High-Speed Image Compression–Encryption Scheme Based on a New Chaotic Map and Improved Lifting Wavelet Transform
Abstract
1. Introduction
- (1)
- A new one-dimensional chaotic system model with a larger chaotic interval and stronger complexity has been designed.
- (2)
- A novel image compression algorithm based on the improved lifting wavelet transform is proposed.
- (3)
- A fast image encryption algorithm based on the new chaotic map is proposed.
- (4)
- A series of complexity criteria have demonstrated the complex chaotic characteristics of the new chaotic map, and the security of the proposed image compression–encryption scheme and the effectiveness of image reconstruction have been verified through extensive experiments and security analysis.
2. The New 1D Chaotic Map
2.1. Boundedness Analysis
- (1)
- If xn = 0 or xn = 1, then f(xn) = 0. If 0 < xn < 1, then f(xn) > 0. This fact indicates that the function f(xn) has a lower bound of f(xn) > 0 in the domain of xn ∈ (0, 1).
- (2)
- Since ≤ , we can deduce that f(xn) ≤ b/(axn + b) < b/b = 1 for axn > 0. This indicates that the function f(xn) has an upper bound of f(xn) < 1 when xn ∈ (0, 1).
2.2. Fixed Point and Its Stability Analysis
2.3. The Diagram of Bifurcation and Lyapunov Exponent
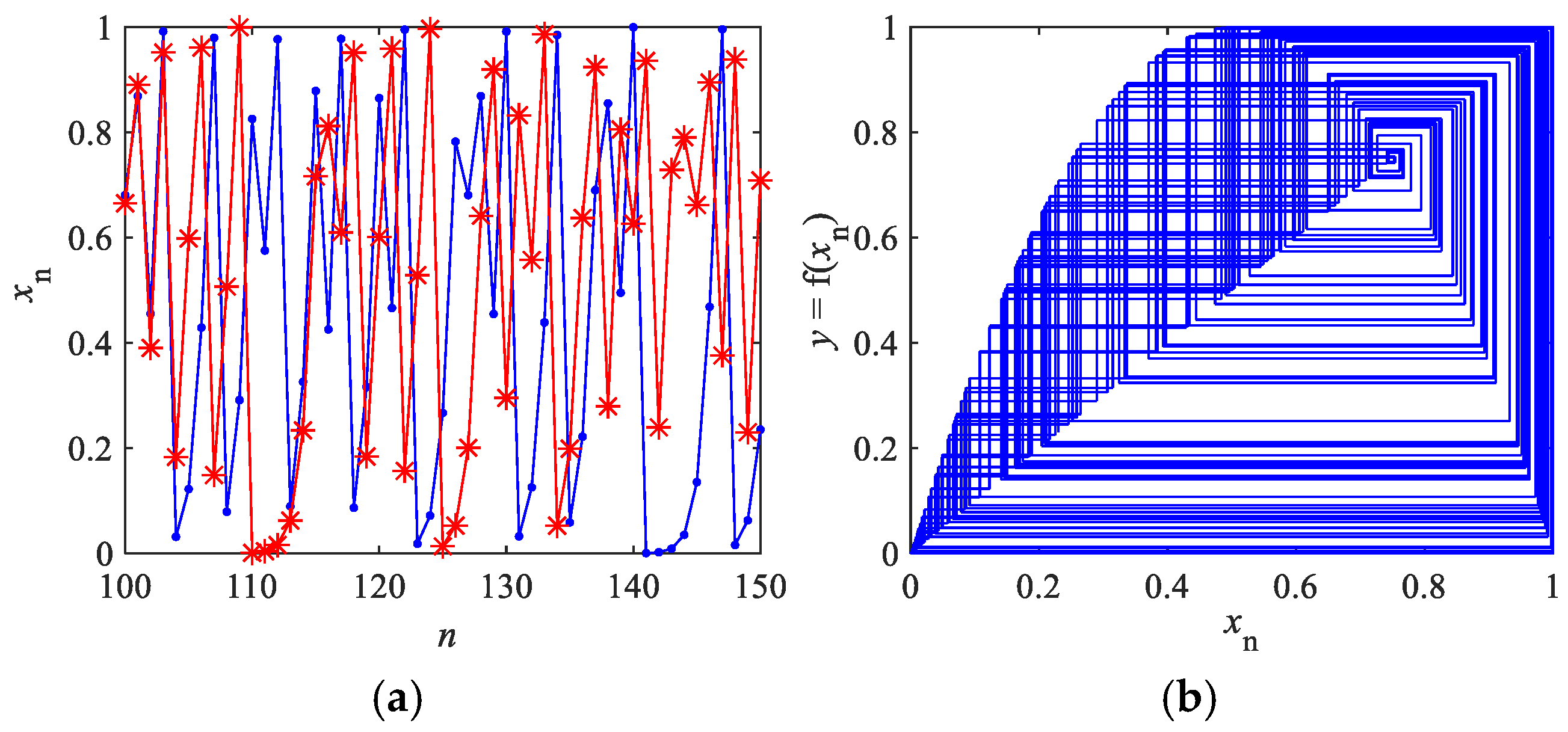
2.4. The Time Series Diagram and Cobweb Graph
2.5. Correlation Function Analysis
2.6. Approximate Entropy Analysis
2.7. Correlation Dimension Analysis
3. The Proposed Image Compression–Encryption Scheme
3.1. 1D Improved Lifting Wavelet Transform and Its Inverse Transformation
3.2. The Overall Framework of Image Compression and Encryption Scheme
3.3. Generation of Chaotic Secret Key Streams
3.4. Image Compression Scheme Based on Improved Lifting Wavelet Transform
| Algorithm 1: The proposed image compression algorithm. |
| Input: The original image A. |
| Output: The compressed image B. |
|
|
3.5. The High-Speed Image Encryption Scheme
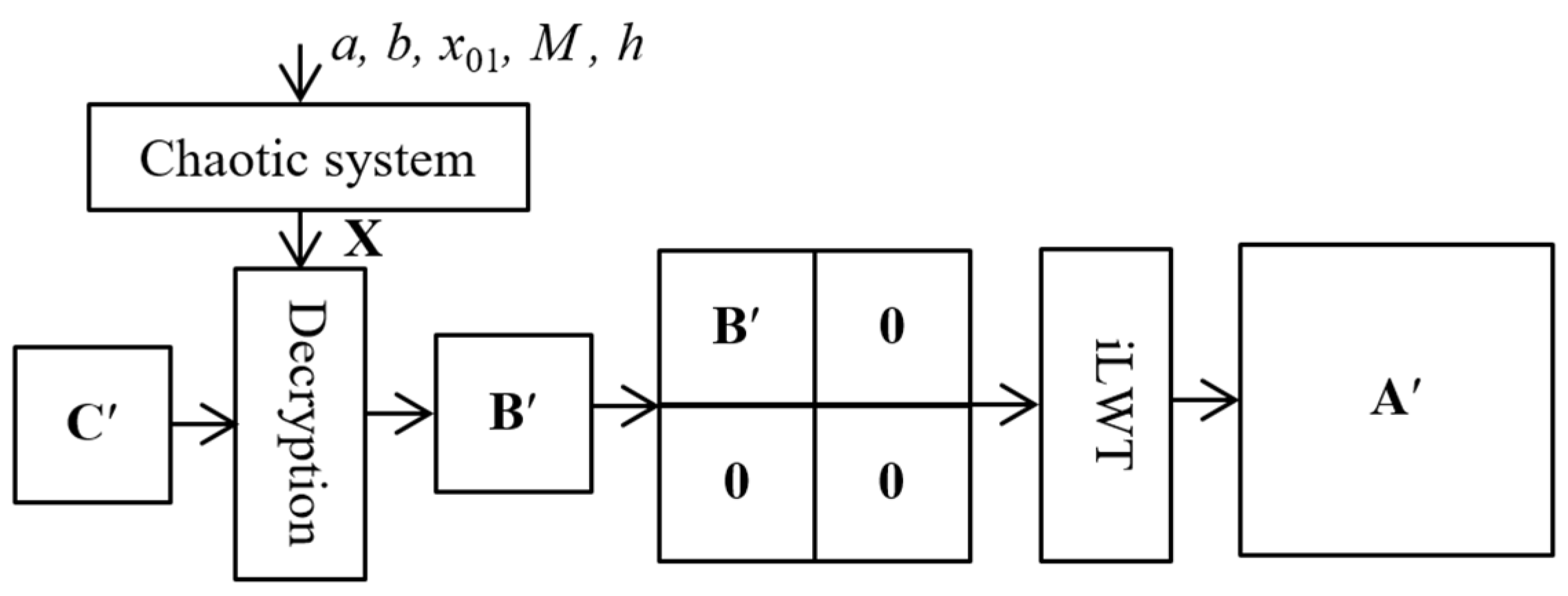
4. The Proposed Image Decryption and Reconstruction Scheme
4.1. The High-Speed Image Decryption Scheme
4.2. The Image Reconstruction Scheme
| Algorithm 2: The image reconstruction algorithm. |
| Input: The compressed image B’. |
| Output: The reconstructed original image A’. |
|
|
|
5. Experimental Results and Security Analysis
5.1. Image Compression and Reconstruction Performance Analysis
5.1.1. Subjective Visual Quality of Reconstructed Images
5.1.2. Structural Similarity and Peak Signal-to-Noise Ratio Analysis
5.2. Image Encryption Performance Analysis
5.2.1. Key Space Analysis
5.2.2. Histogram Analysis
5.2.3. Correlation Analysis
5.2.4. Information Entropy Analysis
5.2.5. Sensitivity Analysis
5.2.6. Robustness Analysis
5.2.7. Time Complexity Analysis
6. Conclusions
Author Contributions
Funding
Data Availability Statement
Conflicts of Interest
References
- Darwish, S.M.; Noori, Z.H. Secure image compression approach based on fusion of 3D chaotic maps and arithmetic coding. IET Signal Process. 2019, 13, 286–295. [Google Scholar] [CrossRef]
- Alghamdi, Y.; Munir, A. Image Encryption Algorithms: A Survey of Design and Evaluation Metrics. J. Cybersecur. Priv. 2024, 4, 126–152. [Google Scholar] [CrossRef]
- Zang, H.; Tai, M.; Wei, X. Image Encryption Schemes Based on a Class of Uniformly Distributed Chaotic Systems. Mathematics 2022, 10, 1027. [Google Scholar] [CrossRef]
- Malik, D.S.; Shah, T. Color multiple image encryption scheme based on 3D-chaotic maps. Math. Comput. Simul. 2020, 178, 646–666. [Google Scholar] [CrossRef]
- Öztürk, İ.; Kılıç, R. Utilizing true periodic orbits in chaos-based cryptography. Nonlinear Dyn. 2021, 103, 2805–2818. [Google Scholar] [CrossRef]
- Zhu, S.; Wang, G.; Zhu, C. A Secure and Fast Image Encryption Scheme based on Double Chaotic S-Boxes. Entropy 2019, 21, 790. [Google Scholar] [CrossRef]
- Tutueva, A.V.; Nepomuceno, E.G.; Karimov, A.I.; Andreev, V.S.; Butusov, D.N. Adaptive chaotic maps and their application to pseudo-random numbers generation. Chaos Solitons Fractals 2020, 133, 109615. [Google Scholar] [CrossRef]
- Dey, D.; Bhunia, P.; Jana, D.K.; Diyasi, S.; Maity, S. Lightweight Hybrid Chaotic Image Encryption with Spiral Shuffling and S-Box Diffusion. Secur. Priv. 2025, 8, e70123. [Google Scholar] [CrossRef]
- Xie, X.; Zhang, K.; Zheng, B.; Ning, H.; Zhou, Y.; Peng, Q.; Li, Z. A CML-ECA Chaotic Image Encryption System Based on Multi-Source Perturbation Mechanism and Dynamic DNA Encoding. Symmetry 2025, 17, 1042. [Google Scholar] [CrossRef]
- Duan, Y.; Li, T.Y.; Liang, S.J.; Wang, X.C.; Zhang, D.Z. Hyper-chaotic color image encryption based on 3D bit-level permutation and diffusion model. J. Electron. Imaging 2025, 34, 043030. [Google Scholar] [CrossRef]
- Li, W.; Zhou, Y.; Cao, L.; Li, W.; Chai, X. A visual security image encryption algorithm based on 1D-CHCCM and super-resolution reconstruction. Digit. Signal Process. 2026, 174, 105981. [Google Scholar] [CrossRef]
- Demirtaş, M.; Altunkaya, S. A robust encryption algorithm for DICOM image protection using a new chaotic map and O-shaped scanning. Eur. Phys. J. Plus 2025, 140, 797. [Google Scholar] [CrossRef]
- Lu, Y.; Mehmood, A.; Khan, A.N.; Natgunanathan, I.; Shafique, A.; Khan, I.A.; Khan, A.U.R. Enhanced lightweight and compromised-resilient image encryption for resource constrained environments. PLoS ONE 2025, 20, e0320046. [Google Scholar] [CrossRef]
- Jiang, D.; Liu, L.; Zhu, L.; Wang, X.; Chen, Y.; Rong, X. An efficient meaningful double-image encryption algorithm based on parallel compressive sensing and FRFT embedding. Multimed. Tools Appl. 2023, 82, 27337–27363. [Google Scholar] [CrossRef]
- Hadj Brahim, A.; Ali Pacha, A.; Hadj Said, N. A new image compression-encryption scheme based on compressive sensing & classical AES algorithm. Multimed. Tools Appl. 2023, 82, 42087–42117. [Google Scholar] [CrossRef]
- Qiu, J.; Zhu, S.; Liu, Y.; Luo, X.; Liu, D.; Zhou, H.; Zhu, C.; Qin, Z. An Efficient Image Encryption Scheme Based on DNA Mutations and Compression Sensing. Mathematics 2025, 14, 5. [Google Scholar] [CrossRef]
- Liu, M.; Ning, C.; Zhu, C. A Secure Image Encryption Scheme Based on a New Hyperchaotic System and 2D Compressed Sensing. Entropy 2024, 26, 603. [Google Scholar] [CrossRef]
- Ye, G.; Liu, S.; Xiao, X.; Hunag, X. Image hiding algorithm based on local binary pattern and compressive sensing. Math. Comput. Simul. 2025, 237, 316–334. [Google Scholar] [CrossRef]
- Yao, M.; Deng, H.; Chen, Z.; Zhang, P. Efficient and secure image compression and encryption based on compressive sensing and four-dimensional hyperchaotic system. Inf. Sci. 2025, 719, 122430. [Google Scholar] [CrossRef]
- Li, Y.M.; Jiang, M.J.; Wei, D.Y.; Deng, Y. A Novel Image Encryption Algorithm Based on Compressive Sensing and a Two-Dimensional Linear Canonical Transform. Fractal Fract. 2024, 8, 92. [Google Scholar] [CrossRef]
- Srinivas, R.; Mayur, N. Image Compression and Encryption Based on Integer Wavelet Transform and Hybrid Hyperchaotic System. Int. J. Inf. Secur. Priv. 2022, 16, 21. [Google Scholar] [CrossRef]
- Huang, X.L.; Dong, Y.X.; Ye, G.D.; Shi, Y. Meaningful image encryption algorithm based on compressive sensing and integer wavelet transform. Front. Comput. Sci. 2023, 17, 173804. [Google Scholar] [CrossRef]
- Hazzazi, M.M.; Rehman, M.U.; Shafique, A.; Aljaedi, A.; Bassfar, Z.; Usman, A.B. Enhancing image security via chaotic maps, Fibonacci, Tribonacci transformations, and DWT diffusion: A robust data encryption approach. Sci. Rep. 2024, 14, 12277. [Google Scholar] [CrossRef] [PubMed]
- Qu, G.; Meng, X.; Yin, Y.; Wu, H.; Yang, X.; Peng, X.; He, W. Optical color image encryption based on Hadamard single-pixel imaging and Arnold transformation. Opt. Lasers Eng. 2021, 137, 106392. [Google Scholar] [CrossRef]
- Wang, X.Y.; Sun, H.H.; Gao, H. An image encryption algorithm based on improved baker transformation and chaotic S-box*. Chin. Phys. B 2021, 30, 060507. [Google Scholar] [CrossRef]
- Masood, F.; Driss, M.; Boulila, W.; Ahmad, J.; Rehman, S.U.; Jan, S.U.; Qayyum, A.; Buchanan, W.J. A Lightweight Chaos-Based Medical Image Encryption Scheme Using Random Shuffling and XOR Operations. Wirel. Pers. Commun. 2021, 127, 1405–1432. [Google Scholar] [CrossRef]
- Zhang, G.; Zhao, Y.; Zheng, Y.; Shen, Y.; Huang, J. A Fast Image Encryption Scheme Based on a Four-Dimensional Variable-Parameter Hyperchaotic Map and Cyclic Shift Strategy. Mathematics 2025, 13, 1497. [Google Scholar] [CrossRef]
- Zhang, Y. The fast image encryption algorithm based on lifting scheme and chaos. Inf. Sci. 2020, 520, 177–194. [Google Scholar] [CrossRef]
- Zhang, Y. A new unified image encryption algorithm based on a lifting transformation and chaos. Inf. Sci. 2021, 547, 307–327. [Google Scholar] [CrossRef]
- Sun, K.H.; He, S.B.; He, Y.; Yin, L.Z. Complexity analysis of chaotic pseudo-random sequences based on spectral entropy algorithm. Acta Phys. Sin. 2013, 62, 010501. [Google Scholar] [CrossRef]
- Sun, K.H.; He, S.B.; Yin, L.Z.; Li-Kun, A. Application of FuzzyEn algorithm to the analysis of complexity of chaotic sequence. Acta Phys. Sin. 2012, 61, 130507. [Google Scholar] [CrossRef]
- Hua, Z.; Zhou, B.; Zhou, Y. Sine Chaotification Model for Enhancing Chaos and Its Hardware Implementation. IEEE Trans. Ind. Electron. 2019, 66, 1273–1284. [Google Scholar] [CrossRef]
- Liu, L.; Wang, J. A cluster of 1D quadratic chaotic map and its applications in image encryption. Math. Comput. Simul. 2023, 204, 89–114. [Google Scholar] [CrossRef]
- May, R.M. Simple mathematical models with very complicated dynamics. Nature 1976, 261, 459–467. [Google Scholar] [CrossRef] [PubMed]
- Zhu, H.; Ge, J.; Qi, W.; Zhang, X.; Lu, X. Dynamic analysis and image encryption application of a sinusoidal-polynomial composite chaotic system. Math. Comput. Simul. 2022, 198, 188–210. [Google Scholar] [CrossRef]
- Ma, Y.; Li, C.; Ou, B. Cryptanalysis of an image block encryption algorithm based on chaotic maps. J. Inf. Secur. Appl. 2020, 54, 102566. [Google Scholar] [CrossRef]
- Alvarez, G.; Li, S. Some basic cryptographic requirements for chaos-based cryptosystems. Int. J. Bifurc. Chaos 2006, 16, 2129–2151. [Google Scholar] [CrossRef]
- Zhang, Z.Z.; Tang, J.E.; Ni, H.; Huang, T.T. Image adaptive encryption algorithm using a novel 2D chaotic system. Nonlinear Dyn. 2023, 111, 10629–10652. [Google Scholar] [CrossRef]
- Jiang, X.M.; Jiang, G.Y.; Wang, Q.K.; Shu, D.D. Image encryption algorithm based on 2D-CLICM chaotic system. IET Signal Process. 2023, 17, 2127–2141. [Google Scholar] [CrossRef]
- Zhou, S.; Qiu, Y.Y.; Wang, X.Y.; Zhang, Y.Q. Novel image cryptosystem based on new 2D hyperchaotic map and dynamical chaotic S-box. Nonlinear Dyn. 2023, 111, 9571–9589. [Google Scholar] [CrossRef]
- Ma, X.J.; Wang, C.H. Hyper-chaotic image encryption system based on N+2 ring Joseph algorithm and reversible cellular automata. Multimed. Tools Appl. 2023, 82, 38967–38992. [Google Scholar] [CrossRef]
- Zhu, S.; Deng, X.; Zhang, W.; Zhu, C. Image Encryption Scheme Based on Newly Designed Chaotic Map and Parallel DNA Coding. Mathematics 2023, 11, 231. [Google Scholar] [CrossRef]
- Yan, X.; Wang, X.; Xian, Y. Chaotic image encryption algorithm based on arithmetic sequence scrambling model and DNA encoding operation. Multimed. Tools Appl. 2021, 80, 10949–10983. [Google Scholar] [CrossRef]
- Lu, Q.; Yu, L.; Zhu, C. A New Conservative Hyperchaotic System-Based Image Symmetric Encryption Scheme with DNA Coding. Symmetry 2021, 13, 2317. [Google Scholar] [CrossRef]


















| Images | SSIM | PSNR | ||
|---|---|---|---|---|
| SR = 0.25 | SR = 0.50 | SR = 0.25 | SR = 0.50 | |
| Lena | 0.92911 | 0.94885 | 34.5077 | 36.0921 |
| Baboon | 0.76245 | 0.82671 | 23.8968 | 25.3332 |
| Cameraman | 0.97449 | 0.97924 | 37.2819 | 38.3864 |
| Peppers | 0.90141 | 0.92015 | 32.8744 | 34.7750 |
| Algorithm | Horizontal | Vertical | Diagonal |
|---|---|---|---|
| This work | −0.00051922 | 0.00071788 | −0.0018262 |
| Ref. [17] | −0.00031181 | −0.00037405 | 0.00015204 |
| Ref. [38] | −0.00062 | 0.0022 | −0.0015 |
| Ref. [39] | −0.0006 | 0.0010 | −0.0012 |
| Image Name | This Work | Ref. [16] | Ref. [17] | Ref. [40] | Ref. [41] |
|---|---|---|---|---|---|
| Lena | 7.9993 | 7.9976 | 7.9989 | 7.9977 | 7.9967 |
| Baboon | 7.9992 | 7.9971 | 7.9992 | \ | 7.9992 |
| Peppers | 7.9994 | 7.9978 | 7.9987 | 7.9976 | \ |
| Cameraman | 7.9993 | 7.9983 | 7.9968 | \ | 7.9975 |
| The Proposed Method in This Paper | The Method Proposed in Ref. [16] | ||||
|---|---|---|---|---|---|
| Changes of Key | NPCR (%) | UACI (%) | Changes of Key | NPCR (%) | UACI (%) |
| Δx01 = 10−15 | 99.6490 | 33.4343 | Δx = 10−15 | 99.6112 | 33.4243 |
| Δx02 = 10−15 | 99.6384 | 33.4791 | \ | \ | \ |
| Δa = 10−15 | 99.6124 | 33.6157 | Δa = 10−15 | 99.6087 | 33.4921 |
| Δb = 10−15 | 99.5804 | 33.4658 | Δb = 10−15 | 99.6068 | 33.4213 |
Disclaimer/Publisher’s Note: The statements, opinions and data contained in all publications are solely those of the individual author(s) and contributor(s) and not of MDPI and/or the editor(s). MDPI and/or the editor(s) disclaim responsibility for any injury to people or property resulting from any ideas, methods, instructions or products referred to in the content. |
© 2026 by the authors. Licensee MDPI, Basel, Switzerland. This article is an open access article distributed under the terms and conditions of the Creative Commons Attribution (CC BY) license.
Share and Cite
Lu, Q.; Wan, J.; Yu, L.; Zhu, C. High-Speed Image Compression–Encryption Scheme Based on a New Chaotic Map and Improved Lifting Wavelet Transform. Mathematics 2026, 14, 1114. https://doi.org/10.3390/math14071114
Lu Q, Wan J, Yu L, Zhu C. High-Speed Image Compression–Encryption Scheme Based on a New Chaotic Map and Improved Lifting Wavelet Transform. Mathematics. 2026; 14(7):1114. https://doi.org/10.3390/math14071114
Chicago/Turabian StyleLu, Qing, Jin Wan, Linlan Yu, and Congxu Zhu. 2026. "High-Speed Image Compression–Encryption Scheme Based on a New Chaotic Map and Improved Lifting Wavelet Transform" Mathematics 14, no. 7: 1114. https://doi.org/10.3390/math14071114
APA StyleLu, Q., Wan, J., Yu, L., & Zhu, C. (2026). High-Speed Image Compression–Encryption Scheme Based on a New Chaotic Map and Improved Lifting Wavelet Transform. Mathematics, 14(7), 1114. https://doi.org/10.3390/math14071114
