Eigenvalues of the Operator Describing Magnetohydrodynamic Problems in Outer Parts of Galaxies
Abstract
1. Introduction
2. Basic Equations
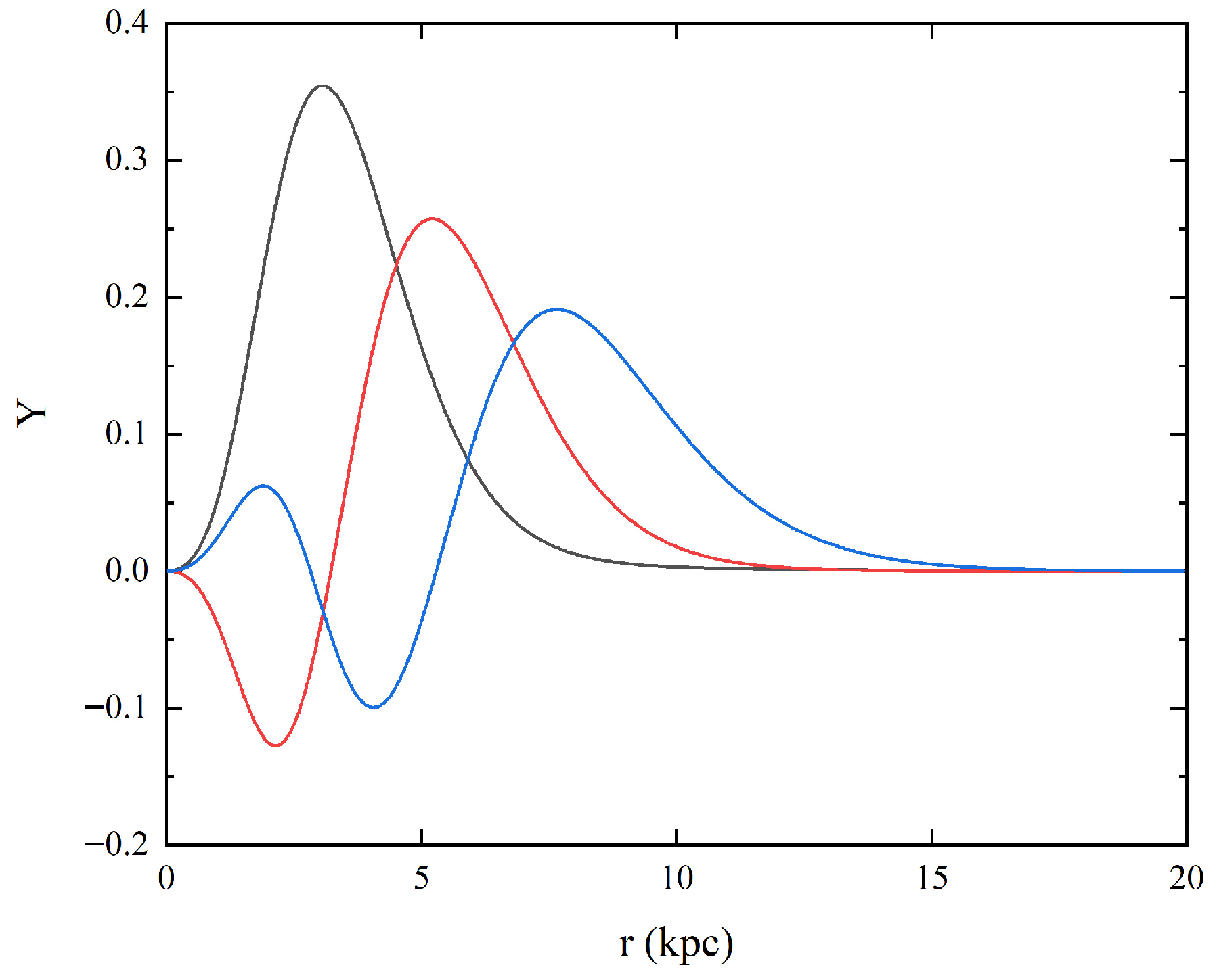
3. Non-Perturbed Eigenvalues
4. Perturbed Eigenvalues
5. Results for Changing h(r)
6. Non-Axisymmetric Magnetic Field Structures
7. Conclusions
Author Contributions
Funding
Data Availability Statement
Conflicts of Interest
References
- Brandenburg, A.; Subramanian, K. Astrophysical magnetic fields and nonlinear dynamo theory. Phys. Rep. 2005, 417, 1–209. [Google Scholar] [CrossRef]
- Liska, M.; Tchekhovskoy, A.; Quataert, E. Large-scale poloidal magnetic field dynamo leads to powerful jets in GRMHD simulations of black hole accretion with toroidal field. Mon. Not. R. Astron. Soc. 2020, 494, 3656–3662. [Google Scholar] [CrossRef]
- Hu, Y.; Lazarian, A.; Beck, R.; Xu, S. Role of Magnetic Fields in Fueling Seyfert Nuclei. Astrophys. J. 2022, 941, 92. [Google Scholar] [CrossRef]
- Kharicha, A.; Karimi-Sibaki, E.; Wu, M.; Ludwig, A.; Bohacek, J. Review on Modeling and Simulation of Electroslag Remelting. Steel Res. Int. 2018, 89, 1700100. [Google Scholar] [CrossRef]
- Pavlovs, S.; Jakovics, A.; Chudnovsky, A. Melt azimuthal rotation in direct current electric arc furnace without external axial magnetic field. Int. J. Appl. Electromagn. Mech. 2024, 75, 145–157. [Google Scholar] [CrossRef]
- Krutyanskii, M.M.; Nekhamin, S.M.; Mitrofanov, M.V. Electromagnetic Mixing of the Liquid Metal in DC Arc Furnaces. Russ. Metall. Met. 2018, 2018, 1165–1171. [Google Scholar] [CrossRef]
- Hosking, R.J.; Dewar, R.L. Fundamental Fluid Mechanics and Magnetohydrodynamics; Springer: Singapore, 2016. [Google Scholar] [CrossRef]
- Xiros, N. Mathematical Magnetohydrodynamics; Springer: Cham, Switzerland, 2017. [Google Scholar] [CrossRef]
- Shatrov, V.; Gerbeth, G. Stability of the electrically induced flow between two hemispherical electrodes. Magnetohydrodynamics 2012, 48, 469–484. [Google Scholar] [CrossRef]
- Malyshev, K.Y.; Mikhailov, E.A.; Teplyakov, I.O. Rapidly Convergent Series for Solving the Electrovortex Flow Problem in a Hemispherical Vessel. Comput. Math. Math. Phys. 2022, 62, 1158–1170. [Google Scholar] [CrossRef]
- Kuznetsov, E.A.; Passot, T.; Sulem, P.L. Compressible dynamics of magnetic field lines for incompressible magnetohydrodynamic flows. Phys. Plasmas 2004, 11, 1410–1415. [Google Scholar] [CrossRef]
- Kuznetsov, E.A.; Mikhailov, E.A. Magnetic Filaments: Formation, Stability, and Feedback. Mathematics 2024, 12, 677. [Google Scholar] [CrossRef]
- Krause, F.; Rädler, K.-H. Mean-Field Magnetohydrodynamics and Dynamo Theory; Elsevier: Amsterdam, The Netherlands, 2016. [Google Scholar]
- Rüdiger, G.; Hollerbach, R. The Magnetic Universe: Geophysical and Astrophysical Dynamo Theory; Wiley-VCH: Weinheim, Germany, 2005. [Google Scholar]
- Charbonneau, P.; Sokoloff, D. Evolution of Solar and Stellar Dynamo Theory. Space Sci. Rev. 2023, 219, 35. [Google Scholar] [CrossRef]
- Biermann, L.; Schlüter, A. Cosmic Radiation and Cosmic Magnetic Fields. II. Origin of Cosmic Magnetic Fields. Phys. Rev. 1951, 82, 863–868. [Google Scholar] [CrossRef]
- Chandrasekhar, S. The Stability of Non-Dissipative Couette Flow in Hydromagnetics. Proc. Natl. Acad. Sci. USA 1960, 46, 253–257. [Google Scholar] [CrossRef]
- Beck, R.; Brandenburg, A.; Moss, D.; Shukurov, A.; Sokoloff, D. Galactic Magnetism: Recent Developments and Perspectives. Annu. Rev. Astron. Astrophys. 1996, 34, 155–206. [Google Scholar] [CrossRef]
- Schekochihin, A.A.; Boldyrev, S.A.; Kulsrud, R.M. Spectra and growth rates of fluctuating magnetic fields in the kinematic dynamo theory with large magnetic Prandtl numbers. Astrophys. J. 2002, 567, 828–852. [Google Scholar] [CrossRef]
- Schekochihin, A.A.; Cowley, S.C.; Taylor, S.F.; Maron, J.L.; McWilliams, J.C. Simulations of the small-scale turbulent dynamo. Astrophys. J. 2004, 612, 276–307. [Google Scholar] [CrossRef]
- Arshakian, T.G.; Beck, R.; Krause, M.; Sokoloff, D. Evolution of magnetic fields in galaxies and future observational tests with the Square Kilometre Array. Astron. Astrophys. 2009, 494, 21–32. [Google Scholar] [CrossRef]
- Chamandy, L.; Nazareth, R.G.; Santhosh, G. Galactic Magnetic Fields. I. Theoretical Model and Scaling Relations. Astrophys. J. 2024, 966, 78. [Google Scholar] [CrossRef]
- Zeldovich, Y.; Ruzmaikin, A.; Sokoloff, D. Magnetic fields in Astrophysics; Gordon and Breach: New York, NY, USA, 1983. [Google Scholar]
- Andreasyan, R.R. Mechanism of formation of a dipole magnetic field in the central regions of active galaxies. Astrophysics 1996, 39, 58–62. [Google Scholar] [CrossRef]
- Kitchatinov, L.L.; Rüdiger, G. Seed fields for galactic dynamos by the magnetorotational instability. Astron. Astrophys. 2004, 424, 565–570. [Google Scholar] [CrossRef]
- Moffat, H.K. Magnetic Field Generation in Electrically Conducting Fluids; University Press: Cambridge, UK, 1978. [Google Scholar]
- Chamandy, L.; Singh, N.K. Non-linear galactic dynamos and the magnetic Rädler effect. Mon. Not. R. Astron. Soc. 2018, 481, 1300–1319. [Google Scholar] [CrossRef]
- Qazi, Y.; Shukurov, A.; Tharakkal, D.; Gent, F.A.; Bendre, A.B. Non-linear magnetic buoyancy instability and galactic dynamos. Mon. Not. R. Astron. Soc. 2025, 540, 532–544. [Google Scholar] [CrossRef]
- Parker, E.N. Hydromagnetic dynamo models. Astrophys. J. 1955, 122, 293–314. [Google Scholar] [CrossRef]
- Tobias, S.M. Diffusivity quenching as a mechanism for Parker’s surface dynamo. Astrophys. J. 1996, 467, 870–880. [Google Scholar] [CrossRef]
- Subramanian, K.; Mestel, L. Galactic dynamos and density wave theory—II. An alternative treatment for strong non-axisymmetry. Mon. Not. R. Astron. Soc. 1993, 265, 649–654. [Google Scholar] [CrossRef]
- Moss, D. On the generation of bisymmetric magnetic field structures in spiral galaxies by tidal interactions. Mon. Not. R. Astron. Soc. 1995, 275, 191–194. [Google Scholar] [CrossRef]
- Phillips, A. A comparison of the asymptotic and no-z approximations for galactic dynamos. Geophys. Astrophys. Fluid Dyn. 2001, 94, 135–150. [Google Scholar] [CrossRef]
- Boneva, D.V.; Mikhailov, E.A.; Pashentseva, M.V.; Sokoloff, D.D. Magnetic fields in the accretion disks for various inner boundary conditions. Astron. Astrophys. 2021, 652, A38. [Google Scholar] [CrossRef]
- Sánchez-Salcedo, F.J.; Saha, K.; Narayan, C.A. The thickness of H i in galactic discs under MOdified Newtonian Dynamics: Theory and application to the Galaxy. Mon. Not. R. Astron. Soc. 2008, 385, 1585–1596. [Google Scholar] [CrossRef]
- Lian, J.; Li, L. The Thickness of Galaxy Disks from z = 5 to 0 Probed by JWST. Astrophys. J. Lett. 2024, 960, L10. [Google Scholar] [CrossRef]
- Gressel, O.; Elstner, D.; Ziegler, D.; Rüdiger, G. Direct simulations of a supernova-driven galactic dynamo. Astron. Astrophys. 2008, 486, L35–L38. [Google Scholar] [CrossRef]
- Andreasyan, R.R.; Mikhailov, E.A.; Andreasyan, H.R. Structure and Features of the Galactic Magnetic-Field Reversals Formation. Astron. Rep. 2020, 64, 189–198. [Google Scholar] [CrossRef]
- Oppermann, N.; Junklewitz, H.; Robbers, G.; Enßlin, T.A. Probing magnetic helicity with synchrotron radiation and Faraday rotation. Astron. Astrophys. 2011, 530, A89. [Google Scholar] [CrossRef]
- Mikhailov, E.A. Symmetry of the magnetic fields in galactic dynamo and the material arms. Magnetohydrodynamics 2020, 56, 403–414. [Google Scholar] [CrossRef]
- Mikhailov, E.; Kasparova, A.; Moss, D.; Beck, R.; Sokoloff, D.; Zasov, A. Magnetic fields near the peripheries of galactic discs. Astron. Astrophys. 2014, 568, A66. [Google Scholar] [CrossRef]
- Landau, L.D.; Lifshitz, E.M. Quantum Mechanics. Non-Relativistic Theory; Pergamon Press: London, UK, 1958. [Google Scholar]
- Steinwandel, U.P.; Beck, M.C.; Arth, A.; Dolag, K.; Moster, B.P.; Nielaba, P. Magnetic buoyancy in simulated galactic discs with a realistic circumgalactic medium. Mon. Not. R. Astron. Soc. 2019, 483, 1008–1028. [Google Scholar] [CrossRef]
- Prajapati, M.; Gulati, M. Galactic magnetic field and spiral arms against gas quenching due to Ram pressure. New Astron. 2025, 117, 102356. [Google Scholar] [CrossRef]
- Doi, Y.; Nakamura, K.; Kawabata, K.S.; Matsumura, M.; Akitaya, H.; Coudé, S.; Rodrigues, C.V.; Kwon, J.M.; Tamura, M.; Tahani, M.; et al. Tomographic Imaging of the Sagittarius Spiral Arm’s Magnetic Field Structure. Astrophys. J. 2024, 961, 13. [Google Scholar] [CrossRef]
- Fletcher, A.; Beck, R.; Shukurov, A.; Berkhuijsen, E.M.; Horellou, C. Magnetic fields and spiral arms in the galaxy M51. Mon. Not. R. Astron. Soc. 2011, 412, 2396–2416. [Google Scholar] [CrossRef]
- Han, J.L. Magnetic fields in our Milky Way Galaxy and nearby galaxies. Sol. Astrophys. Dynamos Magn. Act. Proc. Int. Astron. Union IAU Symp. 2012, 294, 213–224. [Google Scholar] [CrossRef]
- Frick, P.; Beck, R.; Shukurov, A.; Sokoloff, D.; Ehle, M.; Kamphuis, J. Magnetic and optical spiral arms in the galaxy NGC 6946. Mon. Not. R. Astron. Soc. 2000, 318, 925–937. [Google Scholar] [CrossRef]
- Frick, P.; Stepanov, R.; Beck, R.; Sokoloff, D.; Shukurov, A.; Ehle, M.; Lundgren, A. Magnetic and gaseous spiral arms in M83. Astron. Astrophys. 2016, 585, A21. [Google Scholar] [CrossRef]
- Hu, Y.; Lazarian, A. Mapping the Galactic magnetic field orientation and strength in three dimensions. Mon. Not. R. Astron. Soc. 2023, 524, 2379–2394. [Google Scholar] [CrossRef]




| Analytical Result | Numerical Calculation of the Integral | Numerical Calculations | |
|---|---|---|---|
| μ1 | 2.574 | 2.657 | 2.663 |
| μ2 | 2.527 | 2.533 | 2.535 |
| μ3 | 2.441 | 2.452 | 2.451 |
| λ1 | −3.849 | −3.856 | −3.860 |
| λ2 | −3.975 | −3.981 | −3.99 |
| λ3 | −4.053 | −4.062 | −4.071 |
| Numerical Calculation of the Integral | Numerical Calculations | |
|---|---|---|
| μ1 | 2.533 | 2.539 |
| μ2 | 2.414 | 2.417 |
| μ3 | 2.335 | 2.341 |
| λ1 | −3.710 | −3.713 |
| λ2 | −3.841 | −3.845 |
| λ3 | −3.924 | −3.927 |
Disclaimer/Publisher’s Note: The statements, opinions and data contained in all publications are solely those of the individual author(s) and contributor(s) and not of MDPI and/or the editor(s). MDPI and/or the editor(s) disclaim responsibility for any injury to people or property resulting from any ideas, methods, instructions or products referred to in the content. |
© 2026 by the authors. Licensee MDPI, Basel, Switzerland. This article is an open access article distributed under the terms and conditions of the Creative Commons Attribution (CC BY) license.
Share and Cite
Mikhailov, E.; Khasaeva, T. Eigenvalues of the Operator Describing Magnetohydrodynamic Problems in Outer Parts of Galaxies. Mathematics 2026, 14, 308. https://doi.org/10.3390/math14020308
Mikhailov E, Khasaeva T. Eigenvalues of the Operator Describing Magnetohydrodynamic Problems in Outer Parts of Galaxies. Mathematics. 2026; 14(2):308. https://doi.org/10.3390/math14020308
Chicago/Turabian StyleMikhailov, Evgeny, and Tatiana Khasaeva. 2026. "Eigenvalues of the Operator Describing Magnetohydrodynamic Problems in Outer Parts of Galaxies" Mathematics 14, no. 2: 308. https://doi.org/10.3390/math14020308
APA StyleMikhailov, E., & Khasaeva, T. (2026). Eigenvalues of the Operator Describing Magnetohydrodynamic Problems in Outer Parts of Galaxies. Mathematics, 14(2), 308. https://doi.org/10.3390/math14020308

