MHD Flow of Nanofluid with Homogeneous-Heterogeneous Reactions in a Porous Medium under the Influence of Second-Order Velocity Slip
Abstract
1. Introduction
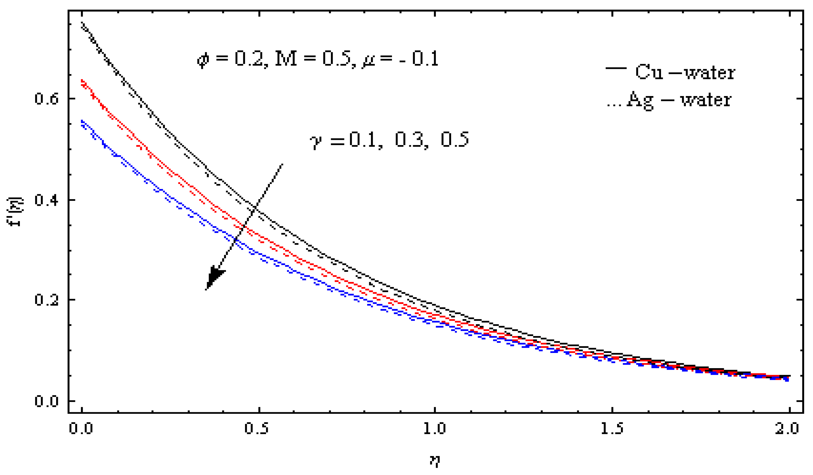
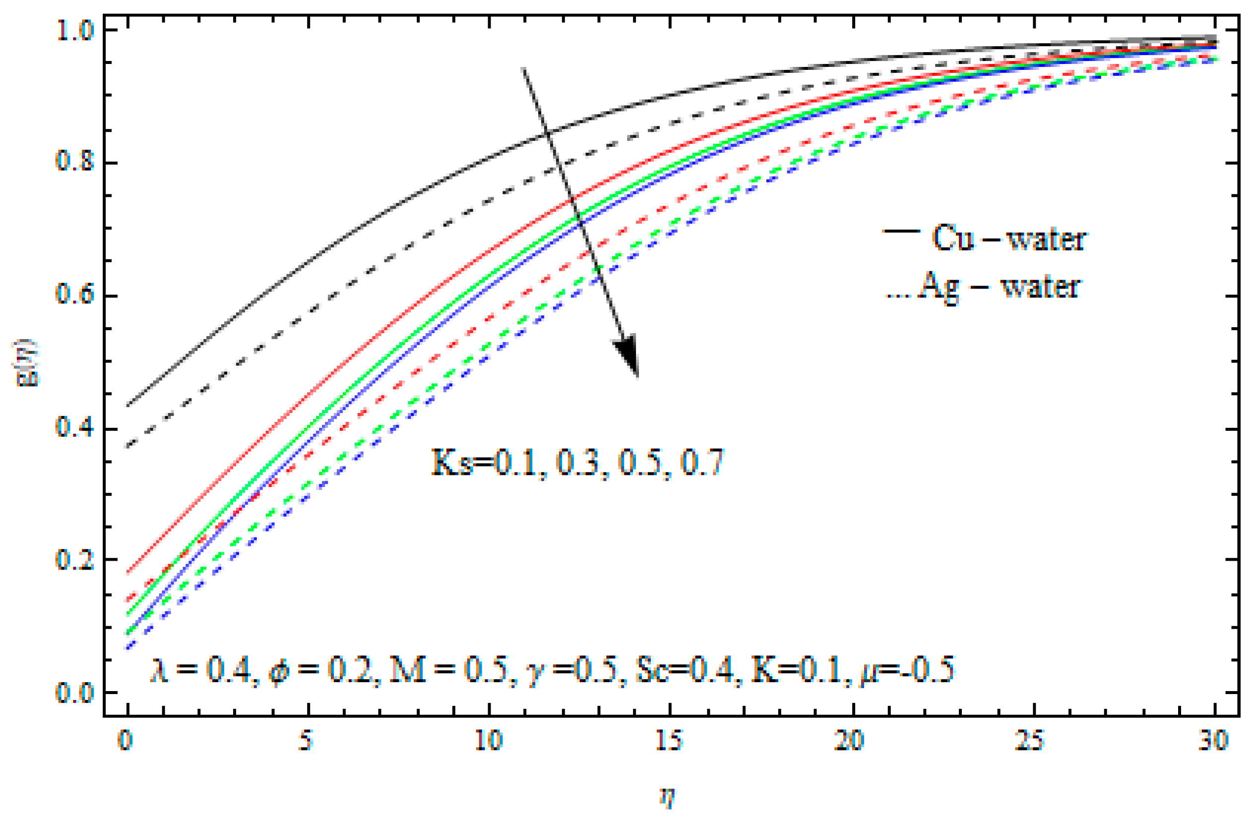
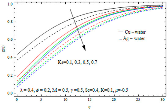
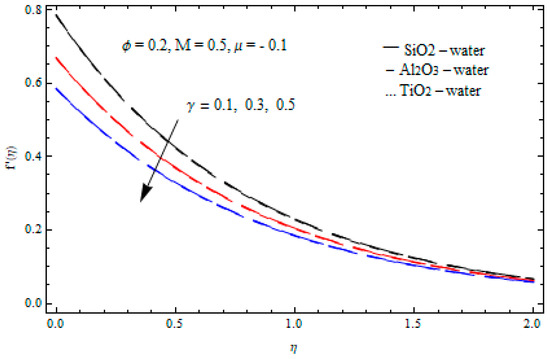
2. Methodology
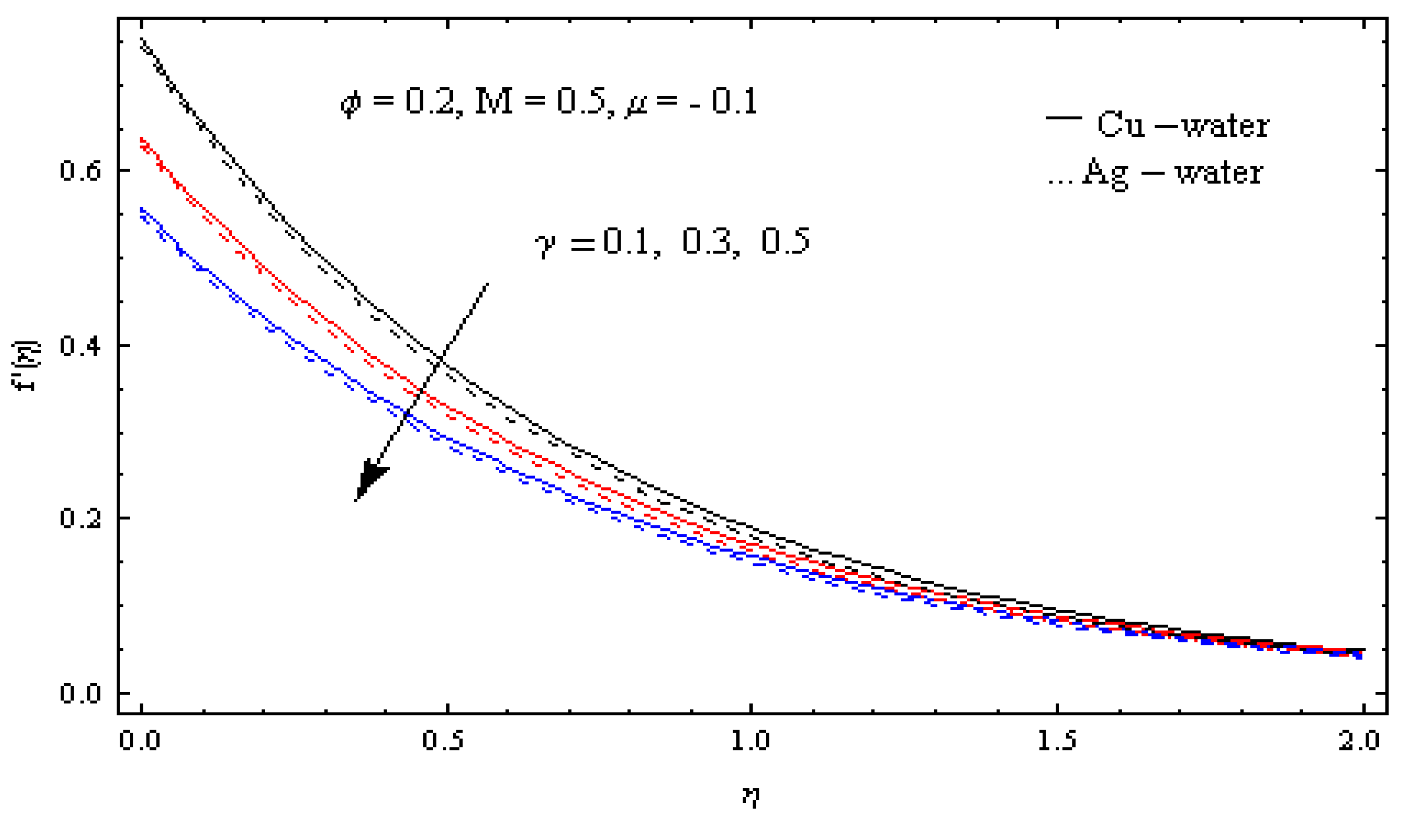
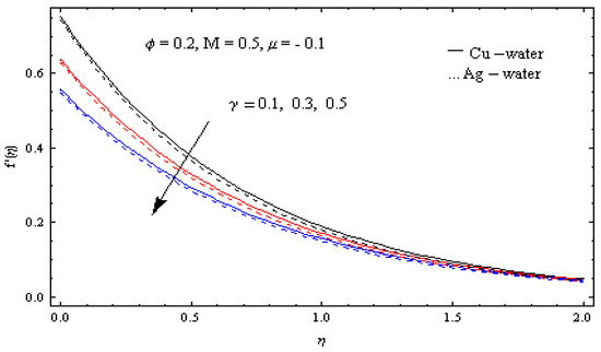
3. Discussion
4. Conclusions
Author Contributions
Funding
Conflicts of Interest
References
- Choi, S.U.S. Enhancing thermal conductivity of fluids with nanoparticles. In Developments and Applications of Non-Newtonian Flows; Siginer, D.A., Wang, H.P., Eds.; ASME: New York, NY, USA, 1995; Volume 66, pp. 99–105. [Google Scholar]
- Eastman, J.A.; Choi, S.U.S.; Li, S.; Yu, W.; Thompson, L.J. Anomalously increased effective thermal conductivity of ethylene glycol-based nanofluids containing copper nanoparticles. Appl. Phys. Lett. 2001, 78, 718–720. [Google Scholar] [CrossRef]
- Choi, S.U.S.; Zhang, Z.G.; Yu, W.; Lockwoow, F.E.; Grulke, E.A. Anomalous thermal conductivities enhancement on nanotube suspension. Appl. Phys. Lett. 2001, 79, 2252–2254. [Google Scholar] [CrossRef]
- Aly, E.H.; Ebaid, A. Exact analytical solution for suction and injection flow with thermal enhancement of five nanofluids over an isothermal stretching sheet with effect of the slip model: A comparative study. Abstr. Appl. Anal. 2013, 2013, 721578. [Google Scholar] [CrossRef]
- Majumder, M.; Chopra, N.; Andrews, R.; Hinds, B.J. Nanoscale hydrodynamics: Enhanced flow in carbon nanotubes. Nature 2005, 438, 44–46. [Google Scholar] [CrossRef] [PubMed]
- Noghrehabadi, A.; Pourrajab, R.; Ghalambaz, M. Effect of partial slip boundary condition on the flow and heat transfer of nanofluids past stretching sheet prescribed constant wall temperature. Int. J. Sci. 2012, 54, 253–261. [Google Scholar] [CrossRef]
- Gad-el-Hak, M. The fluid mechanics of macrodevices-the Freeman scholar lecture. J. Fluids Eng. 1999, 121, 5–33. [Google Scholar] [CrossRef]
- Van Gorder, R.A.; Sweet, E.; Vajravelu, K. Nano boundary layers over stretching surfaces. Commun. Nonlinear Sci. Numer. Simulat. 2010, 15, 1494–1500. [Google Scholar] [CrossRef]
- Sharma, R.; Ishak, A. Second order slip flow of Cu-waternanofluid over a stretching sheet with heat transfer. Wseas Trans. Fluid Mech. 2014, 9, 26–33. [Google Scholar]
- Merkin, J.H. A model for isothermal homogeneous-heterogeneous reactions in boundary layer flow. Math. Comput. Model. 1996, 24, 125–136. [Google Scholar] [CrossRef]
- Chaudhary, M.A.; Merkin, J.H. A simple isothermal model for homogeneous-heterogeneous reactions in boundary layer flow: I. Equal diffusivities. Fluid Dyn. Res. 1995, 16, 311–333. [Google Scholar] [CrossRef]
- Bachok, N.; Ishak, A.; Pop, I. On the stagnation-point flow towards a stretching sheet with homogeneous-heterogeneous reactions effects. Commun. Nonlinear Sci. Numer. Simul. 2011, 16, 4296–4302. [Google Scholar] [CrossRef]
- Khan, W.A.; Pop, I. Effects of homogeneous-heterogeneous reactions on the viscoelastic fluid towards a stretching sheet. J. Heat Transf. 2012, 134, 1–5. [Google Scholar] [CrossRef]
- Kameswaran, P.K.; Shaw, S.; Sibanda, P.; Murthy, P.V.S.N. Homogeneous-heterogeneous reactions in a nanofluid flow due to porous stretching sheet. Int. J. Heat Mass Transf. 2013, 57, 465–472. [Google Scholar] [CrossRef]
- Rashidi, M.M.; Kavyani, M.; Abelman, S. Investigation of entropy generation in MHD and slip flow over a rotating porous disk with variable properties. Int. J. Heat Mass Transf. 2014, 70, 892–917. [Google Scholar] [CrossRef]
- Mahmoud, M.A.A.; Waheed, S.E. MHD flow and heat transfer of a micropolar fluid over a stretching surface with heat generation (absorption) and slip velocity. J. Egypt. Math. Soc. 2012, 20, 20–27. [Google Scholar] [CrossRef]
- Ibrahim, W.; Shankar, B. MHD boundary layer flow and heat transfer of a nanofluid past a permeable stretching sheet with velocity, thermal and solutal slip boundary conditions. Comput. Fluids 2013, 75, 1–10. [Google Scholar] [CrossRef]
- Rooholghdos, S.A.; Roohi, E. Extension of a second order velocity slip/temperature jump boundary condition to simulate high speed micro/nanoflows. Comput. Math. Appl. 2014, 67, 2029–2040. [Google Scholar] [CrossRef]
- Malvandi, A.; Ganji, D.D. Brownian motion and thermophoresis effects on slip flow of alumina/water nanofluid inside a circular microchannel in the presence of a magnetic field. Int. J. Therm. Sci. 2014, 84, 196–206. [Google Scholar] [CrossRef]
- Hayat, T.; Imtiaz, M.; Alsaedi, A. MHD flow of nanofluid with homogeneous-heterogeneous reactions and velocity slip. Therm. Sci. 2017, in press. [Google Scholar] [CrossRef]
- Hsiao, K.-L. To Promote Radiation Electrical MHD Activation Energy Thermal Extrusion Manufacturing System Efficiency by Using Carreau-Nanofluid with Parameters Control Method. Energy 2017, 130, 486–499. [Google Scholar] [CrossRef]
- Hsiao, K.-L. Combined Electrical MHD Heat Transfer Thermal Extrusion System Using Maxwell Fluid with Radiative and Viscous Dissipation Effects. Appl. Therm. Eng. 2016. [Google Scholar] [CrossRef]
- Hsiao, K.-L. Micropolar Nanofluid Flow with MHD and Viscous Dissipation Effects towards a Stretching Sheet with Multimedia Feature. Int. J. Heat Mass Transf. 2017, 112, 983–990. [Google Scholar] [CrossRef]
- Hsiao, K.-L. Stagnation Electrical MHD Nanofluid Mixed Convection with Slip Boundary on a Stretching Sheet. Appl. Therm. Eng. 2016, 98, 850–861. [Google Scholar] [CrossRef]
- Ebaid, A.; al Mutairi, F.; Khaled, S.M. Effect of velocity slip boundary condition on the flow and heat transfer of Cu-Water and TiO2-Water Nanofluids in the Presence of a Magnetic Field. Adv. Math. Phys. 2014, 2014, 538950. [Google Scholar] [CrossRef]
- Ebaid, A.; al Sharif, M.A. Application of Laplace Transform for the Exact Effect of a Magnetic Field on Heat Transfer of Carbon Nanotubes-Suspended Nanofluids. Z. Für Nat. A 2015, 70, 471–475. [Google Scholar] [CrossRef]











| (J/kg·K) | (kg/m3) | K (W/m·K) | |
|---|---|---|---|
| Pure Water | 4179 | 4179 | 0.613 |
| Copper (Cu) | 385 | 8933 | 401 |
| Silver (Ag) | 235 | 10500 | 429 |
| Alumina (Al2O3) | 765 | 3970 | 40 |
| Titanium Oxide(TiO2) | 686.2 | 4250 | 8.9538 |
| Silicon Dioxide (SiO2) | 765 | 3970 | 36 |
| Cu | Ag | |||||
|---|---|---|---|---|---|---|
| HAM [20] | Exact (Present) | HAM [20] | Exact (Present) | |||
| 0.05 | 0.5 | 1.0 | 1.278 | 1.23278 | 1.284 | 1.23843 |
| 0.1 | 1.465 | 1.41390 | 1.475 | 1.42485 | ||
| 0.2 | 1.955 | 1.88407 | 1.973 | 1.90636 | ||
| 0.2 | 0.1 | 1.897 | 1.81545 | 1.917 | 1.84209 | |
| 0.3 | 1.928 | 1.85097 | 1.945 | 1.87529 | ||
| 0.7 | 1.981 | 1.91500 | 1.996 | 1.93552 | ||
| 0.5 | 0.1 | 4.542 | 4.31610 | 4.672 | 4.45659 | |
| 0.5 | 2.827 | 2.70491 | 2.865 | 2.75469 | ||
| 0.9 | 2.079 | 2.00347 | 2.098 | 2.02905 | ||
| Cu | Ag | ||||
|---|---|---|---|---|---|
| 0.01 | 0.5 | 1.0 | −0.5 | 0.83677 | 0.83698 |
| 0.03 | 0.85850 | 0.85891 | |||
| 0.05 | 0.92832 | 0.92930 | |||
| 0.02 | 0.1 | 0.83658 | 0.83755 | ||
| 0.3 | 0.84949 | 0.85013 | |||
| 0.7 | 0.86457 | 0.86483 | |||
| 0.5 | 0.1 | 1.37395 | 1.37485 | ||
| 0.5 | 1.08412 | 1.08475 | |||
| 0.9 | 0.89573 | 0.89618 | |||
| 1.0 | −0.1 | 1.06481 | 1.06653 | ||
| −0.5 | 0.85850 | 0.85891 | |||
| −0.9 | 0.72553 | 0.72545 |
© 2019 by the authors. Licensee MDPI, Basel, Switzerland. This article is an open access article distributed under the terms and conditions of the Creative Commons Attribution (CC BY) license (http://creativecommons.org/licenses/by/4.0/).
Share and Cite
Almutairi, F.; Khaled, S.M.; Ebaid, A. MHD Flow of Nanofluid with Homogeneous-Heterogeneous Reactions in a Porous Medium under the Influence of Second-Order Velocity Slip. Mathematics 2019, 7, 220. https://doi.org/10.3390/math7030220
Almutairi F, Khaled SM, Ebaid A. MHD Flow of Nanofluid with Homogeneous-Heterogeneous Reactions in a Porous Medium under the Influence of Second-Order Velocity Slip. Mathematics. 2019; 7(3):220. https://doi.org/10.3390/math7030220
Chicago/Turabian StyleAlmutairi, Fahd, S.M. Khaled, and Abdelhalim Ebaid. 2019. "MHD Flow of Nanofluid with Homogeneous-Heterogeneous Reactions in a Porous Medium under the Influence of Second-Order Velocity Slip" Mathematics 7, no. 3: 220. https://doi.org/10.3390/math7030220
APA StyleAlmutairi, F., Khaled, S. M., & Ebaid, A. (2019). MHD Flow of Nanofluid with Homogeneous-Heterogeneous Reactions in a Porous Medium under the Influence of Second-Order Velocity Slip. Mathematics, 7(3), 220. https://doi.org/10.3390/math7030220
