Next Article in Journal
Morphogenesis of the Zeta Function in the Critical Strip by Computational Approach
Previous Article in Journal
Resistance Distance in H-Join of Graphs G1,G2,,Gk
 
 
Font Type:
Arial Georgia Verdana
Font Size:
Aa Aa Aa
Line Spacing:
Column Width:
Background:
Article

New Refinements and Improvements of Jordan’s Inequality

1
School of Computer Science and Technology, Henan Polytechnic University, Jiaozuo 454000, China
2
School of Mathematic and Information Science, Henan Polytechnic University, Jiaozuo 454000, China
*
Author to whom correspondence should be addressed.
Mathematics 2018, 6(12), 284; https://doi.org/10.3390/math6120284
Submission received: 8 November 2018 / Revised: 20 November 2018 / Accepted: 21 November 2018 / Published: 26 November 2018

Abstract

:
The polynomial bounds of Jordan’s inequality, especially the cubic and quartic polynomial bounds, have been studied and improved in a lot of the literature; however, the linear and quadratic polynomial bounds can not be improved very much. In this paper, new refinements and improvements of Jordan’s inequality are given. We present new lower bounds and upper bounds for strengthened Jordan’s inequality using polynomials of degrees 1 and 2. Our bounds are tighter than the previous results of polynomials of degrees 1 and 2. More importantly, we give new improvements of Jordan’s inequality using polynomials of degree 5, which can achieve much tighter bounds than those previous methods.

1. Introduction

The following inequality
2 π s i n c ( x ) = sin x x < 1 , x ( 0 , 2 / π ] ,
with equality holds if and only if x = π / 2 , is the famous Jordan’s inequality [1]. s i n c ( x ) is also called the “sampling function” that arises frequently in signal processing and the theory of Fourier transforms. The Jordan’s inequality plays an important role in many areas of pure and applied mathematics. Many improvements and refinements of Jordan’s inequality were presented in the recent period [2,3,4,5,6,7]. There are some sharp lower and upper bounds for the s i n c ( x ) function by using polynomial degrees from 1 to 4.
Zhang et al. [8] gave that
2 π + π 2 π 2 ( π 2 x ) sin x x 2 π + 2 π 2 ( π 2 x ) , x ( 0 , 2 / π ] .
Qi et al. [9] proved that
2 π + 1 π 3 ( π 2 4 x 2 ) sin x x 2 π + π 2 π 3 ( π 2 4 x 2 ) , x ( 0 , 2 / π ] .
Deng [10] presented
2 π + 2 3 π 4 ( π 3 8 x 3 ) sin x x 2 π + π 2 π 4 ( π 3 8 x 3 ) , x ( 0 , 2 / π ] ,
and Jiang et al. [11], similarly, gave the result
2 π + 1 2 π 5 ( π 4 16 x 4 ) sin x x 2 π + π 2 π 5 ( π 4 16 x 4 ) , x ( 0 , 2 / π ] .
Equalities in Labels (2)–(5) are valid if and only if x = π / 2 . As x 0 + , the equalities on the right-hand sides of (3)–(5) are valid, but strict inequalities on the left-hand sides of (3)–(5) and two sides of (2) persist. Debnath et al. [12] gave the improvements of (3) and (5)
g 4 , D 1 l ( x ) sin x x g 4 , D 1 u ( x ) , x ( 0 , 2 / π ]
and
g 4 , D 2 l ( x ) sin x x g 4 , D 2 u ( x ) , x ( 0 , 2 / π ] ,
where g 4 , D 1 l ( x ) = 2 π + 1 π 3 ( π 2 4 x 2 ) + ( 1 3 π ) ( 1 6 4 π 3 ) x 2 ,   g 4 , D 1 u ( x ) = 2 π + 1 π 3 ( π 2 4 x 2 ) + ( 1 3 π ) ( 1 6 4 π 3 ) x 2 + 1 120 x 4 ,   g 4 , D 2 l ( x ) = 2 π + 1 2 π 5 ( π 4 16 x 4 ) + ( 1 5 2 π ) 1 6 x 2 ,   g 4 , D 2 u ( x ) = 2 π + π 2 2 π 5 ( π 4 16 x 4 ) + ( 1 5 2 π ) 1 6 x 2 + ( 8 π 5 + 1 120 ) x 4 .
As x 0 , equalities on two sides of (6) and (7) are valid; however, as x π 2 , the lower and upper limits of (6) and (7) are different from that of s i n c ( x ) . The problem of strict inequalities of (6) and (7) still exists.
In order to ensure that the equality of Jorand’s inequality is valid near zero and π / 2 , Agarwal et al. [13] and Chen et al. [14] gave new lower and upper bounds by using polynomials of degree of 3 and 4,
g 3 , A l ( x ) sin x x g 3 , A u ( x ) , x ( 0 , 2 / π ] ,
g 3 , C l ( x ) sin x x g 3 , C u ( x ) , x ( 0 , 2 / π ] ,
g 4 , C l ( x ) sin x x g 4 , C u ( x ) , x ( 0 , 2 / π ) ,
where g 3 , A l ( x ) = 1 + 4 ( 66 43 π + 7 π 2 ) π 2 x 4 ( 124 83 π + 14 π 2 ) π 3 x 2 4 ( 12 4 π ) π 4 x 3 ,   g 3 , A u ( x ) = 1 + 4 ( 75 49 π + 8 π 2 ) π 2 x 4 ( 142 95 π + 16 π 2 ) π 3 x 2 4 ( 12 4 π ) π 4 x 3 ,   g 3 , C l ( x ) = 1 4 ( 3 π 8 ) π 3 x 2 + 16 ( π 3 ) π 4 x 3 ,   g 3 , C u ( x ) = 1 2 ( 5 π 2 16 2 + 2 2 π ) π 2 x + 8 ( 4 π 4 16 2 + 3 2 π ) π 3 x 2 32 ( π 2 4 2 + 2 π ) π 4 x 3 ,   g 4 , C l ( x ) = 1 4 ( 48 2 2 + 17 π + 4 2 π ) π 3 x 2 + 32 ( 28 2 2 + 9 π + 3 2 π ) π 4 x 3 64 ( 16 2 2 + 5 π + 2 2 π ) π 5 x 4 ,   g 4 , C u ( x ) = 1 4 ( 8 2 7 + 3 π + 2 2 π ) π 2 x + 4 ( 32 2 68 + 13 π + 16 2 π ) π 3 x 2 32 ( 4 2 26 + 3 π + 5 2 π ) π 4 x 3 + 64 ( 12 + π + 2 2 π ) π 5 x 4 .
Zeng and Wu [15] gave the polynomial bounds of degree m ( m 2 ) for sinc(x)
2 π + 2 m π m + 1 ( π m 2 m x m ) sin x x 2 π + π 2 π m + 1 ( π m 2 m x m ) , x ( 0 , 2 / π ] .
Putting m = 2 , 3 , 4 in (11) results in (3), (4) and (5), respectively.
The cubic and quartic polynomial lower and upper bounds of s i n c ( x ) have been improved in a lot of literature; however, the linear and quadratic polynomial lower and upper bounds can not be improved very well. To give new tighter linear and quadratic polynomial bounds is the first aim of the paper. The second aim is to further refine and generalize the Jordan’s inequality.
The paper gives improvements of the polynomial bounds of degrees 1 and 2. More importantly, we present new improvements of Jordan’s inequality using polynomials of degree 5, which can achieve much tighter bounds than those previous methods.

2. Results

In this section, we will give some results about the n-th-order derivative and two-sides bounds of s i n c ( x ) . Firstly, we present a Lemma that is very useful for our proof [16].
Lemma 1.
Let w 0 , w 1 , , w r be r + 1 distinct points in [ a , b ] , and n 0 , n 1 , n r be r + 1 integers ≥ 0. Let N = n 0 + + n r + r . Suppose that g ( t ) is a polynomial of degree N such that
g ( i ) ( w j ) = f ( i ) ( w j ) , i = 0 , , n j , j = 0 , , r .
Then, there exists ξ ( t ) [ a , b ] such that
f ( t ) g ( t ) = f ( N + 1 ) ( ξ ( x ) ) ( N + 1 ) ! i = 0 r ( t w i ) n i + 1 .
Next, we give Theorems of n-th-order derivative and two sides bounds of s i n c ( x ) using polynomials of degrees 1 and 2.
Theorem 1.
For x ( 0 , π / 2 ] , we have
s i n c ( n ) ( x ) = f n ( x ) x n + 1 ,
where f n ( x ) = x f n 1 ( x ) n f n 1 ( x ) , f n ( x ) = x n sin ( x + n π 2 ) , f 1 ( x ) = sin ( x ) + x cos ( x ) , and s i n c ( n ( x ) denotes the n-th-order derivative of s i n c ( x ) .
Proof. 
For the definition of s i n c ( x ) , we have
s i n c ( x ) = sin ( x ) + x cos ( x ) x 2 ;
then, f 1 ( x ) = sin ( x ) + x cos ( x ) , f 1 ( x ) = x sin ( x ) .
Let s i n c ( m ) ( x ) = f m ( x ) x m + 1 = x f m 1 ( x ) m f m 1 ( x ) x m + 1 , f m ( x ) = x m sin ( x + m π 2 ) ; then, as n = m + 1 ,
s i n c ( m + 1 ) ( x ) = d d x s i n c ( m ) ( x ) = d d x f m ( x ) x m + 1 = x f m ( x ) ( m + 1 ) f m ( x ) x m + 2 = f m + 1 ( x ) x m + 2 ,
f m + 1 ( x ) = x f m ( x ) m f m ( x ) = x ( m + 1 ) sin ( x + ( m + 1 ) π 2 ) .
The proof of Theorem 1 is completed. □
Theorem 2.
For x ( 0 , π / 2 ] ,
1 + 4 2 π π 2 x sin x x 8 2 2 π 2 π + 2 2 8 2 π 2 x .
Proof. 
Let b = π / 2 , c = π / 4 , e 1 , l ( x ) = s i n c ( x ) 1 4 2 π π 2 x , and e 1 , u ( x ) = s i n c ( x ) 8 2 2 π 2 π + 2 2 8 2 π 2 x , for x ( 0 , π / 2 ] , we have
e 1 , l ( 0 ) = e l , 1 ( b ) = 0 , e 1 , u ( c ) = e 1 , u ( c ) = 0 .
By Lemma 1 and Theorem 1, e 1 , l ( x ) = e u , 1 ( x ) = s i n c ( x ) 0 , and there exists ξ j ( x ) [ 0 , π / 2 ] , j = 1 , 2 , such that
e 1 , l ( x ) = e l , 1 ( ξ 1 ( x ) ) x ( x b ) 0 , e 1 , u ( x ) = e 1 , u ( ξ 2 ( x ) ) ( x c ) 2 0 .
The proof is finished. □
Theorem 3.
For x ( 0 , π / 2 ] ,
g 2 l ( x ) sin x x g 2 u ( x ) ,
where g 2 l ( x ) = 1 + 12 4 π π 2 x + 4 π 16 π 3 x 2 ,   g 2 u = 1 + 8 4 π π 3 x 2 .
Proof. 
Let b = π / 2 ,   e 2 , l ( x ) = s i n c ( x ) g 2 l ( x ) ,
e 2 , l ( 0 ) = e 2 , l ( b ) = e 2 , l ( b ) = 0 , e 2 , u ( 0 ) = e 2 , u ( b ) = e 2 , u ( 0 ) = 0 .
By Lemma 1 and Theorem 1, e 1 , l ( 3 ) ( x ) = e u , 1 ( 3 ) ( x ) = s i n c ( 3 ) ( x ) 0 , and there exists ξ j ( x ) [ 0 , π / 2 ] ,   j = 3 , 4 , such that
e 2 , l ( x ) = e 2 , l ( 3 ) ( ξ ( x ) ) x ( x b ) 2 0 , e 2 , u ( x ) = e 2 , u ( 3 ) ( ξ ( x ) ) x 2 ( x b ) 0 .
The proof is finished. □
Theorems 2 and 3 give new bounds of s i n c ( x ) using polynomials of degrees 1 and 2. Figure 1 and Figure 2 give the error between sinc(x) and the polynomial bounds from degree 1 to 2. Both figures show that our bounds are tighter than the previous results. The same conclusion can also be shown in Table 1. E r r o r l o w and E r r o r u p p denote the maximum errors between s i n c ( x ) and the lower and upper bounds, respectively. It is obvious that the maximum errors are less than or equal to those of previous methods using polynomials of degrees 1 and 2.
Theorem 4.
For x ( 0 , π / 2 ] ,
g 5 l ( x ) sin x x g 5 u ( x ) ,
where g 5 l ( x ) = 1 + 32 2048 2 + 2187 3 ( 113 + 128 2 ) π 2 π 2 x + 448 + 26624 2 27702 3 + ( 1255 + 1536 2 ) π 2 π 3 x 2 + 1168 62464 2 + 64152 3 ( 2825 + 3392 2 ) π π 4 x 3 + 2688 + 125952 2 128304 3 + ( 5664 + 6528 2 ) π π 5 x 4 + 2304 92160 2 + 93312 3 ( 4176 + 4608 2 ) π π 6 x 5 , g 5 u ( x ) = 1 + 64 + 256 2 ( 92 + 32 2 ) π π 3 x 2 + 624 1536 2 + ( 528 + 256 2 ) π π 4 x 3 + 1920 + 3072 2 ( 1088 + 640 2 ) π π 5 x 4 + 1792 2048 2 + ( 768 + 512 2 ) π π 6 x 5 .
Proof. 
Let b = π 2 ,   c = π 4 ,   d = π 3 , e 5 , l ( x ) = s i n c ( x ) g 5 l ( x ) ,   e 5 , u ( x ) = s i n c ( x ) g 5 u ( x ) . It is obvious that for x ( 0 , π / 2 ] , e 5 , l ( 6 ) ( x ) = e 5 , u ( 6 ) ( x ) = s i n c ( 6 ) ( x ) . □
By Theorem 1 and Lemma 1, we have s i n c ( 6 ) ( x ) 0 and there exists ε ( 0 , π / 2 ] such that
e 5 , l ( 0 ) = e 5 , l ( b ) = e 5 , l ( c ) = e 5 , l ( d ) = e 5 , l ( c ) = e 5 , l ( d ) = 0 ,
e 5 , l ( x ) = e 5 , l ( 6 ) ( ε ) x ( x b ) ( x c ) 2 ( x d ) 2 0 ,
e 5 , u ( 0 ) = e 5 , u ( b ) = e 5 , u ( c ) = e 5 , l ( 0 ) = e 5 , l ( b ) = e 5 , l ( c ) = 0 ,
e 5 , u ( x ) = e 5 , u ( 6 ) ( η ) x 2 ( x b ) 2 ( x c ) 2 0 ,
which means that g 5 l ( x ) sin x x g 5 u ( x ) . The theorem is proved.
Theorem 4 gives new two-sided bounds of s i n c ( x ) using polynomials of degree 5. The conclusion that Equation (14) achieves much tighter bounds than those of previous methods is easy to be verified. Figure 3 gives the errors between s i n c ( x ) and polynomial bounds of degree 3 and 5. However, the results of Equations (8), (9) and (14) are close in Figure 3; in particular, we give the errors between sinc(x) and the polynomial bounds of Equations (8), (9) and (14) in Figure 4. Figure 4 shows that Equations (8) and (9) have similar errors and the error of Equation (14) is obviously smaller than that of Equations (8) and (9).
Figure 5 gives the errors between s i n c ( x ) and the polynomial bounds of degrees 4 and 5. For the same reason, we also give the errors between sinc(x) and the polynomial bounds of Equations (10) and (14) in Figure 6.
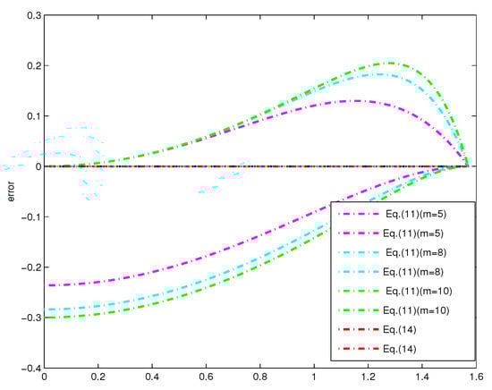
Figure 7 gives a comparison between Equations (14) and (11); here, we set m = 5 , 8 , 10 in Equation (11), where m is the degree of the polynomial. Our results are obviously better than that of Zeng [15]; meanwhile, we find that the error is even greater with the increase of m’s value of Equation (11). Maximum errors of different methods are presented in Table 1. Although Equation (11) gives the polynomial bounds of degree m for sinc(x), the error of Equation (11) is relatively large. The maximum errors of Equation (10) is close to the results of Equation (14); however, it is still very obvious that the maximum error of Equation (14) is the smallest.

3. Conclusions

In this paper, we gave new refinements and improvements of Jordan’s inequality. Firstly, the new polynomial bounds of degrees 1 and 2 were given. The results show that our bounds are tighter than the previous results of polynomials of degrees 1 and 2. Meanwhile, we presented new improvements of Jordan’s inequality using polynomials of degree 5, which can achieve much tighter bounds than those previous methods.
Much work still remains. The polynomial bounds of degree 5 were given in this paper, and the polynomial bounds of higher degree are needed for tighter bounds. However, it will require more complicated calculations. Furthermore, it is still an important problem to find tighter polynomial bounds of lower degrees.

Author Contributions

All authors contributed equally in writing this article. All authors read and approved the final manuscript.

Funding

The work is partially supported by the National Natural Science Foundation of China (No. 11701152, 11161038).

Acknowledgments

We thank the editor and referees for their careful reading and valuable suggestions to make the article reader-friendly.

Conflicts of Interest

The authors declare no conflicts of interest.

References

  1. Mitrinović, D.S. Analytic Inequalities; Springer: New York, NY, USA, 1970. [Google Scholar]
  2. Wu, S.; Debnath, L. A new generalized and sharp version of Jordan’S inequality and its applications to the improvement of the Yang Le inequality. Appl. Math. Lett. 2006, 19, 1378–1384. [Google Scholar] [CrossRef]
  3. Zhu, L. Sharpening of Jordan’s inequalities and its applications. Math. Inequal. Appl. 2006, 9, 103. [Google Scholar] [CrossRef]
  4. Kuo, M.K. Refinements of Jordan’s inequality. J. Inequal. Appl. 2011, 2011, 1–6. [Google Scholar] [CrossRef]
  5. Chen, C.P.; Debnath, L. Sharpness and generalization of Jordan’s inequality and its application. Appl. Math. Lett. 2012, 12, 594–599. [Google Scholar] [CrossRef]
  6. Nishizawa, Y. Sharpening of Jordan’s type and Shafer-Fink’s type inequalities with exponential approximations. Appl. Math. Comput. 2015, 269, 146–154. [Google Scholar] [CrossRef]
  7. Alzer, H.; Kwong, M.K. Sharp upper and lower bounds for a sine polynomial. Appl. Math. Comput. 2016, 275, 81–85. [Google Scholar] [CrossRef]
  8. Zhang, X.; Wang, G.; Chu, Y. Extensions and sharpenings of Jordan’s and Kober’s inequalities. J. Inequal. Pure Appl. Math. 2006, 7, 98–101. [Google Scholar]
  9. Qi, F.; Niu, D.W.; Guo, B.N. Refinements, Generalizations, and Applications of Jordan’s Inequality and Related Problems. J. Inequal. Appl. 2009, 2009, 1–52. [Google Scholar] [CrossRef]
  10. Deng, K. The noted Jordan’s inequality and its extensions. J. Xiangtan Mining Inst. 1995, 60–63. [Google Scholar]
  11. Jiang, W.D.; Yun, H. Sharpening of Jordan’s inequality and its applications. J. Inequal. Pure Appl. Math. 2006, 7, 1–8. [Google Scholar]
  12. Debnath, L.; Mortici, C.; Zhu, L. Refinements of Jordan–Stečkin and Becker–Stark Inequalities. Results Math. 2015, 67, 207–215. [Google Scholar] [CrossRef]
  13. Agarwal, R.P.; Kim, Y.H.; Sen, S.K. A new refined Jordan’s inequality and its application. Math. Inequal. Appl. 2009, 12, 255–264. [Google Scholar] [CrossRef]
  14. Chen, X.D.; Shi, J.; Wang, Y.; Xiang, P. A New Method for Sharpening the Bounds of Several Special Functions. Results Math. 2017, 72, 695–702. [Google Scholar] [CrossRef]
  15. Zeng, S.P.; Wu, Y.S. Some new inequalities of Joran type for sine. Sci. World J. 2013, 2013, 1–5. [Google Scholar]
  16. Davis, P. Interpolation and Approximation; Dover Publications: New York, NY, USA, 1975. [Google Scholar]
Figure 1. Error plots between sinc(x) and the bounds of Equations (2) and (12).
Figure 1. Error plots between sinc(x) and the bounds of Equations (2) and (12).
Mathematics 06 00284 g001
Figure 2. Error plots between sinc(x) and the bounds of Equations (3) and (13).
Figure 2. Error plots between sinc(x) and the bounds of Equations (3) and (13).
Mathematics 06 00284 g002
Figure 3. Error plots between sinc(x) and the polynomial bounds of degrees 3 and 5.
Figure 3. Error plots between sinc(x) and the polynomial bounds of degrees 3 and 5.
Mathematics 06 00284 g003
Figure 4. Error plots between sinc(x) and the polynomial bounds of Equations (8), (9) and (14).
Figure 4. Error plots between sinc(x) and the polynomial bounds of Equations (8), (9) and (14).
Mathematics 06 00284 g004
Figure 5. Error plots between sinc(x) and the polynomial bounds of degrees 4 and 5.
Figure 5. Error plots between sinc(x) and the polynomial bounds of degrees 4 and 5.
Mathematics 06 00284 g005
Figure 6. Error plots between sinc(x) and the polynomial bounds of Equations (10) and (14).
Figure 6. Error plots between sinc(x) and the polynomial bounds of Equations (10) and (14).
Mathematics 06 00284 g006
Figure 7. Error plots between sinc(x) and the polynomial bounds of Equations (11) and (14).
Figure 7. Error plots between sinc(x) and the polynomial bounds of Equations (11) and (14).
Mathematics 06 00284 g007
Table 1. Maximum errors from different methods.
Table 1. Maximum errors from different methods.
MethodError
ErrorlowErrorupp
Linear polynomial (Equation (2))0.082395526167910.27319901792837
Linear polynomial (Equation (12))0.082395526167910.09343987891909
Quadratic polynomial (Equation (3))0.045070341072020.01161202091677
Quadratic polynomial (Equation (13))0.015412347617550.01161202091677
Cubic polynomial (Equation (4))0.151173635176610.06535850279048
Cubic polynomial (Equation (8))0.002631533450900.00098638493116
Cubic polynomial (Equation (9))0.180041725096210.00065651979512
Quartic polynomial (Equation (5))0.204225282873860.10245473620764
Quartic polynomial (Equation (6))0.047770955404970.00287304555420
Quartic polynomial (Equation (7))0.206643875475180.20422528454052
Quartic polynomial (Equation (10))0.000104917614620.00011278132149
Quintic Polynomial (Equation (11) m = 5)0.2360562714922360.129868221438454
Quintic Polynomial (Equation (14))0.000010599896220.00000545628343
Octic Polynomial (Equation (11) m = 8)0.2838027544198040.182471527648186
Decic Polynomial (Equation (11) m = 10)0.2997182487289940.204647143136328

Share and Cite

MDPI and ACS Style

Zhang, L.; Ma, X. New Refinements and Improvements of Jordan’s Inequality. Mathematics 2018, 6, 284. https://doi.org/10.3390/math6120284

AMA Style

Zhang L, Ma X. New Refinements and Improvements of Jordan’s Inequality. Mathematics. 2018; 6(12):284. https://doi.org/10.3390/math6120284

Chicago/Turabian Style

Zhang, Lina, and Xuesi Ma. 2018. "New Refinements and Improvements of Jordan’s Inequality" Mathematics 6, no. 12: 284. https://doi.org/10.3390/math6120284

APA Style

Zhang, L., & Ma, X. (2018). New Refinements and Improvements of Jordan’s Inequality. Mathematics, 6(12), 284. https://doi.org/10.3390/math6120284

Note that from the first issue of 2016, this journal uses article numbers instead of page numbers. See further details here.

Article Metrics

Back to TopTop