Numerical Analysis of Convection–Diffusion Using a Modified Upwind Approach in the Finite Volume Method
Abstract
1. Introduction
2. Preliminary Remarks
3. Discretization and Formulation of the Problem
4. The Formulation of the Problem within the Analysis of Boundary Conditions
5. Theoretical Aspects and Analysis of the Numerical Scheme
5.1. Stability Analysis
5.2. Convergence Analysis of the Scheme
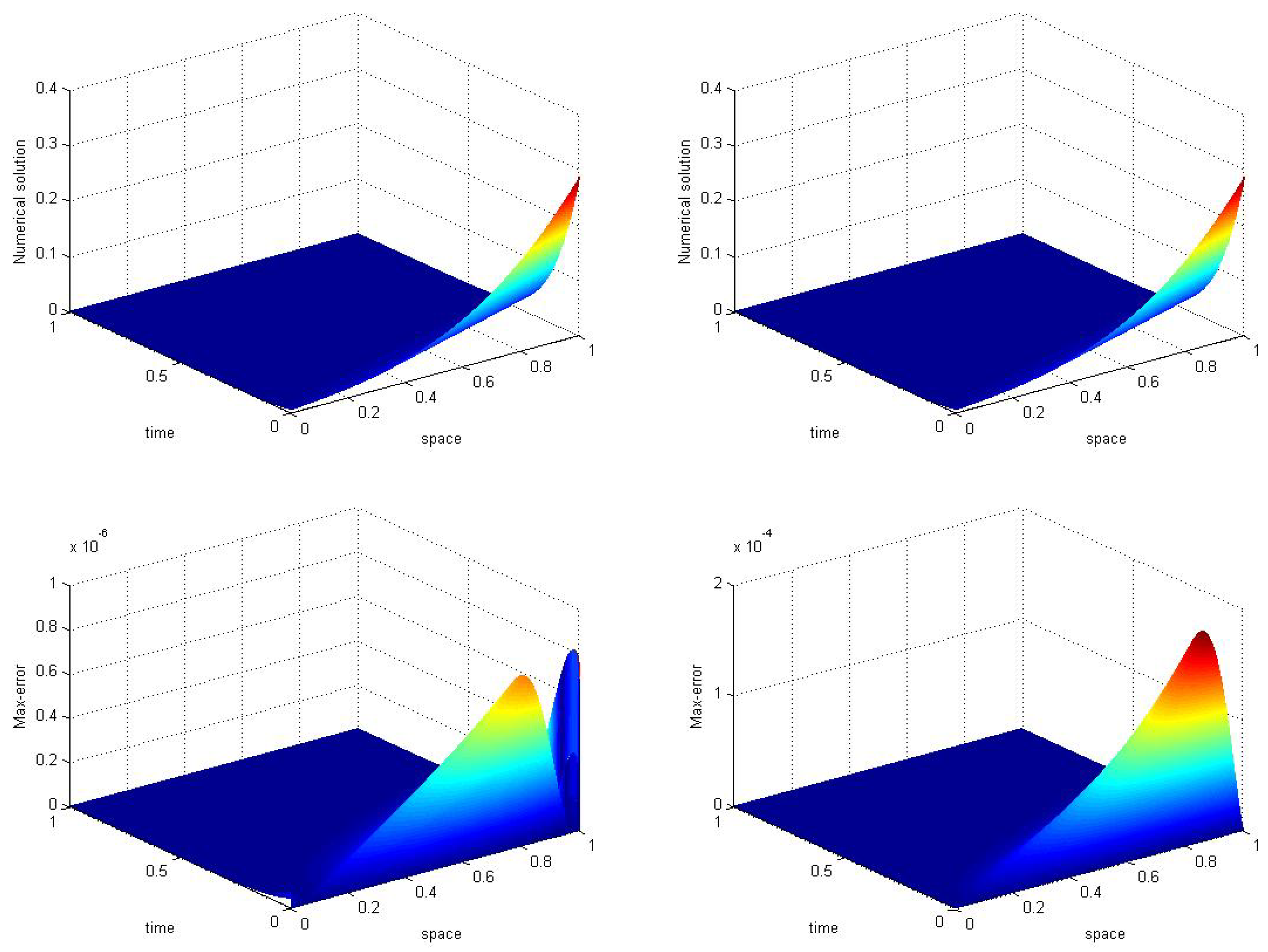
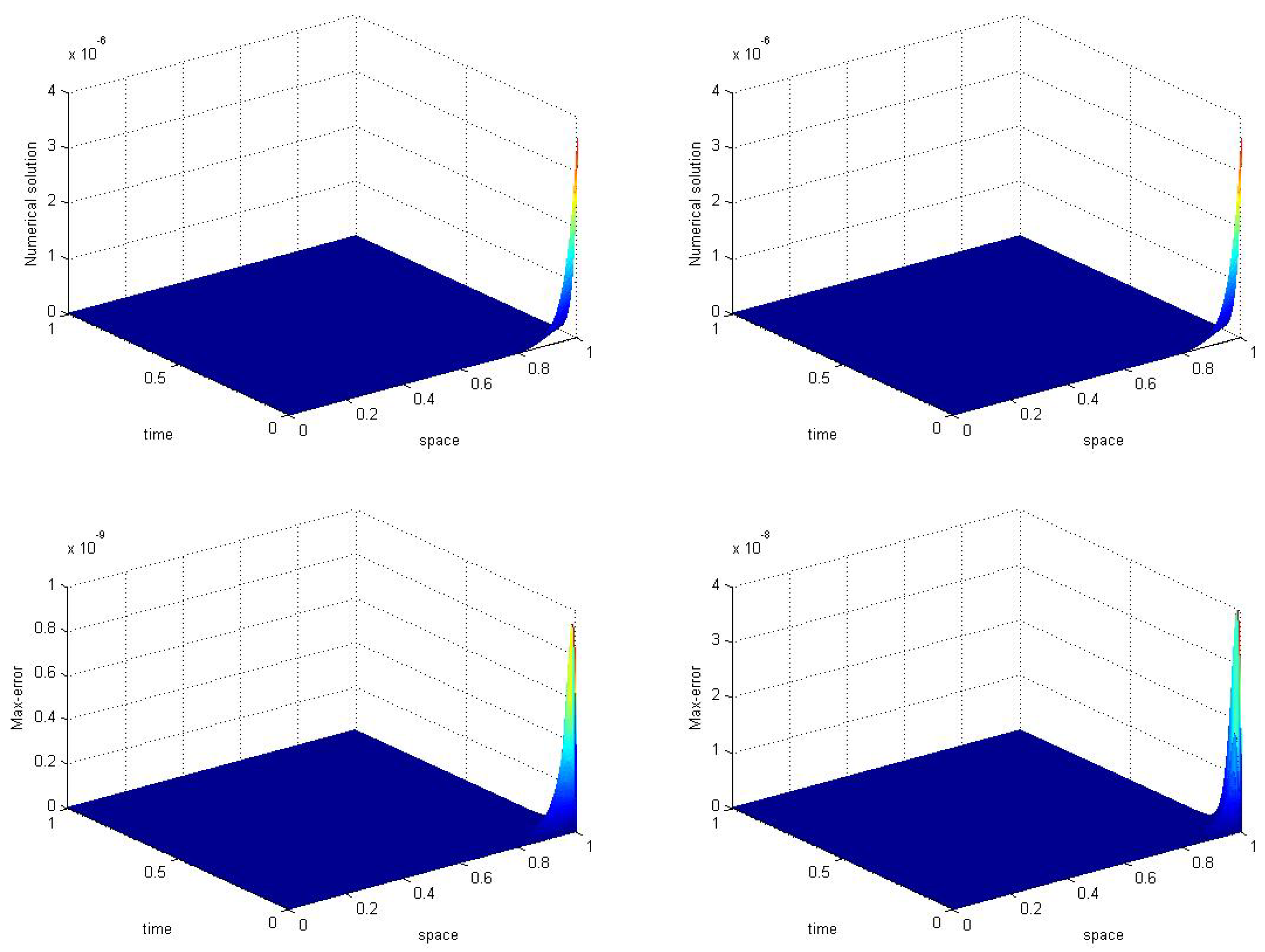
6. Numerical Experiments
7. Conclusions
Author Contributions
Funding
Acknowledgments
Conflicts of Interest
References
- Moukalled, F.; Mangani, L.; Darwish, M. The Finite Volume Method in Computational Fluid Dynamics; Springer: Berlin/Heidelberg, Germany, 2016; Volume 6. [Google Scholar]
- Hrvoje, J. Error Analysis and Estimation for the Finite Volume Method with Applications to Fluid Flows; Imperial College: London, UK, 1996. [Google Scholar]
- Lemos, E.M.; Secchi, A.R.; Biscaia, E.C., Jr. Development of high-order finite volume method with multiblock partition technique. Braz. J. Chem. Eng. 2012, 29, 183–201. [Google Scholar] [CrossRef]
- Versteeg, H.K.; Malalasekera, W. An Introduction to Computational Fluid Dynamics: The Finite Volume Method; Pearson Education: Edinburgh, UK, 2007. [Google Scholar]
- Fuhrmann, J.; Ohlberger, M.; Rohde, C. Finite Volumes for Complex Applications VII: Methods and Theoretical Aspects; Springer; FVCA: Berlin, Germany, 2014; Volume 77. [Google Scholar]
- Arminjon, P.; Smith, L. Upwind finite volume schemes with anti—Diffusion for the numerical study of electric discharges in gas-filled cavities. Comput. Methods Appl. Mech. Eng. 1992, 100, 149–168. [Google Scholar] [CrossRef]
- Causona, D.; Mingham, C.; Qia, L. Introductory Finite Volume Methods for PDEs; Manchester Metropolitan University: Manchester, UK, 2011. [Google Scholar]
- Karahan, H. Solution of weighted finite difference techniques with the advection—Diffusion equation using spreadsheets. Comput. Appl. Eng. Edu. 2008, 16, 147–156. [Google Scholar] [CrossRef]
- Shen, W.; Zhang, C.; Zhang, J. Relaxation method for unsteady convection—Diffusion equations. Comput. Math. Appl. 2011, 61, 908–920. [Google Scholar] [CrossRef][Green Version]
- Dehghan, M. On the numerical solution of the one-dimensional convection—Diffusion equation. Math. Probl. Eng. 2005, 2005, 456730. [Google Scholar] [CrossRef]
- Wei, T.; Xu, M. An integral equation approach to the unsteady convection—Diffusion equations. Appl. Math. Comput. 2016, 274, 55–64. [Google Scholar] [CrossRef]
- Mohammadi, R. Exponential B—Spline solution of convection—Diffusion equations. Appl. Math. 2013, 4, 933–944. [Google Scholar] [CrossRef]
- Tian, Z.F.; Yu, P.X. A high-order exponential scheme for solving 1D unsteady convection–diffusion equations. J. Comput. Appl. Math. 2011, 235, 2477–2491. [Google Scholar] [CrossRef]
- Hindmarsh, A.C.; Gresho, P.M.; Griffiths, D.F. The stability of explicit Euler time-integration for certain finite difference approximations of the multi-dimensional advection—Diffusion equation. Int. J. Numer. Methods Fluids 1984, 4, 853–897. [Google Scholar] [CrossRef]
- Peng, H.F.; Yang, K.; Cui, M.; Gao, X.W. Radial integration boundary element method for solving two-dimensional unsteady convection–diffusion problem. Eng. Anal. Bound. Elem. 2019, 102, 39–50. [Google Scholar] [CrossRef]
- Mohammadi, A.; Manteghian, M.; Mohammadi, A. Numerical solution of the one-dimensional advection-diffusion equation using simultaneously temporal and spatial weighted parameters. Aust. J. Basic Appl. Sci. 2011, 6, 1536–1543. [Google Scholar]
- Lazarov, R.D.; Mishev, I.D.; Vassilevski, P.S. Finite volume methods for convection-diffusion problems. SIAM J. Numer. Anal. 1996, 33, 31–55. [Google Scholar] [CrossRef]
- Anley, E.F.; Zheng, Z. Finite difference approximation method for a space fractional convection—Diffusion equation with variable coefficients. Symmetry 2020, 12, 485. [Google Scholar] [CrossRef]
- Shukla, A.; Singh, A.K.; Singh, P.; Shukla, A.; Singh, A.K.; Singh, P.A. comparative study of finite volume method and finite difference method for convection-diffusion problem. Am. J. Comput. Appl. Math. 2011, 1, 67–73. [Google Scholar] [CrossRef]
- Liu, R.; Wang, D.; Zhang, X.; Li, W.; Yu, B. Comparison Study on the Performances of Finite Volume Method and Finite Difference Method. J. Appl. Math. 2013, 2013, 596218. [Google Scholar] [CrossRef]
- Botte, G.G.; Ritter, J.A.; White, R.E. Comparison of finite difference and control volume methods for solving differential equations. Comput. Chem. Eng. 2000, 24, 2633–2654. [Google Scholar] [CrossRef]
- Mazumder, S. Numerical Methods for Partial Differential Equations: Finite Difference and Finite Volume Methods; Academic Press: London, UK, 2015. [Google Scholar]
- Zhang, T.; Zheng, L. A finite volume method for Stokes problems on quadrilateral meshes. Comput. Math. Appl. 2019, 77, 1091–1106. [Google Scholar] [CrossRef]
- ten Thije Boonkkamp, J.H.M.; Anthonissen, M.J.H. The finite volume-complete flux scheme for advection-diffusion-reaction equations. J. Sci. Comput. 2011, 46, 47–70. [Google Scholar] [CrossRef]
- Xu, M. A modified finite volume method for convection-diffusion-reaction Problems. Int. J. Heat Mass Transf. 2018, 117, 658–668. [Google Scholar] [CrossRef]
- Cordero, E.; De Biase, L.; Pennati, V. A new finite volume method for the solution of convection–diffusion equations: Analysis of stability and convergence. Commun. Numer. Methods Eng. 1997, 13, 923–940. [Google Scholar] [CrossRef]
- Anley, E.F. Numerical solutions of elliptic partial differential equations by using finite volume method. Pure Appl. Math. J. 2015, 5, 120–129. [Google Scholar] [CrossRef]
- Kinney, R.B.; Mahdi, H.S. A new finite-volume approach with adaptive upwind convection. Int. J. Numer. Methods Eng. 1988, 26, 1325–1343. [Google Scholar] [CrossRef]
- Pan, D.; Chang, C.H. Upwind finite-volume method for natural and forced convection. Numer. Heat Transf. Part B Fundam. 1994, 25, 177–191. [Google Scholar] [CrossRef]
- Manzini, G.; Russo, A. A finite volume method for advection–diffusion problems in convection-dominated regimes. Comput. Methods Appl. Mech. Eng. 2008, 197, 1242–1261. [Google Scholar] [CrossRef]
- Morton, K.; Stynes, M.; Suli, E. Analysis of a cell-vertex finite volume method for convection-diffusion problems. Math. Comput. 1997, 66, 1389–1406. [Google Scholar] [CrossRef]
- Lararov, R.D.; Mishev, I.D.; Vassilevski, P.S. Finite volume methods with local refinement for convection-diffusion problems. Computing 1994, 53, 33–57. [Google Scholar] [CrossRef]
- Linss, T. Uniform point-wise convergence of an upwind finite volume method on layer-adapted meshes. ZAMM-J. Appl. Math. Mech./Z. Angew. Math. Mech. Appl. Math. Mech. 2002, 82, 247–254. [Google Scholar]
- Wang, H.; Zhao, W. An upwind finite volume scheme and its maximum-principle-preserving ADI splitting for unsteady-state advection-diffusion equations. Numer. Methods Partial Differ. Equ. Int. J. 2003, 19, 211–226. [Google Scholar] [CrossRef]
- Neofytou, P. A third order upwind finite volume method for generalized Newtonian fluid flows. Adv. Eng. Softw. 2005, 36, 664–680. [Google Scholar] [CrossRef]
- Yang, A.; Chen, S.; Yang, L.; Yang, X. An upwind finite volume method for incompressible inviscid free surface flows. Comput. Fluids 2014, 101, 170–182. [Google Scholar] [CrossRef]
- Liang, D.; Zhao, W. The Weighted upwinding finite volume method for the convection—Diffusion problem on a nonstandard covolume grid. Appl. Numer. Anal. Comp. Math. 2004, 1, 180–194. [Google Scholar] [CrossRef]
- Stiebler, M.; Tolke, J.; Krafczyk, M. An upwind discretization scheme for the finite volume lattice Boltzmann method. Comput. Fluids 2006, 35, 814–819. [Google Scholar] [CrossRef]
- Bouche, D.; Ghidaglia, J.; Pascal, F.P. Error estimate for the upwind finite volume method for the nonlinear scalar conservation law. J. Comput. Appl. Math. 2011, 235, 5394–5410. [Google Scholar] [CrossRef][Green Version]
- Boyer, F. Analysis of the upwind finite volume method for general initial-and boundary-value transport problems. IMA J. Numer. Anal. 2012, 32, 1404–1439. [Google Scholar] [CrossRef]
- Lin, S.Y.; Chin, Y.S. An upwind finite-volume scheme with a triangular mesh for conservation laws. J. Comput. Phys. 1990, 107, 324–337. [Google Scholar] [CrossRef]
- Vieira, L.M.; Giacomini, M.; Sevilla, R.; Huerta, A. A second-order face-centred finite volume method for elliptic problems. Comput. Methods Appl. Mech. Eng. 2020, 358, 112655. [Google Scholar] [CrossRef]
- Pan, D.; Cheng, J.-C. A second-order upwind finite-volume method for the Euler solution on unstructured triangular meshes. Int. J. Numer. Meth. Fluids 1993, 16, 1079–1098. [Google Scholar] [CrossRef]
- Piskarev, S.; Zwart, H. Crank-Nicolson scheme for abstract linear system. Numer. Funct. Anal. Optim. 2007, 26, 717–736. [Google Scholar] [CrossRef]
- Gu, W.; Wang, P. A Crank Nicolson difference scheme for solving a type of variable coefficient delay partial differential equations. J. Appl. Math. 2014, 2014, 560567. [Google Scholar] [CrossRef]
- Siddque, M. Smoothing of Crank–Nicolson scheme for the two-dimensional diffusion with an integral condition. Appl. Math. Comput. 2009, 214, 512–522. [Google Scholar] [CrossRef]
- Luskin, M.; Rannacher, R.; Wendland, W. On the smoothing property of the crank-nicolson scheme. Appl. Anal. 1982, 14, 117–135. [Google Scholar] [CrossRef]
- Oishi, C.M.; Yuan, J.Y.; Cuminato, J.A.; Stewart, D.E. Stability analysis of Crank–Nicolson and Euler schemes for time-dependent diffusion equations. BIT Numer. Math. 2015, 55, 487–513. [Google Scholar] [CrossRef]
- Nassif, N.R. Numerical solution of parabolic problems by the generalized Crank-Nicolson schemme. Calcolo 1975, 12, 51–61. [Google Scholar] [CrossRef]
- Van, C.J.A. On the Crank-Nicolson scheme once again. J. Evol. Equ. 2011, 11, 457–476. [Google Scholar]
- Kadalbajoo, M.K.; Awasthi, A. A numerical method based on Crank-Nicolson scheme for Burgers’ equation. Appl. Math. Comput. 2006, 182, 1430–1442. [Google Scholar] [CrossRef]
- Anderson, J.R. Local existence and uniqueness of solutions of degenerate parabolic equations. Comm. Partial. Differ. Equ. 1991, 16, 105–143. [Google Scholar] [CrossRef]
- Gilding, B.H.; Kersner, R. The characterization of reaction-convection-diffusion processes by travelling waves. J. Differ. Equ. 1996, 124, 27–79. [Google Scholar] [CrossRef]











| Max-Error | Order | Max-Error | Order | Max-Error | Order | ||
| 1/10 | 0.0089 | – | 0.0089 | – | 0.0089 | – | |
| 1/20 | 0.0025 | 1.8149 | 0.0025 | 1.8145 | 0.0025 | 1.8144 | |
| 1/40 | 6.8518 × | 1.8886 | 6.8620 × | 1.8871 | 6.86404 × | 1.8868 | |
| 1/80 | 1.7773 × | 1.9468 | 1.7867 × | 1.9414 | 1.8784 × | 1.9404 |
| 1/300 | 1/1500 | ||||||
|---|---|---|---|---|---|---|---|
| Max-Error | Order | Max-Error | Order | Max-Error | Order | ||
| 1/20 | 0.0022 | – | 0.0022 | – | 0.0022 | – | |
| 1/40 | 5.4741 × | 2.0029 | 5.5206 × | 2.0071 | 6.80408 × | 2.0019 | |
| 1/80 | 1.3325 × | 2.0060 | 1.3744 × | 2.0227 | 1.7884 × | 2.0019 | |
| 1/160 | 3.07300 × | 2.0025 | 3.3829 × | 2.0789 | 4.5566 × | 2.0065 |
| 10,000 | ||||||||
|---|---|---|---|---|---|---|---|---|
| FVM (13) | FVM [21] | FVM (13) | FVM [21] | |||||
| Max-Error | Order | Max-Error | Order | Max-Error | Order | Max-Error | Order | |
| 1/10 | 0.0038 | – | 0.0154 | – | 0.0038 | – | 0.0154 | – |
| 1/20 | 0.0012 | 1.7261 | 0.0081 | 0.9327 | 0.0012 | 1.7261 | 0.0083 | 0.9312 |
| 1/40 | 3.2596 | 1.8467 | 0.0041 | 0.9644 | 3.2538 | 1.8467 | 0.0042 | 0.9632 |
| 1/80 | 8.7216 | 1.9055 | 0.0021 | 0.9924 | 8.7426 | 1.9048 | 0.0021 | 0.98151 |
| FVM (13) | FVM [21] | FVM (13) | FVM [21] | |||||
| Max-Error | Order | Max-Error | Order | Max-Error | Order | Max-Error | Order | |
| 1/20 | 7.6965 | – | 0.0107 | – | 7.7013 | – | 0.0108 | – |
| 1/40 | 1.8748 | 2.0375 | 0.0054 | 0.9927 | 1.8793 | 2.0349 | 0.0055 | 0.9712 |
| 1/80 | 4.6073 | 2.0248 | 0.0025 | 1.0953 | 4.6437 | 2.0169 | 0.0026 | 1.0572 |
| 1/160 | 1.2930 | 1.8332 | 0.0010 | 1.2789 | 1.1261 | 2.0440 | 0.0012 | 1.1926 |
| 10,000 | ||||||||
|---|---|---|---|---|---|---|---|---|
| FVM (13) | FVM [21] | FVM (13) | FVM [21] | |||||
| Max-Error | Order | Max-Error | Order | Max-Error | Order | Max-Error | Order | |
| 1/10 | 0.0026 | – | 0.0124 | – | 0.0026 | – | 0.0124 | – |
| 1/20 | 7.2459 | 1.8364 | 0.0063 | 0.9727 | 7.2459 | 1.83 | 0.0063 | 0.9712 |
| 1/40 | 1.9495 | 1.8941 | 0.0032 | 0.9844 | 1.9495 | 1.8967 | 0.0032 | 0.9832 |
| 1/80 | 5.4858 | 1.8293 | 0.0016 | 0.9963 | 5.1496 | 1.9425 | 0.0016 | 0.99151 |
| FVM (13) | FVM [21] | FVM (13) | FVM [21] | |||||
| Max-Error | Order | Max-Error | Order | Max-Error | Order | Max-Error | Order | |
| 1/20 | 4.4384 | – | 0.0041 | – | 4.4409 | – | 0.0041 | – |
| 1/40 | 1.0556 | 2.071 | 0.0021 | 0.9804 | 1.0587 | 2.0349 | 0.0021 | 0.9661 |
| 1/80 | 2.5854 | 2.0296 | 0.0011 | 0.8661 | 2.6148 | 2.0169 | 0.0011 | 0.9692 |
| 1/160 | 7.4417 | 1.7967 | 7.8286 | 0.6811 | 6.2359 | 2.0440 | 6.4136 | 0.7443 |
Publisher’s Note: MDPI stays neutral with regard to jurisdictional claims in published maps and institutional affiliations. |
© 2020 by the authors. Licensee MDPI, Basel, Switzerland. This article is an open access article distributed under the terms and conditions of the Creative Commons Attribution (CC BY) license (http://creativecommons.org/licenses/by/4.0/).
Share and Cite
Hussain, A.; Zheng, Z.; Anley, E.F. Numerical Analysis of Convection–Diffusion Using a Modified Upwind Approach in the Finite Volume Method. Mathematics 2020, 8, 1869. https://doi.org/10.3390/math8111869
Hussain A, Zheng Z, Anley EF. Numerical Analysis of Convection–Diffusion Using a Modified Upwind Approach in the Finite Volume Method. Mathematics. 2020; 8(11):1869. https://doi.org/10.3390/math8111869
Chicago/Turabian StyleHussain, Arafat, Zhoushun Zheng, and Eyaya Fekadie Anley. 2020. "Numerical Analysis of Convection–Diffusion Using a Modified Upwind Approach in the Finite Volume Method" Mathematics 8, no. 11: 1869. https://doi.org/10.3390/math8111869
APA StyleHussain, A., Zheng, Z., & Anley, E. F. (2020). Numerical Analysis of Convection–Diffusion Using a Modified Upwind Approach in the Finite Volume Method. Mathematics, 8(11), 1869. https://doi.org/10.3390/math8111869

