Efficient k-Step Linear Block Methods to Solve Second Order Initial Value Problems Directly
Abstract
1. Introduction
2. Detailed Analysis of 2-Step Block Methods
2.1. Two-Step Block Methods for :
2.2. Two-Step Block Methods for :
3. Analysis of -Step Block Methods
3.1. k-Step Block Methods for :
3.2.k-Step Block Methods for :
4. Characteristics of the Methods
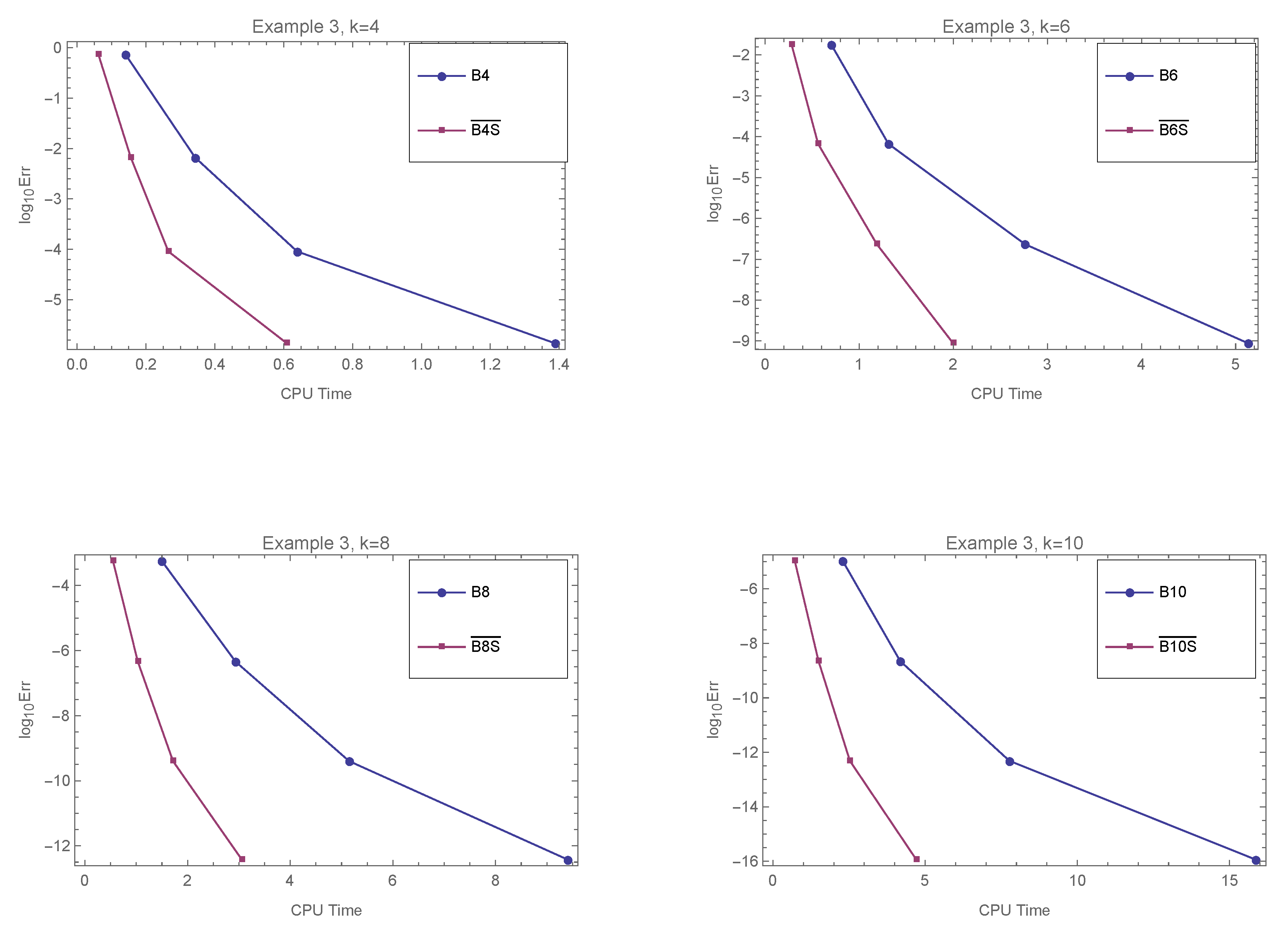
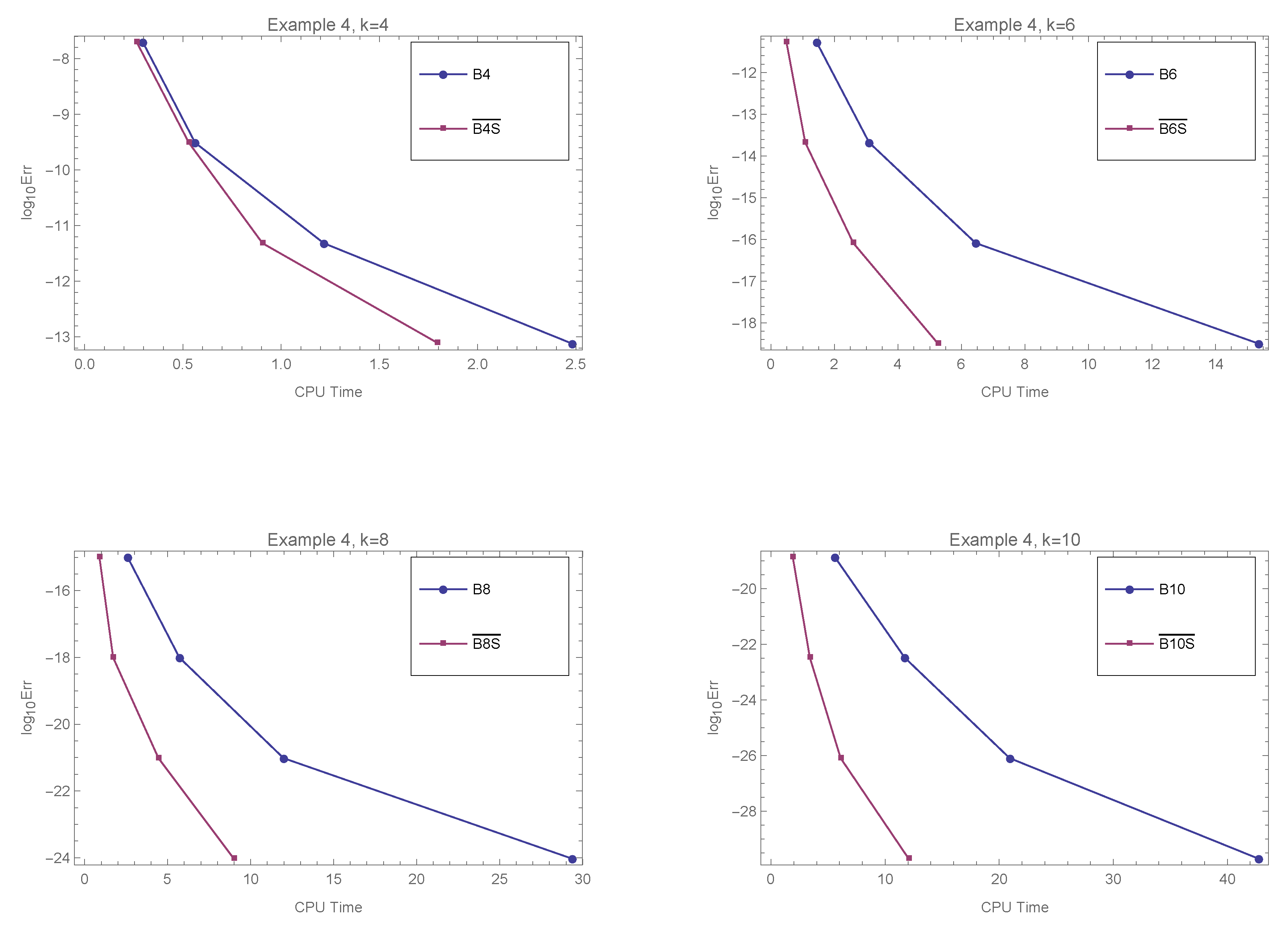
5. Numerical Experiments
6. Conclusions
Author Contributions
Funding
Conflicts of Interest
Appendix A
| Algorithm 1: Algorithm to get the Formulas of the Proposed k-Step Block Methods. |
![]() |
References
- Ramos, H.; Singh, G.; Kanwar, V.; Bhatia, S. An efficient variable step-size rational Falkner-type method for solving the special second-order IVP. Appl. Math. Comput. 2016, 291, 39–51. [Google Scholar] [CrossRef]
- Ramos, H.; Rufai, M.A. Third derivative modification of k-step block Falkner methods for the numerical solution of second order initial-value problems. Appl. Math. Comput. 2018, 333, 231–245. [Google Scholar] [CrossRef]
- Ramos, H.; Rufai, M.A. A third-derivative two-step block Falkner-type method for solving general second-order boundary-value systems. Math. Comput. Simul. 2019, 165, 139–155. [Google Scholar] [CrossRef]
- Singh, G.; Ramos, H. An optimized two-step hybrid block method formulated in variable step-size mode for integrating y′′=f(x,y,y′) numerically. Numer. Math. Theor. Meth. Appl. 2019, 12, 640–660. [Google Scholar]
- Milne, W.E. Numerical Solution of Differential Equations; John Wiley & Sons: New York, NY, USA, 1953. [Google Scholar]
- Chu, M.T.; Hamilton, H. Parallel Solution of ODE’s by Multi-Block Methods. SIAM J. Sci. Stat. Comput. 1987, 8, 342–353. [Google Scholar] [CrossRef]
- Fatunla, S.O. Block methods for second order odes. Int. J. Comput. Math. 1991, 41, 55–63. [Google Scholar] [CrossRef]
- Ibrahim, Z.B. Block Multistep Methods for Solving Ordinary Differential Equations. Ph.D. Thesis, Universiti Putra Malysia, Seri Kembangan, Malaysia, 2006. [Google Scholar]
- Shampine, L.F.; Watts, H.A. Block implicit one-step methods. Math. Comp. 1969, 23, 731–740. [Google Scholar] [CrossRef]
- Brugnano, L.; Trigiante, D. Solving Differential Problems by Multistep Initial and Boundary Value Methods; Gordon and Breach Science Publishers: Amsterdam, The Netherlands, 1998. [Google Scholar]
- Ramos, H.; Popescu, P. How many k-step linear block methods exist and which of them is the most efficient and simplest one? Appl. Math. Comput. 2018, 316, 296–309. [Google Scholar] [CrossRef]
- Adesanya, A.O.; Anake, T.A.; Bishop, S.A.; Osilagun, J.A. Two steps block method for the solution of general second order initial value problems of ordinary differential equation. J. Natural Sci. Eng. Technol. 2009, 8, 25–33. [Google Scholar]
- Adebile, E.A.; Anake, T.A.; Adesanya, A.O.; Ogbonyon, G. Numerov’s method for the solution of second order initial value problems of ordinary differential equation using modified block method. Niger. J. Educ. 2011, 9, 45–53. [Google Scholar]
- Majid, Z.A.; Mokhtar, N.Z.; Suleiman, M. Direct Two-Point Block One-Step Method for Solving General Second-Order Ordinary Differential Equations. Math. Probl. Eng. 2012, 9, 45–53. [Google Scholar] [CrossRef]
- Awoyemi, D.O.; Adebile, E.A.; Adesanya, A.O.; Anake, T.A. Modified block method for the direct solution of second order ordinary differential equations. Int. J. Appl. Math. Comput. 2011, 3, 181–188. [Google Scholar]
- Adesanya, A.O.; Odekunle, M.R.; Alkali, M.A. Three Steps Block Predictor-Block Corrector Method For The Solution Of General Second Order Ordinary Differential Equations. Int. J. Eng. Res. Appl. 2012, 2, 2297–2301. [Google Scholar]
- Adeyefa, E.O.; Joseph, F.L.; Ogwumu, O.D. Three-step implicit block method for second order ODEs. Int. J. Eng. Sci. Invent. 2014, 3, 34–38. [Google Scholar]
- Mukhtar, N.Z.; Majid, Z.A.; Ismail, F.; Suleiman, M. Solutions of general second order odes using direct block method of Runge-Kutta type. J. Qua. Meas. Anal. 2011, 7, 145–154. [Google Scholar]
- Adesanya, A.O.; Anake, T.A.; Oghoyon, G.J. Continuous implicit method for tbe solution of general second order ordinary differential equations. J. Niger. Assoc. Math. Phys. 2009, 15, 71–78. [Google Scholar]
- Yahaya, Y.A.; Tijjani, A.A. Formulation of corrector methods from 3-step hybrid Adams type methods for the solution of first order ordinary differential equation. In Proceedings of the 32nd The IIER International Conference, Dubai, UAE, 8 August 2015. [Google Scholar]
- Jator, S.N.; Li, J. A self-starting linear multistep method for a direct solution of the general second-order initial value problem. Int. J. Comput. Math. 2009, 86, 827–836. [Google Scholar] [CrossRef]
- Osilagun, J.A.; Adesanya, A.; Anake, T.A.; Oghoyon, G.J. Four steps implicit method for the solution of general second order ordinary differential equations. J. Natural Sci. Eng. Technol. 2009, 8, 52–61. [Google Scholar]
- Yahaya, Y.A.; Adegboye, Z.A. Construction and Implementation of a 4-Step Implicit Collocation Method for Solution of First and Second Order ODEs. Pac. J. Sci. Technol. 2012, 13, 159–165. [Google Scholar]
- Badmus, A.M.; Yahaya, Y. An Accurate Uniform Order 6 Block Method for Direct Solution of General Second Order Ordinary Differential Equations. Pac. J. Sci. Technol. 2009, 10, 248–254. [Google Scholar]
- Jator, S.N. A sixth order linear multistep method for the direct solution of y′′=f(x,y,y′). Int. J. Pure Appl. Math. 2007, 10, 457–472. [Google Scholar]
- Kuboye, J.O.; Omar, Z. Multistep Collocation Block Method for Direct Solution of Second Order Ordinary Differential Equations. Am. J. Appl. Sci. 2015, 12, 663–668. [Google Scholar] [CrossRef][Green Version]
- Omar, Z.; Kuboye, J.O. A New Implicit Block Method for Solving Second Order Ordinary Differential Equations Directly. Gazi Univ. J. Sci. 2015, 28, 689–694. [Google Scholar]
- Awari, Y.S. Derivation and Application of Six-Point Linear Multistep Numerical Method for Solution of Second Order Initial Value Problems. IOSR J. Math. 2013, 7, 23–29. [Google Scholar]
- Jator, S.N.; Lee, L. Implementing a seventh-order linear multistep method in a predictor-corrector mode or block mode: Which is more efficient for the general second order initial value problem. SpringerPlus 2014, 3. [Google Scholar] [CrossRef] [PubMed]
- Kuboye, J.O.; Omar, Z. Derivation of a six-step block method for direct solution of second order ordinary differential equations. Math. Comput. Appl. 2015, 20, 151–159. [Google Scholar]
- Mohammed, U.; Jiya, M.; Mohammed, A.A. A Class of Six Step Block Method for Solution of General Second Order Ordinary Differential Equations. Pac. J. Sci. Technol. 2010, 11, 273–277. [Google Scholar]
- Awari, Y.S.; Abada, A.A. A Class of Seven Point Zero Stable Continuous Block Method for Solution of Second Order Ordinary Differential Equation. Int. J. Math. Stat. Invent. 2014, 2, 47–54. [Google Scholar]
- Awari, Y.S. On the Derivation of High Order Formulae with Interpolants for Solution of Eight-Point Second Order Ordinary Differential Equations. IOSR J. Math. 2013, 7, 30–37. [Google Scholar]
- Kuboye, J.O.; Omar, Z. Developing New Block Method for Direct Solution of Second-Order Ordinary Differential Equations. In Proceedings of the International Conference on Computing, Mathematics and Statistics, Langkawi Island, Malaysia, 4–5 November 2015. [Google Scholar]
- Ramos, H.; Kalogiratou, Z.; Monovasilis, T.; Simos, T.E. An optimized two-step hybrid block method for solving general second order initial-value problems. Numer. Algor. 2016, 4, 1089–1102. [Google Scholar] [CrossRef]
- Majid, Z.A.; Suleiman, M.; Ismail, F.; Othman, M. 2-Point Implicit Block One-Step Method Half Gauss-Seidel For Solving First Order Ordinary Differential Equations. Matematika 2003, 19, 91–100. [Google Scholar]
- Okechukwu, U.C. Reformulation of Adams-Moulton Block Methods as a Sub-Class of Two Step Runge-Kutta Method. J. Basic Appl. Sci. 2014, 10, 20–27. [Google Scholar] [CrossRef][Green Version]
- Hongjiong, T.; Bailin, C. Block methods for linear Hamiltonian systems. J. Shanghai Normal Univ. 2014, 43, 9–21. [Google Scholar]
- Majid, Z.A.; Suleiman, M.B.; Omar, Z. 3-Point Implicit Block Method for Solving Ordinary Differential Equations. J. Basic Appl. Sci. 2006, 29, 23–31. [Google Scholar]
- Akinfenwa, O.A.; Yao, N.M.; Jator, S.N. A Self Starting Block Adams Methods for solving stiff Ordinary Differential Equation. In Proceedings of the 14th International Conference on Computational Science and Engineering, Dalian, China, 24–26 August 2011. [Google Scholar] [CrossRef]
- Odekunle, M.R.; Adesanya, A.O.; Sunday, J. A New Block Integrator for the Solution of Initial Value Problems of First-Order Ordinary Differential Equations. Int. J. Pure Appl. Sci. Technol. 2012, 11, 92–100. [Google Scholar]
- Sunday, J.; Skwame, Y.; Odekunle, M.R. A Continuous Block Integrator for the Solution of Stiff and Oscillatory Differential Equations. IOSR J. Math. 2013, 8, 75–80. [Google Scholar]
- Akinfenwa, O.A.; Jator, S.N.; Yao, N.M. Continuous block backward differentiation formula for solving stiff ordinary differential equations. Comput. Math. Appl. 2013, 65, 996–1005. [Google Scholar] [CrossRef]
- Ramos, H.; Mehta, S.; Vigo-Aguiar, J. A unified approach for the development of k-step block Falkner-type methods for solving general second-order initial-value problems in ODEs. J. Comp. Appl. Math. 2017, 318, 550–564. [Google Scholar] [CrossRef]
- Liu, K.; Wu, X. Multidimensional ARKN methods for general oscillatory second-order initial value problems. Comput. Phys. Commun. 2014, 185, 1999–2007. [Google Scholar] [CrossRef]
- Ramos, H.; Lorenzo, C. Review of explicit Falkner methods and its modifications for solving special second-order I.V.P.s. Comput. Phys. Commun. 2010, 181, 1833–1841. [Google Scholar] [CrossRef]
- Hussain, K.; Ismail, F.; Senu, N. Runge-kutta type methods for directly solving special fourth-order ordinary differential equations. Math. Probl. Eng. 2015. [Google Scholar] [CrossRef]






© 2020 by the authors. Licensee MDPI, Basel, Switzerland. This article is an open access article distributed under the terms and conditions of the Creative Commons Attribution (CC BY) license (http://creativecommons.org/licenses/by/4.0/).
Share and Cite
Ramos, H.; Jator, S.N.; Modebei, M.I. Efficient k-Step Linear Block Methods to Solve Second Order Initial Value Problems Directly. Mathematics 2020, 8, 1752. https://doi.org/10.3390/math8101752
Ramos H, Jator SN, Modebei MI. Efficient k-Step Linear Block Methods to Solve Second Order Initial Value Problems Directly. Mathematics. 2020; 8(10):1752. https://doi.org/10.3390/math8101752
Chicago/Turabian StyleRamos, Higinio, Samuel N. Jator, and Mark I. Modebei. 2020. "Efficient k-Step Linear Block Methods to Solve Second Order Initial Value Problems Directly" Mathematics 8, no. 10: 1752. https://doi.org/10.3390/math8101752
APA StyleRamos, H., Jator, S. N., & Modebei, M. I. (2020). Efficient k-Step Linear Block Methods to Solve Second Order Initial Value Problems Directly. Mathematics, 8(10), 1752. https://doi.org/10.3390/math8101752


