Abstract
The Static Economic Load Dispatch (SELD) problem is a paramount optimization challenge in power engineering that seeks to optimize the allocation of power between generating units to meet imposed constraints while minimizing energy requirements. Recently, researchers have employed numerous meta-heuristic approaches to tackle this challenging, non-convex problem. This work introduces an innovative meta-heuristic algorithm, named “Attaining and Refining Knowledge-based Optimization (ARKO)”, which uses the ability of humans to learn from their surroundings by leveraging the collective knowledge of a population. The ARKO algorithm consists of two distinct phases: attaining and refining. In the attaining phase, the algorithm gathers knowledge from the population’s top candidates, while the refining phase enhances performance by leveraging the knowledge of other selected candidates. This innovative way of learning and improving with the help of top candidates provides a robust exploration and exploitation capability for this algorithm. To validate the efficacy of ARKO, we conduct a comprehensive evaluation against eleven other established meta-heuristic algorithms using a diverse set of 41 test functions of the CEC-2017 and CEC-2022 test suites, and then, three real-life applications also verify its practical ability. Subsequently, we implement ARKO to optimize the SELD problem considering several instances. The examination of the numerical and statistical results confirms the remarkable efficiency and potential practical ability of ARKO in complex optimization tasks.
Keywords:
optimization; economic load dispatch problem; meta-heuristic algorithm; attaining and refining knowledge MSC:
68W50
1. Introduction
Optimization involves identifying the most effective combination of decision variables to address a specific problem. It is a concept used across various fields, disciplines, and numerous applications. A canonical form of a constrained optimization problem can be defined as follows:
Here, s and r are the number of equality and inequality constrained, respectively.
The Static Economic Load Dispatch (SELD) optimization problem has an essential role in power system engineering. The objective is to determine the optimal power distribution among generating units to reduce fuel generation costs while adhering to all system inequality and equality restrictions. Enhancements in scheduling unit output could yield substantial annual savings in production expenses.
This issue has previously been thoroughly examined using many traditional optimization techniques, including linear programming [1], quadratic programming [2], the Lambda iteration method [3], the Newton–Raphson method [3], dynamic programming [4], and so on.
The Lambda iteration is the most familiar method to solve SELD problems due to its simple functioning; however, it requires a continuous objective formulation for effective execution. The other well-known method, dynamic programming, works effectively on a small power system only, but increases the computational complexity significantly while working on a large power system.
In general, the conventional approaches typically assume that the objective function of the generator’s fuel cost is convex and smooth; however, due to several limitations, including transmission line capacity, ramp rate restrictions, outlawed operating regions, and valve points, the problem is typically non-convex [5]. Therefore, it is difficult for these methods to address non-convex optimization issues and, consequently, researchers rely on meta-heuristic algorithms (MAs) to solve non-convex and complicated optimization problems [6].
The term “meta-heuristics” refers to a broad class of heuristic methods that have become increasingly valued due to their ease, portability, capability of avoiding local optima, and efficiency when applied to non-derivative situations. A common feature of MAs is that they merge rules and randomness to imitate some natural phenomena. The classifications of a few reputable and well-known meta-heuristic techniques are provided below.
Evolutionary-based MAs: These algorithms are inspired by several natural biological evolution processes. The effective exploring and exploiting capacity of complex solution spaces makes them useful tools for optimization in a variety of contexts. The evolution strategy (ES) [7], the genetic algorithm (GA) [8], and differential evolution (DE) [9] are the most common methods in the evolutionary-based MA category. The ES relies on some natural phenomena and self-adaptive mutation while the GA is inspired by natural and genetic selection. The GA relies on its chromosome crossover operation. Similarly, the DE algorithm is inspired by natural selection and Darwin’s survival of the fittest theory. Unlike the GA, DE relies on its mutation and crossover operation. Some other algorithms in the evolutionary-based MA category are the quantum evolutionary (QE) algorithm [10], the differential search (DS) algorithm [11], the backtracking optimization (BO) algorithm [12], etc.
Swarm-based MAs: These algorithms are modeled after the cooperative behavior of decentralized, self-organizing structures, such as swarms of insects, schools of fish, and flocks of birds. The fundamental idea behind these algorithms is that a collection of agents, or particles, can work together to efficiently search for a solution space and identify an ideal or almost ideal solution. The ant colony optimization (ACO) algorithm [13] is one of the popular algorithms under this category. It simulates the social behavior of ants in finding food by using the optimal path. The particle swarm optimization (PSO) algorithm [14] is another very popular algorithm that is inspired by the social behavior of fish and birds. It creates a swarm of particles that move in the search domain to discover the best solution. The particles update their position based on their own and nearby candidates’ experiences. The other well-known algorithms that fall into the swarm-based MA category are the bacterial foraging optimization (BFO) algorithm [15], the artificial bee colony (ABC) algorithm [16], the cuckoo search (CS) algorithm [17], the bat algorithm [18], the firefly algorithm (FA) [19], the gray wolf optimization (GWO) algorithm [20], the whale optimization algorithm (WOA) [21], manta ray foraging optimization (MRFO) [22], the reptile search algorithm (RSA) [23], etc.
Physics-based MAs: These methods draw inspiration from physics concepts and phenomena and can efficiently search solution spaces by utilizing ideas from thermodynamics, dynamic systems, and energy minimization. By imitating physical processes, they seek to attain the finest solutions. Some popular methods that fall within these categories include: simulated annealing (SA) [24], the variable neighborhood (VN) algorithm [25], the harmony search (HS) algorithm [26], central force optimization (CFO) [27], the gravitational search algorithm (GSA) [28], charged system search (CSS) [29], the black hole (BH) algorithm [30], the water cycle (WC) algorithm [31], the Sine–Cosine Algorithm (CSA) [32], thermal exchange optimization (TEO) [33], atom search optimization (ASO) [34], etc.
Human-based MAs: These methods draw inspiration from social and cognitive aspects of human behavior. These algorithms investigate and optimize solutions to complicated issues by utilizing human problem-solving techniques, teamwork, and decision-making. Some popular algorithms that fall within these categories include the following: society and civilization [35], the league championship algorithm [36], the brain storm optimization (BSO) algorithm [37], the teaching–learning-based optimization (TLBO) algorithm [38], the gaining sharing knowledge (GSK) algorithm [39], the driving training optimization (DTBO) algorithm [40], etc.
In the past, several studies have utilized different MAs to address SELD problems. Walters and Sheble [41] implemented GA to solve the SELD problem by utilizing the payoff information of candidates’ solutions and comparing the result with dynamic programming methods. Sinha et al. [42] also showed that the EP can also be an alternative method for solving ELD problems. Later, Gaing [43] applied PSO to the SELD problem with a non-smooth objective function with constraints such as prohibited operating zone and ramp rate limits and found better solutions than the GA. Noman and Iba applied DE [44] to solve this problem and found better results than other algorithms such as PSO and the GA. Later, Kumar et al. [45] implemented a modified DE variant and found impressive results compared with the GA, PSO, AIS, etc.
Some recent progress in the application of advanced MAs for solving SELD problems can be found in [46,47,48,49,50,51,52,53,54,55,56,57,58,59,60,61,62,63].
Although SELD problems have been successfully handled by these algorithms, our intensive study on this subject concludes that this type of problem can be solved more precisely by the establishment of new methods. In addition, many researchers are still motivated to build new algorithms for specific optimization problems, influenced by the No Free Lunch (NFL) theorem [64], which states that a method cannot be expected to perform optimally across all optimization problems.
The above research motivated us to develop a novel optimization technique for resolving optimization challenges in this study.
This study presents a fresh contribution through the construction of a new MA termed “Attaining and Refining Knowledge-based Optimization (ARKO)”, which is based on the ability of humans to learn from their surroundings. The proposed method aims to search the solution space as efficiently as possible by attaining knowledge from individuals of the elite group and then making improvements by exchanging the gained knowledge with other individuals in the subject population.
The working structure of ARKO distinguishes it from other well-known human-based MAs, such as TLBO or GSK. In TLBO, first, all candidates are trained by the best candidate, called the “teacher”, and subsequently improve themselves by learning from another selected candidate in the second phase. Similarly, GSK works in two phases called the junior and senior phases. During the junior phase, an individual gains knowledge from neighboring and trustworthy individuals and then updates this knowledge in the senior phase by utilizing the available information of the individuals selected from the best, medium, and worst categories, whereas in ARKO, a candidate first attains initial knowledge from two selected people from the elite group from the best and worst categories only, and then revises the old knowledge accordingly. After that, the candidates refine themselves by sharing their previously gained knowledge with two randomly selected candidates.
The following are the contributions of this study:
- The ARKO algorithm is presented in this study to attain and refine people’s knowledge using information from more knowledgeable people in a society.
- A set of 41 highly complicated test functions of the CEC-2017 and CEC-2022 test suites, three real-life applications, and 11 well-known MAs are employed to examine and compare the performance of the proposed ARKO algorithm.
- The efficiency of ARKO is assessed in terms of its ability to address a highly non-linear and non-convex SELD problem in power engineering.
The remainder of this article is structured as follows: Section 2 provides the mathematical description of the SELD problem. Section 3 explains the mathematical formulation and operations of the proposed ARKO algorithm. Section 4 analyzes the study results and comparisons of ARKO with other MAs based on the IEEE CEC test suites, real-life applications, and the SELD problem. Finally, this study’s conclusions and future directions are discussed in Section 5.
2. Static Economic Load Dispatch Problem [65]
The fundamental target of the SELD problem is to determine the best generator combination to minimize the total fuel cost of a power structure even while satisfying numerous related constraints. Symbolically, the objective function is represented by Equation (1):
where Ctotal represents the total fuel cost, fi(pi) is the cost function for the power output pi of the ith generator, and ng is the generator quantity to be deployed in the power structure. The generator’s fuel cost is typically stated as a polynomial of second order, as provided by Equation (2):
where λi, ηi, and γi are the ith generation unit’s cost coefficients.
Additionally, the SELD problem is also subjected to several constraints, which are discussed below.
Generator Constraints: Every generating unit’s output power always falls between the bounds, i.e.,
Power Balance Constraints: This constraint is founded on the idea that the system’s losses and total power and load should be balanced. If pLoad and pLoss are the system’s power load and transmission loss, respectively, then this constraint is defined by Equation (4).
Next, the loss pLoad is attained using the B-coefficient method as specified in Equation (5):
where Bi,j is the ith-jth generator’s element of the B-matrix.
Ramp Rate Limit: One unrealistic presumption that simplified the issue is that power output adjustments are unbounded. However, in reality, all online unit operating ranges are limited by the ramp rate limit for altering the operation between two specific operating stages. The ramp rate constraints are defined in Equation (6):
where pi (G − 1) is the ith generator’s power generation at the preceding hour; and are the lower and upper ramp limits.
Hence, the ramp rate constraints change the generator restrictions using Equation (7):
Prohibited Operating Zone:
Problems such as vibrations in the shaft bearings or constraints on the steam valves may cause the generating units to operate in restricted zones. The cost curves have discontinuities because of these zones. Thus, avoiding operations in these prohibited regions can result in optimal cost reduction.
The reasonable operation zones for the ith generating unit are specified in Equation (8):
where are the bounds of the ith generators, respectively, in the prohibited operating regions.
To ensure readability, the SELD problem can be written in a standard optimization form by including all the above constraints in Equation (9):
3. Proposed Attaining and Refining Knowledge-Based Optimization (ARKO)
3.1. Inspiration
It is commonly believed that humans are influenced by the environment around them, and they learn a lot from individuals with greater knowledge in their society. In addition, they also continuously make efforts to improve their knowledge to make themselves more influential in society. Inspired by this human learning nature, we propose our Attaining and Refining Knowledge-based Optimization (ARKO) algorithm, where an individual attains knowledge from individuals with higher knowledge, and then refines it by adopting the knowledge from other selected persons of the updated society.
3.2. Mathematical Foundation of ARKO
The mathematical design and operations of the proposed ARKO algorithm are explained below:
Initialization: Similarly to other population-based meta-heuristics, we generate a uniformly distributed random population of n-dimensional M individuals, for example, , by using Equation (10):
where rand is a uniform random number in [0, 1] and [ylower,j, yupper,j] are the jth component’s bounds, respectively.
The key difference between the MAs is the approach used for updating candidate positions. In ARKO, the positions of the individuals are updated in two different phases: (i) attaining knowledge and (ii) refining knowledge.
- Phase-1: Attaining Knowledge
Attaining knowledge is the primary phase of ARKO, where the candidates learn the behavior of other candidates and gain their initial knowledge. It contains three different stages: attaining, refining, and updating knowledge, which are defined below:
Attaining: At this stage, an individual gains knowledge with the help of the finest selected candidates. For this purpose, first, we divide the whole region into two groups based on their performances: group-I and group-II. Group-I, known as the elite group, contains the Mα best candidates of the population, while group-II contains the remaining (M − Mα) candidates. Now, a candidate can attain and exchange their knowledge with randomly selected good candidates from each group. For this purpose, we select one candidate, for example, , from group-I and another candidate, for example, , from group-II, and perform Equation (11):
where rand1 and rand2 are uniform random numbers and S1 and S2 are sign functions defined in Equation (12).
These sign functions play an essential role here. They help to improve the knowledge of a weak candidate toward the best candidate during their discussion. For example, there may be a possibility that (especially for group-I candidates) will be better than the selected candidates or ; in this case, the sign function will change the moving direction towards the by giving a minus value.
Revising: In order to maintain diversity, the candidate revises its gained knowledge by restoring some information from old candidates. First, we fix a transfer ratio , which decides the number of components, for example, n1, to be replaced where . Next, we select n1 indexes, for example, j1, j2, …jn1, randomly from j =1, 2,…, n and replace these components with the old candidate’s information as defined in Equation (13):
where and are the jth components of the corresponding ith candidates, respectively.
Updating: A tournament selection operation is performed to generate an upgraded candidate’s population for the next phase using Equation (14):
- Phase-2: Refining Knowledge
This phase plays an essential role in improving the performance of ARKO. There are two steps to refining the knowledge of the candidates. The first step is refining, where two selected candidates discuss among themselves and move towards better knowledge, and then share this collective knowledge with the target person to improve their previously acquired knowledge. The second step is updating, in which better candidates are selected for the next generation based on their newly gained knowledge.
Refining: At this phase, an individual improves by gaining knowledge from other randomly selected candidates, for example, and , from the updated population. First, the selected candidates, and , exchange their knowledge and then transfer to as defined by Equation (15):
where rand4 is a uniform random number within [0, 1]; S3 is a sign function and selects the direction to move between and as defined in Equation (16).
Updating: Finally, we select the best candidates between and to upgrade the next generation population using Equation (17):
A graphical presentation of working steps for the proposed ARKO algorithm and position updating of the individuals is provided in Figure 1. Figure 1a represents the working flow of both phases of the proposed ARKO, while Figure 1b signifies the movement of any individual Yi to a new location Ynew during the attaining phase. However, transferring the information in this way may push the algorithm into local minima, which can be considered a disadvantage of the proposed approach. The issue of becoming stuck in local optima has been a common deficiency of almost all Mas, and various efforts have been made to overcome this limitation. Some of the prevalent approaches are hybridization with other algorithms, adjusting the algorithm’s control parameters, designing new escaping methods, etc. In ARKO, the refining phase was designed to maintain population diversity, and hence, it also helps the algorithm prevent the problem of local minima. The yellow dots represent the possible revising positions after transferring the knowledge gained to the old one. Hence, we can observe that the refining operation provides additional positions and recovers the exploration ability of the attaining phase. In addition, an appropriate setting of transfer rate (TR) can improve the work efficiency of the algorithm (Algorithm 1).

Figure 1.
Functioning of ARKO: (a) execution flow; (b) position updating.
Apart from this, the implementation of the above mentioned methods with ARKO may be helpful to effectively overcome the deficiency of local optima.
| Algorithm 1: Attaining and Refining Knowledge-Based Optimization (ARKO) | |
| 1 | Input: M, n, Max-iteration, Mα, TR, ; |
| 2 | Generate initial population using Equation (10); |
| 3 | Calculate function value f(Yi) for each I; |
| 4 | While iteration ≤ Max_Iteration; |
| 5 | Sort population by their fitness; |
| 6 | For i = 1: M //start phase-1; |
| 7 | Select randomly from best Mα candidates (group-I) and randomly from remaining M − Mα candidates (group-II); |
| 8 | Perform the attaining phase and find using Equations (11) and (12); |
| 9 | Find n1 indexes randomly from j = 1, 2, 3,…n and revise using Equation (13): |
| 10 | if : ; else: ; Update population for the second phase using Equation (14); |
| 11 | End For //end phase-1; |
| 12 | For i = 1: M //start phase-2; |
| 13 | Select two candidates, for example, and , randomly from the updated population and refine knowledge of using Equations (15) and (16) |
| //Refine knowledge of | |
| 14 | if : ; else: ; Update population for next generation using Equation (17); |
| 15 | End For //end phase-2; |
| 16 | iteration = iteration +1; |
| 17 | End While. |
3.3. Computational Complexity
The computational complexity of ARKO will be equal to the sum of the complexity of the initialization and position updating phases. The computational complexity for initialization of the population of M candidates with n-decision variables will be equal to . Now, the proposed ARKO algorithm requires two phases to update the individual’s position at each iteration. Hence, the computational complexity of the proposed algorithm at this stage is , i.e., , where G denotes the maximum generations. Therefore, finally, is the total complexity of ARKO.
4. Results Examination
4.1. Performance Evaluation of IEEE CEC Functions
This section tests the algorithm’s efficiency using the IEEE CEC-2017 and CEC-2022 test suite benchmark functions.
4.1.1. IEEE CEC-2017 Test Functions
The IEEE CEC-2017 test suite is a popular benchmark suite made up of 29 (tf01, tf03–tf30) rotated and shifted functions. These functions fall into four groups: unimodal (tf01–tf03), multimodal (tf04–tf10), hybrid (tf11–tf20), and composite (tf21–tf30) functions. For each function, the preliminary bounds are set to −100 and 100, while the optimum value is predetermined using [66]. More information about these functions can be found in [67].
4.1.2. IEEE CEC-2022 Test Functions
The IEEE CEC-2022 test suite has 12 (tc01–tc12) rotated and shifted benchmark functions. These functions fall into four groups: one basic unimodal (tc01), four basic multimodal (tc02–tc05), three hybrid (tc06–tc08), and four composite (tc09–tc12) functions. For each function, the preliminary bounds are set to −100 and 100, while the optimum values are 300, 400, 600, 800, 900, 1800, 2000, 2200, 2300, 2600, and 2700, respectively. More information codes and input can be found at https://github.com/P-N-Suganthan?tab=repositories [68] (accessed on 12 January 2024).
4.1.3. Experimental Settings
The system configuration and parameter settings are as follows:
- System Configuration: OS—Windows 11 (64 bit), processor—i5 (Intel Core 2.6 GHz), and RAM—8 GB.
- M = 100, n = 30, Mα = 20, TR = 0.5, Run = 50, Max-iteration = 100 × n.
4.1.4. Sensitivity Analysis of ARKO on Transfer Ratio
First, a sensitivity analysis was carried out by setting TR = 0.3, 0.5, 0.7, and 0.9 on the CEC-2017 functions for dimensions n = 10 and 30. The best, mean, and standard deviation (SD) values were compiled in Table 1 and Table 2 based on 50 independent runs. A position-wise comparison is also counted in the tables.
Table 1.
Sensitivity analysis of ARKO on the CEC-2017 functions (n = 10) at TR = 0.3, 0.5, 0.7, and 0.9.
Table 2.
Sensitivity analysis of ARKO on the CEC-2017 functions (n = 30) at TR = 0.3, 0.5, 0.7, and 0.9.
For n = 10, the algorithm takes the first, second, third, and fourth positions on 9/9/7/4 functions at TR = 0.3. Similarly, for TR = 0.5, 0.7, and 0.9, the position-wise performances are 12/7/3/7, 13/7/7/2 and 11/2/5/11, respectively. The average ranks of ARKO at TR = 0.3, 0.5, 0.7, and 0.9 are 2.21, 2.17, 1.97, and 2.55, respectively. Therefore, it shows that TR = 0.7 may be a good choice for low-dimension cases.
For n = 30, the algorithm takes the first, second, third, and fourth positions on 11/10/7/1 functions at TR = 0.3. Similarly, for TR = 0.5, 0.7, and 0.9, the position-wise performances are 12/10/5/2, 13/4/11/1, and 4/1/2/22, respectively. Hence, it is evident that the proposed ARKO algorithm provides approximately identical results for TR = 0.3, 0.5, and 0.7. The average ranks of ARKO at TR = 0.3, 0.5, 0.7, and 0.9 are 1.93, 1.89, 2, and 3.44, respectively. These results helped us to determine that TR = 0.5 is a good choice for high-dimension cases and further experiments.
4.1.5. Performance Assessment with Meta-Heuristic Variants
The following 11 advanced meta-heuristic algorithms were selected for comparison with the performance of the proposed ARKO algorithm:
- TLBO [38]: Human-based Meta-heuristics.
- GSK [39]: Human-based Meta-heuristics.
- DTBO [40]: Human-based Meta-heuristics.
- AGBSO [69]: Modified Human-based Meta-heuristics.
- TDSD [70]: (Hybrid Physics-based Meta-heuristics.
- EJaya [71]: Modified EA-based Meta-heuristics.
- DisGSA [72]: Modified Physics-based Meta-heuristics.
- HMRFO [73]: Modified Swarm-based Meta-heuristics.
- CJADE [74]: Modified EA-based Meta-heuristics.
- SHADE [75]: Modified EA-based Meta-heuristics and winner of CEC-2014.
- IMODE [76]: Modified EA-based Meta-heuristics and winner of CEC-2020.
All of the experimental results and comparisons are simulated in Table 3, Table 4, Table 5, Table 6, Table 7 and Table 8.
Table 3.
Comparison of ARKO with other MAs (TLBO, DTBO, GSK, AGBSO, TDSD) on the CEC-2017 test functions.
Table 4.
Comparison of ARKO with other MAs (EJAYA, DisGSA, HMRFO, SHADE, IMODE and CJADE) on the CEC-2017 test functions.
Table 5.
The results of ARKO and other MAs on the CEC-2022 test functions.
Table 6.
The results of Friedman’s rank test on the CEC-2017 functions.
Table 7.
Theresults of Friedman’s rank test on the CEC-2022 functions.
Table 8.
The results of the Wilcoxon rank-sum test on the CEC test functions.
The parameter settings for all meta-heuristic algorithms were selected in accordance with the recommendations made in the corresponding original publications. The original studies of TDSD and IMODE are the source of their empirical results.
Table 3 and Table 4 show the mean error and standard deviation (SD) values of 50 runs on the CEC-2017 test suite. If the value for reaching (VTR = 10−8) has been exceeded, then the error is treated as 0. The bold-marked values represent the best outcomes. ARKO provides the best outcomes on a maximum of 13 functions and achieves the first position, while SHADE and CJADE manage to achieve the second and third positions by obtaining the best outcomes on seven and five functions, respectively. The last two rows of this table show the pairwise win/loss/tie performance and p-values of the algorithms with ARKO, which is evidence that ARKO produces superior outcomes to all other algorithms.
The p-values computed using the “Wilcoxon Sign Test” confirm the statistical efficacy of ARKO on its competitors. Through this p-value, it can also be observed that only SHADE, AGBSO, and CJADE are significantly equal to ARKO, while the values of the remaining algorithms are significantly lower.
Table 5 shows the mean error and standard deviation (SD) of 50 runs on the CEC-2022 test suite. The bold-marked values represent the best outcomes. ARKO provides the best outcomes on a maximum of seven functions and achieves the first position, while CJADE and SHADE achieve the second position by obtaining the best positions on three functions, respectively. The pairwise win/loss/tie performance also proves the superiority of ARKO over other algorithms. The computed p-values confirm the statistical efficacy of ARKO on its competitors. Through this p-value, it can also be observed that SHADE, AGBSO, and CJADE are significantly equal to ARKO, while the values of the remaining algorithms are significantly lower.
Furthermore, two additional non-parametric tests for statistical invariance of the outcomes are described in Table 6, Table 7 and Table 8.
The average ranks computed using Friedman’s rank test are displayed in Table 6 and Table 7. For the CEC-2017 functions, it is noteworthy that ARKO received the top ranking in 13 cases, while TLBO, DTBO, GSK, AGBSO, TDSD, EJAYA, DisGSA, HMRFO, SHADE, IMODE, and CJADE received the top ranking in 1, 0, 4, 6, 0, 2, 3, 0, 7, 1, and 5 cases, respectively. For the algorithms’ second and third ranks, comparable results can be observed in a similar way. The average ranks for the TLBO, DTBO, GST, AGBSO, TDSD, EJAYA, DisGSA, HMRFO, SHADE, IMODE, and CJADE algorithms are 7.59, 11.09, 5.46, 6.23, 7.14, 7.27, 6.27, 7.86, 3.13, 8.71, and 4.34, respectively, while the rank for ARKO is only 2.91, which proves the supremacy of the proposed ARKO algorithm on these functions.
Similarly, the results for the CEC-2022 functions can be observed in Table 7, where ARKO received the first rank on seven cases, while TLBO, DTBO, GSK, AGBSO, EJAYA, DisGSA, HMRFO, SHADE, and CJADE received the top ranking in 1, 0, 2, 2, 2, 0, 0, 4, and 3 cases, respectively. The average ranks for the TLBO, DTBO, GST, AGBSO, EJAYA, DisGSA, HMRFO, SHADE, and CJADE algorithms are 7.08, 9.75, 5.04, 4.79, 6.17, 6.67, 6.63, 2.79, and 3.42, respectively, while the rank for ARKO is only 2.67, which proves the supremacy of the proposed ARKO algorithm on these functions. The average ranks are also represented with the assistance of bar charts in Figure 2.
Figure 2.
Bar chart representation of Friedman’s rank test results of the algorithms: (a) CEC-2017 functions; (b) CEC-2022 functions.
Table 8 displays the positive and negative rank sums and corresponding p-values computed using the Wilcoxon rank-sum test. ARKO’s superior efficacy over its competitors is demonstrated by its lower rank and greater positive rank sum. The corresponding p-values of less than 0.05 show that ARKO is significantly better in such cases, while the p-values for SHADE and CJADE indicate equivalent significance.
The average CPU time is also presented in the Tables, and it can be observed that EJaya takes minimum execution time in both cases of the CEC-2017 and CEC-2022 functions. SHADE and DTBO take the second and third places, respectively, while ARKO is able to secure only the fourth place due to its high complexity.
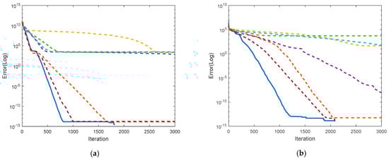
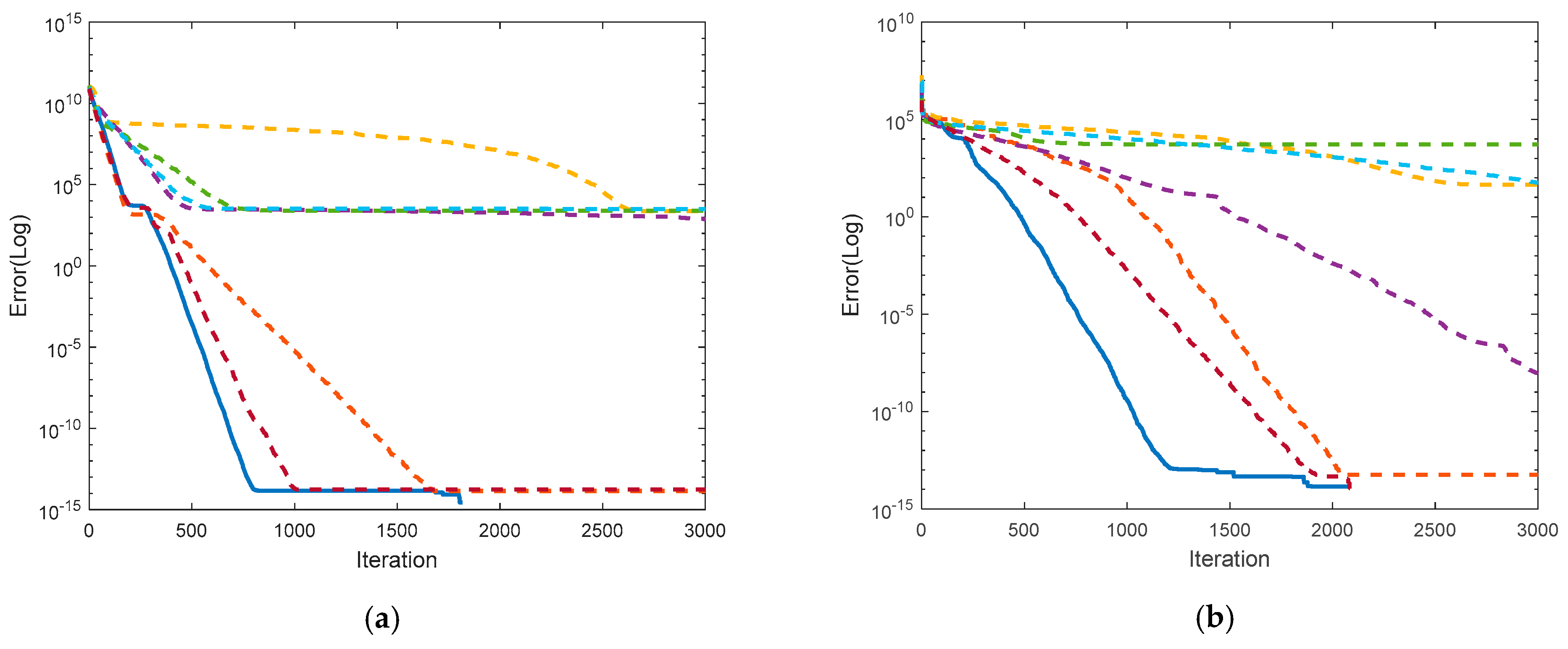
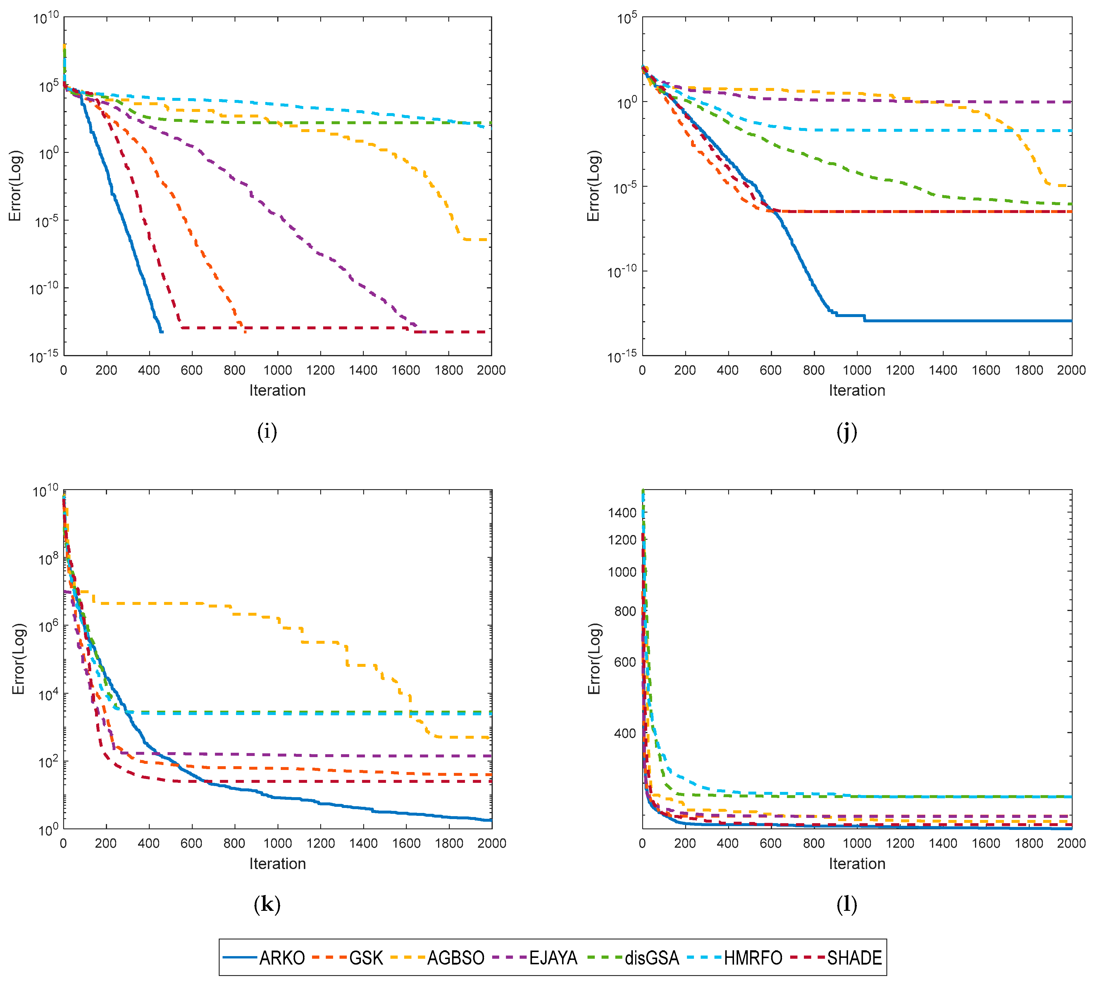
The box plots presented in Figure 3 also visually verify the effectiveness of ARKO on benchmark functions. The graphical convergence performance of the algorithms for a few selected test functions of each category, including unimodal (tf01, tf03), multimodal (tf04, tf06), hybrid (tf15, tf18, tf19), and composite (tf30) from the CEC-2017 suite and basic unimodal (tc01), basic multimodal (tc04), hybrid (tc6), and composite (tc12) from the CEC-2022 suite, are shown in Figure 4. The graphs examine the algorithms’ convergence behavior and confirm that the proposed ARKO algorithm converges in an enhanced way compared with its rivals.

Figure 3.
Box plots for the performance of ARKO on the CEC test functions. (a) tf01–tf10 (CEC-2017-Unimodal and Multimodal); (b) tf11–tf20 (CEC-2017-Hybrid); (c) tf21–tf30 (CEC-2017-Composite); (d) tc01–tc05 (CEC-2022-Basic Unimodal and Multimodal); (e) tc06–tc08 (CEC-2022-Hybrid); (f) tc09–tc12 (CEC-2022-Composite).


Figure 4.
Convergence illustration of the algorithms considering different categories of the CEC benchmark functions.(a) tf01 (Unimodal); (b) tf03 (Unimodal); (c) tf04 (Multimodal); (d) tf06 (Multimodal); (e) tf15 (Hybrid); (f) tf18 (Hybrid); (g) tf19 (Hybrid); (h) tf30 (Composite); (i) tc01 (Basic Unimodal); (j) tc03 (Basic Multimodal); (k) tc06 (Hybrid); (l) tc12 (Composite).
4.2. Performance Evaluation of Real-Life Applications
To test the practical ability of the proposed ARKO algorithm, three unconstrained real-life applications, the Frequency-Modulated (FM), the Non-Linear Stirred Tank Reactor optimal Control (NLSTS), and the Spread Spectrum Radar Polly Phase Code Design (SSRPCD)problems, were selected from the CEC-2011 test suite [65].
The performance of ARKO was compared with five other MAs: TLBO, DTBO, GSK, EJAYA, and SHADE. The computed results are presented in Table 9 for the best, mean, and standard deviation values of 50 runs. The proposed ARKO algorithm provided enhanced quality solutions for each problem and secured first rank in each case. The SHADE algorithm achieved the second rank for the FM and SSRPCD problems while DTBO obtained the second rank for the NLSTS problem.
Table 9.
The results of ARKO on real-life optimization problems.
A box plot is presented in Figure 5, which also visually verifies the effectiveness of ARKO on the other tested problems.
Figure 5.
Box plot representation for real-life problems: (a) FM, (b) NLSTS, and (c) SSRPCD.
4.3. Performance Evaluation of ARKO on the SELD Problem
The performance of ARKO on the SELD problem is discussed in this segment. Three cases of 6, 15, and 40 units were considered for the experiments. The required input data, MATLAB codes, and constrained handling techniques were used as provided by the source in [65]. The maximum iterations were set as 600, 1500, and 4000, respectively.
First, a sensitivity analysis was conducted on the transform ratio (TR) and the results are presented in Table 10. The results were obtained for TR = 0.3, 05, 0.7, and 0.9 in terms of the worst, best, and mean cost values of the SELD problem. We can observe that the algorithm provides outstanding outcomes on each value of TR; however, TR = 0.7 is an appropriate setting value for the 6-unit case while TR = 0.5 is suitable for the 15- and 40-unit cases.
Table 10.
Sensitivity analysis of ARKO on the SELD problem at TR= 0.3, 0.5, 0.7, and 0.9.
The outcomes for total power output and power loss are presented in Table 11, Table 12 and Table 13 for the 6-, 15-, and 40-unit cases, respectively. The total power demand for these cases was 1263 MW, 2630 MW, and 10,500 MW, respectively.
Table 11.
The results of total power output and power loss for the 6-unit case.
Table 12.
The results of total power output and power loss for the 15-unit case.
Table 13.
The results of total power output and power loss for the 40-unit case.
For the 6-unit case, ARKO produced 1275.4143 MW of power output, resulting in a power loss value of 12.4143 MW, which is a minimal power loss compared with all the other tested algorithms. Similarly, the ARKO power loss values are 30.6132 and 0 for the 15- and 40-unit cases, respectively, which are minimal in both cases. GSK provides the second-best minimum power loss for the 6- and 15-unit cases while TLBO provides the second-best minimum value for the 40-unit case.
The outcomes for the worst, best, and average costs with the standard deviation (SD) are presented in Table 14.
Table 14.
The results of the computed fuel cost (USD/hour) on the SELD problem.
For the 6-unit case, the average cost obtained by ARKO is 15,444.0864, which is smaller than that obtained by other algorithms. Similarly, the worst and best cost values obtained by ARKO are also smaller than the other algorithms. However, based on the p-value, it can be noted that GSK and SHADE achieve significantly equal performance with ARKO. A relative profit obtained by ARKO is also computed for the mean cost. It shows that ARKO provides a profit of USD38.8837, USD14.7609, USD11.7296, USD20.0638, USD14.6985, USD0.0054, USD15.0739, and USD0.2446 compared with GA, PSO, DE, TLBO, DTBO, GSK, EJAYA, and SHADE, respectively, and hence an average profit of USD14.4326.
Similarly, we can observe that the average costs obtained by ARKO are 32,737.8120 and 118,697.9480 for the 15- and 40-unit cases, respectively, which are smaller than those obtained by the other algorithms. The superior performance of ARKO for the worst and best cost values can also be noted in Table 14. The p-values also validate the supremacy of ARKO compared with its competitors in terms of statistical significance. The average profits for the 15- and 40-unit cases are USD233.767 and USD4533.0007, respectively.
Figure 6 and Figure 7 demonstrate the box plot representation and convergence graphs of each algorithm’s performance and verify the effectiveness of the proposed ARKO algorithm.
Figure 6.
Box plot representation for SELD problems: (a) 6-unit, (b) 15-unit, and (c) 40-unit cases.
Figure 7.
Convergence graphs for SELD problems: (a) 6-unit, (b) 15-unit, and (c) 40-unit cases.
For the 6- and 15-unit cases, ARKO provides the minimum cost value, but the other algorithms performed similarly and hence the convergence graphs in Figure 7a,b show similar performances. In the Figure, it can also be observed that all algorithms converge too quickly due to the low-dimension cases; however, ARKO performs much better than the other algorithms for the 40-unit case as can be observed in Figure 7c.
5. Conclusions
This study introduced a novel MA based on human learning behavior called the Attaining and Refining Knowledge-based Optimization (ARKO) algorithm. The main concept of ARKO is based on the learning abilities of elite groups. The algorithm performs two stages: attaining and refining knowledge. The innovative exploring and enhancing process conducted through the numerous stages of attaining, refining, and updating makes ARKO a unique and robust algorithm. ARKO’s performance was numerically and statistically examined on 41 highly complicated benchmark functions from the CEC-2017 and CEC-2022 test suites, and it was compared with 11 other sophisticated MAs: TLBO, DTBO, GSK, EJAYA, AGBSO, DisGSA, HMRFO, TDSD, SHADE, CJADE, and IMODE. The results show that ARKO delivers excellent performance and achieves the best rank on each test suite. Through the statistical results, we also observed that ARKO’s performance is significantly equal to SHADE and CJADE, which are considered robust MAs. The practical ability of ARKO was also tested on the three real-life applications of FM, NLSTS, and SSRPCD. Furthermore, ARKO was applied to a Static Economic Load Dispatch (SELD) problem, which is a well-known highly complicated and convex optimization problem in the field of power engineering. Moreover, three different SELD cases, 6, 15, and 40 units, requiring power loads of 1263, 2630, and 10,500 MW, respectively, were investigated. The comparison of the algorithms shows that ARKO produces minimum power output and power loss in each case. ARKO also minimizes fuel costs and saves an average of USD14.4326, USD233.767, and USD4533.0007 per hour against the other algorithms on the 6-, 15-, and 40-unit cases, respectively. Hence, the performance analysis confirms that the proposed ARKO algorithm is more efficient at optimizing and achieving optimal solutions, producing better outcomes, and providing a significant advantage over its competitors.
Although the proposed ARKO algorithm delivered satisfactory results for the problems addressed in this study, it has certain limitations when applied to different scenarios, such as increased complexity and the risk of becoming trapped in local minima. Furthermore, according to the No Free Lunch (NFL) theorem, ARKO may not obtain optimal solutions for all optimization problems. Therefore, future research will concentrate on improving ARKO by introducing some new methods to mitigate its limitations, which may include increasing population diversity by incorporating chaotic maps or opposition-based methods to improve local solutions. It will also be interesting to develop hybrid variants of ARKO achieved by combining the algorithm with other MAs or self-adaptive transfer rate methods so that it can handle intricate real-world applications effectively.
Author Contributions
Conceptualization, P.K.; methodology, P.K.; software, P.K. and M.A.; validation, P.K. and M.A.; formal analysis, P.K.; investigation, P.K. and M.A.; resources, P.K. and M.A.; data curation, P.K.; writing—original draft preparation, P.K. and M.A.; writing—review and editing, P.K. and M.A.; visualization, P.K. and M.A.; supervision, P.K. and M.A.; project administration, P.K.; funding acquisition, M.A. All authors have read and agreed to the published version of the manuscript.
Funding
This work was supported by the Deanship of Scientific Research, Vice Presidency for Graduate Studies and Scientific Research, King Faisal University, Saudi Arabia (Grant No. KFU251179).
Data Availability Statement
All related data are contained within the article.
Conflicts of Interest
The authors declare no conflicts of interest.
References
- Jabr, R.; Coonick, A.; Cory, B. A Homogeneous Linear Programming Algorithm for the Security Constrained Economic Dispatch Problem. IEEE Trans. Power Syst. 2000, 15, 930–936. [Google Scholar] [CrossRef]
- Papageorgiou, L.G.; Fraga, E.S. A Mixed Integer Quadratic Programming Formulation for the Economic Dispatch of Generators with Prohibited Operating Zones. Electr. Power Syst. Res. 2007, 77, 1292–1296. [Google Scholar] [CrossRef]
- Kaur, N.; Singh, I. Economic Dispatch Scheduling Using Classical and Newton Raphson Method. Int. J. Eng. Manag. Res. 2015, 5, 711–716. [Google Scholar]
- Xu, Y.; Zhang, W.; Liu, W. Distributed Dynamic Programming-Based Approach for Economic Dispatch in Smart Grids. IEEE Trans. Ind. Informat. 2014, 11, 166–175. [Google Scholar] [CrossRef]
- Singh, N.; Chakrabarti, T.; Chakrabarti, P.; Margala, M.; Gupta, A.; Praveen, S.P.; Krishnan, S.B.; Unhelkar, B. Novel Heuristic Optimization Technique to Solve Economic Load Dispatch and Economic Emission Load Dispatch Problems. Electronics 2023, 12, 2921. [Google Scholar] [CrossRef]
- Hassan, M.H.; Kamel, S.; Jurado, F.; Desideri, U. Global Optimization of Economic Load Dispatch in Large Scale Power Systems Using an Enhanced Social Network Search Algorithm. Int. J. Electr. Power Energy Syst. 2023, 156, 109719. [Google Scholar] [CrossRef]
- Vent, W. Rechenberg, Ingo, Evolutionsstrategie—Optimierung Technischer Systeme Nach Prinzipien Der Biologischen Evolution. 170 S. Mit 36 Abb. Frommann-Holzboog-Verlag. Stuttgart 1973. Broschiert. Feddes Repert. 1975, 86, 337. [Google Scholar] [CrossRef]
- Holland, J. Adaptation in Natural and Artificial Systems: An Introductory Analysis with Application to Biology Control, and Artificial Intelligence; MIT Press: Cambridge, MA, USA, 1975. [Google Scholar]
- Storn, R.; Price, K. Differential Evolution—A Simple and Efficient Heuristic for Global Optimization over Continuous Spaces. J. Glob. Optim. 1997, 11, 341–359. [Google Scholar] [CrossRef]
- Han, K.-H.; Kim, J.-H. Quantum-Inspired Evolutionary Algorithm for a Class of Combinatorial Optimization. IEEE Trans. Evol. Comput. 2002, 6, 580–593. [Google Scholar] [CrossRef]
- Civicioglu, P. Transforming Geocentric Cartesian Coordinates to Geodetic Coordinates by Using Differential Search Algorithm. Comput. Geosci. 2012, 46, 229–247. [Google Scholar] [CrossRef]
- Civicioglu, P. Backtracking Search Optimization Algorithm for Numerical Optimization Problems. Appl. Math. Comput. 2013, 219, 8121–8144. [Google Scholar] [CrossRef]
- Dorigo, M.; Maniezzo, V.; Colorni, A. Ant System: Optimization by a Colony of Cooperating Agents. IEEE Trans. Syst. Man Cybern. Part B Cybern. 1996, 26, 29–41. [Google Scholar] [CrossRef]
- Kennedy, J.; Eberhart, R. Particle Swarm Optimization. In Proceedings of the IEEE International Conference on Neural Networks, Perth, WA, Australia, 27 November–1 December 1995; Volume IV; pp. 1942–1948. [Google Scholar]
- Passino, K.M. Biomimicry of Bacterial Foraging for Distributed Optimization and Control. IEEE Control Syst. Mag. 2002, 22, 52–67. [Google Scholar] [CrossRef]
- Karaboga, D.; Basturk, B. A Powerful and Efficient Algorithm for Numerical Function Optimization: Artificial Bee Colony (ABC) Algorithm. J. Glob. Optim. 2007, 39, 459–471. [Google Scholar] [CrossRef]
- Yang, X.S.; Deb, S. Cuckoo Search via Lévy Flights. In Proceedings of the 2009 World Congress on Nature and Biologically Inspired Computing, NABIC 2009—Proceedings, Coimbatore, India, 9–11 December 2009. [Google Scholar]
- Yang, X.S. A New Metaheuristic Bat-Inspired Algorithm; Studies in Computational Intelligence; Springer: Berlin, Germany, 2010. [Google Scholar]
- Yang, X.S. Firefly Algorithm, Stochastic Test Functions and Design Optimization. Int. J. Bio-Inspired Comput. 2010, 2, 78. [Google Scholar] [CrossRef]
- Mirjalili, S.; Mirjalili, S.M.; Lewis, A. Grey Wolf Optimizer. Adv. Eng. Softw. 2014, 69, 46–61. [Google Scholar] [CrossRef]
- Mirjalili, S.; Lewis, A. The Whale Optimization Algorithm. Adv. Eng. Softw. 2016, 95, 51–67. [Google Scholar] [CrossRef]
- Zhao, W.; Zhang, Z.; Wang, L. Manta Ray Foraging Optimization: An Effective Bio-Inspired Optimizer for Engineering Applications. Eng. Appl. Artif. Intell. 2020, 87, 103300. [Google Scholar] [CrossRef]
- Abualigah, L.; Elaziz, M.A.; Sumari, P.; Geem, Z.W.; Gandomi, A.H. Reptile Search Algorithm (RSA): A nature-inspired meta-heuristic optimizer. Expert Syst. Appl. 2022, 191, 116158. [Google Scholar] [CrossRef]
- Kirkpatrick, S.; Gelatt, C.D.; Vecchi, M.P. Optimization by Simulated Annealing. Science 1983, 220, 671–680. [Google Scholar] [CrossRef]
- Mladenović, N.; Hansen, P. Variable Neighborhood Search. Comput. Oper. Res. 1998, 24, 1097–1100. [Google Scholar] [CrossRef]
- Geem, Z.W.; Kim, J.H.; Loganathan, G.V. A New Heuristic Optimization Algorithm: Harmony Search. Simulation 2001, 76, 60–68. [Google Scholar] [CrossRef]
- Formato, R.A. Central Force Optimization: A New Metaheuristic with Applications in Applied Electromagnetics. Prog. Electromagn. Res. 2007, 77, 425–491. [Google Scholar] [CrossRef]
- Rashedi, E.; Nezamabadi-Pour, H.; Saryazdi, S. GSA: A Gravitational Search Algorithm. Inf. Sci. 2009, 179, 2232–2248. [Google Scholar] [CrossRef]
- Kaveh, A.; Talatahari, S. A Novel Heuristic Optimization Method: Charged System Search. Acta Mech. 2010, 213, 267–289. [Google Scholar] [CrossRef]
- Hatamlou, A. Black Hole: A New Heuristic Optimization Approach for Data Clustering. Inf. Sci. 2013, 222, 175–184. [Google Scholar] [CrossRef]
- Eskandar, H.; Sadollah, A.; Bahreininejad, A.; Hamdi, M. Water Cycle Algorithm—A Novel Metaheuristic Optimization Method for Solving Constrained Engineering Optimization Problems. Comput. Struct. 2012, 110–111, 151–166. [Google Scholar] [CrossRef]
- Mirjalili, S. SCA: A Sine Cosine Algorithm for Solving Optimization Problems. Knowl.-Based Syst. 2016, 96, 120–133. [Google Scholar] [CrossRef]
- Kaveh, A.; Dadras, A. A Novel Meta-Heuristic Optimization Algorithm: Thermal Exchange Optimization. Adv. Eng. Softw. 2017, 110, 69–84. [Google Scholar] [CrossRef]
- Zhao, W.; Wang, L.; Zhang, Z. A Novel Atom Search Optimization for Dispersion Coefficient Estimation in Groundwater. Futur. Gener. Comput. Syst. 2019, 91, 601–610. [Google Scholar] [CrossRef]
- Ray, T.; Liew, K. Society and Civilization: An Optimization Algorithm Based on the Simulation of Social Behavior. IEEE Trans. Evol. Comput. 2003, 7, 386–396. [Google Scholar] [CrossRef]
- Kashan, A.H. League Championship Algorithm: A New Algorithm for Numerical Function Optimization. In Proceedings of the SoCPaR 2009—Soft Computing and Pattern Recognition, Malacca, Malaysia, 4–7 December 2009. [Google Scholar]
- Shi, Y. Brain Storm Optimization Algorithm. In Lecture Notes in Computer Science (Including subseries Lecture Notes in Artificial Intelligence and Lecture Notes in Bioinformatics); Springer: Berlin/Heidelberg, Germany, 2011. [Google Scholar]
- Rao, R.V.; Savsani, V.J.; Vakharia, D.P. Teaching–Learning-Based Optimization: A Novel Method for Constrained Mechanical Design Optimization Problems. Comput. Aided Des. 2011, 43, 303–315. [Google Scholar] [CrossRef]
- Mohamed, A.W.; Hadi, A.A.; Mohamed, A.K. Gaining-Sharing Knowledge Based Algorithm for Solving Optimization Problems: A Novel Nature-Inspired Algorithm. Int. J. Mach. Learn. Cybern. 2019, 11, 1501–1529. [Google Scholar] [CrossRef]
- Dehghani, M.; Trojovská, E.; Trojovský, P. A New Human-Based Metaheuristic Algorithm for Solving Optimization Problems on the Base of Simulation of Driving Training Process. Sci. Rep. 2022, 12, 9924. [Google Scholar] [CrossRef]
- Walters, D.C.; Sheble, G.B. Genetic Algorithm Solution of Economic Dispatch with Valve Point Loading. IEEE Trans. Power Syst. 1993, 8, 1325–1332. [Google Scholar] [CrossRef]
- Sinha, N.; Chakrabarti, R.; Chattopadhyay, P.K. Evolutionary Programming Techniques for Economic Load Dispatch. IEEE Trans. Evol. Comput. 2003, 7, 83–94. [Google Scholar] [CrossRef]
- Gaing, Z.-L. Particle Swarm Optimization to Solving the Economic Dispatch Considering the Generator Constraints. IEEE Trans. Power Syst. 2003, 18, 1187–1195. [Google Scholar] [CrossRef]
- Noman, N.; Iba, H. Differential Evolution for Economic Load Dispatch Problems. Electr. Power Syst. Res. 2008, 78, 1322–1331. [Google Scholar] [CrossRef]
- Kumar, P.; Pant, M. Modified Random Localisation-Based de for Static Economic Power Dispatch with Generator Constraints. Int. J. Bio-Inspired Comput. 2014, 6, 250. [Google Scholar] [CrossRef]
- Bulbul, S.M.A.; Pradhan, M.; Roy, P.K.; Pal, T. Opposition-Based Krill Herd Algorithm Applied to Economic Load Dispatch Problem. Ain Shams Eng. J. 2016, 9, 423–440. [Google Scholar] [CrossRef]
- Joshi, P.M.; Verma, H.K. An Improved TLBO Based Economic Dispatch of Power Generation through Distributed Energy Resources Considering Environmental Constraints. Sustain. Energy Grids Netw. 2019, 18, 100207. [Google Scholar] [CrossRef]
- Nguyen, H.D.; Pham, L.H. Solutions of Economic Load Dispatch Problems for Hybrid Power Plants Using Dandelion Optimizer. Bull. Electr. Eng. Informat. 2023, 12, 2569–2576. [Google Scholar] [CrossRef]
- Tai, T.-C.; Lee, C.-C.; Kuo, C.-C. A Hybrid Grey Wolf Optimization Algorithm Using Robust Learning Mechanism for Large Scale Economic Load Dispatch with Vale-Point Effect. Appl. Sci. 2023, 13, 2727. [Google Scholar] [CrossRef]
- Wang, X.; Chu, S.C.; Snášel, V.; Shehadeh, H.A.; Pan, J.S. Five Phases Algorithm: A Novel Meta-Heuristic Algorithm and Its Application on Economic Load Dispatch Problem. J. Internet Technol. 2023, 24, 837–848. [Google Scholar] [CrossRef]
- Jain, A.K.; Gidwani, L. Dynamic Economic Load Dispatch in Microgrid Using Hybrid Moth-Flame Optimization Algorithm. Electr. Eng. 2024, 106, 3721–3741. [Google Scholar] [CrossRef]
- Shaban, A.E.; Ismaeel, A.A.K.; Farhan, A.; Said, M.; El-Rifaie, A.M. Growth Optimizer Algorithm for Economic Load Dispatch Problem: Analysis and Evaluation. Processes 2024, 12, 2593. [Google Scholar] [CrossRef]
- Ragunathan, R.; Ramadoss, B. Golden Jackal Optimization for Economic Load Dispatch Problems with Complex Constraints. Bull. Electr. Eng. Informat. 2024, 13, 781–793. [Google Scholar] [CrossRef]
- Wadood, A.; Ghani, A. An Application of Gorilla Troops Optimizer in Solving the Problem of Economic Load Dispatch Considering Valve Point Loading Effect. Eng. Res. Express 2024, 6, 015310. [Google Scholar] [CrossRef]
- Zhang, Y.; Li, H. Research on Economic Load Dispatch Problem of Microgrid Based on an Improved Pelican Optimization Algorithm. Biomimetics 2024, 9, 277. [Google Scholar] [CrossRef]
- Yu, J.-T.; Kim, C.-H.; Wadood, A.; Khurshaid, T.; Rhee, S.-B. Jaya Algorithm with Self-Adaptive Multi-Population and Lévy Flights for Solving Economic Load Dispatch Problems. IEEE Access 2019, 7, 21372–21384. [Google Scholar] [CrossRef]
- Ellahi, M.; Abbas, G. A Hybrid Metaheuristic Approach for the Solution of Renewables-Incorporated Economic Dispatch Problems. IEEE Access 2020, 8, 127608–127621. [Google Scholar] [CrossRef]
- Deb, S.; Houssein, E.H.; Said, M.; Abdelminaam, D.S. Performance of Turbulent Flow of Water Optimization on Economic Load Dispatch Problem. IEEE Access 2021, 9, 77882–77893. [Google Scholar] [CrossRef]
- Said, M.; El-Rifaie, A.M.; Tolba, M.A.; Houssein, E.H.; Deb, S. An Efficient Chameleon Swarm Algorithm for Economic Load Dispatch Problem. Mathematics 2021, 9, 2770. [Google Scholar] [CrossRef]
- Said, M.; Houssein, E.H.; Deb, S.; Ghoniem, R.M.; Elsayed, A.G. Economic Load Dispatch Problem Based on Search and Rescue Optimization Algorithm. IEEE Access 2022, 10, 47109–47123. [Google Scholar] [CrossRef]
- Al-Betar, M.A.; Awadallah, M.A.; Makhadmeh, S.N.; Doush, I.A.; Zitar, R.A.; Alshathri, S.; Abd Elaziz, M. A Hybrid Harris Hawks Optimizer for Economic Load Dispatch Problems. Alex. Eng. J. 2022, 64, 365–389. [Google Scholar] [CrossRef]
- Braik, M.S.; Awadallah, M.A.; Al-Betar, M.A.; Hammouri, A.I.; Zitar, R.A. A Non-Convex Economic Load Dispatch Problem Using Chameleon Swarm Algorithm with Roulette Wheel and Levy Flight Methods. Appl. Intell. 2023, 53, 17508–17547. [Google Scholar] [CrossRef]
- Ismaeel, A.A.K.; Houssein, E.H.; Khafaga, D.S.; Abdullah Aldakheel, E.; AbdElrazek, A.S.; Said, M. Performance of Osprey Optimization Algorithm for Solving Economic Load Dispatch Problem. Mathematics 2023, 11, 4107. [Google Scholar] [CrossRef]
- Wolpert, D.H.; Macready, W.G. No Free Lunch Theorems for Optimization. IEEE Trans. Evol. Comput. 1997, 1, 67–82. [Google Scholar] [CrossRef]
- Das, S.; Suganthan, P.N. Problem Definitions and Evaluation Criteria for CEC 2011 Competition on Testing Evolutionary Algorithms on Real World Optimization Problems; Technical Report; Nanyang Technological University: Kolkata, India, 2011. [Google Scholar]
- Kumar, P.; Ali, M. Improved Differential Evolution Algorithm Guided by Best and Worst Positions Exploration Dynamics. Biomimetics 2024, 9, 119. [Google Scholar] [CrossRef]
- Awad, N.H.; Ali, M.Z.; Liang, J.J.; Qu, B.Y.; Suganthan, P.N. Problem Definitions and Evaluation Criteria for the CEC 2017 Special Session and Competition on Single Objective Bound Constrained Real-Parameter Numerical Optimization; Technical Report; Nanyang Technological University: Singapore, 2016; pp. 1–34. [Google Scholar]
- Kumar, A.; Price, K.V.; Mohamed, A.W.; Hadi, A.A. , Suganthan, P.N. Problem Definitions and Evaluation Criteria for the 2022 Special Session and Competition on Single Objective Bound Constrained Numerical Optimization; Technical Report; Nanyang Technological University: Singapore, 2021. [Google Scholar]
- Peng, Y.; Shen, Z.; Wang, S. Adaptive Grouping Brain Storm Optimization for Multimodal Optimization Problems. Int. J. Swarm Intell. Res. 2021, 12, 81–100. [Google Scholar] [CrossRef]
- Li, X.; Cai, Z.; Wang, Y.; Todo, Y.; Cheng, J.; Gao, S. TDSD: A New Evolutionary Algorithm Based on Triple Distinct Search Dynamics. IEEE Access 2020, 8, 76752–76764. [Google Scholar] [CrossRef]
- Zhang, Y.; Chi, A.; Mirjalili, S. Enhanced Jaya Algorithm: A Simple but Efficient Optimization Method for Constrained Engineering Design Problems. Knowl.-Based Syst. 2021, 233, 107555. [Google Scholar] [CrossRef]
- Guo, A.; Wang, Y.; Guo, L.; Zhang, R.; Yu, Y.; Gao, S. An Adaptive Position-Guided Gravitational Search Algorithm for Function Optimization and Image Threshold Segmentation. Eng. Appl. Artif. Intell. 2023, 121, 106040. [Google Scholar] [CrossRef]
- Tang, Z.; Wang, K.; Tao, S.; Todo, Y.; Wang, R.-L.; Gao, S. Hierarchical Manta Ray Foraging Optimization with Weighted Fitness-Distance Balance Selection. Int. J. Comput. Intell. Syst. 2023, 16, 114. [Google Scholar] [CrossRef]
- Gao, S.; Yu, Y.; Wang, Y.; Wang, J.; Cheng, J.; Zhou, M. Chaotic Local Search-Based Differential Evolution Algorithms for Optimization. IEEE Trans. Syst. Man Cybern. Syst. 2019, 51, 3954–3967. [Google Scholar] [CrossRef]
- Tanabe, R.; Fukunaga, A. Success-History Based Parameter Adaptation for Differential Evolution. In Proceedings of the 2013 IEEE Congress on Evolutionary Computation, Cancun, Mexico, 20–23 June 2013. [Google Scholar] [CrossRef]
- Sallam, K.M.; Elsayed, S.M.; Chakrabortty, R.K.; Ryan, M.J. Improved Multi-Operator Differential Evolution Algorithm for Solving Unconstrained Problems. In Proceedings of the 2020 IEEE Congress on Evolutionary Computation, Glasgow, UK, 9–24 July 2020. [Google Scholar] [CrossRef]
Disclaimer/Publisher’s Note: The statements, opinions and data contained in all publications are solely those of the individual author(s) and contributor(s) and not of MDPI and/or the editor(s). MDPI and/or the editor(s) disclaim responsibility for any injury to people or property resulting from any ideas, methods, instructions or products referred to in the content. |
© 2025 by the authors. Licensee MDPI, Basel, Switzerland. This article is an open access article distributed under the terms and conditions of the Creative Commons Attribution (CC BY) license (https://creativecommons.org/licenses/by/4.0/).










