Next Article in Journal
On Non-Commensurate Fractional-Order System Control
Previous Article in Journal
Diverse Jacobi Elliptic Function Solutions and Dynamical Behaviors for a High-Order KdV Type Wave Equation via Extended F-Expansion Method
 
 
Font Type:
Arial Georgia Verdana
Font Size:
Aa Aa Aa
Line Spacing:
Column Width:
Background:
Article

Maximizing Consumer Surplus via Return Freight Insurance: Single Insurer Monopoly Versus Competitive Provision

Department of Decision Sciences, Macau University of Science and Technology, Macau 999078, China
*
Author to whom correspondence should be addressed.
Mathematics 2026, 14(5), 888; https://doi.org/10.3390/math14050888
Submission received: 8 February 2026 / Revised: 28 February 2026 / Accepted: 4 March 2026 / Published: 5 March 2026

Abstract

This paper examines how e-commerce retailers should structure return freight insurance (RFI) partnerships—exclusive single-insurer or competitive multi-insurer—to maximize consumer surplus. Using a game-theoretic model with heterogeneous consumers and vertically differentiated insurance products, we find that monopolistic RFI provision can paradoxically enhance consumer welfare over competition when markets exhibit high heterogeneity, limited loss aversion, and low compensation levels. The monopoly’s advantage stems from unified risk pooling, preventing adverse selection, cross-subsidization maintaining universal coverage, and quality preservation avoiding competitive price degradation. Optimal premiums show non-monotonic relationships with market parameters, creating distinct pricing regimes. Our results suggest retailers should match market structure to consumer characteristics: exclusive arrangements for heterogeneous, price-sensitive markets, while competitive provision for homogeneous, loss-averse segments. These insights advance our understanding of platform economics and inform tailored market design for internet insurance.

1. Introduction

The rapid development of e-commerce has significantly changed consumer behavior and market structures worldwide. A critical challenge in this digital marketplace is managing product returns, which impose substantial costs on both retailers and consumers. According to the National Retail Federation’s 2025 Retail Returns Landscape report, total returns for the retail industry are projected to reach $849.9 billion in 2025, with an estimated 19.3% of online sales being returned—nearly double the rate of in-store purchases [1]. This challenge is not unique to the United States: a 2025 Statista report highlights that 81% of internet users in India reported returning an item purchased online in the past year, followed by 66% in China, 54% in Germany, 50% in the U.K., and 48% in the U.S. [2]. These high return rates create mounting financial pressure and operational complexity for online retailers, intensifying the tension between customer-centric service expectations and cost efficiency.
To address these challenges and improve the post-purchase experience, return freight insurance (RFI) has emerged as a promising solution (e.g., [3,4,5,6,7]). RFI is a financial protection product that covers the cost of return shipping when consumers need to send back unsatisfactory or mismatched products purchased online. By shifting part of the return burden from consumers to insurers, RFI reduces perceived risk and encourages more confident purchase behavior in online environments. Originally introduced by Taobao in 2010 [8], RFI has evolved from a niche offering to a widely adopted service across major e-commerce platforms, such as JD and Taobao. Its utility is especially pronounced in high-return categories such as apparel and electronics, where buyer uncertainty is common. By 2022, RFI premium income in China had reached approximately 1.28 billion USD, representing a 51.3% year-on-year growth and accounting for 15.6% of the country’s internet property insurance market [9].
As the internet insurance continues to expand and evolve, RFI offerings are becoming increasingly segmented and diversified [10]. Mirroring developments in traditional insurance sectors, RFI is shifting toward greater customization, with coverage designs tailored to consumer behaviors, risk preferences, and service expectations. In response, many e-tailers and e-commerce platforms now typically offer two differentiated types of RFI—Low-Coverage RFI (LRFI) and Full-Coverage RFI (FRFI)—allowing consumers to select an option that aligns with their individual needs. LRFI provides fixed cash compensation for return shipping at a lower premium, making it suitable for price-sensitive consumers or low-value purchases. In contrast, FRFI often includes integrated logistics services and enables full reimbursement of actual return shipping costs, offering a more comprehensive risk coverage.
When offering differentiated RFI services, the choice of market structure becomes crucial. Platforms and e-tailers must decide between partnering with a single exclusive insurer or engaging multiple competing insurers. The single-insurer structure emphasizes integration and consistency, while the multi-insurer approach harnesses market forces to potentially lower prices and enhance service quality through rivalry. This structural evolution is exemplified by Taobao’s trajectory—initially partnering exclusively with Huatai Insurance when pioneering RFI in the early 2010s, and subsequently opening the market to additional insurers such as Zhongan, thereby fostering competition in return insurance provision. Such strategic decisions have significant implications not only for platform governance and insurer profitability, but also for consumer welfare, particularly as RFI becomes an integral component of the post-purchase experience in global e-commerce.
In this context, it becomes essential to evaluate market structure not solely from the standpoint of insurer competition, but from the broader perspective of consumer welfare maximization. This shift in perspective is motivated by three strategic considerations. First, in increasingly competitive e-commerce environments, platforms that prioritize consumer welfare are better positioned to cultivate long-term customer loyalty and expand market share. Second, evolving regulatory frameworks increasingly require platforms to safeguard consumer interests. Legislation such as the EU’s Digital Services Act and China’s e-commerce regulations mandates enhanced consumer protection measures, making welfare analysis critical for regulatory compliance. Third, maximizing consumer surplus can be consistent with sustained profitability through mechanisms such as network effects and reputational capital, particularly for platforms seeking to achieve or maintain market leadership.
While existing literature has extensively examined optimal RFI strategies for e-tailers from the perspective of maximizing profits [11,12], relatively little attention has been given to the consumer welfare implications of offering RFI—particularly how such insurance can be designed to benefit consumers. While existing literature has extensively examined optimal RFI strategies for e-tailers from the perspective of maximizing profits [13,14], relatively little attention has been given to the consumer welfare implications of offering RFI—particularly how such insurance can be designed to benefit consumers.
This study addresses that gap by exploring the strategic interactions between online retailers and insurance providers in the context of differentiated RFI offerings. We develop a game-theoretic model that captures a triadic market involving retailers, insurers, and heterogeneous consumers, where consumers differ in both their return propensities and return freight costs. Through this analytical framework, we derive counterintuitive insights that challenge conventional economic wisdom about competitive markets.
Our analysis reveals three key findings. First, we demonstrate that monopolistic insurance provision can dominate competitive markets in maximizing consumer welfare under specific conditions—particularly when markets exhibit high consumer heterogeneity, limited loss aversion, and minimal compensation levels. This finding contradicts the standard economic presumption that competition universally enhances consumer welfare. Second, we identify the mechanisms through which monopolistic coordination creates value: the single insurer’s ability to internalize market-wide externalities enables cross-subsidization strategies that preserve both universal coverage and service quality, while competitive markets suffer from adverse selection spirals and destructive price competition. Third, we reveal non-monotonic relationships between optimal RFI pricing and market parameters, with distinct pricing regimes emerging across different parameter regions under both monopolistic and competitive provision.
This study advances our understanding of insurance market design in digital commerce by demonstrating that the optimal market structure depends critically on the interplay between consumer characteristics and behavioral factors. By identifying conditions under which monopolistic coordination dominates competition, we provide a more nuanced framework for evaluating insurance partnerships in online retail markets. These insights contribute to the growing literature on platform economics while offering practical guidance for retailers, insurers, and platforms navigating the evolving landscape of e-commerce risk management.
The rest of this paper is organized as follows. Section 2 reviews the most relevant literature on return freight insurance. Section 3 presents the model setup, including consumer heterogeneity, market structure specifications, and the sequence of strategic interactions. Section 4 analyzes equilibrium outcomes under both monopolistic and competitive insurance provision, deriving optimal pricing strategies, market coverage, and consumer welfare implications. Section 6 concludes with research findings and managerial insights. All proofs are provided in Appendix A.

2. Literature Review

The rapid growth of e-commerce has fundamentally reshaped retail operations, with product returns becoming a central operational and strategic challenge for both retailers and consumers. This section reviews two related research streams: (a) the evolution of product return policies from traditional brick-and-mortar to online settings, and (b) the emergence of return freight insurance (RFI) as a novel risk-management tool in e-commerce. We conclude the section by clarifying the gap that motivates our study.

2.1. Evolution of Product Return Policies

Research on product return policies has its roots in the economics of money-back guarantees (MBGs) and warranties, which analyze how post-purchase guarantees influence demand, risk allocation, and firm strategy [15]. Early work shows that MBGs and similar guarantees can act as signals of product quality and tools for market expansion, while simultaneously introducing operational and financial burdens related to handling returned products [16,17]. These contributions were developed primarily in traditional retail environments, where physical inspection before purchase reduces uncertainty.
The shift to e-commerce significantly amplifies the role and complexity of returns. Empirical studies document that online return rates are systematically higher than those in physical stores, with some product categories (e.g., apparel) experiencing return rates as high as 30–40% [18,19]. This increase is largely attributed to consumers’ inability to inspect products ex ante and to greater uncertainty regarding fit, quality, and product attributes. In response, retailers and platforms have developed a range of innovative return services to mitigate perceived risk and logistical frictions, including virtual showrooms and virtual try-on tools [20], buy-online-return-in-store (BORS) programs that leverage offline networks [21,22], and buy-online-return-near-store (BORNS) options that provide convenient local return points [23]. Together, this literature establishes product returns as a key element of omnichannel design and customer experience management, and it highlights the need for mechanisms that both control return-related costs and alleviate consumers’ perceived risk.

2.2. Return Freight Insurance

Within this broader evolution of return management, return freight insurance (RFI) has emerged as a distinctive mechanism that transfers return-shipping risk from consumers to insurers [4,5]. First introduced by Taobao in 2010, RFI represents a conceptual shift from retailer- or consumer-borne return costs to insurance-based risk sharing [8]. By covering part or all of the return freight cost, RFI can simultaneously reduce consumers’ perceived risk, influence purchase and return decisions, and reshape the distribution of costs and benefits across supply-chain participants [24,25].
A first stream of RFI research examines its signaling role [8,26]. Geng and Li [26] show that high-quality retailers benefit more from offering RFI, as the insurance serves as a credible signal of product quality under asymmetric information. Zhang et al. [8] analytically and empirically reinforce this view, demonstrating that RFI adoption is positively associated with retailer quality and can function as an effective quality signal on online platforms.
A second stream focuses on the operational and contractual value of RFI in different channel structures. Lin et al. [27] analyze how consumer heterogeneity in product valuation and freight cost shapes the value of freight insurance and the retailer’s optimal pricing and return policy, highlighting the interaction between insurance premiums and return logistics costs. Fan and Chen [11] study manufacturer–retailer relationships and find that manufacturers may optimally subsidize RFI premiums to stimulate downstream competition and improve their own performance. Li et al. [6] extend the analysis to multi-channel environments, showing that the value of return shipping insurance depends critically on return rates, product differentiation, and whether the insurance is offered for free or for a fee. More recent work further embeds RFI into competitive online markets, investigating how it affects pricing, competition among e-sellers, and overall welfare [5,12,14,28,29]. For example, Chen et al. [5] show that RFI can help “extract values from consumer returns” in markets with competing e-sellers, while its impact depends on the equilibrium interplay among prices, return policies, and insurance terms.
A third stream incorporates behavioral factors into RFI design. Bian and Xiao [3] introduce consumer disappointment aversion into models of returns management with freight insurance, showing that behavioral preferences alter optimal insurance and pricing decisions. Li et al. [7] examine consumers’ anticipated regret and demonstrate that RFI can be used strategically to manage regret and influence purchase and return decisions.
Despite this growing body of work primarily focused on e-tailers’ profit maximization [3,5,7,11,13], research has largely overlooked the consumer welfare implications of RFI offerings—particularly the optimal design of insurance products to maximize consumer benefits. Moreover, existing studies typically treat the insurer’s role as exogenous, examining whether retailers or platforms should offer RFI without analyzing how insurers strategically design differentiated RFI products (e.g., low-coverage versus full-coverage options) in response to consumer heterogeneity [3,5,7,11,13,27,30]. Additionally, current models often assume either monopolistic market structures or lack explicit comparisons between monopolistic and competitive provision [7,11,13]. Table 1 lists the most relevant literature to this article.
This paper contributes to filling these gaps in three ways. First, it models insurers as strategic price setters who design a menu of differentiated RFI products—low-coverage RFI (LRFI) and full-coverage RFI (FRFI)—for a heterogeneous consumer base with different return propensities and freight costs. Second, it explicitly compares monopolistic versus competitive insurer structures, asking when an exclusive single-insurer arrangement or a dual-insurer setting yields higher consumer surplus. Third, by endogenizing both coverage structure and premiums under alternative market structures, the analysis links contract design, consumer heterogeneity, and insurer market power, and characterizes conditions under which monopolistic provision can dominate competitive provision in terms of consumer welfare.

3. Problem Description

We consider an e-tailer that sells a single product and collaborates with insurance providers to offer consumers two differentiated return freight insurance (RFI) options. The first option provides partial coverage at a lower premium, referred to as the low-coverage RFI (LRFI) and denoted by subscript c. Under this strategy, insured consumers receive a fixed monetary compensation c r for each product return, where c r corresponds to the minimum return freight cost. This compensation partially offsets the return freight incurred by consumers. The second option provides full coverage at a higher premium, referred to as the full-coverage RFI (FRFI) and denoted by subscript f. Under this strategy, insured consumers receive full reimbursement of the realized return shipping cost, thereby completely eliminating return freight expenses. Conceptually, these two insurance options mirror the distinction between partial and full coverage commonly observed in automobile insurance markets, reflecting a trade-off between premium levels and the extent of risk protection.
The e-tailer’s decision problem is to determine its collaboration structure with insurance providers so as to maximize consumer surplus. Specifically, the e-tailer may either (i) partner with a single exclusive insurance provider that offers both LRFI and FRFI, or (ii) collaborate with two separate insurance providers, each supplying one insurance option. This channel structure affects premium competition between insurance providers and, consequently, consumer surplus.
The consumer base is normalized to 1, and each consumer is assumed to purchase exactly one product. Consumers are heterogeneous in their product valuations, denoted by v i . In addition, consumers differ along two return-related dimensions.
First, consumers differ in their return propensity γ i , which follows a two-point distribution, with γ i { γ l , γ h } , Pr ( γ i = γ l ) = τ , and Pr ( γ i = γ h ) = 1 τ , where γ l < γ h . This distinction captures a stylized but meaningful difference between two broad consumer types commonly observed in e-commerce markets. Consumers with low return propensity ( γ l ) may correspond to more deliberate purchasers who engage in product search, compare specifications carefully, and have relatively stable purchase intentions. By contrast, consumers with high return propensity ( γ h ) may represent more experience-driven or impulsive buyers, whose purchase decisions are more likely to result in fit, quality, or expectation mismatches after delivery. In this sense, the parameter τ characterizes the composition of the consumer market and links the model to observable differences across product categories. For example, categories such as furniture or custom goods may exhibit a relatively low share of low-return consumers, whereas categories such as apparel or beauty products may involve a much higher return propensity. In practice, retailers can use historical return records, transaction-level data, and customer segmentation and customer segmentation analytics to estimate the proportion of high- and low-return consumers.
Second, consumers also face heterogeneous return shipping costs f i , which are independently and uniformly distributed over the interval [ c r , 1 ] , where c r denotes the minimum return freight cost and 1 corresponds to the maximum feasible return cost. Typically, c r is determined by the lowest available shipping rate, a parameter readily calibrated using market data. Accordingly, heterogeneity in f i reflects the fact that different consumers may face different economic burdens when returning products, even within the same product category. The lower bound c r is also economically meaningful, as it corresponds to the minimum reimbursement benchmark embedded in low-coverage return freight insurance (LRFI), thereby providing a direct link between the cost structure and the insurance contract.
To capture the psychological cost of returns, we incorporate loss aversion following prospect theory [31]. Specifically, we introduce a loss aversion coefficient β > 1 that scales the disutility from paying the return shipping fee. This formulation captures the empirical regularity that consumers experience disproportionately larger utility losses from return-related payments than gains of the same magnitude. Empirical evidence suggests that β typically ranges between 1 and 3 in retail settings [32]. Accordingly, our analysis considers β [ 1 , 3 ] . Practically, retailers may calibrate this parameter by leveraging targeted consumer surveys or analyzing aggregate industry data.
The sequence of events is as follows, as illustrated in Figure 1. First, the e-tailer determines the RFI collaboration structure—either an exclusive insurer offering both LRFI and FRFI or two competing insurers each offering one insurance option. Second, insurers set the premiums for LRFI and FRFI, denoted by p c and p f , respectively, with the premium difference defined as Δ p = p f p c . Finally, consumers decide whether to purchase the product and, conditional on purchase, whether to buy return freight insurance and which type of RFI to choose. Table 2 summarizes the notations used throughout the paper.

4. Modeling

In this section, we model the offering of differentiated RFI products under alternative insurer market structures. Section 4.1 analyzes a single exclusive insurer setting, in which one insurer collaborates with the e-tailer to offer both low-coverage and full-coverage RFI, with the corresponding market structure presented in Figure 2a. Section 4.2 examines a competitive insurer setting, where two insurers independently offer differentiated RFI products, as illustrated in Figure 2b.

4.1. A Single Exclusive Insurer Setting

We begin by analyzing the subgame in which a single exclusive insurer offers both LRFI and FRFI (denoted by superscript M). In this setting, the insurer determines the premiums for both insurance options. Consumers who purchase the product then decide whether to purchase return freight insurance and, if so, which type to choose. Each consumer faces three alternatives: purchasing the product without any RFI, purchasing it together with LRFI, or purchasing it together with FRFI.

4.1.1. Consumers’ Choice

We next characterize the expected utility associated with each option. If consumer i purchases the product without any RFI, a matched product yields a surplus of v i , whereas a mismatched product generates a loss of f i . Incorporating loss aversion, the expected utility in this case is u ¯ i = ( 1 γ i ) v i β γ i f i . If consumer i purchases the product together with LRFI, the insurer provides partial coverage for return freight risk by offering a fixed monetary compensation c r when a return occurs. In this case, a matched product yields a surplus of v i p c , whereas a mismatched product results in a loss of f i c r + p c . Accounting for loss aversion, the expected utility of consumer i from purchasing LRFI is given by u i c = ( 1 γ i ) v i β γ i ( f i c r ) p c . If consumer i purchases the product together with FRFI, the insurer fully reimburses the realized return freight cost incurred by the consumer. Consequently, a matched product generates a surplus of v i p f , while a mismatched product results in a loss equal to the insurance premium paid. The expected utility from purchasing FRFI is therefore u i f = ( 1 γ i ) v i p f .
A rational consumer chooses the option to maximize his expected utility: LRFI if u i c max { u ¯ i , u i f } ; FRFI if u i f max { u ¯ i , u i c } , and no RFI otherwise. We assume that when a consumer is indifferent between purchasing and not purchasing an insurance option, the consumer chooses to purchase. If a consumer is indifferent between LRFI and FRFI, the consumer randomly chooses one of the two options.
Corollary 1.
The equilibrium premium for low-coverage return freight insurance (LRFI) is independent of consumers’ realized return freight costs. Instead, it depends solely on consumers’ return propensities, loss aversion, and the fixed compensation level. Specifically, the insurer optimally adopts one of two LRFI pricing strategies:
(1) 
Low-priced LRFI strategy: p c = β γ l c r ;
(2) 
High-priced LRFI strategy: p c = β γ h c r .
These two pricing strategies correspond to targeting only high-return-propensity consumers or both consumer types, respectively.
Corollary 1 identifies the insurer’s optimal pricing strategies for LRFI. The key insight is that the equilibrium LRFI premium associated with fixed compensation is independent of consumers’ realized return freight costs and depends only on consumers’ return propensities, loss aversion, and the compensation level. Because return propensities take only two possible values, the insurer optimally sets the LRFI premium at one of two discrete levels, p c = β γ h c r or p c = β γ l c r , thereby selecting the target consumer segment.
This discrete nature of the optimal premium follows from a screening logic driven by consumers’ private return propensities. Under LRFI, a consumer with return propensity γ i values the fixed compensation c r in expectation by β γ i c r . Hence, the willingness to pay for LRFI is W T P ( γ i ) = β γ i c r , which takes only two values: W T P ( γ l ) = β γ l c r and W T P ( γ h ) = β γ h c r . The resulting two-point willingness-to-pay structure implies that LRFI demand is piecewise constant in p c , which rules out interior pricing solutions. If p c ( β γ l c r , β γ h c r ] , only high-return consumers purchase LRFI; in this region, increasing p c raises revenue per insured consumer without reducing LRFI demand, so any interior premium is dominated by setting p c = β γ h c r . If p c β γ l c r , both consumer types purchase LRFI, and increasing p c up to β γ l c r increases revenue without changing participation, so any interior premium below β γ l c r is dominated by setting p c = β γ l c r . Therefore, no interior solution can be optimal, and the insurer optimally chooses one of the two boundary premiums.
We next analyze consumers’ choices under these two LRFI pricing strategies. Given either strategy, consumers compare the expected utilities from LRFI, FRFI, and remaining uninsured.
When the insurer adopts the low-priced LRFI strategy, i.e., p c = β γ l c r , both low- and high-return-propensity consumers may obtain nonnegative surplus from LRFI. Consequently, consumers’ insurance choices reflect a trade-off between partial and full coverage: consumers with sufficiently high return freight costs prefer FRFI, whereas those with lower return freight costs prefer LRFI. This trade-off generates cutoff rules in return freight cost that determine consumer choices.
In contrast, when the insurer adopts the high-priced LRFI strategy, i.e., p c = β γ h c r , LRFI is no longer attractive to low-return-propensity consumers, who may be priced out of the partial-coverage option. High-return-propensity consumers continue to face a trade-off between LRFI and FRFI, whereas low-return-propensity consumers choose between FRFI and remaining uninsured. This asymmetry leads to distinct cutoff structures across consumer types.
Lemma 1 formalizes consumer choices under the two LRFI pricing strategies by deriving the return freight cost thresholds that separate choices among LRFI, FRFI, and no insurance.
Lemma 1.
This lemma characterizes consumers’ choices under different LRFI pricing strategies.
(1) 
Under low-priced LRFI strategy, a consumer with return propensity γ i chooses FRFI if f i c r + Δ p β γ i , and chooses LRFI otherwise.
(2) 
Under high-priced LRFI strategy, a high-return-propensity consumer ( γ i = γ h ) chooses FRFI if f i c r + Δ p β γ h , and chooses LRFI otherwise; a low-return-propensity consumer ( γ i = γ l ) chooses FRFI if f i γ h γ l c r + Δ p β γ l , and remains uninsured otherwise.
Figure 3 illustrates how LRFI pricing shapes the consumer sorting across insurance options. Under the low-priced LRFI regime, the return freight cost space is divided by two cutoff thresholds derived from consumers’ indifference conditions between LRFI and FRFI. Because high-return consumers have a greater expected valuation of coverage, their switching threshold occurs at a lower return cost. As a result, high-return consumers transition to FRFI earlier than low-return consumers as return costs increase. The piecewise structure of consumer surplus, therefore, reflects endogenous sorting driven by heterogeneous risk exposure.
Under the high-priced LRFI regime, the LRFI premium exceeds the willingness to pay of low-return consumers, effectively excluding them from the LRFI market. The remaining segmentation is sharper: low-return consumers with low return costs opt out of insurance, while high-return consumers select FRFI. In this case, pricing operates as a screening device that separates consumer types and compresses the market into more polarized participation regions.
Importantly, the integrals used to derive demand for each RFI product correspond directly to the measure of consumers within each partitioned region. Figure 3, therefore, provides a geometric representation of how pricing regimes shape hedging incentives, screening effects, and overall market coverage.

4.1.2. Insurer’s Optimal Premium Setting

We now analyze the single exclusive insurer’s optimal premium-setting for both LRFI and FRFI, taking consumer choices derived in Lemma 1 as given. We first derive the insurer’s optimal FRFI premium under the low-priced LRFI strategy, followed by the case under the high-priced LRFI strategy. We then compare the resulting profits to determine the insurer’s optimal LRFI strategy and FRFI pricing.
Case 1: Low-Priced LRFI Strategy. We first consider the case in which the insurer adopts the low-priced strategy for the low-coverage return freight insurance (LRFI), i.e., p c = β γ l c r . Under the LRFI strategy, both low- and high-return-propensity consumers may find LRFI attractive, depending on their return freight costs. Aggregating consumers’ choices based on Lemma 1 yields the insurer’s demand for LRFI and FRFI. The demand for low-coverage return freight insurance is given by
D c = Δ p β ( 1 c r ) 1 τ γ h + τ γ l ,
while the corresponding demand for full-coverage return freight insurance is
D f = 1 Δ p β ( 1 c r ) 1 τ γ h + τ γ l .
The normalization factor 1 / ( 1 c r ) ensures that the total market size equals one. Consumers with high and low return propensities occur with probabilities 1 τ and τ , respectively. These demand expressions capture how consumers self-select between LRFI and FRFI as a function of their return freight costs and the premium difference Δ p = p f p c .
From the insurer’s perspective, expected costs arise solely from product returns. For LRFI policies, the insurer incurs an expected payout of γ i c r , reflecting the fixed cash compensation paid upon a return. For FRFI policies, the insurer bears the logistics cost of returns, with expected cost given by γ i f ¯ , where f ¯ = ( 1 + c r ) / 2 denotes the average return freight cost.
Combining demand and cost components, the monopolistic insurer’s expected profit can be decomposed into profits from LRFI and FRFI:
Π = Π c + Π f .
The profit from LRFI is
Π c = Δ p β ( 1 c r ) τ ( β γ l γ l ) c r + ( 1 τ ) ( β γ l γ h ) c r ,
and the profit from FRFI is
Π f = i { l , h } Pr ( γ i ) 1 Δ p β γ i ( 1 c r ) β γ l c r + Δ p γ i f ¯ .
Optimizing the insurer’s total profit with respect to p f yields the equilibrium FRFI premium under the low-priced LRFI strategy, as stated in Lemma 2.
Lemma 2.
Under the low-priced LRFI strategy ( p c = β γ l c r ), there exists a unique FRFI premium that maximizes the monopolistic insurer’s profit, given by
p l f M = β γ l c r + ( 2 β + 1 ) ( 1 c r ) γ h γ l 4 ( 1 τ ) γ l + τ γ h .
The corresponding equilibrium demands are D l c M = 1 2 + 1 4 β for LRFI and D l f M = 1 2 1 4 β for FRFI. The associated equilibrium profit is given in closed form in the Appendix A.
Case 2: High-Priced LRFI Strategy. Under the high-priced LRFI strategy, i.e., p c = β γ h c r , LRFI is no longer attractive to low-return-propensity consumers, who may be priced out of the partial-coverage option altogether. Consequently, only high-return-propensity consumers potentially purchase LRFI, while low-return-propensity consumers choose between FRFI and remaining uninsured, depending on their return freight costs.
Aggregating consumers’ equilibrium choices yields the insurer’s demand for LRFI and FRFI under the high-priced LRFI strategy. The demand for LRFI is given by
D c = ( 1 τ ) Δ p β γ h ( 1 c r ) .
The corresponding demand for FRFI is
D f = 1 τ 1 c r 1 c r Δ p β γ h + τ 1 c r 1 γ h γ l c r Δ p β γ l .
As in the low-priced LRFI case, expected costs arise solely from product returns. For LRFI sales, the insurer incurs an expected payout of γ i c r , reflecting the fixed cash compensation paid upon a return. For FRFI sales, the insurer bears the return logistics cost, with expected cost given by γ i f ¯ .
Under the high-priced LRFI strategy, the insurer’s expected profit can again be decomposed into profits from LRFI and FRFI:
Π = Π c + Π f ,
where Equation (7) represents the profit from LRFI and Equation (8) denotes the profit from FRFI.
Π c = ( 1 τ ) Δ p 1 c r · β 1 β c r
Π f = 1 2 β 2 ( 1 c r ) [ τ γ l β γ l β γ h c r Δ p β 2 β γ l c r + 2 Δ p γ l γ h c r Δ p + 1 τ γ h β γ h ( 1 c r ) Δ p β 2 β γ h c r + 2 Δ p γ h ( 1 + c r ) Δ p ]
Optimizing the insurer’s total profit with respect to the FRFI premium p f yields the equilibrium pricing outcome under the high-priced LRFI strategy, as stated in Lemma 3.
Lemma 3.
Under the high-priced LRFI ( p c = β γ h c r ), there exists a unique FRFI premium that maximizes the monopolistic insurer’s profit, given by
p h f M = β γ h c r + ( 2 β + 1 ) ( 1 c r ) γ l γ h 2 τ c r γ h [ 2 β γ h ( 1 + β ) γ l ] 4 [ γ h + ( 1 τ ) γ l ] .
The corresponding equilibrium demands are D h c M = ( 1 τ ) [ ( 1 c r ) ( 2 β + 1 ) γ l + 2 τ c r ( ( 1 + β ) γ l 2 β γ h ) ] 4 β ( 1 c r ) [ γ h + ( 1 τ ) γ l ] for LRFI and D h f M = ( 2 β 1 ) ( 1 c r ) + 2 τ c r ( β 1 ) 4 β ( 1 c r ) for FRFI. The associated equilibrium profit is given in closed form in the Appendix A.
The insurer’s Optimal Pricing. We now compare the insurer’s equilibrium profits under the two LRFI pricing strategies—low-priced and high-priced—in order to identify the optimal LRFI strategy and the corresponding FRFI premium within the single exclusive insurer setting.
Proposition 1.
Consider a single exclusive insurer structure. There exist thresholds 0 < τ 1 < τ 2 < 1 such that the insurer’s optimal RFI pricing strategy is characterized as follows:
1. 
Low- τ  region. For τ < τ 1 , the insurer adopts the low-priced LRFI strategy with p c = β γ l c r and sets the FRFI premium at p f = p l f M if and only if c r > c ^ r . Otherwise, the high-priced LRFI strategy with p c = β γ h c r and the FRFI premium p f = p h f M are optimal.
2. 
Intermediate- τ  region. For τ [ τ 1 , τ 2 ] , the insurer unconditionally adopts the low-priced LRFI strategy with p c = β γ l c r and sets p f = p l f M for all c r ( 0 , 1 ) .
3. 
High- τ  region. For τ > τ 2 , the insurer adopts the low-priced LRFI strategy with p c = β γ l c r and sets p f = p l f if and only if c r < c ^ r . Otherwise, the high-priced LRFI strategy with p c = β γ h c r and the FRFI premium p f = p h f M are optimal.
The thresholds τ 1 , τ 2 , and c ^ r are formally defined in the Appendix A.
Proposition 1 shows that the insurer’s optimal pricing strategy depends on both consumer composition ( τ ) and the compensation level ( c r ) non-monotonically. This pattern reflects the changing balance among three economic forces: hedging through risk pooling across heterogeneous consumers, screening through selective participation, and margin extraction from insured consumers. As τ varies, these forces interact differently and generate three distinct strategic regions.
In the low- τ region ( τ < τ 1 ), high-return consumers account for a relatively large share of the market. Because consumer composition is skewed, the scope for hedging through risk pooling is limited, while the value of screening is high. In this region, the insurer places greater weight on preserving margin and limiting exposure to costly returns. As a result, when compensation is not too high, the high-priced LRFI strategy becomes attractive because it allows the insurer to screen more aggressively and extract greater surplus from high-return consumers. When compensation rises, however, the insurer has stronger incentives to adopt the low-priced LRFI strategy so as to maintain broader participation.
In the intermediate- τ region ( τ [ τ 1 , τ 2 ] ), the market contains a more balanced mix of high- and low-return consumers. This heterogeneity improves hedging opportunities, since the insurer can pool return risk across consumer types. As a result, the need for aggressive screening is reduced, and the insurer optimally adopts the low-priced LRFI strategy for all compensation levels. In this region, expanding coverage is more valuable than sacrificing participation to extract higher margins from a narrower set of consumers.
In the high- τ region ( τ > τ 2 ), low-return consumers become the dominant segment. The benefit of extracting margin from high-return consumers declines, while the importance of maintaining participation among low-return consumers increases. At the same time, the profitability of serving the remaining high-return segment becomes more sensitive to compensation. Consequently, the insurer again faces a trade-off among hedging, screening, and margin, and the optimal pricing regime depends on whether compensation is sufficiently low or sufficiently high.
Figure 4 illustrates these regime transitions empirically. The non-monotonic profit functions demonstrate that LRFI pricing serves multiple strategic roles beyond simple cost recovery—it functions as a market segmentation tool, risk selection mechanism, and profit optimization lever.
From a managerial perspective, this analysis underscores that insurers cannot rely on static pricing rules. Optimal LRFI pricing requires dynamic adjustment based on evolving market composition and cost structures. Moreover, the complementarity between LRFI and FRFI pricing suggests that insurers should view their product portfolio holistically, using partial coverage products not merely as standalone offerings but as strategic instruments that shape the profitability of full coverage alternatives.

4.1.3. Consumer Surplus

This section analyzes consumer surplus under the market structure of a single exclusive insurer, whose equilibrium outcomes are characterized in Proposition 1. We derive consumer surplus for each insurance option and then aggregate across all consumers to assess the surplus implications of the retailer’s adoption of an exclusive insurer arrangement.
For consumers who purchase LRFI, their surplus from the return service is given by:
C S i c = β γ i c r p c ,
where the first term represents the expected utility gain from compensation and the second term captures the premium cost. Similarly, the consumer surplus from FRFI is:
C S i f = β γ i f i p f
Under the low-priced LRFI strategy ( p c = β γ l c r ), consumer surplus varies by type. For low-return-propensity consumers ( γ i = γ l ), those purchasing LRFI obtain zero surplus since they pay exactly their willingness-to-pay:
C S i c = β γ l c r β γ l c r = 0 .
Alternatively, those purchasing FRFI obtain a positive surplus:
C S i f = β γ l f i p l f M .
For high-return-propensity consumers ( γ i = γ h ), those purchasing LRFI enjoy positive surplus:
C S i c = β γ h c r β γ l c r = β c r ( γ h γ l ) ,
as they pay the lower premium designed for low-return types. Those purchasing FRFI obtain:
C S i f = β γ h f i p l f M .
Aggregate consumer surplus under the low-priced LRFI strategy is given by:
C S l M = τ c r c r + Δ p β γ l 0 · 1 1 c r d f + τ c r + Δ p β γ l 1 ( β γ l f p l f M ) 1 1 c r d f + ( 1 τ ) c r c r + Δ p β γ h β c r ( γ h γ l ) · 1 1 c r d f + ( 1 τ ) c r + Δ p β γ h 1 ( β γ h f p l f M ) 1 1 c r d f
Under the high-priced LRFI strategy ( p c = β γ h c r ), the market dynamics shift. The low-return-propensity consumers ( γ i = γ l ) are effectively priced out of the LRFI market, as the premium exceeds their willingness-to-pay. They face two options: purchase FRFI when f i γ h c r / γ l + Δ p / β γ l , obtaining surplus:
C S i f = β γ l f i p h f M
or remain uninsured, retaining their zero return service utility:
C S i N = 0
The high-return-propensity consumers ( γ i = γ h ): pay exactly their willingness-to-pay for LRFI, yielding zero surplus:
C S i c = β γ h c r β γ h c r = 0
And those purchasing FRFI obtain:
C S i f = β γ h f i p h f M
Aggregate consumer surplus under high-priced LRFI is given by:
C S h M = τ γ h c r γ l + Δ p β γ l 1 ( β γ l f p h f M ) 1 1 c r d f + ( 1 τ ) c r + Δ p β γ h 1 ( β γ h f p h f M ) 1 1 c r d f
The welfare comparison reveals a fundamental trade-off between the two pricing strategies. The low-priced LRFI strategy achieves broader market coverage but extracts full surplus from low-return consumers while providing positive surplus to high-return consumers who purchase LRFI. In contrast, the high-priced LRFI strategy excludes low-return consumers from LRFI entirely and extracts full surplus from high-return LRFI purchasers, potentially resulting in lower overall consumer welfare. Consequently, the optimal strategy from a consumer welfare perspective depends on several key factors: the proportion of consumer types ( τ ), the compensation level ( c r ), the degree of loss aversion ( β ), and the equilibrium FRFI premium under each strategy. These welfare results provide critical guidance for e-tailers seeking to maximize consumer benefits when structuring their RFI partnerships.

4.2. A Two-Insurer Competitive Setting

Following the single exclusive insurer setting analyzed in Section 4.1, we now turn to a competitive environment with two insurance providers (denoted by superscript C). Motivated by emerging practices in e-commerce platforms, we consider a retailer that partners with two competing insurers, each offering a differentiated RFI product. One insurer offers a low-coverage RFI, while the other provides a full-coverage RFI.
In the competitive setting, the LRFI insurer’s pricing choice is consistent with the screening logic established in Corollary 1, the LRFI insurer faces two candidate pricing regimes: a low-priced regime with p c = β γ l c r and a high-priced regime with p c = β γ h c r . Conditional on either regime, the FRFI insurer chooses its premium p f to maximize profit. We then compare the resulting outcomes across the two LRFI regimes to characterize the equilibrium of the competitive game.

4.2.1. Consumers’ Choices

In the competitive setting with two insurers, consumers face the same three alternatives as in the monopolistic case: purchasing the product without any RFI, purchasing it with LRFI, or purchasing it with FRFI. The key difference is that each insurance type is now offered by a separate, specialized insurer.
The consumer chooses the option that maximizes expected utility. The critical insight is that competition between insurers affects only the premium levels ( p c , p f ) , not the fundamental structure of consumer choice.
Under the low-priced LRFI strategy ( p c = β γ l c r ) , both consumer types can potentially purchase LRFI, leading to the same segmentation pattern as in the monopolistic setting. Consumers compare the relative benefits of partial versus full coverage based on their return freight costs.
Under the high-priced LRFI strategy ( p c = β γ h c r ) , low-return-propensity consumers are effectively priced out of the LRFI market. This creates asymmetric choice sets: high-return-propensity consumers choose between LRFI and FRFI, while low-return-propensity consumers choose between FRFI and remaining uninsured.
The equilibrium consumer segmentation under each pricing strategy follows the same threshold rules derived in Lemma 1, as the competitive structure does not alter the fundamental trade-offs consumers face when selecting insurance coverage.

4.2.2. Equilibrium Premium Setting Under Competition

In this section, we first consider the case in which the LRFI insurer adopts the low-priced strategy, i.e., p c = β γ l c r . Next, we examine the case in which the LRFI insurer adopts the high-priced strategy, i.e., p c = β γ h c r . Finally, we compare these two subgame equilibria and characterize the outcomes under competition.
Case 1: Low-Priced LRFI Strategy. Under this pricing configuration, consumers’ purchase decisions mirror those in the monopolistic setting, as the low price ensures broad LRFI adoption. Consequently, the demand functions for LRFI and FRFI remain as specified in Equations (1) and (2).
Using Equation (1), the expected profit of the LRFI insurer in the competitive environment is given by
Π c = τ Δ p β γ l ( 1 c r ) ( β γ l c r γ l c r ) + ( 1 τ ) Δ p β γ h ( 1 c r ) ( β γ l c r γ l c r ) .
Similarly, based on Equation (2), the expected profit of the FRFI insurer is given by
Π f = τ 1 c r Δ p β γ l 1 c r β γ l c r + Δ p γ l 1 + c r + Δ p β γ l 2 + ( 1 τ ) 1 c r Δ p β γ h 1 c r β γ l c r + Δ p γ h 1 + c r + Δ p β γ h 2 .
The FRFI insurer sets its premium to maximize profit given the LRFI insurer’s pricing strategy. Solving the FRFI insurer’s profit-maximization problem yields the Nash equilibrium for this subgame. The equilibrium premium levels, along with the resulting demand and profits, are presented in Lemma 4.
Lemma 4.
Consider a market structure consisting of two competing insurers, where one insurer offers low-coverage return freight insurance (LRFI) and the other offers full-coverage return freight insurance (FRFI). Suppose the LRFI insurer adopts a low-priced strategy, setting p c = β γ l c r .
For the FRFI insurer, the optimal FRFI premium is given by
p l f C = β γ l c r + γ l ( c r + 2 β 2 β c r 2 β τ c r + 1 ) γ h 2 β ( 1 τ ) c r γ l 4 γ h + ( 1 τ ) γ l .
And the corresponding demands for LRFI and FRFI are
D l c C = ( c r + 2 β 2 β c r 2 τ β c r + 1 ) γ h 2 ( 1 τ ) β c r γ l 4 ( 1 c r ) γ h ,
and
D l f C = 2 β ( 1 τ ) c r γ l ( 1 + c r 2 β 2 τ β c r + 2 β c r ) γ h 4 ( 1 c r ) γ h ,
respectively.
The corresponding equilibrium profits of the LRFI and FRFI insurers, denoted by Π l c C and Π l f C respectively, are derived in Appendix A.
Case 2: High-Priced LRFI Strategy. We next consider the case in which the LRFI insurer adopts the high-priced strategy, i.e., p c = β γ h c r . Under this pricing configuration, consumer segmentation mirrors that of the monopolistic setting, as the high LRFI price maintains the same purchase decision thresholds. Consequently, the equilibrium demands for LRFI and FRFI coincide with those derived in Equations (5) and (6). Given these demand functions, the profit of the LRFI insurer is Equation (7). For the FRFI insurer, the profit is given by Equation (8).
Having derived the insurers’ profit functions, we now solve for the FRFI insurer’s optimal premium in this subgame. The equilibrium outcomes are presented in Lemma 5.
Lemma 5.
Consider a market structure consisting of two competing insurers, where one insurer offers low-coverage return freight insurance (LRFI) and the other offers full-coverage return freight (FRFI). Suppose the LRFI insurer adopts a high-priced strategy by setting p c = β γ h c r .
For the FRFI insurer, the optimal FRFI premium is given by
p h f C = ( 1 + 2 β + c r ) γ h γ l 4 [ ( 1 τ ) γ l + τ γ h ] .
And the corresponding demands for LRFI and FRFI are
D h c C = 2 β γ l c r ( 2 β 1 ) ( γ h + γ l ) 2 ( 1 c r ) ( 2 β 1 ) ( γ h + γ l ) ,
and
D h f C = 2 β c r 1 4 β ( 1 c r ) ,
respectively.
The corresponding equilibrium profits of the LRFI and FRFI insurers, denoted by Π h c C and Π h f C respectively, are derived in Appendix A.
The Insurers’ Optimal Premiums. Having analyzed the equilibrium outcomes under both low-priced and high-priced LRFI strategies, we now derive the optimal premiums for both insurers by comparing their profits across the two LRFI pricing strategies.
Proposition 2.
Consider a market structure consisting of two competing insurers, where one insurer offers low-coverage return freight insurance (LRFI) and the other offers full-coverage return freight insurance (FRFI). There exist thresholds 1 < β 1 < β 2 such that the insurers’ optimal RFI pricing strategies are characterized as follows:
1. 
Low- β  region. For β < β 1 , the high-priced LRFI strategy with p c = β γ h c r and the FRFI premium p f = p h f C are optimal.
2. 
Middle- β  region. For β 1 < β < β 2 , the low-priced LRFI strategy with p c = β γ l c r and the FRFI premium p f = p l f C are optimal if and only if c r > c ˜ r ; otherwise, the high-priced LRFI strategy with p c = β γ h c r and the FRFI premium p f = p h f C are optimal.
3. 
High- β  region. For β > β 2 , the low-priced LRFI strategy with p c = β γ l c r and the FRFI premium p f = p l f C are optimal.
The thresholds β 1 , β 2 and c ˜ r are formally defined in the Appendix A.
Proposition 2 reveals how competition between differentiated insurers shapes the market equilibrium. The presence of two competing insurers—one offering LRFI and another offering FRFI—creates a richer strategic environment than the single-insurer case, with the optimal pricing strategies critically dependent on consumers’ loss aversion level ( β ) and the retailer’s compensation rate ( c r ).
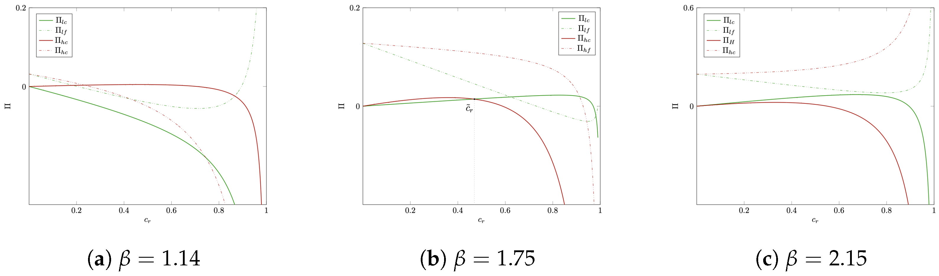
In the low- β region, where consumers exhibit minimal loss aversion, the LRFI insurer finds it optimal to adopt a high-priced strategy, effectively targeting only high-return-propensity consumers. This is because the limited loss aversion reduces consumers’ overall willingness to pay for insurance, making it unprofitable to serve the entire market, as illustrated in Figure 5a. Consequently, the FRFI insurer responds by setting a relatively high premium, competing primarily for consumers with high return freight costs.
The middle- β region presents the most nuanced strategic considerations, where the fixed compensation level c r that the LRFI insurer must pay becomes pivotal. When c r > c ˜ r , counterintuitively, the higher compensation cost leads to a low-priced strategy. This occurs because the generous compensation makes LRFI attractive enough to consumers that the insurer can profitably serve both consumer types through volume—the increased market coverage compensates for higher per-unit costs. Conversely, when c r c ˜ r , the lower compensation reduces both the insurer’s costs and the product’s consumer appeal. The diminished value proposition makes it unprofitable to pursue broad market coverage at low prices. Instead, the LRFI insurer adopts a high-priced strategy, focusing on high-return-propensity consumers who value even partial coverage. This creates clear market segmentation: LRFI serves consumers seeking basic protection, while FRFI captures those prioritizing comprehensive coverage at premium prices.
In the high- β region, strong consumer loss aversion makes insurance highly valuable, enabling the LRFI insurer to profitably serve the entire market, as illustrated in Figure 5c. This increased market coverage benefits consumers through both expanded LRFI access and competitive pressure on FRFI premiums. The robust demand for insurance in this region supports a more competitive equilibrium with lower prices across both insurance types.

4.2.3. Consumer Surplus

This section examines consumer surplus in the competitive insurance market characterized in Proposition 2. Unlike the monopolistic setting, competition between specialized insurers affects both premium levels and the distribution of consumer benefits across RFI types.
When the LRFI insurer adopts the low-priced strategy ( p c = β γ l c r ), both consumer types gain access to affordable partial coverage. Based on Equations (9) and (10), the consumer surplus for low-return-propensity consumers ( γ i = γ l ) who choose LRFI is:
C S i c = β γ l c r p c = β γ l c r β γ l c r = 0 .
Those selecting FRFI receive:
C S i f = β γ l f i p l f C .
For high-return-propensity consumers ( γ i = γ h ), those purchasing LRFI obtain surplus:
C S i c = β γ h c r p c = β γ h c r β γ l c r = β c r ( γ h γ l ) ,
as they pay the lower premium designed for low-return types. Those purchasing FRFI obtain:
C S i f = β γ h f i p l f C .
Aggregate consumer surplus under the LRFI insurer’s low-priced LRFI strategy is given by:
C S l C = τ c r + Δ p β γ l 1 ( β γ l f p l f C ) 1 1 c r d f + ( 1 τ ) c r c r + Δ p β γ h β c r ( γ h γ l ) 1 1 c r d f + ( 1 τ ) c r + Δ p β γ h 1 ( β γ h f p l f C ) 1 1 c r d f
When the LRFI insurer adopts the high-priced strategy ( p c = β γ h c r ), the low-return-propensity consumers are effectively priced out of the LRFI market, as the premium exceeds their willingness-to-pay. They face two options: purchase FRFI when f i γ h c r γ l + Δ p β γ l , obtaining surplus:
C S i f = β γ l f i p h f C ,
or remain uninsured, retaining their zero return service utility:
C S i N = 0 .
High-return-propensity consumers pay exactly their willingness-to-pay for LRFI, yielding zero surplus:
C S i c = β γ h c r p c = β γ h c r β γ h c r = 0 .
Those purchasing FRFI obtain:
C S i f = β γ h f i p h f C .
Aggregate consumer surplus under high-priced LRFI is given by:
C S h C = τ γ h c r γ l + Δ p β γ l 1 ( β γ l f p h f C ) 1 1 c r d f + ( 1 τ ) c r + Δ p β γ h 1 ( β γ h f p h f C ) 1 1 c r d f
Competition fundamentally reshapes the surplus distribution relative to monopolistic provision. Under low-priced LRFI, competitive pressure reduces FRFI premiums, benefiting consumers seeking comprehensive coverage. However, LRFI purchasers experience identical surplus outcomes to the monopolistic case, as the LRFI insurer continues to extract full surplus from low-return types.
The high-priced strategy reveals competition’s limitations: market segmentation persists, with low-return consumers excluded from partial coverage entirely. This exclusion effect, combined with competitive FRFI pricing, creates ambiguous welfare implications that depend critically on market composition ( τ ), compensation levels ( c r ), and the intensity of consumer loss aversion ( β ).
These results underscore that competitive insurance markets do not uniformly enhance consumer welfare. Instead, the benefits of competition manifest selectively, primarily through reduced FRFI premiums rather than improved access to basic coverage. This finding has important implications for regulatory design and market structure decisions in online retail environments.

4.3. The E-Tailer’s Optimal Selection of Market Structure

This section investigates the e-tailer’s strategic choice between exclusive single-insurer arrangements and competitive two-insurer provision, with a focus on maximizing consumer welfare. Our analysis uncovers counterintuitive conditions under which monopolistic insurance provision can dominate competitive markets from a consumer welfare perspective.
Proposition 3.
The e-tailer maximizes consumer surplus by adopting a monopolistic (single-insurer) structure when consumer composition, loss aversion, and compensation levels satisfy τ < τ ^ , β < β ˇ , and c r < c ˙ r . For all other market conditions, a competitive (dual-insurer) structure yields superior consumer welfare. The thresholds τ ^ , β ˇ , and c ˙ r are formally derived in Appendix A.
Proposition 3 reveals a nuanced relationship between market structure and consumer welfare that challenges the conventional wisdom that competition always benefits consumers. Our analysis demonstrates that the optimal insurance market structure is contingent upon three critical market characteristics: consumer composition ( τ ), loss aversion ( β ), and compensation levels ( c r ). These parameters interact to determine whether monopolistic coordination or competitive pressure better serves consumer interests.
To operationalize Proposition 3 and provide a systematic welfare comparison between monopoly and competition, we conduct a structured numerical evaluation across the key parameters that drive equilibrium outcomes: consumer composition ( τ ), loss aversion ( β ), and the compensation level ( c r ). Table 3, Table 4 and Table 5 report consumer surplus under monopoly and competition using a controlled one-factor-at-a-time design. Specifically, Table 3 presents a baseline comparison as τ varies, Table 4 varies β while holding other parameters fixed, and Table 5 varies c r while holding the remaining parameters fixed. This organization allows us to transparently identify the parameter regions in which exclusive provision yields higher consumer surplus and those in which competition dominates.
The results in Table 3, Table 4 and Table 5 are consistent with the dominance conditions summarized in Proposition 3. Table 3 shows that, even with all other parameters fixed, changes in consumer composition alone can reverse the welfare ranking between monopoly and competition, underscoring that competition is not uniformly welfare-improving in our setting. Table 4 shows that higher loss aversion shifts the welfare comparison toward competition, consistent with the idea that more loss-averse consumers place greater value on intensified competitive discipline. Table 5 highlights the pivotal role of compensation: as c r increases, the welfare-dominant structure shifts from monopoly to competition, reflecting the growing importance of broad coverage and credible consumer protection when return-related costs become more salient.
Taken together, these numerical results suggest that monopoly dominates competition under certain conditions, namely when consumer heterogeneity is high, loss aversion is limited, and compensation is low. In this region, a single-insurer arrangement enhances consumer welfare through three complementary mechanisms. First, a monopoly facilitates coordinated risk pooling across heterogeneous consumers, thereby mitigating the adverse-selection pressure that would otherwise induce insurers to compete for low-risk consumers while excluding high-risk ones. Second, when loss aversion is low, consumers perceive insurance as a low-value add-on, which intensifies price competition and makes coverage provision difficult to sustain under competition. Third, when compensation is low, insurers compete primarily on price rather than service quality, creating a race to the bottom that weakens the effectiveness of insurance protection. By internalizing these market-wide externalities, a monopolistic insurer can preserve coverage quality and sustain participation across a broader consumer base.
These findings yield important managerial implications for online RFI strategy. E-tailers should not automatically default to competitive insurance provision, but should instead assess the underlying market environment. When consumers are highly heterogeneous, loss aversion is limited, and compensation is low, partnering with a single exclusive insurer may better serve consumer interests by preserving market stability, service quality, and broad coverage. By contrast, in more homogeneous markets, or when consumers are highly loss-averse and value stronger competitive discipline, encouraging competition among multiple RFI products is more likely to maximize consumer welfare.

5. Extensions

To examine the robustness of our main findings and explore broader implications, we extend the baseline model along two dimensions. Specifically, we consider (i) non-uniform return freight cost distributions and (ii) continuous return propensity distributions. In each extension, we relax a single modeling assumption while maintaining all other primitives unchanged, thereby isolating the effect of the modified assumption.

5.1. Non-Uniform Return Cost Distributions

The baseline model assumes that return freight costs f i follow a uniform distribution, corresponding to the Beta ( 1 , 1 ) case. To assess the sensitivity of our results to alternative distributional shapes, we consider two additional beta distributions: Beta ( 2 , 2 ) , which concentrates mass around the center of the support, and Beta ( 0.5 , 0.5 ) , which places greater weight near the boundaries. This distributional family is well-suited for robustness analysis because it spans a wide range of empirically plausible shapes.
Table 6 and Table 7 report the results under these two distributions. Numerical simulations are conducted under two representative parameter configurations: Set A: β = 1.40 , c r = 0.38 , γ l = 0.2 , γ h = 0.6 , τ = 0.48 ; Set B: β = 2.46 , c r = 0.75 , γ l = 0.2 , γ h = 0.6 , τ = 0.72 .
The results indicate that the qualitative comparison between monopoly and competition remains largely robust to moderate distributional changes (e.g., Beta ( 2 , 2 ) ). However, when return costs are heavily polarized toward extreme values (e.g., Beta ( 0.5 , 0.5 ) ), competitive provision may yield higher consumer surplus. This finding highlights that the welfare ranking is sensitive to the dispersion and concentration of return costs.

5.2. Continuous Return Propensity Distributions

In the baseline framework, consumer return propensity γ i follows a two-point distribution. To examine whether our results depend on this discrete specification, we extend the model by allowing γ i to follow a continuous uniform distribution on [ 0 , 1 ] .
Table 8 and Table 9 report the results under this continuous specification. In Table 8, we fix β = 2.0 and vary the minimum freight cost parameter c r to analyze how compensation levels affect market structure outcomes. In Table 9, we fix c r = 0.1 and vary β to examine how loss aversion shapes the welfare comparison.
The numerical results confirm that the main qualitative insights remain intact under continuous heterogeneity. In particular, when loss aversion is limited and compensation levels are low, monopolistic provision can enhance consumer welfare by facilitating coordinated risk pooling and mitigating excessive competitive screening. As compensation or loss aversion increases, competitive provision becomes more likely to dominate.
These findings demonstrate that our conclusions are not driven by the discrete nature of return propensity but instead reflect more general structural trade-offs between hedging, screening, and pricing incentives.

6. Conclusions

This study investigates the strategic design of return freight insurance (RFI) offerings in e-commerce markets, examining how market structure—monopolistic versus competitive insurance provision—affects consumer welfare. Through game-theoretic modeling of interactions among retailers, insurers, and heterogeneous consumers, we derive counterintuitive insights that challenge conventional economic wisdom.
We first find that monopolistic insurance provision can dominate competitive markets in maximizing consumer welfare under specific market conditions. Specifically, when markets exhibit high consumer heterogeneity, limited loss aversion, and minimal compensation levels, a single-insurer arrangement outperforms competition. This finding contradicts the standard economic presumption that competition universally enhances consumer welfare.
Second, we identify the mechanisms through which monopolistic coordination creates value. The single insurer’s ability to internalize market-wide externalities enables cross-subsidization strategies that preserve both universal coverage and service quality. In contrast, competitive markets suffer from three interrelated failures: adverse selection spirals that progressively exclude high-risk consumers, destructive price competition that renders coverage unprofitable when consumers exhibit low loss aversion, and quality degradation as insurers engage in "race-to-the-bottom" pricing when compensation levels are minimal.
Third, our analysis reveals non-monotonic relationships between optimal RFI pricing and market parameters. Under monopolistic provision, the insurer’s optimal pricing depends critically on the interaction between consumer composition and compensation levels, with an intermediate region where low-priced strategies unconditionally dominate. Under competition, insurers’ optimal strategies exhibit threshold effects based on loss aversion, with distinct pricing regimes emerging across different parameter regions.
From a managerial perspective, these findings provide actionable guidance for e-commerce markets. E-tailers and platforms should conduct comprehensive market assessments before selecting insurance partnership structures. In markets characterized by heterogeneous consumers with limited loss aversion toward returns—typical of fashion products and footwear—exclusive partnerships with single insurers may better serve consumer interests through stable, universal coverage. Conversely, in markets with homogeneous, loss-averse consumers who value comprehensive protection—such as luxury goods and high-value electronics—competitive insurance provision enhances welfare through reduced premiums and expanded choice.
We acknowledge several limitations that suggest directions for future research. First, our model assumes static consumer return behavior, whereas actual return decisions likely exhibit dynamic learning and path dependence. Consumers’ return propensities may evolve based on insurance claim experiences, creating feedback effects not captured in our framework. Second, we abstract from insurers’ risk management strategies, including reinsurance arrangements and portfolio diversification, which may affect optimal pricing and market structure choices. Third, our binary characterization of low-return and high-return consumer types, while analytically tractable, simplifies the continuous heterogeneity observed in actual markets.
Future research could explore several meaningful extensions along three broad dimensions. First, extending the model to incorporate dynamic purchasing behavior would enrich the analysis. Although our framework assumes a single-unit purchase—consistent with many discrete e-commerce transactions—it does not capture scenarios involving multiple or repeated purchases by the same consumer. Allowing for repeat purchasing may introduce intertemporal market share dynamics, consumer learning, and forward-looking strategic interactions, potentially leading to different equilibrium outcomes. Such extensions would provide deeper insights into long-run competition and the evolution of insurance market design.
Second, the contractual relationship between insurers and retailers warrants further investigation. In the current model, pricing is determined solely by insurers, while the retailer chooses only the cooperation structure. In practice, insurers may collaborate with retailers through revenue-sharing contracts (e.g., sharing ratios and fixed fees) that jointly influence pricing decisions. Incorporating endogenous contract design and bargaining power into the framework would offer a richer understanding of strategic coordination and surplus allocation.
Third, future work may relax structural assumptions regarding market organization. Our analysis assumes that insurers specialize in distinct insurance products. In practice, however, competing insurers may offer overlapping product lines, creating multidimensional competition in both price and coverage. Extending the model to allow product overlap, insurer capacity constraints, or risk limits would shed light on market stability, portfolio effects in multi-product retail settings, and the systemic risk implications of insurance competition.

Author Contributions

Conceptualization, Y.C.; methodology, J.Q.; software, L.H.; validation, J.Q., L.H., and Y.C.; formal analysis, J.Q.; investigation, J.Q.; resources, J.Q.; data curation, J.Q.; writing—original draft preparation, J.Q.; writing—review and editing, L.H.; visualization, J.Q., and L.H.; supervision, Y.C.; project administration, Y.C. All authors have read and agreed to the published version of the manuscript.

Funding

This research received no external funding.

Institutional Review Board Statement

Not applicable.

Informed Consent Statement

Not applicable.

Data Availability Statement

The original contributions presented in this study are included in the article. Further inquiries can be directed to the corresponding author.

Conflicts of Interest

The authors declare no conflict of interest.

Appendix A. Proof

Appendix A.1

Proof of Lemma 1. 
Based on Equations (1)–(3), when the LRFI providers choose Low-Price LRFI( p c = β γ l c r ), the high return rate( γ h ) customer i buys the FRFI if ( 1 γ h ) v i p f M a x { ( 1 γ h ) v i β γ h ( f i c r ) β γ l c r , ( 1 γ h ) v i β γ h f i } . We obtain that the γ h customer i buys the FRFI if f i c r + Δ p β γ h . The high return rate( γ h ) customer i buys the LRFI if ( 1 γ h ) v i β γ h ( f i c r ) β γ l c r M a x { ( 1 γ h ) v i p f , ( 1 γ h ) v i β γ h f i } . The γ h customer i buys the FRFI if f i < c r + Δ p β γ h .
When the LRFI provider choose Low-Price LRFI( p c = β γ l c r ), the low return rate( γ l ) customer i buys the FRFI if ( 1 γ l ) v i p f M a x { ( 1 γ l ) v i β γ l ( f i c r ) β γ l c r , ( 1 γ l ) v i β γ i f i } . The γ l customer buys the FRFI if f i c r + Δ p β γ l . The high return rate( γ h ) customer i buys the LRFI if ( 1 γ l ) v i β γ l ( f i c r ) β γ l c r M a x { ( 1 γ l ) v i p f , ( 1 γ h ) v i β γ l f i } . Then, we hava that The γ l customer i buys the FRFI if f i < c r + Δ p β γ l .
Similarly, if the LRFI providers choose High-Price LRFI( p c = β γ h c r ), the high return rate( γ h ) customer i buys the FRFI when ( 1 γ h ) v i p f M a x { ( 1 γ h ) v i β γ h ( f i c r ) β γ h c r , ( 1 γ h ) v i β γ h f i } , buys the RRC when ( 1 γ h ) v i β γ h ( f i c r ) β γ h c r M a x { ( 1 γ h ) v i p f , ( 1 γ h ) v i β γ h f i } . We obtain that the γ h customer i buys the FRFI if f i c r + Δ p β γ h , buys the LRFI if f i < c r + Δ p β γ h .
If the LRFI providers choose High-Price LRFI( p c = β γ h c r ), the low return rate( γ l ) customer i buys the FRFI when ( 1 γ l ) v i p f M a x { ( 1 γ l ) v i β γ l ( f i c r ) β γ h c r , ( 1 γ l ) v i β γ l f i } , buys the LRFI when ( 1 γ l ) v i β γ l ( f i c r ) β γ h c r M a x { ( 1 γ l ) v i p f , ( 1 γ l ) v i β γ l f i } . The γ l customer buys the FRFI if f i γ h γ l c r + Δ p β γ l , buys the LRFI if f i < γ h γ l c r + Δ p β γ l . □

Appendix A.2

Proof of Lemma 2. 
Based on Equation (3) and (4), taking the first and second order derivative of Π with respect to Δ p , we obtain
Π Δ p = 1 + 1 2 β + 4 Δ p [ τ γ h + ( 1 τ ) γ l ] 2 β ( 1 c r ) γ h γ l ; 2 Π Δ p 2 = 2 [ τ γ h + ( 1 τ ) γ l ] β ( 1 c r ) γ h γ l < 0 .
When the second derivative is less than zero, the profit function is a convex function. To determine the maximum profit of the insurer with respect to Δ p , we need to evaluate the maximum value for Π . The first derivative Π Δ p = 0 , we can calculate Δ p l M = ( 2 β + 1 ) ( 1 c r ) γ h γ l 4 ( 1 τ ) γ l + τ γ h . The profit function is a continuous function, Δ p l M is the unique optimal solution within the interval. Put Δ p l M = 2 β 2 ( 1 c r ) γ h γ l ( 2 β 1 ) ( γ h + γ l ) into Equations (1) and (2), D l c M = 1 2 + 1 4 β and D l f M = 1 2 1 4 β . From Equations (3) and (4), the optimal profit is Π l M = 1 16 [ 8 ( γ h + c r γ h 2 β c r γ l ) + 8 ( 1 + c r ) ( γ h γ l ) τ ( 1 + 2 β ) 2 ( 1 + c r ) γ h γ l β ( γ l + γ h τ γ l τ ) ] . □

Appendix A.3

Proof of Lemma 3. 
By differentiating Π with respect to Δ p to the first and second order, and based on Equations (7) and (8), we derive:
Π Δ p = ( 1 + 2 β ) ( 1 c r ) γ h γ l 2 c r γ h ( 2 β γ h ( 1 + β ) γ l ) τ 4 [ ( 1 τ ) γ l + τ γ h ] ; 2 Π Δ p 2 = 2 [ τ γ h + ( 1 τ ) γ l ] β ( 1 c r ) γ h γ l < 0 .
If the second derivative is negative, the profit function is convex. To find the insurer’s maximum profit with respect to Δ p , we then calculate the maximum value of Π . The first derivative Π Δ p = 0 , we can calculate Δ p h M = β γ h [ ( 1 2 β ) c r γ h + 2 β γ l ( 2 c r ) ] ( 2 β 1 ) ( γ h + γ l ) . The profit function is a continuous function, Δ p h M is the unique optimal solution within the interval. Put Δ p h M into Equations (5) and (6), D l c M = ( 1 τ ) [ ( 1 c r ) ( 2 β + 1 ) γ l + 2 τ c r ( ( 1 + β ) γ l 2 β γ h ) ] 4 β ( 1 c r ) [ γ h + ( 1 τ ) γ l ] and D l f M = ( 2 β 1 ) ( 1 c r ) + 2 τ c r ( β 1 ) 4 β ( 1 c r ) . From Equations (7) and (8), the optimal profit is Π h M = [ γ h γ l ( 4 β 2 ( c r ( 1 τ ) 1 ) ( 1 + 3 c r ( 1 τ ) ) + ( 1 + c r 2 c r τ ) 2 + 4 β ( 1 + c r ( 2 + 3 c r ) + 4 τ + 5 ( 1 c r ) c r τ 2 ( 2 + ( 2 c r ) c r ) τ 2 ) ) 8 β ( 1 + c r + 2 ( β 1 ) c r 2 ) γ h 2 ( 1 τ ) τ 8 β ( 1 + c r ) γ l 2 ( 1 τ ) τ ] 1 16 β ( 1 c r ) [ γ l ( 1 τ ) + γ h τ ] . □

Appendix A.4

Proof of Proposition 1. 
Based on the result in Lemmas 2 and 3, we have optimal price p f and Π of an insurer for low-priced LRFI and high-priced LRFI. Let Δ Π M = Π l M Π h M = [ γ h γ l τ ( c r c r τ 1 ) + β τ ( ( 2 2 c r ) γ h 2 ( 1 τ ) + ( 2 + 2 c r ) γ l 2 ( 1 τ ) + γ h γ l ( c r + ( 4 + 2 c r ) τ 5 ) ) + β 2 ( ( 4 4 c r ) γ l 2 ( 1 τ ) + 4 c r γ h 2 ( 1 τ ) τ + γ h γ l ( 6 τ 4 + c r ( 4 10 τ + 3 τ 2 ) ) ) ] c r 4 β ( 1 + c r ) ( γ l ( 1 + τ ) γ h τ ) .
We can readily observe that the term of c r with the highest degree in Δ Π M is c r , while Δ Π M ( c r ) with the lowest degree is of 1 c r . The graph of Δ Π M ( c r ) is thus a hyperbola, with its two branches having c r = 1 as the asymptote. Since the value range of c r is within [ 0 , 1 ] , we only focus on the left branch of the profit function curve at c r = 1 .
When Δ Π M ( c r ) = 0 , we can obtain two solutions for c r , which are 0 and c ^ r . c ^ r = γ h γ l τ + β τ 2 γ h 2 5 γ h γ l + 2 γ l 2 2 ( γ h γ l ) 2 τ + 2 β 2 γ l 2 γ l ( 1 + τ ) + γ h ( 2 + 3 τ ) γ h γ l ( 1 τ ) τ β τ 2 γ l 2 ( 1 τ ) + γ h ( γ l + 2 γ l τ ) 2 γ h 2 ( 1 τ ) + β 2 4 γ l 2 ( 1 τ ) 4 γ h 2 ( 1 τ ) τ + γ h γ l 4 + ( 10 3 τ ) τ . c ^ r is not always larger than 0.
When τ = 32 β 3 ( γ h γ l ) 3 γ l + ( 2 β γ h 2 + ( 1 + β ) ( 1 + 6 β ) γ h γ l + 2 ( 1 2 β ) β γ l 2 ) 2 4 β ( γ h γ l ) 2 ± 1 4 β ( γ h γ l ) 2 [ β ( γ h 2 γ l ) ( 2 γ h γ l ) γ h γ l 2 β 2 γ l ( 3 γ h + 2 γ l ) ] , c ^ r = 0 .
When τ = 1 4 β ( 2 β 1 ) γ h 2 2 ( 1 + β ) ( 3 β 1 ) γ h γ l + 4 β γ l 2 [ 4 β 2 γ h 2 + γ h γ l + β γ h γ l 10 β 2 γ h γ l + 2 β γ l 2 + 4 β 2 γ l 2 2 β γ h 2 ± ( 16 β 2 ( γ h γ l ) γ l ( β 2 γ h ( 4 γ h 3 γ l ) + γ h γ l 2 β ( γ h 2 + γ h γ l γ l 2 ) ) + ( 2 β 2 ( γ h 2 γ l ) ( 2 γ h γ l ) + γ h γ l + β ( 2 γ h 2 + γ h γ l + 2 γ l 2 ) ) 2 ) 1 2 ] , the denominator of c ^ r is equal to 0.
When τ = 4 β ( γ h γ l ) ( β γ h γ l ) 4 β 2 γ h 2 + 1 3 β ( 2 + β ) γ h γ l + 4 β γ l 2 or τ = 0 , c ^ r = 1 .
Only τ 1 = 32 β 3 ( γ h γ l ) 3 γ l + ( 2 β γ h 2 + ( 1 + β ) ( 1 + 6 β ) γ h γ l + 2 ( 1 2 β ) β γ l 2 ) 2 4 β ( γ h γ l ) 2 1 4 β ( γ h γ l ) 2 [ β ( γ h 2 γ l ) ( 2 γ h γ l ) γ h γ l 2 β 2 γ l ( 3 γ h + 2 γ l ) ] , τ ̲ = 1 4 β ( 2 β 1 ) γ h 2 2 ( 1 + β ) ( 3 β 1 ) γ h γ l + 4 β γ l 2 [ 4 β 2 γ h 2 + γ h γ l + β γ h γ l 10 β 2 γ h γ l + 2 β γ l 2 + 4 β 2 γ l 2 2 β γ h 2 + ( 16 β 2 ( γ h γ l ) γ l ( β 2 γ h ( 4 γ h 3 γ l ) + γ h γ l 2 β ( γ h 2 + γ h γ l γ l 2 ) ) + ( 2 β 2 ( γ h 2 γ l ) ( 2 γ h γ l ) + γ h γ l + β ( 2 γ h 2 + γ h γ l + 2 γ l 2 ) ) 2 ) 1 2 ] and τ 2 = 4 β ( γ h γ l ) ( β γ h γ l ) 4 β 2 γ h 2 + 1 3 β ( 2 + β ) γ h γ l + 4 β γ l 2 are in [ 0 , 1 ] . Also, τ 1 < τ ̲ < τ 2 .
When τ < τ 1 , c ^ r [ 0 , 1 ] and Δ Π M ( c r ) is concave downward. If c r > c ^ r , then Δ Π M ( c r ) > 0 .
When τ 1 < τ < τ ̲ , c ^ r < 0 and Δ Π M ( c r ) is concave downward. Then, Δ Π M ( c r ) > 0 when c r [ 0 , 1 ] .
When < τ ̲ < τ < τ 2 , c ^ r > 1 . Then, Δ Π M ( c r ) > 0 when c r [ 0 , 1 ] .
When τ 2 < τ , c ^ r [ 0 , 1 ] and Δ Π M ( c r ) is concave upward. Then Δ Π M ( c r ) > 0 when c r < c ^ r . □

Appendix A.5

Proof of Lemma 4. 
In the competitive model, from Equations (21) and (22), taking the first and second order derivative of Π with respect to Δ p , we obtain
Π Δ p = 4 Δ p ( γ l + γ h τ γ l τ ) γ l 2 β c r γ l ( 1 + τ ) + γ h 1 + c r 2 β ( 1 + c r + c r τ ) 2 β ( 1 + c r ) γ h γ l ; 2 Π Δ p 2 = 2 [ γ l ( 1 τ ) + γ h τ ] β γ h γ l ( 1 c r ) < 0 .
Based on Equation (A3), we found that the second derivative is less than zero and the profit function is a convex function. To determine the maximum profit of the insurer with respect to Δ p , we need to evaluate the maximum value for Π . The first derivative Π Δ p = 0 , we can calculate Δ p l C = γ l ( c r + 2 β 2 β c r 2 β τ c r + 1 ) γ h 2 β ( 1 τ ) c r γ l 4 γ h + ( 1 τ ) γ l . The profit function is a continuous function, Δ p l C is the unique optimal solution within the interval. From Equations (1) and (2), the optimal demands are D l c C = ( c r + 2 β 2 β c r 2 τ β c r + 1 ) γ h 2 ( 1 τ ) β c r γ l 4 ( 1 c r ) γ h and D l f C = 2 β ( 1 τ ) c r γ l ( 1 + c r 2 β 2 τ β c r + 2 β c r ) γ h 4 ( 1 c r ) γ h . From Equations (21) and (22), the optimal profits for the LRFI and FRFI are c r γ l γ h + β γ l ( 1 + τ ) β γ h τ 2 β c r γ l ( 1 + τ ) + γ h 1 + c r 2 β ( 1 + c r + c r τ ) 4 β ( 1 + c r ) γ h γ l + γ h τ γ l τ and 1 16 β ( 1 + c r ) γ h ( γ l + γ h τ γ l τ ) [ 8 β ( 1 c r 2 ) γ h 3 ( 1 τ ) τ 4 β 2 c r 2 γ l 3 ( 1 τ ) 2 4 β γ h γ l 2 ( 1 τ ) ( 1 + 2 β ) c r 2 τ + c r 2 ( 1 + 2 β ( 1 + τ ) + 2 τ ) γ h 2 γ l ( 1 + c r ) 2 + 4 ( β + β c r ( 1 + τ ) ) 2 + 4 β ( 1 + c r ) ( 1 + c r + 4 τ 5 c r τ 4 τ 2 + 4 c r τ 2 ) ] . □

Appendix A.6

Proof of Lemma 5. 
Based on Equations (7) and (8), taking the first and second order derivative of Π with respect to Δ p , we obtain
Π Δ p = γ h γ l 1 + c r + β ( 2 + 4 c r ( 1 + τ ) ) + 4 β c r γ h τ + 4 δ p ( γ l + γ h τ γ l τ ) 2 β ( 1 + c r ) γ h γ l ; 2 Π Δ p 2 = 2 [ γ l ( 1 τ ) + γ h τ ] β γ h γ l ( 1 c r ) < 0 .
The profit function is a convex function. To determine the maximum profit of the insurer with respect to Δ p , we need to evaluate the maximum value for Π . The first derivative Π Δ p = 0 , we can calculate Δ p h C = ( 1 + 2 β + c r ) γ h γ l 4 [ ( 1 τ ) γ l + τ γ h ] . The profit function is a continuous function, Δ p h C is the unique optimal solution within the interval.Correspondingly, D l c C = 2 β γ l c r ( 2 β 1 ) ( γ h + γ l ) 2 ( 1 c r ) ( 2 β 1 ) ( γ h + γ l ) , D l f C = 2 β c r 1 4 β ( 1 c r ) , Π h c C = ( β 1 ) c r τ ( 1 + 2 β + c r ) γ h γ l 4 ( γ l + γ h τ γ l τ ) β ( 1 c r ) ( β 1 ) c r τ β c r γ h β ( 1 c r ) , Π h f C = 1 16 β ( 1 c r ) γ l ( 1 τ ) + γ h τ [ γ h γ l ( 4 β 2 + ( 1 + c r ) 2 4 β ( 1 + c r ) ( 1 2 τ ) 2 ) 8 β ( 1 + c r ) ( γ h 2 + γ l 2 ) ( 1 τ ) τ ] . □

Appendix A.7

Proof of Proposition 2. 
From the result in Lemmas 4 and 5, Δ Π C = Π l c C Π h c C = c r 4 β ( 1 + c r ) γ h ( γ l + γ h τ γ l τ ) [ ( 1 β ) γ h τ ( ( 1 + 2 β + c r ) γ h γ l 4 β c r γ h ( γ l + γ h τ γ l τ ) ) + γ l ( γ h + β γ l ( 1 + τ ) β γ h τ ) ( 2 β c r γ l ( 1 + τ ) + γ h ( 1 + c r 2 β ( 1 + c r + c r τ ) ) ) ] .
We can readily observe that the term of c r with the highest degree in Δ Π C is c r , while Δ Π C ( c r ) with the lowest degree is of 1 c r . The graph of Δ Π C ( c r ) is thus a hyperbola, with its two branches having c r = 1 as the asymptote. Since the value range of c r is within [ 0 , 1 ] , we only focus on the left branch of the profit function curve at c r = 1 .
When Δ Π C ( c r ) = 0 , we can obtain two solutions for c r , which are 0 and c ˜ r . c ˜ r = ( 1 + 2 β ) γ h γ l ( γ h + β γ l ) ( 1 + τ ) 2 β 2 γ l 3 ( 1 + τ ) 2 + 4 ( 1 + β ) β γ h 3 τ 2 + β γ h γ l 2 ( 1 + τ ) ( 3 + β ( 2 + 4 τ ) ) + γ h 2 γ l ( 1 + τ + 2 β ( 1 + τ ( 1 + β + 2 τ 3 β τ ) ) ) . c ˙ r is not always in [ 0 , 1 ] .
Set β 2 = γ h 2 γ l ( 1 τ ) γ h ( γ l γ h τ ) ( γ l + γ h τ γ l τ ) + γ h 2 ( γ h γ l ) 2 τ ( γ l 2 ( 1 + τ ) 2 2 γ h γ l ( 1 + τ ) τ + γ h 2 τ 3 ) . When β < γ h γ l = β 1 , 1 < c ˜ r , in which Δ Π C ( c r ) is a monotonically decreasing curve and tends to negative infinity when c r approaches 1. Thus, Δ Π C ( c r ) < 0 .
When β 2 > β > β 1 , 0 < c ˜ r < 1 , in which Δ Π C ( c r ) is a monotonically increasing curve and tends to positive infinity when c r approaches 1, then Δ Π C ( c r ) < 0 when c r < c ˜ r , Δ Π C ( c r ) > 0 when c r > c ˜ r .
When β > β 2 , c ˜ r < 0 . Δ Π C ( c r ) is a monotonically increasing curve and tends to positive infinity when c r approaches 1. Thus, Δ Π C ( c r ) is always greater than 0. □

Appendix A.8

Proof of Proposition 3. 
From Equation (15), C S l M = β γ h 2 1 2 β ( γ h γ l ) τ ( 1 + 2 β ) ( 1 + 6 β ) γ h γ l 32 β ( γ l + γ h τ γ l τ ) + c r ( β γ h 2 β γ l 1 2 β ( γ h γ l ) τ + ( 1 + 2 β ) ( 1 + 6 β ) γ h γ l 32 β ( γ l + γ h τ γ l τ ) ) .
From Equation (20), C S h M = 1 32 β ( 1 c r ) ( γ l ( 1 τ ) + γ h τ ) [ 16 β 2 γ h 2 ( 1 τ ) τ + 16 β 2 γ l 2 ( 1 τ ) τ + γ h γ l ( ( 1 + c r 2 c r τ ) 2 + 4 β 2 ( 1 + 2 c r ( τ 1 ) + c r 2 ( 1 + τ ) 2 + 8 ( 1 + τ ) τ ) 4 β ( 1 + c r ( 1 + τ ) ) ( 1 + c r ( 2 τ 1 ) ) ) ] .
From Equation (27), C S l C = 1 32 β ( 1 c r ) γ h ( γ l + γ h τ γ l τ ) 2 [ ( 1 c r ) γ h γ l τ ( 2 β ( 2 + c r ) γ l ( 1 τ ) + γ h ( 1 + c r + 2 β ( 1 c r + ( 2 + c r ) τ ) ) ) 2 + 8 β c r ( γ h γ l ) γ l ( 1 τ ) ( γ l + γ h τ γ l τ ) ( 2 β c r γ l ( 1 + τ ) + γ h ( 1 + c r 2 β ( 1 + c r + c r τ ) ) ) ( 1 τ ) ( 2 β c r γ l 2 ( 1 + τ ) + 4 β ( 1 + c r ) γ h 2 τ + γ h γ l ( 1 + c r + 2 β ( 1 + c r + 2 τ 3 c r τ ) ) ) ( 6 β c r γ l 2 ( 1 + τ ) + 4 β ( 1 + c r ) γ h 2 τ γ h γ l ( 1 + c r + 2 β ( 1 3 c r + 2 τ + 5 c r τ ) ) ) ) ] .
From Equation (32), C S h C = ( 1 2 β + c r ) 2 γ h γ l + 16 β 2 ( γ h γ l ) 2 τ 16 β 2 ( γ h γ l ) 2 τ 2 32 β ( 1 c r ) γ l ( 1 τ ) + γ h τ .
C S l M is a monotonic linear function of c r , and C S h M , C S l C , C S h C are increasing function that tends to infinity( lim c r 1 C S ( c r ) = + ). When c r = 0 , C S l M , C S h M , C S l C and C S h C are eqaul to β γ h 2 1 2 β ( γ h γ l ) τ ( 1 + 2 β ) ( 1 + 6 β ) γ h γ l 32 β ( γ l + γ h τ γ l τ ) .
When c r = 0 or c r = 2 β 1 β β τ + τ > 1 , C S h C C S h M = 0 . Thus, C S h C is always greater than C S h M . Only if C S h C or C S l C are always greater than C S l M , which τ satisfies τ γ h + 3 β γ h + 6 β 2 γ h 8 β 2 γ l 8 β 2 ( γ h γ l ) = τ ^ , competitive market structure uniformly dominates.
Set β ˇ = 1 2 ( 8 γ h γ l ( 1 τ ) 2 τ + 2 γ l 2 ( 1 τ ) 2 ( 1 + 2 τ ) + γ h 2 τ ( 1 6 τ + 4 τ 2 ) ) [ γ l 2 2 γ h γ l ( 1 + τ ) 2 γ l 2 τ γ h 2 ( 3 + τ ) τ + γ l 2 τ 2 + ( γ l 4 ( 1 + τ ) 4 4 γ h γ l 3 ( 1 + τ ) 3 ( 1 + 4 τ ) + γ h 4 τ 2 ( 12 24 τ + 13 τ 2 ) + 2 γ h 2 γ l 2 ( 1 τ ) 2 ( 2 16 τ + 21 τ 2 ) + 4 γ h 3 γ l τ ( 4 17 τ + 23 τ 2 10 τ 3 ) ) 1 2 ] , c r ˙ = M i n [ c r 1 , c r 2 ] . When τ < τ ^ , C S h C or C S l C are not always greater than C S l M . If β > β ˇ and c r < c r 1 , C S l C is lower than C S l M ; if β > β ˇ and c r > c r 1 , C S l C is greater than C S l M . If c r < c r 2 , C S h C is lower than C S l M ; if c r > c r 2 , C S h C is greater than C S l M . □

Appendix A.9

Proof of Continuous Return Propensity Distributions. 
By pairwise utility comparisons, we derive the choice conditions for each consumer type. Consumer buy LRFI when p c β c r < γ i < p f p c β ( f i c r ) , buy FRFI when γ i > p f p c β ( f i c r ) , not buy any RFI when p c β c r > γ i .
Given the uniform distributions of γ i and f i , we derive demand by integrating over choice regions in the γ i f i plane (density of f i : 1 1 c r ):
Demand for FRFI ( D f ):
D f = 1 1 c r c r 1 1 p f p c β ( f i c r ) d f i = 1 1 c r ( 1 c r ) p f p c β ln ( 1 c r )
Demand for LRFI ( D c ):
D c = 1 1 c r c r 1 p f p c β ( f i c r ) p c β c r d f i = 1 1 c r p f p c β ln ( 1 c r ) p c β c r ( 1 c r )
Expected costs are calculated by integrating over the respective demand regions:
Expected FRFI cost:
E [ C f ] = 1 + c r 2 ( 1 c r ) c r 1 p f p c β ( f i c r ) 1 γ i d r i d f i
Expected LRFI cost:
E [ C c ] = c r 1 c r c r 1 p c β c r p f p c β ( f i c r ) γ i d r i d f i

References

  1. National Retail Federation. 2025 Retail Returns Landscape. Available online: https://nrf.com/research/2025-retail-returns-landscape (accessed on 28 December 2025).
  2. SupplyChain247. Online Returns Are Rising—See Which Countries Lead the Trend. Available online: https://www.supplychain247.com/article/online-returns-by-country-statista (accessed on 2 February 2026).
  3. Bian, Y.; Xiao, T. Returns management in a supply chain considering freight insurance and consumer disappointment aversion. Transp. Res. Part E Logist. Transp. Rev. 2025, 195, 103975. [Google Scholar] [CrossRef]
  4. Chen, X.; Tan, L.; Wang, F.; Guo, X. Return freight insurance strategy in a hybrid selling mode of online retail platforms. Eur. J. Oper. Res. 2026, 329, 591–606. [Google Scholar] [CrossRef]
  5. Chen, Z.; Fan, Z.P.; Zhu, S.X. Extracting values from consumer returns: The role of return-freight insurance for competing e-sellers. Eur. J. Oper. Res. 2023, 306, 141–155. [Google Scholar] [CrossRef]
  6. Li, Y.; Li, G.; Tayi, G.K.; Cheng, T. Return shipping insurance: Free versus for-a-fee? Int. J. Prod. Econ. 2021, 235, 108110. [Google Scholar] [CrossRef]
  7. Li, Y.; Li, G.; Pan, X.A. Optimal return shipping insurance policy with consumers’ anticipated regret. Prod. Oper. Manag. 2023, 32, 3209–3226. [Google Scholar] [CrossRef]
  8. Zhang, C.; Yu, M.; Chen, J. Signaling quality with return insurance: Theory and empirical evidence. Manag. Sci. 2022, 68, 5847–5867. [Google Scholar] [CrossRef]
  9. He, K.; Song, Y. Insurance Association of China: Return Freight Insurance Premium Income in the First Half of the Year Was ¥8.27 Billion, a Year-on-Year Increase of 51.3%. Available online: https://finance.sina.com.cn/roll/2022-09-27/doc-imqmmtha8965373.shtml (accessed on 27 September 2024).
  10. Huang, L.; Qin, J.; Chen, Y. Strategic Offerings of Return Freight Insurance by Insurers in Monopolistic and Duopolistic Markets. Mathematics 2025, 13, 1855. [Google Scholar] [CrossRef]
  11. Fan, Z.P.; Chen, Z. When should the e-tailer offer complimentary return-freight insurance? Int. J. Prod. Econ. 2020, 230, 107890. [Google Scholar] [CrossRef]
  12. Wang, X.; Xu, Y.; Choi, T.M.; Zhou, Q. Who should pay for the return freight in e-commerce? Platforms, retailers or consumers. Int. J. Prod. Econ. 2024, 277, 109375. [Google Scholar] [CrossRef]
  13. Xiong, H.; Liu, J. Return insurance in a competitive market: Benefiting the high-quality or low-quality retailer? Int. J. Prod. Econ. 2023, 255, 108719. [Google Scholar] [CrossRef]
  14. Xu, Y.; Li, H.; Song, W.; Dang, X. Welfare promoter or profit obstructor? The role of return-freight insurance in online retailing. Electron. Commer. Res. Appl. 2023, 57, 101230. [Google Scholar] [CrossRef]
  15. Heal, G. Guarantees and risk-sharing. Rev. Econ. Stud. 1977, 44, 549–560. [Google Scholar] [CrossRef]
  16. Che, Y.K. Customer return policies for experience goods. J. Ind. Econ. 1996, 44, 17–24. [Google Scholar] [CrossRef]
  17. Hsiao, L.; Chen, Y.J. Returns policy and quality risk in e-business. Prod. Oper. Manag. 2012, 21, 489–503. [Google Scholar] [CrossRef]
  18. Moorthy, S.; Srinivasan, K. Signaling quality with a money-back guarantee: The role of transaction costs. Mark. Sci. 1995, 14, 442–466. [Google Scholar] [CrossRef]
  19. Davis, S.; Gerstner, E.; Hagerty, M. Money back guarantees in retailing: Matching products to consumer tastes. J. Retail. 1995, 71, 7–22. [Google Scholar] [CrossRef]
  20. Zhang, Z.; Wen, X. Physical or virtual showroom? The decision for omni-channel retailers in the context of cross-channel free-riding: Physical or virtual showroom? The decision for omni-channel retailers. Electron. Commer. Res. 2024, 24, 2609–2635. [Google Scholar] [CrossRef]
  21. Huang, M.; Jin, D. Impact of buy-online-and-return-in-store service on omnichannel retailing: A supply chain competitive perspective. Electron. Commer. Res. Appl. 2020, 41, 100977. [Google Scholar] [CrossRef]
  22. Nageswaran, L.; Cho, S.H.; Scheller-Wolf, A. Consumer return policies in omnichannel operations. Manag. Sci. 2020, 66, 5558–5575. [Google Scholar] [CrossRef]
  23. Jin, D.; Caliskan-Demirag, O.; Chen, F.Y.; Huang, M. Omnichannel retailers’ return policy strategies in the presence of competition. Int. J. Prod. Econ. 2020, 225, 107595. [Google Scholar] [CrossRef]
  24. Bian, Y.; Xiao, T. Return Freight Insurance Strategy and Price Decisions for a Dual-Channel Supply Chain in the Presence of Showrooming. IEEE Trans. Eng. Manag. 2024, 71, 3741–3754. [Google Scholar] [CrossRef]
  25. Li, X.; Gao, J.; Bian, Y. Return freight insurance strategies for the online retailer and insurance company. Int. J. Prod. Econ. 2023, 256, 108752. [Google Scholar] [CrossRef]
  26. Geng, S.; Li, W. Complimentary return-freight insurance serves as quality signal or noise? Aust. Conf. Inform. Syst. 2017, 47, 1–10. [Google Scholar]
  27. Lin, J.; Zhang, J.; Cheng, T.C.E. Optimal pricing and return policy and the value of freight insurance for a retailer facing heterogeneous consumers with uncertain product values. Int. J. Prod. Econ. 2020, 229, 107767. [Google Scholar] [CrossRef]
  28. Ren, M.; Liu, J.; Feng, S.; Yang, A. Pricing and return strategy of online retailers based on return insurance. J. Retail. Consum. Serv. 2021, 59, 102350. [Google Scholar] [CrossRef]
  29. Li, Q.; Fang, Y.; Chen, Y. Return Strategies of Competing E-Sellers: Return Freight Insurance vs. Return Pickup Services. Mathematics 2025, 13, 296. [Google Scholar] [CrossRef]
  30. Geng, S.; Li, W.; Qu, X.; Chen, L. Design for the pricing strategy of return-freight insurance based on online product reviews. Electron. Commer. Res. Appl. 2017, 25, 16–28. [Google Scholar] [CrossRef]
  31. Kai-Ineman, D.; Tversky, A. Prospect theory: An analysis of decision under risk. Econometrica 1979, 47, 363–391. [Google Scholar] [CrossRef]
  32. Hardie, B.G.; Johnson, E.J.; Fader, P.S. Modeling loss aversion and reference dependence effects on brand choice. Mark. Sci. 1993, 12, 378–394. [Google Scholar] [CrossRef]
Figure 1. The sequence of events.
Figure 1. The sequence of events.
Mathematics 14 00888 g001
Figure 2. Market structures under monopolistic and competitive settings.
Figure 2. Market structures under monopolistic and competitive settings.
Mathematics 14 00888 g002
Figure 3. Consumers’ RFI choices under different LRFI pricing strategies.
Figure 3. Consumers’ RFI choices under different LRFI pricing strategies.
Mathematics 14 00888 g003
Figure 4. Insurer’s profits under low-priced LRFI ( Π l M ) and high-priced LRFI ( Π h M ) strategies across compensation levels c r for differenet market compositions ( β = 1.4 , γ l = 0.45 , γ h = 0.78 ).
Figure 4. Insurer’s profits under low-priced LRFI ( Π l M ) and high-priced LRFI ( Π h M ) strategies across compensation levels c r for differenet market compositions ( β = 1.4 , γ l = 0.45 , γ h = 0.78 ).
Mathematics 14 00888 g004
Figure 5. LRFI insurer and FRFL insurer’s profits under low-priced LRFI ( Π l c and Π l f ) and high-priced LRFI ( Π h c and Π h f ) strategies across compensation levels c r for different market compositions ( τ = 0.23 , γ l = 0.44 , γ h = 0.89 ).
Figure 5. LRFI insurer and FRFL insurer’s profits under low-priced LRFI ( Π l c and Π l f ) and high-priced LRFI ( Π h c and Π h f ) strategies across compensation levels c r for different market compositions ( τ = 0.23 , γ l = 0.44 , γ h = 0.89 ).
Mathematics 14 00888 g005
Table 1. Comparison of the most relevant studies on return freight insurance.
Table 1. Comparison of the most relevant studies on return freight insurance.
PaperObjective FunctionBehavioral FactorMarket StructureKey Findings
Bian and Xiao [3]Profit maximizationDisappointment aversionMonopolyConsumer disappointment aversion reduces manufacturers’ and e-tailers’ profitability.
Chen et al. [5]Profit maximizationRational expectationCompetitionThe introduction of return-freight insurance does not necessarily expand the market size.
Li et al. [7]Profit maximizationAnticipated regretMonopolyThe retailer offers return-freight insurance only when its handling costs are low and consumers’ freight costs are moderate; otherwise, anticipated regret drives consumers to purchase it themselves.
Fan and Chen [11]Profit maximizationConsumer HeterogeneityMonopoly & CompetitionAlthough offering return-freight insurance could lead to higher market price, such a strategy may not ultimately advantage either manufacturers or retailers.
Xiong and Liu [13]Profit maximizationLoss aversionCompetitionWhen high-quality product premiums are sufficiently low and low-quality sufficiently high, only high-quality retailers purchase RFI for consumers.
Lin et al. [27]Profit maximizationPerceived riskMonopolyA high degree of consumer heterogeneity combined with a large share of high-valuation consumers leaves the optimal selling price unchanged but raises the optimal refund amount.
Geng et al. [30]Profit maximizationLoss aversionMonopolyWhen consumers’ sensitivity to fit uncertainty is moderate, its increase results in an inverse relationship between premium and compensation.
This studyComsumer surplus maximizationLoss aversionMonopoly vs. CompetitionUnder conditions of high consumer heterogeneity, limited loss aversion, and low compensation levels, a monopoly offering return-freight insurance may lead to greater consumer welfare than a competitive market.
Table 2. List of notations.
Table 2. List of notations.
Decision Variables
RFI ChannelE-tailer’s choice of insurance collaboration structure: a single exclusive insurer offering both LRFI and FRFI, or two competing insurers each offering one insurance option
p c Premium charged for the low-coverage return freight insurance (LRFI)
p f Premium charged for the full-coverage return freight insurance (FRFI)
Δ p Premium difference between FRFI and LRFI, i.e., Δ p = p f p c .
Parameters
f i Return freight cost of consumer i, uniformly distributed on [ c r , 1 ]
c r Cash compensation provided under LRFI
γ i Return propensity of consumer i, where γ i { γ l , γ h }
τ Probability that a consumer has a low return propensity, i.e., Pr ( γ i = γ l ) = τ
γ h High return propensity
γ l Low return propensity
β Loss aversion coefficient
Table 3. Consumer surplus comparison as τ varies ( β = 1.8 , γ l = 0.2 , γ h = 0.6 , c r = 0.42 ).
Table 3. Consumer surplus comparison as τ varies ( β = 1.8 , γ l = 0.2 , γ h = 0.6 , c r = 0.42 ).
τ CS l M CS h M CS l C CS h C Welfare Dominant
0.080.3400.1160.3270.152Monopoly
0.470.2350.1900.2390.203Competition
0.690.1480.1410.1550.147Competition
0.970.0270.0410.0310.042Competition
Table 4. Comsumer surplus comparison as β varies ( τ = 0.24 , γ l = 0.2 , γ h = 0.6 , c r = 0.42 ).
Table 4. Comsumer surplus comparison as β varies ( τ = 0.24 , γ l = 0.2 , γ h = 0.6 , c r = 0.42 ).
β CS l M CS h M CS l C CS h C Welfare Dominant
1.130.1870.1070.1750.110Monopoly
1.740.2980.1800.2920.201Monopoly
2.330.4060.2520.4120.296Competition
2.860.5040.3170.5190.384Competition
Table 5. Comsumer surplus comparison as c r varies ( τ = 0.24 , γ l = 0.2 , γ h = 0.6 , β = 1.8 ).
Table 5. Comsumer surplus comparison as c r varies ( τ = 0.24 , γ l = 0.2 , γ h = 0.6 , β = 1.8 ).
c r CS l M CS h M CS l C CS h C Welfare Dominant
0.230.2310.1550.2280.167Monopoly
0.510.3460.2120.3400.244Monopoly
0.750.4450.3800.4370.451Competition
0.900.5060.9130.4991.091Competition
Table 6. Comparison of outcomes across different strategies under a Beta ( 2 , 2 ) distribution for return freight costs.
Table 6. Comparison of outcomes across different strategies under a Beta ( 2 , 2 ) distribution for return freight costs.
SetMarket StructurePrice Strategy p c * / p f * Π CS
AMonopolyLow-priced0.106/0.3120.0890.195
High-priced0.319/0.3870.0780.159
CompetitionLow-priced0.106/0.2940.0820.192
High-priced0.319/0.3670.0710.164
BMonopolyLow-priced0.369/0.7230.2150.253
High-priced1.107/1.3520.1980.197
CompetitionLow-priced0.369/0.6980.2060.265
High-priced1.107/1.2980.1840.213
Table 7. Comparison of outcomes across different strategies under a Beta ( 0.5 , 0.5 ) distribution for return freight costs.
Table 7. Comparison of outcomes across different strategies under a Beta ( 0.5 , 0.5 ) distribution for return freight costs.
SetMarket StructurePrice Strategy p c * / p f * Π CS
AMonopolyHigh-priced0.106/0.3190.0910.164
Low-priced0.319/0.3890.0780.134
CompetitionHigh-priced0.106/0.3010.0830.168
Low-priced0.319/0.3690.0710.139
BMonopolyHigh-priced0.369/0.7410.2240.233
Low-priced1.107/1.3890.1980.181
CompetitionHigh-priced0.369/0.7150.2130.245
Low-priced1.107/1.3310.1890.197
Table 8. Impact of strategy choice on outcomes under continuous return propensity with varying c r ( β = 2.0 ).
Table 8. Impact of strategy choice on outcomes under continuous return propensity with varying c r ( β = 2.0 ).
c r CS M CS C p f * / p c * (Monopoly) p f * / p c * (Competition)
0.050.4220.3910.81/0.0450.250/0.016
0.300.1660.3020.175/0.1660.110/0.077
0.500.0970.2670.330/0.2810.060/0.102
Table 9. Impact of strategy choice on outcomes under continuous return propensity with varying β ( c r = 0.1 ).
Table 9. Impact of strategy choice on outcomes under continuous return propensity with varying β ( c r = 0.1 ).
β CS M CS C p f * / p c * (Monopoly) p f * / p c * (Competition)
1.20.3850.3720.810/0.0790.260/0.028
2.20.3150.3670.730/0.0650.210/0.024
2.80.2710.3750.670/0.0570.180/0.022
Disclaimer/Publisher’s Note: The statements, opinions and data contained in all publications are solely those of the individual author(s) and contributor(s) and not of MDPI and/or the editor(s). MDPI and/or the editor(s) disclaim responsibility for any injury to people or property resulting from any ideas, methods, instructions or products referred to in the content.

Share and Cite

MDPI and ACS Style

Qin, J.; Huang, L.; Chen, Y. Maximizing Consumer Surplus via Return Freight Insurance: Single Insurer Monopoly Versus Competitive Provision. Mathematics 2026, 14, 888. https://doi.org/10.3390/math14050888

AMA Style

Qin J, Huang L, Chen Y. Maximizing Consumer Surplus via Return Freight Insurance: Single Insurer Monopoly Versus Competitive Provision. Mathematics. 2026; 14(5):888. https://doi.org/10.3390/math14050888

Chicago/Turabian Style

Qin, Jinyi, Liang Huang, and Yan Chen. 2026. "Maximizing Consumer Surplus via Return Freight Insurance: Single Insurer Monopoly Versus Competitive Provision" Mathematics 14, no. 5: 888. https://doi.org/10.3390/math14050888

APA Style

Qin, J., Huang, L., & Chen, Y. (2026). Maximizing Consumer Surplus via Return Freight Insurance: Single Insurer Monopoly Versus Competitive Provision. Mathematics, 14(5), 888. https://doi.org/10.3390/math14050888

Note that from the first issue of 2016, this journal uses article numbers instead of page numbers. See further details here.

Article Metrics

Back to TopTop