Next Article in Journal
Optimal Designs for Multi-Group Linear Models with Measurement Errors
Next Article in Special Issue
Reliability Inference and Remaining Useful Life Prediction Based on the Two-Parameter Bathtub-Shaped Lifetime Distribution Under Progressive Type-II Censoring
Previous Article in Journal
On the Equation x = count(d, x) + n and Its Application
Previous Article in Special Issue
A New Multi-Progressive Generalized Type-II Censoring: Theory, Reliability Inference, and Multidisciplinary Applications
 
 
Font Type:
Arial Georgia Verdana
Font Size:
Aa Aa Aa
Line Spacing:
Column Width:
Background:
Article

The Marshall–Olkin Power Half-Logistic Distribution for Reliability Modeling of Degradation Data Under Generalized Hybrid Censoring

1
Department of Mathematics and Statistics, College of Science, King Faisal University, Al-Ahsa 31982, Saudi Arabia
2
Department of Basic Science, Faculty of Engineering, The British University in Egypt, Cairo 11837, Egypt
*
Author to whom correspondence should be addressed.
Mathematics 2026, 14(6), 973; https://doi.org/10.3390/math14060973
Submission received: 28 January 2026 / Revised: 20 February 2026 / Accepted: 9 March 2026 / Published: 13 March 2026
(This article belongs to the Special Issue Reliability Estimation and Mathematical Statistics, 2nd Edition)

Abstract

The prediction of material lifetime is central to nanomaterial engineering and reliability analysis. We propose the Marshall–Olkin Power Half-Logistic (MOPHL) distribution, obtained by applying a Marshall–Olkin transform to the Power Half-Logistic baseline. We derive core properties—including moments, hazard rate characterization, and Rényi entropy—and develop inference under generalized progressive hybrid censoring. Estimation is carried out via maximum likelihood and Bayesian methods using a Metropolis–Hastings sampler. Asymptotic results, Fisher information, and corresponding confidence/credible intervals are provided. A Monte Carlo study assesses bias, the mean squared error, and coverage across censoring scenarios and hazard regimes. In a case study on hydroxylated fullerene degradation, MOPHL outperforms nine competing models in goodness-of-fit and predictive reliability. We also report the mean time to failure and mean residual life to support engineering decision-making. The proposed framework offers a tractable and robust tool for degradation analysis under censored data, with applicability to materials, mechanical components, biomedical devices, and environmental monitoring.

1. Introduction

1.1. The Practical Problem

The development and qualification of new materials, such as polymer nanocomposites, rely heavily on understanding their long-term stability and degradation. For instance, the hydroxylated fullerene S c 3 N @ C 80 ( O H ) 18 shows great promise for applications in nanotechnology and medicine, but its practical deployment requires accurate predictions of its lifespan under stress. Traditional statistical distributions often lack the flexibility to capture the complex, non-monotonic degradation patterns of these advanced materials, leading to inaccurate reliability assessments and potentially costly failures.

1.2. Limitations of Existing Models and Censoring in Practice

Degradation studies with competing risks and complex early-life behavior motivate our approach. Several works have studied degradation analysis from different perspectives. For example, burn-in planning under competing risks illustrates why infant mortality (degradation-threshold) failures must be modeled separately from normal catastrophic modes, thus guiding our treatment of early-life risk [1]. In addition, Nonparametric Wiener processes work with nonlinear drift and stochastic volatility to demonstrate how to capture nonstationary paths and cross-unit heterogeneity-insights in degradation modeling [2]. This leverage is used when mapping parameter regimes to MOPHL hazard shapes. Finally, ref. [3] used Wiener models with logistic measurement errors and Gibbs highlight robust inference under non-Gaussian noise, which we echo via likelihood formulations and uncertainty quantification for our MOPHL framework.
In reliability studies and life-testing experiments, it is often impractical or too time-consuming to observe the complete failure of all test units. This leads to censored data, a common reality in fields from material science to clinical trials. Standard models like the exponential, Weibull, or even the Power Half-Logistic (PHL) distribution [4] may not be sufficiently adaptable to provide a good fit for the complex hazard rate functions (e.g., bathtub-shaped, heavy-tailed) present in such censored data from modern applications.

1.3. The Statistical Solution: Flexible Distributions

To overcome these limitations, statisticians have developed families of distributions that extend classical models by adding parameters to enhance flexibility. The Marshall–Olkin (MO) family [5] is one such prominent framework, known for introducing a shape parameter that can effectively model different hazard rate behaviors and tail weights. The core idea is to create a more adaptable statistical tool that can conform to the data, rather than forcing the data to conform to a rigid model.

1.4. Mathematical and Computational Contributions

This work makes significant contributions to applied mathematical statistics through mathematical developments, computational methods, and applied research. The mathematical developments include the derivation and complete characterization of the MOPHL distribution, the formulation of closed-form moment expressions using polylogarithm functions, an analysis classifying its hazard rate shapes, and derivations for its Rényi entropy, mean residual life, and mean time to failure. Computationally, an efficient method for maximum likelihood estimation (MLE) with convergence analysis is introduced, in addition to a tuned Metropolis–Hastings Markov Chain Monte Carlo (MCMC) implementation.
In application, this work presents the use of advanced statistical modeling for fullerene degradation kinetics, provides a framework for reliability analysis under realistic experimental constraints, and offers guidelines for material testing design. Motivated by practical utility over pure theory, the MOPHL distribution is engineered as a versatile tool for complex, censored life-testing data, proving its value as a practical asset for reliability engineering and material science. To clearly synthesize these interconnected developments, a flowchart is provided in Figure 1, illustrating the pipeline from mathematical derivation and computational implementation to the final applied analysis and experimental design guidelines.
The rest of this work is organized as follows: Section 2 formally introduces the MOPHL model and its key properties. Section 3 details the maximum likelihood and Bayesian estimation methods under a Generalized Progressive Hybrid Censoring Scheme. Section 4 presents a simulation study to validate the estimation techniques. In Section 5, we apply the model to a real-world dataset on nanocomposite decay. Finally, Section 6 discusses the results and conclusions.

2. The MOPHL Distribution: A Tool for Practical Modeling

2.1. Definition and Shape

The MOPHL distribution is derived by applying the Marshall–Olkin transformation to the PHL baseline distribution. The PHL distribution has the following probability density function (pdf) and survival and hazard functions:
f ( y ; θ , γ ) = 2 θ γ e γ y θ y θ 1 ( 1 + e γ y θ ) 2 ,
S ( y ; θ , γ ) = 2 ( 1 + e γ y θ ) ,
and
h ( y ; θ , γ ) = θ γ e γ y θ y θ 1 ( 1 + e γ y θ ) ,
respectively. The PHL has two parameters: γ > 0 for the scale and θ > 0 for the shape, and F ( y ; θ , γ ) = 1 S ( y ; θ , γ ) represents the cumulative distribution function (cdf), where y > 0 .
This synthesis yields a three-parameter distribution with significantly enhanced flexibility. For a random variable X, the survival function, pdf, and hazard rate function of the MOPHL distribution are given respectively by:
G ¯ ( x ; α , θ , γ ) = 2 α 1 2 α ¯ + e γ x θ ,
g ( x ; α , θ , γ ) = 2 α θ γ e γ x θ x θ 1 1 2 α ¯ + e γ x θ 2 ,
r ( x ; α , θ , γ ) = θ γ e γ x θ x θ 1 1 2 α ¯ + e γ x θ ,
where α ¯ = 1 α , and α , θ , γ > 0 are the parameters. The Identifiability of MOPHL follows from general properties of the Marshall–Olkin transformation applied to an identifiable baseline distribution (PHL); see [4,5]. The direct physical interpretation of each parameter is as follows:
First, the parameter θ plays the role of an aging or shape parameter and determines the global trend of the hazard rate. As established by the monotonicity result in the manuscript, θ > 1 yields an increasing hazard rate corresponding to wear-out or aging-dominated failure mechanisms, while 0 < θ < 1 leads to a decreasing hazard rate associated with early-life or infant-mortality failures caused by latent defects. The special case θ = 1 represents a transitional regime where the hazard trend is governed by the Marshall–Olkin parameter α . Thus, θ captures the dominant physical degradation scenarios of the system under study.
Second, the parameter γ acts as a scale or intensity parameter that controls the rate at which risk accumulates with respect to the operating variable x. Larger values of γ correspond to faster deterioration and earlier failure, whereas smaller values indicate slower degradation. If x represents time, then γ has units of 1 / time θ and may be interpreted as a rate constant governing the speed of the underlying physical damage process, such as fatigue accumulation.
Finally, the Marshall–Olkin parameter α enters the model through the distortion term c = 2 α 1 and modifies the baseline Power Half-Logistic hazard without altering its core aging structure. Physically, α can be interpreted as capturing unobserved heterogeneity or additional shock-type effects, such as manufacturing variability, latent flaws, or environmental disturbances. In particular, when θ = 1 , the value of α determines whether the hazard rate is increasing ( α > 0.5 ), constant ( α = 0.5 ), or decreasing ( α < 0.5 ), providing additional flexibility to represent systems operating under different risk conditions.
The practical advantage of the MOPHL distribution lies in the diverse shapes its density and hazard functions can assume. As shown in Figure 2, the pdf can exhibit monotonically increasing, decreasing, and upside-down bell shapes. More importantly, the hazard rate function can model increasing, decreasing, and constant-shaped curves. This versatility is crucial for accurately representing real-world failure processes, such as the early failure phase (decreasing hazard), wear-out phase (increasing hazard), or the entire useful lifecycle (bathtub hazard) of materials and components.
Theorem 1 
(Monotonicity of the MOPHL hazard rate). Let α , θ , γ > 0 and consider the hazard rate
r ( x ; α , θ , γ ) = θ γ e γ x θ x θ 1 e γ x θ + c , x > 0 ,
where c = 2 α 1 . Assume e γ x θ + c > 0 for all x 0 , which is guaranteed by the sufficient condition c > 1 .
Then the following holds:
1. 
If θ > 1 , then r ( · ) is strictly increasing on ( 0 , ) .
2. 
If θ = 1 , then
r ( · ) is strictly increasing , if c > 0 , constant ( γ ) , if c = 0 , strictly decreasing , if 1 < c < 0 .
3. 
If 0 < θ < 1 , then r ( · ) is strictly decreasing on ( 0 , ) .
Proof. 
See Appendix A. □

2.2. Quantile Function and Random Sample Generation

The quantile function is a crucial tool in statistical theory and data analysis, enabling the construction of equal-probability intervals like quartiles, percentiles, and deciles. It is essential for outlier detection, confidence intervals, and hypothesis tests. In this study, it is used to simulate pseudo-random variates from the MOPHL distribution. The cdf can be obtained from Equation (4) which is given by:
G ( x , α , γ , θ ) = e γ x θ 1 1 2 α ¯ + e γ x θ .
Assuming G ( . ) = P , then P follows a uniform distribution ( 0 , 1 ) ; hence, the inverse of G can be written as:
x P = 1 γ ln P ( 1 2 α ¯ ) + 1 1 P 1 θ .

2.3. Moments and Moment-Generating Function

The moments and moment-generating function (MGF) are essential for characterizing the shape and properties of a probability distribution. For the MOPHL distribution, the rth raw moment is derived as:
μ r = 2 α Γ 1 + r θ ( 1 2 α ¯ ) γ 1 + r θ Li r θ 1 2 α ¯ ,
where Li s ( z ) denotes the polylogarithm function.
The moment-generating function is obtained from the moments via the series expansion:
M ( t ) = 2 α 1 2 α ¯ r = 0 t r r ! Γ 1 + r θ γ 1 + r θ Li r θ 1 2 α ¯ .
Key distributional characteristics including the mean ( M ), variance ( V ), index of dispersion ( ID ), coefficient of variation ( CV ), skewness ( S ), and kurtosis ( K ) are summarized in Table 1 for various parameter combinations. The MOPHL distribution demonstrates considerable flexibility:
  • Mean and Variance: An increase in α or θ generally extends the mean lifetime, while higher γ reduces both mean and variance.
  • Dispersion: Values of ID < 1 indicate underdispersion, with reduced variability as θ increases.
  • Coefficient of Variation: Ranges from 0.5 to 1, showing moderate to high relative variability, especially for smaller α .
  • Skewness: Consistently positive (right-skewed), decreasing as α and θ increase.
  • Kurtosis: Ranges from 3 to 9, indicating leptokurtic behavior for low parameter values and approaching mesokurtic shapes as parameters increase.
These properties make the MOPHL distribution suitable for modeling diverse lifetime data from highly variable and heavy-tailed phenomena to more stable and symmetric processes.

2.4. Rényi Entropy

The Rényi entropy of order δ > 0 , δ 1 is:
I δ ( X ) = 1 1 δ ln 0 [ g ( x ) ] δ d x .
For MOPHL:
I δ ( X ) = 1 1 δ ln ( 2 α θ γ ) δ 0 e δ γ x θ x δ ( θ 1 ) ( 1 2 α ¯ + e γ x θ ) 2 δ d x
I δ ( X ) = 1 1 δ ln ( 2 α ) δ θ δ 1 γ δ δ ( θ 1 ) + 1 θ Γ δ ( θ 1 ) + 1 θ k = 0 ( 1 ) k 2 δ + k 1 k c k ( δ + k ) δ ( θ 1 ) + 1 θ ,
where Γ ( · ) is the Gamma function and c = 2 α 1 . The series representation in (11) results from the binomial expansion, and a sufficient condition for absolute convergence holds; see Appendix B.

2.5. Mean Residual Life Function

The mean residual life at time t is:
m ( t ) = E [ X t X > t ] = 1 G ¯ ( t ) t G ¯ ( x ) d x .
For MOPHL:
m ( t ) = 1 1 2 α ¯ + e γ t θ t d x 1 2 α ¯ + e γ x θ .
Using integration techniques and the convergent geometric expansion, we obtain:
m ( t ) = e γ t θ + 2 α 1 θ k = 0 ( 1 2 α ) k γ ( k + 1 ) 1 / θ Γ 1 θ , γ ( k + 1 ) t θ ,
where Γ ( s , z ) denotes the upper incomplete Gamma function. The series in (14) converges absolutely under the condition
| 1 2 α | e γ t θ < 1 ,
which is automatically satisfied for α ( 0 , 1 ) and all t > 0 . For α > 1 , convergence holds whenever t is sufficiently large so that
e γ t θ < 1 | 1 2 α | .

2.6. Mean Time to Failure (MTTF)

Since X 0 , the MTTF equals E [ X ] = 0 G ¯ ( x ) d x ; hence, under the MOPHL distribution we get:
MTTF = 0 2 α e γ x θ + c d x = 2 α θ 0 y 1 θ 1 e γ y + c d y ( y = x θ ) = 2 α Γ 1 θ θ γ 1 / θ k = 0 ( 1 2 α ) k ( k + 1 ) 1 / θ ,
where the series form in (15) follows from 1 e γ y + c = k = 0 ( c ) k e ( k + 1 ) γ y , and it converges absolutely provided
| 2 α 1 | < 1 α ( 0 , 1 ) ,
which ensures the geometric expansion 1 e γ y + c = e γ y 1 + c e γ y 1 = k 0 ( c ) k e ( k + 1 ) γ y is uniformly valid on y [ 0 , ) and permits termwise integration.

3. Estimation Under Generalized Progressive Hybrid Censoring

3.1. Censoring in Life-Testing

In real-life testing, such as accelerated life tests for materials, it is often necessary to terminate an experiment before all units have failed to save time and cost. This resulted in censored data [6]. Hybrid censoring, a progressive approach to censoring, combines Type I and Type II schemes by imposing a time ceiling and minimum failure threshold. This enables interim removal of surviving units at specified intervals or failure milestones, refining parameter estimation under practical constraints. Progressive hybrid schemes also introduce adaptive group sizes and censoring intervals, accommodating heterogeneous populations and complex systems, enhancing estimation accuracy under high censoring rates or small samples; refer to [7,8,9,10,11,12,13,14,15] for more details. The Generalized Progressive Hybrid Censoring Scheme (GPHCS) is a modern and efficient experimental design that combines time and failure termination while allowing for the removal of live units at intermediate stages.

3.2. Generalized Progressive Hybrid Censoring Scheme (GPHCS)

The GPHCS balances the need for a time-efficient experiment with the requirement to collect a sufficient amount of failure data. The experiment was defined in [16] as follows: Consider a random sample of n identical units placed on a life test. Their lifetimes, X 1 , X 2 , , X n , are independent and identically distributed with probability density function (pdf) g ( x ) and survival function G ¯ ( x ) . The experiment is governed by pre-specified values m (the ideal number of failures to observe), k (the minimum number of failures to accept ( k < m )), T (a threshold time limit), and a progressive censoring plan ( R 1 , R 2 , , R m ) , where R i is the number of units randomly removed after the ith failure, satisfying i = 1 m R i + m = n .
At the time of the first failure, X 1 : m : n , remove R 1 surviving units at random, and at the time of the second failure, X 2 : m : n , remove R 2 surviving units. Continue this process until the termination time T * is reached, defined as T * = max { X k : m : n , min { X m : m : n , T } } . At time T * , all remaining surviving units are removed, and the experiment terminates.
Let D be the number of failures observed up to time T. The experiment can end in one of three cases, which determine the observed data and the final censoring vector R . Figure 3 explores a simplified graphical representation of the mechanism of the GPHCS, where G j denotes the jth failure and X j : n is the failure time for item number j.
The likelihood function for the observed data under the GPHCS is given by:
L ( ϕ x ) = C i = 1 D g ( x i : m : n ) G ¯ ( x i : m : n ) R i G ¯ ( T ) R T * δ ,
where C is a constant that depends on the censoring scheme, and R T * is the number of units censored at the terminal time T * . This scheme provides a flexible framework that guarantees at least k failures will be observed, making it highly efficient for practical life-testing applications.

3.3. Maximum Likelihood Estimation (MLE)

Let X 1 : m : n , X 2 : m : n , . . . , X m : m : n represent the failure times for a generalized hybrid progressive censored sample from the MOPHL distribution. The likelihood function is expressed as in Equation (17):
L ( x ; ϕ ) = C i = 1 D 2 α θ γ e γ x i : m : n θ x i : m : n θ 1 1 2 α ¯ + e γ x i : m : n θ 2 2 α 1 2 α ¯ + e γ x i : m : n θ R i 2 α 1 2 α ¯ + e γ T θ R T * δ .
The log-likelihood is given by
( ϕ ) = ln C + i = 1 D { ln 2 α θ γ + γ x i θ + ( θ 1 ) ln x i 2 ln 1 2 α ¯ + e γ x i θ + R i ln ( 2 α ) ln 1 2 α ¯ + e γ x i θ } + R T * δ ln ( 2 α ) ln 1 2 α ¯ + e γ T θ .
We may simplify the terms in the summation by combining the constants:
ln 2 α θ γ + R i ln ( 2 α ) = ln ( 2 α ) 1 + R i θ γ .
Thus, the log-likelihood becomes
( ϕ ) = ln C + i = 1 D ln ( 2 α ) 1 + R i θ γ + γ x i θ + ( θ 1 ) ln x i ( 2 + R i ) ln 1 2 α ¯ + e γ x i θ + R T * δ ln ( 2 α ) ln 1 2 α ¯ + e γ T θ .
The partial derivations of ( ϕ ) with respect to the parameters, α , θ , γ are:
α = i = 1 D 1 + R i α 2 ( 2 + R i ) 2 α 1 + e γ x i θ + R T * δ α 2 R T * δ 2 α 1 + e γ T θ .
θ = i = 1 D 1 θ + γ x i θ ln x i + ln x i ( 2 + R i ) e γ x i θ γ x i θ ln x i 2 α 1 + e γ x i θ R T * δ e γ T θ γ T θ ln T 2 α 1 + e γ T θ .
γ = i = 1 D 1 γ + x i θ ( 2 + R i ) e γ x i θ x i θ 2 α 1 + e γ x i θ R T * δ e γ T θ T θ 2 α 1 + e γ T θ .
Under standard regularity conditions, the MLEs ϕ ^ = ( α ^ , θ ^ , γ ^ ) are consistent and asymptotically normally distributed with the mean equal to the true parameter vector ϕ = ( α , θ , γ ) and the covariance matrix given by the inverse of the Fisher information matrix, which is
m ( ϕ ^ ϕ ) d N 3 0 , I 1 ( ϕ ) ,
where I ( ϕ ) is the Fisher information matrix. The asymptotic normality of the MLEs ϕ ^ follows from standard regularity conditions (Lehmann & Casella, 1998, Theorem 6.2.1, [17]), which hold for the MOPHL distribution under the GPHCS: (i) the parameters are identifiable, (ii) the support of the distribution is independent of the parameters, (iii) the log-likelihood is third-order differentiable with respect to the parameters, and (iv) the Fisher information matrix I ( ϕ ) is positive definite and finite. The consistency and asymptotic normality are thus ensured, validating the construction of the approximate confidence intervals.
The observed Fisher information matrix is defined as the negative Hessian of the log-likelihood function,
I ( ϕ ^ ) = 2 ( ϕ ) ϕ i ϕ j ϕ = ϕ ^ ,
where ϕ i , ϕ j { α , θ , γ } . Explicitly,
I ( ϕ ^ ) = 2 α 2 2 α θ 2 α γ 2 θ α 2 θ 2 2 θ γ 2 γ α 2 γ θ 2 γ 2 ϕ = ϕ ^ .
By inverting I ( ϕ ^ ) , we obtain an estimator of the asymptotic variance–covariance matrix of the MLEs:
Var ^ ( ϕ ^ ) = I 1 ( ϕ ^ ) .
Therefore, approximate ( 1 ζ ) × 100 % confidence intervals for each parameter can be constructed as
ϕ ^ j ± z ζ / 2 Var ^ ( ϕ ^ j ) , j = 1 , 2 , 3 ,
where z ζ / 2 is the upper ζ / 2 quantile of the standard normal distribution. The Newton–Raphson algorithm, which is implemented in Matlab R2025a, is used to solve the score equations in order to generate the MLEs; analytical gradients are supplied in the text. Convergence was declared when the absolute difference between successive parameter estimates was less than 10 6 . The algorithm consistently converged within 20–30 iterations from suitable starting values ( α 0 = 0.03 ; θ 0 = 2.52 ; γ 0 = 0.03 ) for all simulated and real-data scenarios; no persistent convergence problems were found.
In practice, the Hessian matrix can be computed numerically at the MLEs, and the diagonal entries of I 1 ( ϕ ^ ) provide the estimated asymptotic variances of α ^ , θ ^ , and γ ^ , respectively. These results facilitate inference on the parameters of the MOPHL model under the GPHCS.

3.4. Bayesian Estimation

For the Bayesian estimation of the MOPHL distribution under the GPHCS, independent Gamma priors are assigned to the parameters α , θ , and γ .
π α = α a 1 1 e b 1 α , α > 0 , π θ = θ a 2 1 e b 2 θ , θ > 0 , π γ = γ a 3 1 e b 3 γ , γ > 0 .
The hyperparameters a i , b i , i = 1 , 2 , 3 are selected on the basis so that the prior mean is close to the preliminary MLE. The Gamma distribution was adopted as a prior for all model parameters due to its support on the positive real line, analytical flexibility, and widespread use in Bayesian reliability modeling. This choice ensures parameter admissibility and improves numerical stability under progressive hybrid censoring. Moreover, Gamma priors can be tuned to represent informative, weakly informative, or non-informative beliefs. In the absence of strong historical information, non-informative priors are commonly used in reliability and survival analysis to stabilize estimation without dominating the likelihood. For moderate to large sample sizes, Bayesian estimators under informative priors are known to yield results that are consistent with those obtained under non-informative priors. Consequently, the posterior inference in this study is expected to be robust with respect to reasonable variations in prior specification.
The joint prior distribution is combined with the likelihood function L α , θ , γ y from Equation (17) to form the posterior distribution π * α , θ , γ y , as defined in Equation (20).
π * α , θ , γ y = π α π θ π γ L α , θ , γ y 0 0 0 π α π θ π γ L α , θ , γ y d α d θ d γ .
The joint posterior density, up to a proportionality constant, is derived as shown in Equation (21).
π * ( α , θ , γ y ) α a 1 1 θ a 2 1 γ a 3 1 e b 1 α b 2 θ b 3 γ × i = 1 D 2 α θ γ e γ x i : m : n θ x i : m : n θ 1 1 2 α ¯ + e γ x i : m : n θ 2 2 α 1 2 α ¯ + e γ x i : m : n θ R i 2 α 1 2 α ¯ + e γ T θ R T * δ .
For inference under the symmetric squared error loss (SEL) function, the Bayesian estimate of any function g α , θ , γ is given by its posterior mean, as detailed in Equation (22):
E α , θ , γ g α , θ , γ = 0 0 0 g α , θ , γ π 1 α π 2 θ π 3 γ L α , θ , γ y d α d θ d γ 0 0 0 π 1 α π 2 θ π 3 γ L α , θ , γ y d α d θ d γ .
Because the posterior distributions for parameters α , θ , and γ (Equations (20)–(22)) are not analytically tractable, MCMC sampling is employed to generate samples from the joint posterior (Equation (21)); see [18,19]. A hybrid approach is used, combining Gibbs sampling with a Metropolis–Hastings (M-H) step [20]. Gibbs sampling sequentially updates each parameter, while the M-H algorithm is necessary because the full conditional distributions are non-standard. The details of the algorithm can be found in [21] and Appendix C. This constructs a Markov Chain that converges to the target posterior distribution. After a burn-in of M samples, Bayesian estimates under the squared error loss (SEL) function are computed as the sample means of the remaining N M iterations:
α ^ B S = 1 N M j = M + 1 N α j , θ ^ B S = 1 N M j = M + 1 N θ j , γ ^ B S = 1 N M j = M + 1 N γ j .
A ( 1 ζ ) 100 % Bayesian CRI for a parameter η k (where η 1 = α , η 2 = θ , η 3 = γ ) is constructed using the quantiles of the ordered posterior samples:
η k ( ζ 2 N M ) , η k ( ( 1 ζ 2 ) N M ) .

4. Simulation Study: Validating the Model’s Performance

To rigorously validate the performance of our estimation methods under controlled conditions, we conducted an extensive Monte Carlo simulation study. We investigated different sample sizes, censoring schemes, and experimental termination times. Three censoring schemes (CSs), different sample sizes ( n , m ) , and experimental parameters T and k are investigated. Furthermore, interval estimates are examined using average lengths (ALs), and coverage probabilities (CPs) on parameters are evaluated using mean square errors (MSEs), to examine the performance of different estimates. The true values in this simulation work are chosen at random for ( α , θ , γ ) as ( 0.03 , 2.52 , 0.03 ) ; these values were chosen to reflect a scenario with low initial survival (small α , γ ) and a non-monotonic hazard shape ( θ > 1 ), similar to the fitted values from the real data analysis. In the case where ( n , m ) = ( 34 , 31 ) , they are 15, 20, and 25. Furthermore, two values, 0.5 and 0.8, are taken into consideration for T.
For the Bayesian estimation under the informative prior, we specify independent Gamma priors as given in Equation (19). The hyperparameters are chosen as ( a 1 , b 1 ) = ( 0.001 , 0.001 ) , ( a 2 , b 2 ) = ( 0.001 , 0.001 ) , and ( a 3 , b 3 ) = ( 0.001 , 0.001 ) , where the scale parameters b 1 , b 2 , b 3 are set equal to the shape parameters a 1 , a 2 , a 3 , respectively. This specification yields a prior with mean a i / b i = 1 and variance a i / b i 2 = 1000 , which is sufficiently diffuse to be considered weakly informative. The choice a i = b i = 0.001 follows the common practice in reliability analysis of using Gamma priors with small parameters to approximate non-informative priors while maintaining computational stability.
The three distinct censoring systems are applied as follows:
Scheme I: r i = 1 , i = 2 : 4 , and r j = 0 , j = 1 : m , j i .
Scheme II: r i = 1 , i = 12 : 14 , and r j = 0 , j = 1 : m , j i .
Scheme III: r i = 1 , i = 22 : 24 , and r j = 0 , j = 1 : m , j i .
The results, summarized in Table 2, Table 3, Table 4 and Table 5, show the mean squared error (MSE) for the parameter estimates, and the coverage probabilities of the 95% confidence/credible intervals. The Bayesian estimates consistently exhibit MSE values that are comparable to, and often slightly lower than, those of the MLEs, indicating good precision and that the Bayesian method may offer a slight advantage. Furthermore, CIs are generally close to the nominal level, confirming that both methods provide reliable uncertainty quantification.
This simulation study serves as a critical validation step. It proves that the MOPHL model and the proposed estimation techniques are robust and can be trusted to yield accurate results in practical situations where censoring is present. Although non-informative priors were not explicitly considered in the simulation study, the observed estimator behavior is expected to remain qualitatively unchanged under such priors, particularly as the sample size increases.
To assess whether the simulation results are sensitive to the specific choice of true parameter values, we conducted supplementary analyses under alternative parameter regimes. Two additional scenarios were considered: (1) a decreasing-hazard regime with θ = 0.8 , α = 0.5 , γ = 0.1 ; and (2) a high-survival regime with θ = 2.5 , α = 2.0 , γ = 0.01 . In both cases, the key findings remained consistent with those reported above: both MLE and Bayesian estimators demonstrated good performance with mean squared errors decreasing with sample size, and coverage probabilities of the 95% intervals maintained near-nominal levels across censoring schemes. This confirms that the robustness of the proposed estimation methods is not contingent on a particular parameter configuration.

5. Application to Nanocomposite Degradation Data

Understanding the degradation kinetics of hydroxylated fullerenes is critical for their application in drug delivery, photovoltaic devices, and polymer nanocomposites. The 2% weight loss threshold studied here represents the onset of significant property degradation affecting performance. Accurate lifetime prediction enables:
  • Optimal material selection for specific operating conditions;
  • Determination of replacement schedules for medical devices;
  • Establishment of shelf-life for commercial products;
  • Design of accelerated aging tests with appropriate duration.
The bathtub-shaped hazard rate captured by MOPHL reflects the physical reality of fullerene degradation: an initial “burn-in” period (decreasing hazard) followed by stable operation (constant hazard) and eventual wear-out (increasing hazard). Traditional distributions like Weibull cannot capture this complete lifecycle behavior.

5.1. Data Description

To demonstrate the practical utility of the MOPHL distribution, we analyze a real-world dataset concerning the degradation of a polymer nanocomposite. The data, originally presented by [22], consists of the decay times (in hours) for the hydroxylated fullerene S c 3 N @ C 80 ( O H ) 18 to deteriorate by 2% of its weight. This dataset, provided in Table 6, represents a typical application where understanding material stability is critical.

5.2. Empirical Fit Assessment

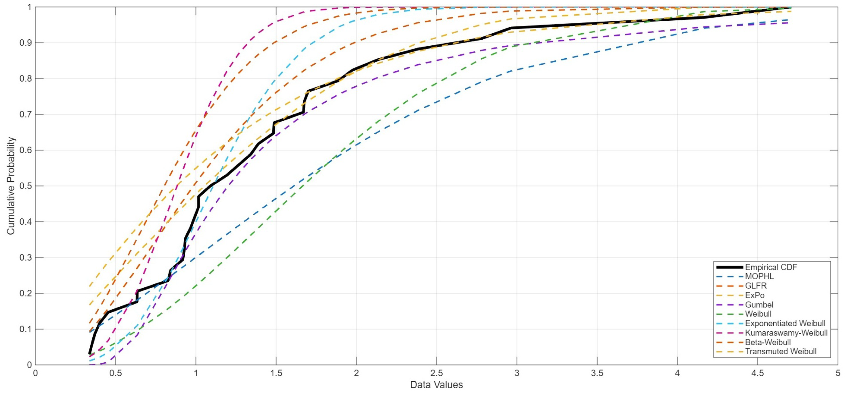
We assessed the goodness-of-fit of the MOPHL distribution against several well-known competing models: Exponentiated Weibull [23], Kumaraswamy–Weibull [24], Beta-Weibull [25], Transmuted Weibull [26], Alpha-Power Exponential [27], Generalized Linear Failure Rate (GLFR) [28], Exponential Power [29], Weibull, and Gumbel II distributions [30]; see Appendix D for the pdfs. The results, summarized in Table 7, clearly demonstrate the superiority of the MOPHL model.
The MOPHL distribution has the lowest values for the Akaike Information Criterion (AIC) and Bayesian Information Criterion (BIC), indicating a better trade-off between model fit and complexity. Furthermore, it yields the highest p-values for the Kolmogorov–Smirnov test, providing no evidence to reject the hypothesis that the data follows the MOPHL distribution. The Anderson–Darling statistic also attained the smallest values for MOPHL.
This superior fit is visually confirmed in Figure 4, which plots the empirical survival function against the fitted models. The MOPHL survival function most closely follows the empirical data points. The MOPHL distribution analysis in Figure 5 demonstrates an exceptionally strong fit to the nanocomposite decay data, as evidenced by the near-perfect alignment of points along the reference lines in the P-P and Q-Q plots, the high Kolmogorov–Smirnov p-value, which strongly fails to reject the null hypothesis, and the very low residuals that show minimal bias and high precision. This comprehensive visualization, supported by excellent goodness-of-fit statistics, including low Anderson–Darling and Cramér–von Mises values, confirms that the three-parameter MOPHL distribution accurately captures the underlying failure mechanism and provides a reliable statistical model for predicting material degradation behavior, making it highly suitable for lifetime estimation and reliability analysis in nanocomposite applications.
We generated three different GPHCS samples from our full nanocomposite dataset to mimic various experimental scenarios (see Table 8). The point and interval estimates for the parameters ( α , θ , γ ) under these different censoring schemes are presented in Table 9. Under the MOPHL model, the point and interval estimates of unknown parameters are then calculated using Bayesian and MLE techniques. We take the total sample size n to be 34, and assume the effective sample size m is set at 31 and the number of censoring samples is three. Additionally, three censoring methods are taken into consideration: R = ( 0 , 1 3 , 0 30 ) , R = ( 0 15 , 1 3 , 0 16 ) , and R = ( 0 29 , 1 3 , 0 2 ) . For the Bayesian approach, the parameter in the General Entropy (GE) loss functions is q = 0.2 , and for i = 1 , 2 , 3 , the hyperparameters were adjusted to a i = b i = 0.1 . These values suggest ambiguous prior distributions with high variance, indicating a lack of exact prior information about the parameters. In practice, the hyperparameters ( a i , b i ) can be elicited from historical data or expert knowledge when available. In the absence of such information, we recommend setting a i = b i = ϵ with a small ϵ (e.g., 0.1 or 0.001) to obtain a weakly informative prior that ensures posterior propriety while allowing the data to drive inference. This approach, adopted in our simulation study and real data analysis, provides a balance between computational stability and inferential objectivity. Table 9 shows the interval and point estimates of parameters under various censoring schemes for T = 1 , 2 , 4.2 .
The results show that both MLE and Bayesian methods yield parameter estimates that are consistent with each other and stable across different censoring schemes. The 95% Asymptotic Confidence Intervals (ACIs) and Bayesian Credible Intervals (BCIs) successfully capture the plausible range of the parameters. This demonstrates that the MOPHL model can provide reliable inferences and predictions about the degradation rate of the chemical component, even when the available data is incomplete due to censoring.
The Rényi entropy estimates given in Table 10 are consistently positive across all schemes, highlighting uncertainty in the degradation process. Bayesian estimates (SEL and GE) are stable and closely aligned, reflecting the reliability of the Bayesian approach, regardless of the loss function. In contrast, MLE point estimates show more variation; 0.5180 for Scheme 1 versus 0.7914 for Scheme 2. Notably, entropy peaks for Scheme 2, likely due to its censoring pattern creating more uncertainty.
The value of m ( t ) in Table 11 decreases as time increases (from 0.4245 at T = 1.0 to 0.1675 at T = 4.2 for MLE), illustrating that a component’s future lifetime diminishes over time. MLE and Bayesian estimates align closely for each scheme, strengthening the model’s predictive credibility. While MLE confidence intervals may approach zero, Bayesian CRIs remain positive and conservative. Scheme 3 shows the best precision due to less censoring and more observed failures, yielding the narrowest interval lengths.
The MTTF estimates in Table 12 remain consistent across all three censoring schemes, around 1.1 to 1.3 h, indicating reliable inferences from the MOPHL model. The Bayesian and MLE point estimates are closely aligned, though Bayesian estimates show slightly more stability. However, the MLE confidence intervals are wide for Schemes 1 and 2, indicating significant uncertainty due to censoring. In contrast, Bayesian CRIs are narrower and more precise, highlighting the Bayesian approach’s advantage in providing realistic uncertainty quantification using prior information.

6. Discussion and Conclusions

This work introduced the Marshall–Olkin Power Half-Logistic (MOPHL) distribution as a flexible reliability model derived via the Marshall–Olkin transformation of the Power Half-Logistic baseline. The proposed model extends classical lifetime distributions by incorporating an additional distortion parameter that preserves structural tractability while enhancing hazard flexibility.
From a theoretical standpoint, we established several fundamental properties of the MOPHL model. Closed-form expressions for the probability density function, survival function, hazard rate, moments, mean residual life, mean time to failure, and Rényi entropy were derived. A monotonicity theorem was proven, characterizing hazard rate behavior across parameter regimes and providing explicit conditions under which the hazard is increasing, decreasing, or constant. Parameter identifiability and normalization were verified under the admissible parameter space.
Under the Generalized Progressive Hybrid Censoring Scheme (GPHCS), we developed likelihood-based and Bayesian estimation procedures. Maximum likelihood estimation was studied through asymptotic normality and Fisher information analysis, and interval estimation was constructed accordingly. Bayesian inference was implemented using a Metropolis–Hastings algorithm, and simulation experiments evaluated estimator bias, the mean squared error, and coverage probabilities across multiple censoring intensities and hazard structures. The results demonstrate stable convergence and improved estimation accuracy as sample size increases, even under high censoring levels.
Empirically, the MOPHL model was applied to hydroxylated fullerene degradation data. Compared with nine established competing distributions, the proposed model achieved the smallest AIC and BIC values, the lowest Anderson–Darling statistic, and the highest Kolmogorov–Smirnov p-value, indicating superior goodness-of-fit. Reliability measures derived from the fitted model, including mean time to failure and mean residual life, provided interpretable engineering insights into degradation behavior.
Overall, the MOPHL distribution combines analytical tractability, interpretability, and flexibility within a unified reliability framework suitable for censored life-testing data. Its performance under the GPHCS and its competitive empirical behavior suggest that it constitutes a mathematically sound and practically robust addition to the class of flexible lifetime models. Although the MOPHL distribution fits the hydroxylated fullerene degradation data examined here reasonably well, further research is needed to assess its generalizability to other degradation data and failure mechanisms. Climatic changes, intricate biological interconnections, and recurring stress patterns are some of the particular difficulties that arise in several application domains, such as biomedical device failure, mechanical component fatigue, and environmental monitoring. Future research may extend this framework by studying robustness under alternative censoring structures, developing formal goodness-of-fit procedures tailored to progressive hybrid censoring, and conducting comprehensive Bayesian prior sensitivity analyses. Further theoretical investigation of stochastic ordering properties and potential multivariate extensions also remains of interest.

Author Contributions

Conceptualization, R.A. and H.H.A.; methodology, H.H.A. and M.A.; software, M.A.; validation, M.A., R.A. and H.H.A.; formal analysis, M.A., R.A. and H.H.A.; investigation, M.A., R.A. and H.H.A.; resources, M.A.; data curation, H.H.A. and M.A.; writing—original draft, M.A., R.A. and H.H.A.; preparation, M.A., R.A. and H.H.A.; writing—review and editing, M.A. and H.H.A.; visualization, M.A. and H.H.A.; supervision, H.H.A.; project administration, H.H.A.; funding acquisition, R.A. All authors have read and agreed to the published version of the manuscript.

Funding

This work was supported by the Deanship of Scientific Research, Vice Presidency for Grad-uate Studies and Scientific Research, King Faisal University, Saudi Arabia [GRANT No. KFU261236].

Data Availability Statement

The original contributions presented in this study are included in the article. Further inquiries can be directed to the corresponding author.

Conflicts of Interest

The authors declare no conflicts of interest. The funders had no role in the design of this study, in the collection, analyses, or interpretation of data, in the writing of the manuscript, or in the decision to publish the results.

Abbreviations

The following abbreviations are used in this manuscript:
MOPHLMarshall–Olkin Power Half-Logistic (distribution)
PHLPower Half-Logistic (distribution)
MOMarshall–Olkin (family)
pdfprobability density function
MLEmaximum likelihood estimation
MCMCMarkov Chain Monte Carlo
M-HMetropolis–Hasting method
GPHCSGeneralized Progressive Hybrid Censoring Scheme
ACIAsymptotic Confidence Interval
BCIBayesian Credible Interval
CPcoverage probability
ALaverage length
MSEmean squared error
SELsquared error loss
GEGeneral Entropy
MTTFmean time to failure
CScensoring scheme
AICAkaike Information Criterion
BICBayesian Information Criterion
CRIcredible interval
GLFRGeneralized Linear Failure Rate
EWExponentiated Weibull
KWKumaraswamy–Weibull
BWBeta-Weibull
TWTransmuted Weibull
APEAlpha-Power Exponential
EPExponential Power
GIIGumbel Type II
WWeibull

Appendix A

Write t = e γ x θ > 0 and A = θ γ > 0 . Then
r ( x ) = A t x θ 1 t + c , x > 0 .
Differentiate using the product/quotient rules and t = γ θ x θ 1 t = A x θ 1 t :
d r d x = A x θ 2 t ( t + c ) 2 Φ ( x ) , where Φ ( x ) : = ( θ 1 ) ( t + c ) + θ γ c x θ .
Since A > 0 , x θ 2 > 0 for x > 0 , t > 0 , and ( t + c ) 2 > 0 by assumption, the sign of d r / d x is the sign of Φ ( x ) .
We analyze Φ via its limits and the relative growth of terms:
Φ ( x ) = ( θ 1 ) e γ x θ + ( θ 1 ) c + θ γ c x θ .
Note that e γ x θ grows (or decays) exponentially in the sense that it dominates any polynomial function of x as x .
  • Case 1: θ > 1 . Then θ 1 > 0 , so the leading term ( θ 1 ) e γ x θ > 0 dominates for large x. At x 0 + , we have t 1 and Φ ( 0 ) = ( θ 1 ) ( 1 + c ) > 0 because 1 + c > 0 is ensured by c > 1 . Since the exponential term remains positive and dominates the polynomial term θ γ c x θ , it follows that Φ ( x ) > 0 for all x > 0 ; hence, d r / d x > 0 on ( 0 , ) .
  • Case 2: θ = 1 . Now r ( x ) = γ e γ x e γ x + c and
    Φ ( x ) = γ c x .
Thus sign ( d r / d x ) = sign ( c ) for all x > 0 . If c > 0 , then d r / d x > 0 (increasing); if c = 0 , then d r / d x = 0 (constant, and indeed r ( x ) γ ); if 1 < c < 0 , then d r / d x < 0 (decreasing).
  • Case 3: 0 < θ < 1 . Then ( θ 1 ) e γ x θ < 0 , and as x this negative exponential term dominates the polynomial term θ γ c x θ . At x 0 + , Φ ( 0 ) = ( θ 1 ) ( 1 + c ) < 0 . Hence Φ ( x ) < 0 for all x > 0 , and therefore d r / d x < 0 on ( 0 , ) .
Combining the three cases proves the stated monotonicity properties.

Appendix B

Let α ¯ = 1 α , set c = 2 α 1 , and define
a = δ ( θ 1 ) + 1 θ .
With the change in variables u = x θ and the binomial expansion 1 + c e γ u 2 δ = k = 0 ( 1 ) k 2 δ + k 1 k c k e γ k u ,
0 e δ γ x θ x δ ( θ 1 ) 1 2 α ¯ + e γ x θ 2 δ d x = Γ ( a ) θ γ a k = 0 ( 1 ) k 2 δ + k 1 k c k ( δ + k ) a .
Hence,
I δ ( X ) = 1 1 δ ln ( 2 α θ γ ) δ Γ ( a ) θ γ a k = 0 ( 1 ) k 2 δ + k 1 k ( 2 α 1 ) k ( δ + k ) a .
A uniform sufficient condition for the binomial series on u [ 0 , ) is
| 2 α 1 | < 1 α ( 0 , 1 ) .
With θ > 0 , γ > 0 , δ > 0 and a = δ ( θ 1 ) + 1 θ > 0 . The series converges absolutely, and termwise integration is valid.

Appendix C. Gibbs Algorithm

The procedure for Gibbs sampling incorporating the (M-H) approach is outlined as follows:
(1)
Set initial values α 0 , θ ( 0 ) , γ ( 0 ) .
(2)
Set j = 1 .
(3)
Using the following M-H algorithm, from π 1 * ( α ( j 1 ) | θ ( j 1 ) , γ ( j 1 ) , d a t a )
π 2 * ( θ ( j 1 ) | α ( j 1 ) , γ ( j 1 ) , d a t a ) , and π 3 * ( γ ( j 1 ) | α ( j 1 ) , θ ( j 1 ) , d a t a ) , generate α ( j ) , θ ( j ) and γ ( j ) with the normal proposal distributions
N α ( j 1 ) , v a r α , N θ ( j 1 ) , v a r θ , and N γ ( j 1 ) , v a r γ ,
from the main diagonal in the inverse Fisher information matrix obtained v a r α , v a r θ and v a r γ .
(4)
Generate a proposal α * from N α ( j 1 ) , v a r α , θ * from N θ ( j 1 ) , v a r θ , and γ * from N γ ( j 1 ) , v a r γ .
(i)
The acceptance probabilities are
μ α = min 1 , π 4 * ( α * | θ ( j ) , γ ( j ) , d a t a ) π 4 * ( α ( j 1 ) | θ ( j ) , γ ( j ) , d a t a ) μ θ = min 1 , π 1 * ( θ * | γ ( j 1 ) , δ ( j 1 ) , d a t a ) π 1 * ( θ ( j 1 ) | γ ( j 1 ) , δ ( j 1 ) , d a t a ) , a n d μ γ = min 1 , π 3 * ( γ * | θ ( j ) , δ ( j 1 ) , d a t a ) π 3 * ( γ ( j 1 ) | θ ( j ) , δ ( j 1 ) , d a t a ) . .
(ii)
From a uniform ( 0 , 1 ) distribution generate u 1 , u 2 , and u 3 .
(iii)
If u 1 < μ α , accept the proposal and set α ( j ) = α * ; otherwise, set α ( j ) = α ( j 1 ) .
(iv)
If u 2 < μ θ , accept the proposal and set θ ( j ) = θ * ; otherwise, set θ ( j ) = θ ( j 1 ) .
(v)
If u 3 < μ γ , accept the proposal and set γ ( j ) = γ * ; otherwise, set γ ( j ) = γ ( j 1 ) .
(5)
Set j = j + 1 .
(6)
Steps (3)–(5) are repeated N times, and we obtain α j , θ j and γ j , j = 1, 2, … N.

Appendix D. Probability Density Functions of Competing Models

For completeness and clarity, the probability density functions (pdfs) of the nine competing distributions used in the goodness-of-fit comparison (Table 3) are provided below. In all expressions, x > 0 unless otherwise stated, and all parameters are positive unless indicated.
  • Exponentiated Weibull [23] with parameters α > 0 (scale), β > 0 (shape), λ > 0 (power):
    f EW ( x ) = α β λ x β 1 e α x β 1 e α x β λ 1 .
  • Kumaraswamy–Weibull [24] with parameters a > 0 , b > 0 , c > 0 , λ > 0 :
    f KW ( x ) = a b c λ x c 1 e λ x c 1 e λ x c a 1 1 1 e λ x c a b 1 .
  • Beta-Weibull [25] with parameters a > 0 , b > 0 , α > 0 , β > 0 :
    f BW ( x ) = α β x β 1 e α x β B ( a , b ) 1 e α x β a 1 e α x β b 1 ,
    where B ( a , b ) is the beta function.
  • Transmuted Weibull [26] with parameters α > 0 , β > 0 , and | λ | 1 :
    f TW ( x ) = α β x β 1 e α x β 1 λ + 2 λ e α x β .
  • Alpha-Power Exponential [27] with parameters α > 0 , λ > 0 , θ > 0 :
    f APE ( x ) = α λ θ e λ x 1 e λ x θ 1 α ( α 1 ) 1 e λ x θ 2 , x > 0 , α 1 .
  • Generalized Linear Failure Rate (GLFR) [28] with parameters a > 0 , b > 0 , α > 0 :
    f GLFR ( x ) = α ( a + b x ) e a x b 2 x 2 1 e a x b 2 x 2 α 1 .
  • Exponential Power [29] with parameters α > 0 , λ > 0 , β > 0 :
    f EP ( x ) = α λ β x β 1 e λ x β exp α e λ x β 1 .
  • Gumbel Type II [30] with parameters α > 0 , β > 0 :
    f GII ( x ) = α β x ( β + 1 ) e α x β .
  • Weibull with parameters α > 0 (scale), β > 0 (shape):
    f W ( x ) = β α x α β 1 e ( x / α ) β .

References

  1. Ye, Z.-S.; Xie, M.; Tang, L.-C.; Shen, Y. Degradation-Based Burn-In Planning Under Competing Risks. Technometrics 2012, 54, 159–168. [Google Scholar] [CrossRef]
  2. Qin, L.; Shen, Y. Degradation Data Analysis Based on Wiener Process with a Nonlinear Drift and a Stochastic Volatility. Technometrics 2025. published online ahead of print. [Google Scholar] [CrossRef]
  3. Shen, Y.; Shen, L.; Xu, W. A Wiener-Based Degradation Model with Logistic Distributed Measurement Errors and Remaining Useful Life Estimation. Qual. Reliab. Eng. Int. 2018, 34, 1289–1303. [Google Scholar] [CrossRef]
  4. Krishnarani, S.D. On a Power Transformation of Half-Logistic Distribution. J. Probab. Stat. 2016, 2016, 2084236. [Google Scholar] [CrossRef]
  5. Marshall, A.W.; Olkin, I. A Multivariate Exponential Distribution. J. Am. Stat. Assoc. 1967, 62, 30–44. [Google Scholar] [CrossRef]
  6. Balakrishnan, N.; Cramer, E. The Art of Progressive Censoring; Birkhauser: New York, NY, USA, 2014. [Google Scholar]
  7. Childs, A.; Chandrasekar, B.; Balakrishnan, N.; Kundu, D. Exact Likelihood Inference Based on Type-I and Type-II Hybrid Censored Samples from the Exponential Distribution. Ann. Inst. Stat. Math. 2003, 55, 319–330. [Google Scholar] [CrossRef]
  8. Balakrishnan, N.; Kundu, D. Hybrid Censoring: Models, Inferential Results and Applications. Comput. Stat. Data Anal. 2013, 57, 166–209. [Google Scholar] [CrossRef]
  9. Mansour, M.M.; Ramadan, D.A. Statistical Inference to the Parameters of the Modified Extended Exponential Distribution under the Type-II Hybrid Censoring Scheme. J. Stat. Theory Appl. 2020, 19, 19–44. [Google Scholar]
  10. Salah, M.M.; Ahmed, E.A.; Alhussain, Z.A.; Ahmed, H.H.; El-Morshedy, M.; Eliwa, M.S. Statistical Inferences for Type-II Hybrid Censoring Data from the Alpha Power Exponential Distribution. PLoS ONE 2021, 16, E0244316. [Google Scholar] [CrossRef] [PubMed]
  11. Haj Ahmad, H.; Almetwally, E.M.; Rabaiah, A.; Ramadan, D.A. Statistical Analysis of Alpha Power Inverse Weibull Distribution under Hybrid Censored Scheme with Applications to Ball Bearings Technology and Biomedical Data. Symmetry 2023, 15, 161. [Google Scholar] [CrossRef]
  12. Modok, B.; Chowdhury, S.; Kundu, A. Control Charts for Monitoring Weibull Quantile under Generalized Hybrid and Progressive Censoring Schemes. Stat. Comput. 2025, 35, 49. [Google Scholar] [CrossRef]
  13. Koley, A.; Kundu, D. On Generalized Progressive Hybrid Censoring in Presence of Competing Risks. Metrika 2017, 80, 401–426. [Google Scholar] [CrossRef]
  14. Kundu, D.; Joarder, A. Analysis of Type-II Progressively Hybrid Censored Data. Comput. Stat. Data Anal. 2006, 50, 2509–2528. [Google Scholar] [CrossRef]
  15. Salem, S.A.; Abo-Kasem, O.E.; Abdel-Wahed, A.H. Analysis of Two Generalized Exponential Populations Under Joint Type-I Progressive Hybrid Censoring Scheme. Inf. Sci. Lett. 2023, 12, 823–843. [Google Scholar] [CrossRef]
  16. Cho, Y.; Sun, H.; Lee, K. Estimating the Entropy of a Weibull Distribution under Generalized Progressive Hybrid Censoring. Entropy 2015, 17, 102–122. [Google Scholar] [CrossRef]
  17. Lehmann, E.L.; Casella, G. Theory of Point Estimation; Springer: New York, NY, USA, 1998. [Google Scholar]
  18. Metropolis, N.; Rosenbluth, A.W.; Rosenbluth, M.N.; Teller, A.H.; Teller, E. Equation of State Calculations by Fast Computing Machines. J. Chem. Phys. 1953, 21, 1087–1092. [Google Scholar] [CrossRef]
  19. Hastings, W.K. Monte Carlo Sampling Methods Using Markov Chains and Their Applications. Biometrika 1970, 57, 97–109. [Google Scholar] [CrossRef]
  20. Tierney, L. Markov Chains for Exploring Posterior Distributions. Ann. Stat. 1994, 22, 1701–1728. [Google Scholar] [CrossRef]
  21. Ahmad, H.H.; Ramadan, D.A.; Almetwally, E.M. Tampered Random Variable Analysis in Step-Stress Testing: Modeling, Inference, and Applications. Mathematics 2024, 12, 1248. [Google Scholar] [CrossRef]
  22. Ahmed, H.M.; Hassan, M.K.; Mauritz, K.A.; Bunkley, S.L.; Buchanan, R.K.; Buchanan, J.P. Dielectric Properties of C60 and Sc3N@C80 Fullerenol Containing Polyurethane Nanocomposites. J. Appl. Polym. Sci. 2014, 131, 40577. [Google Scholar] [CrossRef]
  23. Nadarajah, S.; Cordeiro, G.M.; Ortega, E.M.M. The Exponentiated Weibull Distribution: A Survey. Stat. Pap. 2013, 54, 839–877. [Google Scholar] [CrossRef]
  24. Cordeiro, G.M.; Ortega, E.M.; Nadarajah, S. The Kumaraswamy Weibull Distribution with Application to Failure Data. J. Frankl. Inst. 2010, 347, 1399–1429. [Google Scholar] [CrossRef]
  25. Lee, C.; Famoye, F.; Olumolade, O. Beta-Weibull Distribution: Some Properties and Applications to Censored Data. J. Mod. Appl. Stat. Methods 2007, 6, 17. [Google Scholar] [CrossRef]
  26. Khan, M.S.; King, R.; Hudson, I.L. Transmuted Weibull Distribution: Properties and Estimation. Commun. Stat. Methods 2017, 46, 5394–5418. [Google Scholar] [CrossRef]
  27. Elsherpieny, E.A.; Abdel-Hakim, A. Statistical Analysis of Alpha-Power Exponential Distribution Using Unified Hybrid Censored Data and Its Applications. Comput. J. Math. Stat. Sci. 2025, 4, 283–315. [Google Scholar] [CrossRef]
  28. Sarhan, A.M.; Kundu, D. Generalized Linear Failure Rate Distribution. Commun. Stat. Methods 2009, 38, 642–660. [Google Scholar] [CrossRef]
  29. Olosunde, A.A. On Exponential Power Distribution and Poultry Feeds Data: A Case Study. J. Iran. Stat. Soc. 2022, 12, 253–270. [Google Scholar]
  30. Abbas, K.; Hussain, Z.; Rashid, N.; Ali, A.; Taj, M.; Khan, S.A.; Manzoor, S.; Khalil, U.; Khan, D.M. Bayesian Estimation of Gumbel Type-II Distribution under Type-II Censoring with Medical Applications. Comput. Math. Methods Med. 2020, 2020, 1876073. [Google Scholar] [CrossRef]
Figure 1. MOPHL model development estimation and validation process.
Figure 1. MOPHL model development estimation and validation process.
Mathematics 14 00973 g001
Figure 2. (a) Plots of the MOPHL pdf, and (b) plots of the MOPHL hazard rate function.
Figure 2. (a) Plots of the MOPHL pdf, and (b) plots of the MOPHL hazard rate function.
Mathematics 14 00973 g002
Figure 3. Graphical representation of the GPHCS.
Figure 3. Graphical representation of the GPHCS.
Mathematics 14 00973 g003
Figure 4. Empirical and fitted survival function for the dataset in Table 6.
Figure 4. Empirical and fitted survival function for the dataset in Table 6.
Mathematics 14 00973 g004
Figure 5. MOPHL distribution fit analysis for the decay time of the dataset in Table 6.
Figure 5. MOPHL distribution fit analysis for the decay time of the dataset in Table 6.
Mathematics 14 00973 g005
Table 1. Measurements of MOPHL using several choices of its parameter values.
Table 1. Measurements of MOPHL using several choices of its parameter values.
α θ γ M V ID CV S K
0.511.10.9090.8270.9101.0000.9208.989
1.150.8700.75550.8680.9990.9239.023
1.20.8330.6950.8341.0010.9198.989
1.250.8000.6400.8001.0000.9219.000
1.30.7690.5920.7701.0010.9198.994
1.51.10.8470.3310.3910.6790.5844.388
1.150.8220.3130.3810.6810.5824.361
1.20.7990.2950.3690.6800.5824.382
1.250.7780.2790.3590.6790.5854.390
1.30.7580.2650.3500.6790.5854.383
1.2511.11.3881.2340.8890.8000.6736.039
1.151.3281.1280.8490.8000.6746.048
1.21.2731.0350.8130.7990.6756.057
1.251.2220.9540.7810.7990.6756.056
1.31.1750.8820.75100.7990.6756.056
1.51.11.1570.4140.3580.5560.3103.422
1.151.1230.3910.3480.5570.3083.409
1.21.0920.3690.3380.5560.3113.415
1.251.0630.3480.3270.5550.3133.442
1.31.0350.3320.3210.5570.3093.409
211.11.6801.4520.8640.7170.5405.162
1.151.6071.3280.8260.7170.5405.166
1.21.5401.2200.7920.7170.5405.163
1.251.4791.1220.7590.7160.5425.182
1.31.4221.0380.7300.7160.5425.176
1.51.11.3300.4470.3360.5030.1853.171
1.151.2910.4210.3260.5030.1843.176
1.21.2550.3980.3170.5030.1853.172
1.251.2220.3750.3070.5010.1893.202
1.31.1900.3570.3000.5020.1863.184
Table 2. The MLEs with Bayesian estimates with the MSE for n = 30 , m = 25 .
Table 2. The MLEs with Bayesian estimates with the MSE for n = 30 , m = 25 .
MLEBayesian
T k CS α θ γ α θ γ
0.512I2.50992.66383.10532.50542.66423.1056
(4.0116)(0.2167)(5.4154)(3.9793)(0.2191)(5.4168)
II1.54673.06282.58651.74052.97702.7009
(0.3857)(0.8429)(1.0855)(0.9764)(1.0306)(1.1133)
III2.20623.03183.20562.20873.03253.2053
(1.4056)(1.1836)(1.5894)(1.4138)(1.1879)(1.5876)
15I1.97812.67912.16821.97982.67792.1659
(3.1250)(0.4625)(1.1199)(3.1356)(0.4618)(1.1156)
II1.04932.84381.25621.06032.85361.2478
(0.4413)(0.3180)(0.1849)(0.4580)(0.3201)(0.1788)
III1.26212.93491.92741.26342.93471.9282
(0.7423)(1.2671)(0.4893)(0.7457)(1.2674)(0.4895)
20I1.48642.53191.11431.48542.53211.1148
(1.8704)(0.3461)(0.2363)(1.8559)(0.3454)(0.2366)
II1.32622.54781.26451.32652.54831.2653
(1.3359)(0.6984)(0.9148)(1.3295)(0.6980)(0.9152)
III0.89802.34120.98970.89772.34170.9888
(0.1940)(0.1051)(0.1059)(0.1914)(0.1049)(0.1057)
0.812I2.38292.86753.07482.34922.87123.0847
(2.5307)(0.2464)(3.3780)(2.3931)(0.2543)(3.4979)
II2.28432.56212.59402.27172.54802.6169
(2.5537)(0.5452)(1.4731)(2.4771)(0.5554)(1.4951)
III2.24042.94794.70702.22852.94164.6917
(1.3709)(1.2979)(4.4404)(1.3332)(1.3262)(4.5471)
15I2.00592.50791.88141.99482.50521.8768
(2.6118)(0.3072)(1.0496)(2.3811)(0.2959)(1.0617)
II1.68542.47171.61691.68792.47441.6165
(1.0445)(0.4312)(0.4852)(1.0641)(0.4397)(0.4785)
III2.96502.34462.55262.95662.35132.5337
(1.8358)(0.1750)(0.4561)(1.7586)(0.1833)(0.4795)
20I1.00212.52730.75990.99282.53290.7598
(0.7299)(0.2017)(0.2303)(0.7249)(0.1978)(0.2245)
II1.09353.04250.92691.07223.04980.9302
(1.2814)(2.0937)(0.3700)(1.1324)(2.0773)(0.3782)
III1.04812.51651.06951.05742.51381.0726
(0.2527)(0.1515)(0.2083)(0.2547)(0.1533)(0.2143)
Table 3. The MLEs with Bayesian estimates with the MSE for n = 34 , m = 31 .
Table 3. The MLEs with Bayesian estimates with the MSE for n = 34 , m = 31 .
MLEBayesian
T k CS α θ γ α θ γ
0.515I1.69832.97492.73281.70662.96382.7294
(0.9137)(0.8548)(1.1884)(0.9547)(0.8362)(1.2104)
II1.28093.11582.61051.26573.12272.6294
(0.4920)(0.4725)(1.5782)(0.4593)(0.4635)(1.6194)
III2.08403.27724.49032.07033.29884.4861
(1.8403)(0.5633)(4.3485)(1.7465)(0.5533)(4.4081)
20I2.30822.60652.97232.37752.61022.9817
(1.1846)(0.5665)(1.9693)(1.3358)(0.5654)(2.0320)
II2.10462.66602.21932.16812.67182.2422
(2.2420)(0.1653)(0.6589)(2.4677)(0.1592)(0.6811)
III2.21752.60852.36892.19092.60512.3751
(2.7432)(0.4430)(0.6322)(2.6482)(0.4482)(0.6468)
25I1.34732.40271.27501.32932.40441.2833
(0.8612)(0.1078)(0.1301)(0.8538)(0.1110)(0.1264)
II1.15002.90760.96141.17092.90860.9530
(0.8077)(0.8260)(0.2545)(0.8997)(0.8487)(0.2463)
III1.77122.30732.07621.76312.31282.0854
(0.6907)(0.1180)(0.4673)(0.7092)(0.1181)(0.4484)
0.815I1.96972.91872.44111.99532.91822.4447
(0.7106)(0.4075)(2.6361)(4.5465)(3.1846)(2.6574)
II1.53823.03141.85481.54993.03411.8634
(0.9404)(1.1943)(0.8153)(0.9615)(1.1781)(0.8404)
III2.33882.85992.85992.39162.76322.8527
(1.9160)(0.3146)(1.3632)(2.1018)(0.3118)(1.3566)
20I1.12942.60981.10681.09352.60591.1074
(1.4708)(0.7027)(0.5163)(1.2989)(0.6894)(0.5352)
II1.34572.47781.13101.36842.47591.1275
(1.0959)(0.2653)(0.1246)(1.1801)(0.2716)(0.1255)
III1.99322.54801.98932.06292.58852.0485
(1.3966)(0.4151)(0.9783)(1.5349)(0.4904)(0.9757)
25I0.86972.20680.67032.19822.11090.5060
(0.5469)(0.2865)(0.2004)(0.1975)(0.4797)(0.1634)
II0.90382.60240.72180.91032.59590.7231
(0.4420)(0.6894)(0.0716)(0.4367)(0.6805)(0.0735)
III1.19762.37100.64261.18882.37220.6439
(1.8747)(0.2645)(0.1806)(1.7783)(0.2651)(0.1797)
Table 4. ACIs and CP of MLEs and Bayesian estimates for n = 30 , m = 25 .
Table 4. ACIs and CP of MLEs and Bayesian estimates for n = 30 , m = 25 .
MLEBayesian
T k CS α θ γ α θ γ
0.512I1.86450.90920.57300.01120.00200.0014
(0.9311)(0.9653)(0.9697)(0.9398)(0.9760)(0.9309)
II2.31211.51340.74440.00740.00250.0025
(0.9550)(0.9704)(0.9309)(0.9525)(0.9385)(0.9894)
III1.51631.34940.75110.00470.00160.0020
(0.9597)(0.9367)(0.9616)(0.9557)(0.9888)(0.9366)
15I1.70430.85970.55600.00560.00130.0016
(0.9504)(0.9581)(0.9674)(0.9516)(0.9645)(0.9792)
II0.67310.87970.42960.06860.04680.0405
(0.9445)(0.9567)(0.9394)(0.9310)(0.9782)(0.9790)
III0.77270.86930.48540.00240.00180.0013
(0.9765)(0.9855)(0.9740)(0.9487)(0.9800)(0.9632)
20I1.07510.69680.36240.00380.00100.0009
(0.9883)(0.9335)(0.9475)(0.9356)(0.9820)(0.9574)
II0.92610.71940.37920.00280.00130.0014
(0.9507)(0.9522)(0.95220)(0.9606)(0.9843)(0.9415)
III0.51930.68020.33130.00110.00070.0009
(0.9518)(0.9408)(0.9355)(0.9631)(0.9364)(0.9552)
0.812I2.39020.89500.65280.20170.04100.0558
(0.9561)(0.9656)(0.9895)(0.9872)(0.9428)(0.9328)
II2.27201.32720.95920.20610.06590.1010
(0.9597)(0.9541)(0.9748)(0.9399)(0.9817)(0.9636)
III1.72811.14630.89300.17740.05650.0982
(0.9443)(0.9674)(0.9400)(0.9755)(0.9898)(0.9483)
15I1.37780.84800.52120.13700.03680.0514
(0.9645)(0.9359)(0.9746)(0.9561)(0.9494)(0.9743)
II1.07960.78830.47380.10280.04430.0479
(0.9605)(0.9404)(0.9892)(0.9312)(0.9584)(0.9539)
III2.08090.90220.65240.20610.04670.0749
(0.9661)(0.9356)(0.9828)(0.9325)(0.9730)(0.9410)
20I0.61620.66230.26580.06110.03710.0311
(0.9550)(0.9310)(0.9663)(0.9421)(0.9631)(0.9695)
II0.62490.71670.28480.07330.04400.0290
(0.9839)(0.9670)(0.9310)(0.9361)(0.9781)(0.9873)
III0.65880.74050.35770.07870.03950.0429
(0.9671)(0.9675)(0.9859)(0.9539)(0.9869)(0.9825)
Table 5. ACIs and CP of MLEs and Bayesian estimates for n = 34 , m = 31 .
Table 5. ACIs and CP of MLEs and Bayesian estimates for n = 34 , m = 31 .
MLEBayesian
T k CS α θ γ α θ γ
0.515I2.18751.34470.87570.22990.09310.0932
(0.9509)(0.9555)(0.9710)(0.9630)(0.9301)(0.9365)
II1.67451.04530.66040.17370.04690.0821
(0.9353)(0.9665)(0.9535)(0.9721)(0.9815)(0.9331)
III1.42360.82620.53500.13340.04550.0475
(0.9776)(0.9796)(0.9674)(0.9832)(0.9494)(0.9518)
20I0.82540.67210.37590.08910.03570.0386
(0.9617)(0.9536)(0.9453)(0.9739)(0.9649)(0.9494)
II0.61570.282500.28250.07780.03490.0297
(0.9841)(0.9403)(0.9806)(0.9491)(0.9579)(0.9842)
III0.95450.64040.44500.10010.03220.0495
(0.9722)(0.9595)(0.9643)(0.9591)(0.9416)(0.9384)
25I1.13991.04180.62760.14010.05340.0611
(0.9437)(0.9841)(0.989)(0.9584)(0.9512)(0.9744)
II0.99091.24920.74510.11000.06640.0750
(0.9385)(0.9838)(0.9776)(0.9747)(0.9714)(0.9430)
III1.61081.22890.79740.15880.08240.0668
(0.9633)(0.9745)(0.9886)(0.9684)(0.9820)(0.9721)
0.815I1.33180.85490.55780.19170.04380.0512
(0.9422)(0.9384)(0.9665)(0.9734)(0.9786)(0.9636)
II0.77040.85010.47690.00230.00190.0015
(0.9698)(0.9405)(0.9792)(0.9779)(0.9469)(0.9667)
III1.46980.86730.56220.14240.04820.0582
(0.9687)(0.9462)(0.9331)(0.9645)(0.9413)(0.9596)
20I0.68780.66000.32060.08220.03040.0389
(0.9529)(0.9420)(0.9821)(0.9819)(0.9398)(0.9892)
II0.75080.67610.33770.08260.03120.0324
(0.9402)(0.9493)(0.9455)(0.9685)(0.9576)(0.9700)
III2.55852.13741.12380.21720.09210.1462
(0.9630)(0.9642)(0.9736)(0.9768)(0.9469)(0.9810)
25I0.22800.62420.13840.02710.02510.0134
(0.9896)(0.9585)(0.9789)(0.9890)(0.9377)(0.9866)
II0.90382.60240.72180.91032.59590.7231
(0.4420)(0.6894)(0.0716)(0.4367)(0.6805)(0.0735)
III0.72570.57650.23050.07180.03140.0228
(0.9702)(0.9588)(0.9620)(0.9475)(0.9773)(0.9853)
Table 6. Times to decay taken for the S c 3 N @ C 80 ( O H ) 18 weight to deteriorate by 2 % .
Table 6. Times to decay taken for the S c 3 N @ C 80 ( O H ) 18 weight to deteriorate by 2 % .
0.9285 0.6334 0.4017 0.3533 0.3365 0.3717 0.4535 0.6350 0.9342 1.3890
2.3833 2.9633 1.9752 1.6998 1.6700 1.4868 1.1915 0.9667 0.8268 0.8432
0.9182 1.0168 0.9915 1.0167 1.0900 1.2667 1.3417 1.4835 1.6750 1.8882
2.1365 2.7803 4.1633 4.7098
Table 7. Measures of goodness-of-fit test for nanocomposite data for 10 distributions.
Table 7. Measures of goodness-of-fit test for nanocomposite data for 10 distributions.
DistributionAICBICLog-LikKS p-ValAD StatCvM Stat
Exponentiated Weibull84.3288.90−39.160.99460.26700.0348
Kumaraswamy–Weibull86.3392.43−39.160.99460.26260.0339
Beta-Weibull86.2992.39−39.140.99510.26740.0349
Transmuted Weibull87.1591.73−40.580.95770.41110.0570
Alpha-Power Exponential85.3088.35−40.650.87200.37660.0478
MOPHL84.41 88.99 −39.20 0.9972 0.2328 0.0285
GLFR85.1889.76−39.590.96340.29700.0388
Exponential Power160.57163.62−78.290.000021.44274.6190
Gumbel Type II86.9189.96−41.450.60820.84230.1336
Weibull86.4789.53−41.240.84380.54810.0812
Table 8. Generated GPHCS data from Table 6.
Table 8. Generated GPHCS data from Table 6.
Scheme 1: k = 25 , T = 1 , R = ( 0 , 1 3 , 0 27 )
0.33650.35330.37170.40170.63340.63500.82680.84320.92850.9342
0.96670.99151.01681.01681.09001.19151.26671.34171.38901.4835
1.48681.67001.67501.88821.9752
Scheme 2: k = 20 , T = 2 , R = ( 0 15 , 1 3 , 0 13 )
0.33650.35330.37170.40170.45350.63340.63500.82680.84320.9182
0.92850.93420.96670.99151.01681.01681.09001.19151.26671.3417
1.48351.48681.67501.69981.88821.9752
Scheme 3: k = 28 , T = 4.2 , R = ( 0 28 , 1 3 )
0.33650.35330.37170.40170.45350.63340.63500.82680.84320.9182
0.92850.93420.96670.99151.01681.01681.09001.19151.26671.3417
1.38901.48351.48681.67001.67501.69981.88821.97522.13652.3833
2.7803
Table 9. Point and interval estimates for α , θ , and γ .
Table 9. Point and interval estimates for α , θ , and γ .
MLEBayesian
Point Interval SEL GE Interval
Scheme 1 α 0.5952[0.5103, 0.6800]0.52850.5236[0.5090, 0.5897]
θ 2.3664[2.2871, 2.4458]2.41472.4145[2.3753, 2.4579]
γ 0.6951[0.6293, 2.7608]0.72180.7208[0.6539, 0.8111]
Scheme 2 α 0.1828[0.1470, 0.2186]0.15520.1511[0.0978, 0.1965]
θ 2.4429[2.3748, 2.5110]2.40882.4086[2.3376, 2.4675]
γ 0.2115[0.1758, 2.2471]0.20850.2083[0.1924, 0.2222]
Scheme 3 α 0.2128[0.1829, 0.2426]0.22810.2279[0.2120, 0.2388]
θ 2.4757[2.4087, 2.5426]2.49942.4994[2.4810, 2.5141]
γ 0.2744[0.2426, 2.3063]0.28060.2805[0.2706, 0.2947]
Table 10. Point and interval estimates of the Rényi entropy I 2 .
Table 10. Point and interval estimates of the Rényi entropy I 2 .
MLEBayesian
Point Interval SEL GE Interval
Scheme 10.5180[ 0.0910 , 0.6062]0.47250.4722[0.3846, 0.5021]
Scheme 20.7914[ 0.2305 , 0.9395]0.77140.7650[0.5982, 0.8943]
Scheme 30.7056[ 0.1890 , 0.8110]0.70120.7011[0.6614, 0.7321]
Table 11. Point and interval estimates of the mean residual life m ( t ) at the specified time T per scheme.
Table 11. Point and interval estimates of the mean residual life m ( t ) at the specified time T per scheme.
MLEBayesian
T Point Interval SEL GE Interval
Scheme 1 1.0 0.4245[0.1267, 0.4950]0.39160.3913[0.3354, 0.4105]
Scheme 2 2.0 0.4792[0.0596, 0.5886]0.49460.4942[0.4396, 0.5687]
Scheme 3 4.2 0.1675[0.0185, 0.2121]0.15720.1573[0.1462, 0.1682]
Table 12. Point and interval estimates of the mean time to failure (MTTF).
Table 12. Point and interval estimates of the mean time to failure (MTTF).
MLEBayesian
Point Interval SEL GE Interval
Scheme 11.0795[0.5713, 1.1729]1.02881.0270[0.9245, 1.0132]
Scheme 21.2779[0.4472, 1.4719]1.23111.2217[1.0344, 1.3837]
Scheme 31.1950[0.4766, 1.3167]1.20391.2038[1.1550, 1.2400]
Disclaimer/Publisher’s Note: The statements, opinions and data contained in all publications are solely those of the individual author(s) and contributor(s) and not of MDPI and/or the editor(s). MDPI and/or the editor(s) disclaim responsibility for any injury to people or property resulting from any ideas, methods, instructions or products referred to in the content.

Share and Cite

MDPI and ACS Style

Adlan, R.; Haj Ahmad, H.; Aboshady, M. The Marshall–Olkin Power Half-Logistic Distribution for Reliability Modeling of Degradation Data Under Generalized Hybrid Censoring. Mathematics 2026, 14, 973. https://doi.org/10.3390/math14060973

AMA Style

Adlan R, Haj Ahmad H, Aboshady M. The Marshall–Olkin Power Half-Logistic Distribution for Reliability Modeling of Degradation Data Under Generalized Hybrid Censoring. Mathematics. 2026; 14(6):973. https://doi.org/10.3390/math14060973

Chicago/Turabian Style

Adlan, Ridab, Hanan Haj Ahmad, and Mohamed Aboshady. 2026. "The Marshall–Olkin Power Half-Logistic Distribution for Reliability Modeling of Degradation Data Under Generalized Hybrid Censoring" Mathematics 14, no. 6: 973. https://doi.org/10.3390/math14060973

APA Style

Adlan, R., Haj Ahmad, H., & Aboshady, M. (2026). The Marshall–Olkin Power Half-Logistic Distribution for Reliability Modeling of Degradation Data Under Generalized Hybrid Censoring. Mathematics, 14(6), 973. https://doi.org/10.3390/math14060973

Note that from the first issue of 2016, this journal uses article numbers instead of page numbers. See further details here.

Article Metrics

Back to TopTop