrossRef]
- Sadowski, T.; Marsavina, L.; Craciun, E.M.; Kneć, M. Modelling and experimental study of parallel cracks propagation in an orthotropic elastic material. Comp. Mater. Sci. 2012, 52, 231–235. [Google Scholar] [CrossRef]
- Zhao, M.H.; Zheng, W.L.; Fan, C.Y. Mechanics of shaft-loaded blister test for thin film suspended on compliant substrate. Int. J. Solids Struct. 2010, 47, 2525–2532. [Google Scholar] [CrossRef][Green Version]
- Sun, J.Y.; Hu, J.L.; He, X.T.; Zheng, Z.L.; Geng, H.H. A theoretical study of thin film delamination using clamped punch-loaded blister test: Energy release rate and closed-form solution. J. Adhes. Sci. Technol. 2011, 25, 2063–2080. [Google Scholar] [CrossRef]
- Lian, Y.S.; Sun, J.Y.; Ge, X.M.; Yang, Z.X.; He, X.T.; Zheng, Z.L. A theoretical study of an improved capacitive pressure sensor: Closed-form solution of uniformly loaded annular membranes. Measurement 2017, 111, 84–92. [Google Scholar] [CrossRef]
- Arthurs, A.M.; Clegg, J. On the solution of a boundary value problem for the nonlinear Föppl-Hencky equation. Z. Angew. Math. Mech. 1994, 74, 281–284. [Google Scholar] [CrossRef]
- Lian, Y.S.; Sun, J.Y.; Dong, J.; Zheng, Z.L.; Yang, Z.X. Closed-form solution of axisymmetric deformation of prestressed Föppl-Hencky membrane under constrained deflecting. Struct. Eng. Mech. 2019, 69, 693–698. [Google Scholar]
- Cabada, A.; Wanassi, O.K. Existence results for nonlinear fractional problems with non-homogeneous integral boundary conditions. Mathematics 2020, 8, 255. [Google Scholar] [CrossRef]
- Jeong, J.; Kim, C.G. Existence of positive solutions to singular φ-Laplacian nonlocal boundary value problems when φ is a sup-multiplicative-like function. Mathematics 2020, 8, 420. [Google Scholar] [CrossRef]
- Hencky, H. Über den Spannungszustand in kreisrunden Platten mit verschwindender Biegungssteifigkeit. Z. Angew. Math. Phys. 1915, 63, 311–317. [Google Scholar]
- Chien, W.Z. Asymptotic behavior of a thin clamped circular plate under uniform normal pressure at very large deflection. Sci. Rep. Natl. Tsinghua Univ. 1948, 5, 193–208. [Google Scholar]
- Alekseev, S.A. Elastic circular membranes under the uniformly distributed loads. Eng. Corpus. 1953, 14, 196–198. (In Russian) [Google Scholar]
- Sun, J.Y.; Rong, Y.; He, X.T.; Gao, X.W.; Zheng, Z.L. Power series solution of circular membrane under uniformly distributed loads: Investigation into Hencky transformation. Stuct. Eng. Mech. 2013, 45, 631–641. [Google Scholar] [CrossRef]
- Sun, J.Y.; Lian, Y.S.; Li, Y.M.; He, X.T.; Zheng, Z.L. Closed-form solution of elastic circular membrane with initial stress under uniformly-distributed loads: Extended Hencky solution. Z. Angew. Math. Mech. 2015, 95, 1335–1341. [Google Scholar] [CrossRef]
- Lian, Y.S.; Sun, J.Y.; Yang, Z.X.; He, X.T.; Zheng, Z.L. Closed-form solution of well-known Hencky problem without small-rotation-angle assumption. J. Appl. Math. Mech./Z. Angew. Math. Mech. 2016, 96, 1434–1441. [Google Scholar] [CrossRef]








| n | b0 | b2 | b4 | b6 |
| 4 | 1.0954809 × 10−2 | −1.7614908 × 10−3 | −2.3599430 × 10−4 | ― |
| 6 | 1.1099103 × 10−2 | −1.7141283 × 10−3 | −2.2121798 × 10−4 | −4.7183462 × 10−5 |
| 8 | 1.1139261 × 10−2 | −1.7012775 × 10−3 | −2.1730552 × 10−4 | −4.5871671 × 10−5 |
| 10 | 1.1151884 × 10−2 | −1.6972670 × 10−3 | −2.1609292 × 10−4 | −4.5467874 × 10−5 |
| 12 | 1.1156122 × 10−2 | −1.6959237 × 10−3 | −2.1568767 × 10−4 | −4.5333218 × 10−5 |
| 14 | 1.1157603 × 10−2 | −1.6954547 × 10−3 | −2.1554628 × 10−4 | −4.5286270 × 10−5 |
| 16 | 1.1158134 × 10−2 | −1.6952864 × 10−3 | −2.1549554 × 10−4 | −4.5269429 × 10−5 |
| 18 | 1.1158329 × 10−2 | −1.6952247 × 10−3 | −2.1547697 × 10−4 | −4.5263264 × 10−5 |
| 20 | 1.1158401 × 10−2 | −1.6952018 × 10−3 | −2.1547007 × 10−4 | −4.5260973 × 10−5 |
| 22 | 1.1158428 × 10−2 | −1.6951932 × 10−3 | −2.1546747 × 10−4 | −4.5260111 × 10−5 |
| 24 | 1.1158439 × 10−2 | −1.6951899 × 10−3 | −2.1546648 × 10−4 | −4.5259783 × 10−5 |
| 26 | 1.1158443 × 10−2 | −1.6951887 × 10−3 | −2.1546610 × 10−4 | −4.5259657 × 10−5 |
| 28 | 1.1158444 × 10−2 | −1.6951882 × 10−3 | −2.1546596 × 10−4 | −4.5259608 × 10−5 |
| 30 | 1.1158445 × 10−2 | −1.6951880 × 10−3 | −2.1546590 × 10−4 | −4.5259590 × 10−5 |
| n | b8 | b10 | b12 | b14 |
| 8 | −1.1940058 × 10−5 | ― | ― | ― |
| 10 | −1.1796657 × 10−5 | −3.4390107 × 10−6 | ― | ― |
| 12 | −1.1748940 × 10−5 | −3.4213780 × 10−6 | −1.0729630 × 10−6 | ― |
| 14 | −1.1732316 × 10−5 | −3.4152393 × 10−6 | −1.0706309 × 10−6 | −3.5319449 × 10−7 |
| 16 | −1.1726354 × 10−5 | −3.4130384 × 10−6 | −1.0697950 × 10−6 | −3.5287054 × 10−7 |
| 18 | −1.1724172 × 10−5 | −3.4122330 × 10−6 | −1.0694891 × 10−6 | −3.5275200 × 10−7 |
| 20 | −1.1723361 × 10−5 | −3.4119336 × 10−6 | −1.0693754 × 10−6 | −3.5270795 × 10−7 |
| 22 | −1.1723055 × 10−5 | −3.4118209 × 10−6 | −1.0693326 × 10−6 | −3.5269137 × 10−7 |
| 24 | −1.1722939 × 10−5 | −3.4117781 × 10−6 | −1.0693164 × 10−6 | −3.5268507 × 10−7 |
| 26 | −1.1722895 × 10−5 | −3.4117617 × 10−6 | −1.0693101 × 10−6 | −3.5268266 × 10−7 |
| 28 | −1.1722878 × 10−5 | −3.4117553 × 10−6 | −1.0693077 × 10−6 | −3.5268172 × 10−7 |
| 30 | −1.1722871 × 10−5 | −3.4117529 × 10−6 | −1.0693068 × 10−6 | −3.5268136 × 10−7 |
| n | b16 | b18 | b20 | b22 |
| 16 | −1.2079246 × 10−7 | ― | ― | ― |
| 18 | −1.2074584 × 10−7 | −4.2508129 × 10−8 | ― | ― |
| 20 | −1.2072852 × 10−7 | −4.2501239 × 10−8 | −1.5294069 × 10−8 | ― |
| 22 | −1.2072200 × 10−7 | −4.2498646 × 10−8 | −1.5293029 × 10−8 | −5.6007703 × 10−9 |
| 24 | −1.2071952 × 10−7 | −4.2497661 × 10−8 | −1.5292633 × 10−8 | −5.6006106 × 10−9 |
| 26 | −1.2071857 × 10−7 | −4.2497283 × 10−8 | −1.5292482 × 10−8 | −5.6005494 × 10−9 |
| 28 | −1.2071820 × 10−7 | −4.2497137 × 10−8 | −1.5292423 × 10−8 | −5.6005256 × 10−9 |
| 30 | −1.2071806 × 10−7 | −4.2497080 × 10−8 | −1.5292400 × 10−8 | −5.6005165 × 10−9 |
| n | b24 | b26 | b28 | b30 |
| 24 | −2.0808221 × 10−9 | ― | ― | ― |
| 26 | −2.0807972 × 10−9 | −7.8239857 × 10−10 | ― | ― |
| 28 | −2.0807875 × 10−9 | −7.8239463 × 10−10 | −2.9717720 × 10−10 | ― |
| 30 | −2.0807839 × 10−9 | −7.8239312 × 10−10 | −2.9717659 × 10−10 | −1.1385721 × 10−10 |
| n | c0 | c2 | c4 | c6 |
| 4 | 9.5012072 × 10−2 | −8.7325363 × 10−2 | −7.6867089 × 10−3 | ― |
| 6 | 9.4930058 × 10−2 | −8.6190091 × 10−2 | −7.2958154 × 10−3 | −1.4651512 × 10−3 |
| 8 | 9.4861056 × 10−2 | −8.5879367 × 10−2 | −7.1914770 × 10−3 | −1.4289971 × 10−3 |
| 10 | 9.4818023 × 10−2 | −8.5782156 × 10−2 | −7.1590654 × 10−3 | −1.4178443 × 10−3 |
| 12 | 9.4800124 × 10−2 | −8.5749571 × 10−2 | −7.1482256 × 10−3 | −1.4141226 × 10−3 |
| 14 | 9.4792979 × 10−2 | −8.5738190 × 10−2 | −7.1444425 × 10−3 | −1.4128247 × 10−3 |
| 16 | 9.4790167 × 10−2 | −8.5734105 × 10−2 | −7.1430850 × 10−3 | −1.4123591 × 10−3 |
| 18 | 9.4789066 × 10−2 | −8.5732609 × 10−2 | −7.1425880 × 10−3 | −1.4121887 × 10−3 |
| 20 | 9.4788634 × 10−2 | −8.5732053 × 10−2 | −7.1424033 × 10−3 | −1.4121253 × 10−3 |
| 22 | 9.4788465 × 10−2 | −8.5731844 × 10−2 | −7.1423338 × 10−3 | −1.4121015 × 10−3 |
| 24 | 9.4788399 × 10−2 | −8.5731765 × 10−2 | −7.1423074 × 10−3 | −1.4120924 × 10−3 |
| 26 | 9.4788373 × 10−2 | −8.5731734 × 10−2 | −7.1422972 × 10−3 | −1.4120890 × 10−3 |
| 28 | 9.4788362 × 10−2 | −8.5731722 × 10−2 | −7.1422933 × 10−3 | −1.4120876 × 10−3 |
| 30 | 9.4788358 × 10−2 | −8.5731718 × 10−2 | −7.1422918 × 10−3 | −1.4120871 × 10−3 |
| n | c8 | c10 | c12 | c14 |
| 8 | −3.6121541 × 10−4 | ― | ― | ― |
| 10 | −3.5721690 × 10−4 | −1.0174043 × 10−4 | ― | ― |
| 12 | −3.5588553 × 10−4 | −1.0124963 × 10−4 | −3.1069854 × 10−5 | ― |
| 14 | −3.5542159 × 10−4 | −1.0107873 × 10−4 | −3.1005500 × 10−5 | −1.0015532 × 10−5 |
| 16 | −3.5525519 × 10−4 | −1.0101745 × 10−4 | −3.0982432 × 10−5 | −1.0006703 × 10−5 |
| 18 | −3.5519429 × 10−4 | −1.0099502 × 10−4 | −3.0973990 × 10−5 | −1.0003472 × 10−5 |
| 20 | −3.5517166 × 10−4 | −1.0098669 × 10−4 | −3.0970852 × 10−5 | −1.0002272 × 10−5 |
| 22 | −3.5516314 × 10−4 | −1.0098355 × 10−4 | −3.0969672 × 10−5 | −1.0001820 × 10−5 |
| 24 | −3.5515990 × 10−4 | −1.0098236 × 10−4 | −3.0969223 × 10−5 | −1.0001648 × 10−5 |
| 26 | −3.5515866 × 10−4 | −1.0098190 × 10−4 | −3.0969051 × 10−5 | −1.0001582 × 10−5 |
| 28 | −3.5515818 × 10−4 | −1.0098172 × 10−4 | −3.0968984 × 10−5 | −1.0001557 × 10−5 |
| 30 | −3.5515799 × 10−4 | −1.0098166 × 10−4 | −3.0968959 × 10−5 | −1.0001547 × 10−5 |
| n | c16 | c18 | c20 | c22 |
| 16 | −3.3561200 × 10−6 | ― | ― | ― |
| 18 | −3.3548675 × 10−6 | −1.1579367 × 10−6 | ― | ― |
| 20 | −3.3544020 × 10−6 | −1.1577544 × 10−6 | −4.0875404 × 10−7 | ― |
| 22 | −3.3542269 × 10−6 | −1.1576858 × 10−6 | −4.0872695 × 10−7 | −1.4697409 × 10−7 |
| 24 | −3.3541603 × 10−6 | −1.1576597 × 10−6 | −4.0871665 × 10−7 | −1.4696999 × 10−7 |
| 26 | −3.3541348 × 10−6 | −1.1576497 × 10−6 | −4.0871270 × 10−7 | −1.4696842 × 10−7 |
| 28 | −3.3541249 × 10−6 | −1.1576458 × 10−6 | −4.0871116 × 10−7 | −1.4696781 × 10−7 |
| 30 | −3.3541211 × 10−6 | −1.1576444 × 10−6 | −4.0871058 × 10−7 | −1.4696758 × 10−7 |
| n | c24 | c26 | c28 | c30 |
| 24 | −5.3655393 × 10−8 | ― | ― | ― |
| 26 | −5.3654764 × 10−8 | −1.9838915 × 10−8 | ― | ― |
| 28 | −5.3654520 × 10−8 | −1.9838817 × 10−8 | −7.4153521 × 10−9 | ― |
| 30 | −5.3654427 × 10−8 | −1.9838779 × 10−8 | −7.4153369 × 10−9 | −2.7977182 × 10−9 |
© 2020 by the authors. Licensee MDPI, Basel, Switzerland. This article is an open access article distributed under the terms and conditions of the Creative Commons Attribution (CC BY) license (http://creativecommons.org/licenses/by/4.0/).
Share and Cite
Li, X.; Sun, J.-Y.; Zhao, Z.-H.; Li, S.-Z.; He, X.-T. A New Solution to Well-Known Hencky Problem: Improvement of In-Plane Equilibrium Equation. Mathematics 2020, 8, 653. https://doi.org/10.3390/math8050653
Li X, Sun J-Y, Zhao Z-H, Li S-Z, He X-T. A New Solution to Well-Known Hencky Problem: Improvement of In-Plane Equilibrium Equation. Mathematics. 2020; 8(5):653. https://doi.org/10.3390/math8050653
Chicago/Turabian StyleLi, Xue, Jun-Yi Sun, Zhi-Hang Zhao, Shou-Zhen Li, and Xiao-Ting He. 2020. "A New Solution to Well-Known Hencky Problem: Improvement of In-Plane Equilibrium Equation" Mathematics 8, no. 5: 653. https://doi.org/10.3390/math8050653
APA StyleLi, X., Sun, J.-Y., Zhao, Z.-H., Li, S.-Z., & He, X.-T. (2020). A New Solution to Well-Known Hencky Problem: Improvement of In-Plane Equilibrium Equation. Mathematics, 8(5), 653. https://doi.org/10.3390/math8050653

