Fuzzy Simheuristics: Solving Optimization Problems under Stochastic and Uncertainty Scenarios
Abstract
1. Introduction
2. Overview of Fuzzy Concepts
- Fuzzification: the first element in a FIS is fuzzification, which transforms the inputs that are expressed in crisp values into their corresponding fuzzified variable [5]. A fuzzified variable is associated with a linguistic concept that usually describes labels [8]. In the case of the considered TOP, for instance, historical reward data that are related to similar nodes might be used as an input criterion to assign labels to each node. The input values (crisp) will then be transformed into a fuzzy value while using the associated membership functions.
- Membership functions: the second element is a database containing membership or belonging functions, which defines a fuzzy set that is associated with a linguistic label [9,10]. The membership function must be standardized, convex, and distinct (i.e., it has a limited overlap with other functions) [5]. Following the TOP example, the reward input variables might have three membership functions: low, medium, and high.
- Inference rules: the third element is composed of the inference rules. The rules are usually designed by experts in the field while using ‘if … then’ expressions [11]. In this context, simple rules, such as the following, can be employed: “if a given percentage of similar nodes have offered a low reward in the last n visits, then the reward of this node is likely to be low”.
- Decision unit: the fourth element is the decision unit, which is dedicated to performing the inference operations on the rules in order to obtain a fuzzy result [12]. Operators, such as union, intersection, and complement are commonly used to combine fuzzy sets through a t-norm operator, which multiplies or determines the minimum in the input fuzzy set in order to generate a fuzzy output set [13]. In the TOP context, all of the input variables in the form of membership functions are combined to produce an output distribution following the inference rules and a union operation.
- Defuzzification: the fifth and last element is defuzzification, which transforms the fuzzy results into a crisp equivalent. In general terms, the resulting distribution of the decision unit is reduced to a numeric value. It is possible to use operators such as the weighted mean, the center of gravity method, the mean of maximums, etc. The last two are used to provide good results in many applications [14]. In this article, the defuzzification step is conducted after the inference step by considering each membership function’s contribution with the union operation on a Mamdani-type system. Subsequently, the fuzzy representation of the problem is transformed into a crisp value while using the center-of-gravity method.
3. Overview of Simheuristics
4. Literature Review on Hybrid Heur-Sim-Fuzzy Approaches
5. Extending the Simheuristic Framework with Fuzzy Techniques
- Stochastic and other uncertainty elements (random variables, uncertain inputs, etc.) are substituted by their expected or most likely values, which provides a deterministic version of the original optimization problem.
- Until a stopping criterion is met (e.g., a maximum time allowed to do computations), a metaheuristic framework is employed in order to iteratively generate feasible solutions of ’good’ quality to the deterministic version of the problem.
- Whenever a solution that is generated by the optimization component is considered as a ’promising’ one—in terms of the deterministic objective function—, it is processed by the simulation and the fuzzy components, i.e.,: (i) for a relative low number of runs, each a new value is assigned to each random or fuzzy element based on its probability distribution or fuzzy function, respectively; (ii) the objective function and the constraints are evaluated under the randomly/fuzzy generated values; and, (ii) summary statistics (mean, variance, quantiles, percentiles, etc.) and risk/reliability values (whenever probabilistic constraints are considered) are obtained for the promising solution being considered.
- The summary statistics and risk/reliability values gathered are employed in order to guide the heuristic search during the next iteration. This can be achieved, for instance, by updating the ’base’ or reference solution in a single-solution metaheuristic algorithm, such as an iterated local search [60], or by updating the current population of parents in a multi-population metaheuristic, such as a genetic algorithm.
- Once the stopping criterion is met, a small subset of ’elite’ solutions is collected. A final and more intensive simulation is executed for each elite solution in order to obtain more accurate estimates of summary statistics and risk/reliability values. As before, in this simulation, both probability distributions and fuzzy functions are employed, depending on whether the element has a stochastic or fuzzy nature.
- Finally, the ’best’ solution (or pull of best alternative solutions) is returned, while taking into account that the decision maker might be not only interested in the average value that is associated with a solution, but also in its variance and reliability level.
6. The Team Orienteering Problem with Stochastic and Fuzzy Rewards
7. Computational Experiments
- Deterministic scenario: here, all of the information is available. Thus, we have perfect information regarding the collected reward at each node. This scenario corresponds to the classical TOP version without uncertainty. For solving this deterministic scenario, we have employed the heuristic algorithm proposed by Panadero et al. [27]. Algorithm 1 depicts its main components. Firstly, an initial dummy solution is computed. This dummy solution contains one route per node, i.e.,: for each customer node, a vehicle departs from the origin depot, visits the node, and then goes to the destination depot. Notice that all of these single-customer routes should satisfy the driving-range constraint—otherwise, the problem is trivially unfeasible. Subsequently, the benefits that are associated with each edge connecting two different nodes are generated, i.e., the savings in driving time (or distance), as well as the reward increase in reward collected in that route. Notice that each edge has two different savings, one per direction or arc. Next, the arcs that are associated with each edge are sorted in a list in descending order—from the highest saving to the lowest saving. This sorted list of arcs is traversed in a descending order, trying to merge the two routes that are connected by the corresponding arc–i.e., routes linked by high-savings arcs are merged as far as the resulting route does not exceed the driving-range constraint. This merging process is iterated until all of the savings are considered. Finally, the m routes (one per vehicle) that are providing the highest reward constitute the solution proposed by the heuristic. Additional details regarding how to improve this solution by employing biased-randomization techniques are described in the aforementioned reference.
- Stochastic scenario: here, we assume that the rewards of a subset of nodes (nodes with even id) are random variables following a Log-Normal probability distribution. The Log-Normal distribution allows for us to model stochastic rewards, since these are always non-negative values. In practice, historical observations on each node’s rewards can be used to determine the specific parameters of the associated probability distribution.In our experiments, the variance of the reward associated to a node i, , has been set, as follows: , where is the deterministic reward, while represents an experimental parameter that can be employed in order to analyze scenarios with different degrees of variability. In our case, we have set .
- Stochastic-fuzzy scenario: to evaluate this scenario, we have divided the subset of non-deterministic nodes into stochastic and fuzzy nodes. Thus, we consider three different types of nodes: deterministic, stochastic, and fuzzy.
- Completely fuzzy scenario: this is the scenario with the highest uncertainty degree, since all of the rewards that are associated with non-deterministic nodes are modeled as fuzzy variables. Therefore, two types of nodes are considered: deterministic and fuzzy.
| Algorithm 1 Heuristic algorithm for the deterministic TOP. |
|
8. Challenges and Open Research Lines
- Modifications in the Simheuristic Component: a promising line of work is the analysis of different simheuristic algorithms coupled with the fuzzy system. It is expected that some of these algorithms benefit more from the modeling of uncertainty with a fuzzy inference system in various instances.
- Variations in the Applications: on the one hand, most applications of simheuristics can benefit from the incorporation of an uncertainty-management mechanism, especially whenever the input information is limited. For instance, scheduling and facility location problems, waste collection management, and, of course, vehicle routing problems. On the other hand, the use of the fuzzy-simheuristic methodology can also be extended to different domains. A good idea could be to test it with different instances and over real problems. For example, applications in the fields of Internet of things and fog computing seem to be promising—partly because of the large amount of information that is available and the need to distribute the tasks among different devices. Implementing the proposed approach for solving smart-logistics problems is a natural open area, e.g., in smart mobility or healthcare logistics under uncertainty.
- Modification on the Uncertainty-Handling Mechanism: The fuzzy inference system has a significant impact on the overall results, since its configuration decides how to handle the uncertainty. Further analysis should be carried out in order to establish guidelines in order to select membership functions or inference rules for a specific instance of a problem. In this direction, the type-2 fuzzy logic could help to choose the parameters of the fuzzy system [62]. In the same context, rough sets [63] are another exciting tool far less explored than fuzzy systems for handling the uncertainty. All such mechanisms can be extended to the simheuristic domain, as an alternative to fuzzy systems, in order to manage uncertainty.
9. Conclusions
Author Contributions
Funding
Acknowledgments
Conflicts of Interest
References
- Fausto, F.; Reyna-Orta, A.; Cuevas, E.; Andrade, Á.G.; Perez-Cisneros, M. From ants to whales: Metaheuristics for all tastes. Artif. Intell. Rev. 2020, 53, 753–810. [Google Scholar] [CrossRef]
- Schneider, J.; Kirkpatrick, S. Stochastic Optimization; Springer: Berlin/Heisenberg, Germany, 2007. [Google Scholar]
- Juan, A.A.; Kelton, W.D.; Currie, C.S.; Faulin, J. Simheuristics Applications: Dealing with Uncertainty in Logistics, Transportation, and other Supply Chain Areas. In Proceedings of the 2018 Winter Simulation Conference, Gothenburg, Sweden, 9–12 December 2018; pp. 3048–3059. [Google Scholar]
- Chica, M.; Juan, A.; Bayliss, C.; Cordon, O.; Kelton, D. Why simheuristics? Benefits, limitations, and best practices when combining metaheuristics with simulation. SORT Stat. Oper. Res. Trans. 2020, 44, 1–24. [Google Scholar] [CrossRef]
- Zimmermann, H.J. Fuzzy Set Theory—And Its Applications; Springer: Berlin/Heisenberg, Germany, 2011. [Google Scholar]
- Chao, I.M.; Golden, B.; Wasil, E. The team orienteering problem. Eur. J. Oper. Res. 1996, 88, 464–474. [Google Scholar] [CrossRef]
- Bayliss, C.; Juan, A.A.; Currie, C.S.; Panadero, J. A learnheuristic approach for the team orienteering problem with aerial drone motion constraints. Appl. Soft Comput. 2020, 106280. [Google Scholar] [CrossRef]
- Pei, Z.; Zheng, L. New unbalanced linguistic scale sets: The linguistic information representations and applications. Comput. Ind. Eng. 2017, 105, 377–390. [Google Scholar] [CrossRef]
- Gegov, A.; Arabikhan, F.; Sanders, D. Rule base simplification in fuzzy systems by aggregation of inconsistent rules. J. Intell. Fuzzy Syst. 2015, 28, 1331–1343. [Google Scholar] [CrossRef]
- Zadeh, L.A. Fuzzy sets. Inf. Control 1965, 8, 338–353. [Google Scholar] [CrossRef]
- Liao, S.H. Expert system methodologies and applications—A decade review from 1995 to 2004. Expert Syst. Appl. 2005, 28, 93–103. [Google Scholar] [CrossRef]
- Jang, J.S. ANFIS: Adaptive-network-based fuzzy inference system. IEEE Trans. Syst. Man, Cybern. 1993, 23, 665–685. [Google Scholar] [CrossRef]
- Berenji, H.R. A reinforcement learning—Based architecture for fuzzy logic control. Int. J. Approx. Reason. 1992, 6, 267–292. [Google Scholar] [CrossRef]
- Van Leekwijck, W.; Kerre, E.E. Defuzzification: Criteria and classification. Fuzzy Sets Syst. 1999, 108, 159–178. [Google Scholar] [CrossRef]
- Ghodsypour, S.H.; O’Brien, C. A decision support system for supplier selection using an integrated analytic hierarchy process and linear programming. Int. J. Prod. Econ. 1998, 56, 199–212. [Google Scholar] [CrossRef]
- Kumar, D.; Singh, J.; Singh, O.P. A fuzzy logic based decision support system for evaluation of suppliers in supply chain management practices. Math. Comput. Model. 2013, 58, 1679–1695. [Google Scholar] [CrossRef]
- Faulin, J.; Juan, A.A.; Serrat, C.; Bargueno, V. Predicting availability functions in time-dependent complex systems with SAEDES simulation algorithms. Reliab. Eng. Syst. Saf. 2008, 93, 1761–1771. [Google Scholar] [CrossRef]
- Figueira, G.; Almada-Lobo, B. Hybrid simulation–optimization methods: A taxonomy and discussion. Simul. Model. Pract. Theory 2014, 46, 118–134. [Google Scholar] [CrossRef]
- Amaran, S.; Sahinidis, N.V.; Sharda, B.; Bury, S.J. Simulation optimization: A review of algorithms and applications. Ann. Oper. Res. 2016, 240, 351–380. [Google Scholar] [CrossRef]
- De Sousa Junior, W.T.; Montevechi, J.A.B.; de Carvalho Miranda, R.; Campos, A.T. Discrete simulation-based optimization methods for industrial engineering problems: A systematic literature review. Comput. Ind. Eng. 2019, 128, 526–540. [Google Scholar] [CrossRef]
- Glover, F.; Kelly, J.P.; Laguna, M. New advances and applications of combining simulation and optimization. In Proceedings of the 1996 Winter Simulation Conference, Coronado, CA, USA, 8–11 December 1996; pp. 144–152. [Google Scholar]
- Ferone, D.; Gruler, A.; Festa, P.; Juan, A.A. Enhancing and extending the classical GRASP framework with biased randomisation and simulation. J. Oper. Res. Soc. 2019, 70, 1362–1375. [Google Scholar] [CrossRef]
- Fikar, C.; Juan, A.A.; Martinez, E.; Hirsch, P. A discrete-event driven metaheuristic for dynamic home service routing with synchronised trip sharing. Eur. J. Ind. Eng. 2016, 10, 323–340. [Google Scholar] [CrossRef]
- Guimarans, D.; Dominguez, O.; Panadero, J.; Juan, A.A. A simheuristic approach for the two-dimensional vehicle routing problem with stochastic travel times. Simul. Model. Pract. Theory 2018, 89, 1–14. [Google Scholar] [CrossRef]
- Reyes-Rubiano, L.; Ferone, D.; Juan, A.A.; Faulin, J. A simheuristic for routing electric vehicles with limited driving ranges and stochastic travel times. SORT Stat. Oper. Res. Trans. 2019, 1, 3–24. [Google Scholar]
- Gonzalez-Martin, S.; Juan, A.A.; Riera, D.; Elizondo, M.G.; Ramos, J.J. A simheuristic algorithm for solving the arc routing problem with stochastic demands. J. Simul. 2018, 12, 53–66. [Google Scholar] [CrossRef]
- Panadero, J.; Currie, C.; Juan, A.; Bayliss, C. Maximising reward from a team of surveillance drones: A simheuristic approach to the stochastic team orienteering problem. Eur. J. Ind. Eng. 2020, 14, 485–516. [Google Scholar] [CrossRef]
- Pagès-Bernaus, A.; Ramalhinho, H.; Juan, A.A.; Calvet, L. Designing E-commerce Supply Chains: A Stochastic Facility-Location Approach. Int. Trans. Oper. Res. 2019, 26, 507–528. [Google Scholar] [CrossRef]
- Gruler, A.; Panadero, J.; de Armas, J.; Moreno, J.A.; Juan, A.A. Combining variable neighborhood search with simulation for the inventory routing problem with stochastic demands and stock-outs. Comput. Ind. Eng. 2018, 123, 278–288. [Google Scholar] [CrossRef]
- Gruler, A.; Panadero, J.; de Armas, J.; Moreno, J.A.; Juan, A.A. A variable neighborhood search simheuristic for the multiperiod inventory routing problem with stochastic demands. Int. Trans. Oper. Res. 2020, 27, 314–335. [Google Scholar] [CrossRef]
- Raba, D.; Estrada-Moreno, A.; Panadero, J.; Juan, A.A. A reactive simheuristic using online data for a real-life inventory routing problem with stochastic demands. Int. Trans. Oper. Res. 2020, 27, 2785–2816. [Google Scholar] [CrossRef]
- Gruler, A.; Fikar, C.; Juan, A.A.; Hirsch, P.; Contreras-Bolton, C. Supporting multi-depot and stochastic waste collection management in clustered urban areas via simulation-optimization. J. Simul. 2017, 11, 11–19. [Google Scholar] [CrossRef]
- Gruler, A.; Quintero-Araújo, C.L.; Calvet, L.; Juan, A.A. Waste collection under uncertainty: A simheuristic based on variable neighbourhood search. Eur. J. Ind. Eng. 2017, 11, 228–255. [Google Scholar] [CrossRef]
- Quintero-Araujo, C.L.; Guimarans, D.; Juan, A.A. A simheuristic algorithm for the capacitated location routing problem with stochastic demands. J. Simul. 2019, 1–18. [Google Scholar] [CrossRef]
- Latorre-Biel, J.I.; Ferone, D.; Juan, A.A.; Faulin, J. Combining simheuristics with Petri nets for solving the stochastic vehicle routing problem with correlated demands. Expert Syst. Appl. 2020, 114240. [Google Scholar] [CrossRef]
- Gruler, A.; Pérez-Navarro, A.; Calvet, L.; Juan, A.A. A simheuristic algorithm for time-dependent waste collection management with stochastic travel times. SORT Stat. Oper. Res. Trans. 2020, 44, 1–29. [Google Scholar]
- Hatami, S.; Calvet, L.; Fernández-Viagas, V.; Framiñán, J.M.; Juan, A.A. A simheuristic algorithm to set up starting times in the stochastic parallel flowshop problem. Simul. Model. Pract. Theory 2018, 86, 55–71. [Google Scholar] [CrossRef]
- Villarinho, P.A.; Panadero, J.; Pessoa, L.S.; Juan, A.A.; Oliveira, F.L.C. A simheuristic algorithm for the stochastic permutation flow-shop problem with delivery dates and cumulative payoffs. Int. Trans. Oper. Res. 2020, 28, 716–737. [Google Scholar] [CrossRef]
- Panadero, J.; Doering, J.; Kizys, R.; Juan, A.A.; Fito, A. A variable neighborhood search simheuristic for project portfolio selection under uncertainty. J. Heuristics 2020, 26, 353–375. [Google Scholar] [CrossRef]
- Cabrera, G.; Juan, A.A.; Lázaro, D.; Marquès, J.M.; Proskurnia, I. A simulation-optimization approach to deploy Internet services in large-scale systems with user-provided resources. Simulation 2014, 90, 644–659. [Google Scholar] [CrossRef]
- Pekel, E.; Kara, S.S. Solving fuzzy capacitated location routing problem using hybrid variable neighborhood search and evolutionary local search. Appl. Soft Comput. 2019, 83, 105665. [Google Scholar] [CrossRef]
- Lin, J. Backtracking search based hyper-heuristic for the flexible job-shop scheduling problem with fuzzy processing time. Eng. Appl. Artif. Intell. 2019, 77, 186–196. [Google Scholar] [CrossRef]
- Flowers, T.L.; Harrison, B.K.; Niccolai, M.J. Automated synthesis of distillation sequences using fuzzy logic and simulation. AIChE J. 1994, 40, 1341–1348. [Google Scholar] [CrossRef]
- Gao, Y.; Liu, Y.J. Adaptive fuzzy optimal control using direct heuristic dynamic programming for chaotic discrete-time system. J. Vib. Control 2016, 22, 595–603. [Google Scholar] [CrossRef]
- Ghaffari-Nasab, N.; Ahari, S.G.; Ghazanfari, M. A hybrid simulated annealing based heuristic for solving the location-routing problem with fuzzy demands. Sci. Iran. 2013, 20, 919–930. [Google Scholar]
- Nadizadeh, A.; Nasab, H.H. Solving the dynamic capacitated location-routing problem with fuzzy demands by hybrid heuristic algorithm. Eur. J. Oper. Res. 2014, 238, 458–470. [Google Scholar] [CrossRef]
- Zhang, B.; Li, H.; Li, S.; Peng, J. Sustainable multi-depot emergency facilities location-routing problem with uncertain information. Appl. Math. Comput. 2018, 333, 506–520. [Google Scholar] [CrossRef]
- Expósito, A.; Mancini, S.; Brito, J.; Moreno, J.A. A fuzzy GRASP for the tourist trip design with clustered POIs. Expert Syst. Appl. 2019, 127, 210–227. [Google Scholar] [CrossRef]
- Yan, X.; Huang, H.; Hao, Z.; Wang, J. A graph-based fuzzy evolutionary algorithm for solving two-echelon vehicle routing problems. IEEE Trans. Evol. Comput. 2019, 24, 129–141. [Google Scholar] [CrossRef]
- Zhang, S.; Chen, M.; Zhang, W.; Zhuang, X. Fuzzy optimization model for electric vehicle routing problem with time windows and recharging stations. Expert Syst. Appl. 2020, 145, 113123. [Google Scholar] [CrossRef]
- Brito, J.; Martínez, F.J.; Moreno-Pérez, J.A.; Verdegay, J.L. ACO-GRASP-VNS metaheuristic for VRP with fuzzy windows time constraints. In International Conference on Computer Aided Systems Theory; Springer: Berlin/Heisenberg, Germany, 2011; pp. 440–447. [Google Scholar]
- Ladj, A.; Tayeb, F.B.S.; Varnier, C.; Dridi, A.A.; Selmane, N. A hybrid of variable neighbor search and fuzzy logic for the permutation flowshop scheduling problem with predictive maintenance. Procedia Comput. Sci. 2017, 112, 663–672. [Google Scholar] [CrossRef]
- Ladj, A.; Tayeb, F.B.S.; Varnier, C.; Dridi, A.A.; Selmane, N. Improved genetic algorithm for the fuzzy flowshop scheduling problem with predictive maintenance planning. In Proceedings of the 2019 IEEE 28th International Symposium on Industrial Electronics (ISIE), Vancouver, BC, Canada, 12–14 June 2019; pp. 1300–1305. [Google Scholar]
- Shao, Z.; Shao, W.; Pi, D. Effective heuristics and metaheuristics for the distributed fuzzy blocking flow-shop scheduling problem. Swarm Evol. Comput. 2020, 59, 100747. [Google Scholar] [CrossRef]
- He, L.; Li, W.; Zhang, Y.; Cao, Y. A discrete multi-objective fireworks algorithm for flowshop scheduling with sequence-dependent setup times. Swarm Evol. Comput. 2019, 51, 100575. [Google Scholar] [CrossRef]
- Ferreira, L.; Borenstein, D.; Righi, M.B.; de Almeida Filho, A.T. A fuzzy hybrid integrated framework for portfolio optimization in private banking. Expert Syst. Appl. 2018, 92, 350–362. [Google Scholar] [CrossRef]
- Chen, W.; Xu, W. A hybrid multiobjective bat algorithm for fuzzy portfolio optimization with real-world constraints. Int. J. Fuzzy Syst. 2019, 21, 291–307. [Google Scholar] [CrossRef]
- Saborido, R.; Ruiz, A.B.; Bermúdez, J.D.; Vercher, E.; Luque, M. Evolutionary multi-objective optimization algorithms for fuzzy portfolio selection. Appl. Soft Comput. 2016, 39, 48–63. [Google Scholar] [CrossRef]
- Dutta, S.; Biswal, M.; Acharya, S.; Mishra, R. Fuzzy stochastic price scenario based portfolio selection and its application to BSE using genetic algorithm. Appl. Soft Comput. 2018, 62, 867–891. [Google Scholar] [CrossRef]
- Dominguez, O.; Juan, A.A.; De La Nuez, I.A.; Ouelhadj, D. An ILS-biased randomization algorithm for the two-dimensional loading HFVRP with sequential loading and items rotation. J. Oper. Res. Soc. 2016, 67, 37–53. [Google Scholar] [CrossRef]
- Ke, L.; Zhai, L.; Li, J.; Chan, F.T. Pareto mimic algorithm: An approach to the team orienteering problem. Omega 2016, 61, 155–166. [Google Scholar] [CrossRef]
- Castillo, O.; Melin, P.; Kacprzyk, J.; Pedrycz, W. Type-2 fuzzy logic: Theory and applications. In Proceedings of the 2007 IEEE International Conference on Granular Computing (GRC 2007), Fremont, CA, USA, 2–4 November 2007; p. 145. [Google Scholar]
- Pawlak, Z. Rough sets. Int. J. Comput. Inf. Sci. 1982, 11, 341–356. [Google Scholar] [CrossRef]







| Article Ref. | Problem Type | Fuzzy Elements | Solving Methodology |
|---|---|---|---|
| [43] | LRP | Demands | SA + stochastic simulation |
| [44] | Dynamic capacitated LRP | Demands | Local search + stochastic simulation |
| [45] | Uncertain multidepot LRP | Travel time, emergency relief costs, CO2 emissions | GA + stochastic simulation |
| [46] | VRP—Tourist trip design problem with clustered POI | POIs | Fuzzy GRASP |
| [47] | Two-echelon VRP | Assignment schema | Fuzzy EA |
| [48] | Fuzzy electric VRPTW with recharging stations | Service time, battery energy consumption, and travel time | Adaptive LNS + fuzzy simulation |
| [49] | VRPTW | Soft time windows | ACO + GRASP + VNS with fuzzy sets |
| [50] | Permutation FSP | Useful life and degradation values | VNS + Fuzzy logic |
| [51] | FSP | Prognostics and machines’ health management | GA |
| [52] | Distributed FSP | Processing time | Fuzzy heuristics |
| [53] | Multi-objective FSP | Makespan | Fireworks algorithm |
| [54] | POP | Legal aspects, investor’s preferences | Fuzzy multiatribute |
| [55] | POP | Returns | Bat algorithm + differential evolution |
| [56] | POP | Returns | Evolutionary multi-objective optimization algorithm + Fuzzy logic |
| [57] | POP | Stocks’ ratio factors | Fuzzy GA |
| Deterministic Scenario | Stochastic Scenario | Uncertainty Scenario | |||||
|---|---|---|---|---|---|---|---|
| Instance | BKS | Deterministic | GAP(%) | Deterministic | Stochastic | Stoch-Fuzzy | Fuzzy |
| (1) | Sol (2) | (1–2) | Sol. (3) | Sol. (4) | Sol. (5) | Sol. (6) | |
| p1.4.j | 75 | 75 | 0.0 | 59.3 | 63.3 | 51.3 | 45.1 |
| p1.4.k | 100 | 100 | 0.0 | 78.5 | 78.5 | 66.2 | 62.6 |
| p1.4.l | 120 | 120 | 0.0 | 93.8 | 93.8 | 84.3 | 77.1 |
| p1.4.m | 130 | 125 | 4.0 | 98.2 | 102.9 | 91.5 | 86.3 |
| p1.4.n | 155 | 150 | 3.3 | 99.9 | 104.0 | 107.5 | 98.2 |
| p1.4.o | 165 | 165 | 0.0 | 122.1 | 131.1 | 123.7 | 103.3 |
| p1.4.p | 175 | 175 | 0.0 | 124.9 | 128.8 | 126.7 | 114.8 |
| p2.2.d | 160 | 160 | 0.0 | 80.2 | 142.1 | 83.1 | 74.0 |
| p3.2.q | 760 | 760 | 0.0 | 755.0 | 758.2 | 584.9 | 441.8 |
| p3.2.r | 790 | 790 | 0.0 | 767.0 | 774.7 | 577.5 | 384.3 |
| p5.2.d | 80 | 80 | 0.0 | 57.2 | 64.6 | 63.4 | 63.4 |
| p5.2.p | 1150 | 1150 | 0.0 | 1049.6 | 1139.3 | 1075.9 | 1021.1 |
| p5.2.k | 670 | 670 | 0.0 | 563.0 | 628.1 | 470.7 | 297.5 |
| p6.2.d | 192 | 192 | 0.0 | 170.4 | 175.2 | 147.1 | 103.0 |
| p6.2.g | 660 | 660 | 0.0 | 584.6 | 587.3 | 301.2 | 285.6 |
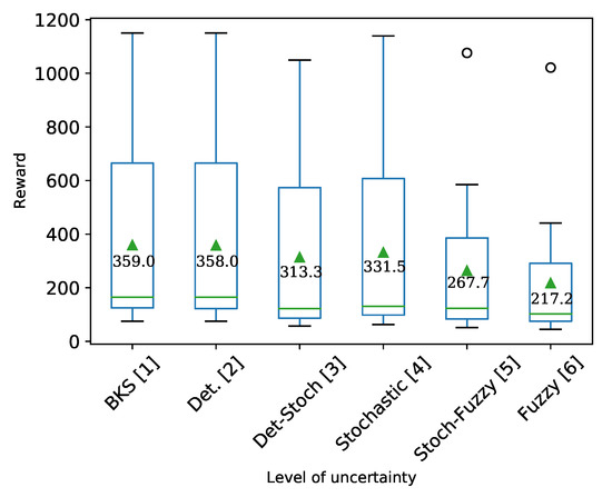
| Average: | 359 | 358 | 0.5 | 313.6 | 331.5 | 263.7 | 217.2 |
Publisher’s Note: MDPI stays neutral with regard to jurisdictional claims in published maps and institutional affiliations. |
© 2020 by the authors. Licensee MDPI, Basel, Switzerland. This article is an open access article distributed under the terms and conditions of the Creative Commons Attribution (CC BY) license (http://creativecommons.org/licenses/by/4.0/).
Share and Cite
Oliva, D.; Copado, P.; Hinojosa, S.; Panadero, J.; Riera, D.; Juan, A.A. Fuzzy Simheuristics: Solving Optimization Problems under Stochastic and Uncertainty Scenarios. Mathematics 2020, 8, 2240. https://doi.org/10.3390/math8122240
Oliva D, Copado P, Hinojosa S, Panadero J, Riera D, Juan AA. Fuzzy Simheuristics: Solving Optimization Problems under Stochastic and Uncertainty Scenarios. Mathematics. 2020; 8(12):2240. https://doi.org/10.3390/math8122240
Chicago/Turabian StyleOliva, Diego, Pedro Copado, Salvador Hinojosa, Javier Panadero, Daniel Riera, and Angel A. Juan. 2020. "Fuzzy Simheuristics: Solving Optimization Problems under Stochastic and Uncertainty Scenarios" Mathematics 8, no. 12: 2240. https://doi.org/10.3390/math8122240
APA StyleOliva, D., Copado, P., Hinojosa, S., Panadero, J., Riera, D., & Juan, A. A. (2020). Fuzzy Simheuristics: Solving Optimization Problems under Stochastic and Uncertainty Scenarios. Mathematics, 8(12), 2240. https://doi.org/10.3390/math8122240

