You are currently viewing a new version of our website. To view the old version click .
Mathematics
  • Article
  • Open Access

23 February 2025

Multi-Strategy Enhanced Secret Bird Optimization Algorithm for Solving Obstacle Avoidance Path Planning for Mobile Robots

,
and
1
School of Informatic, Xiamen University, Xiamen 361102, China
2
Laboratory of Intelligent Home Appliances, Department of Artificial Intelligence, College of Science and Technology, Ningbo University, Ningbo 315300, China
*
Author to whom correspondence should be addressed.
This article belongs to the Special Issue Advances in Optimization Algorithms and Its Applications

Abstract

Mobile robots play a pivotal role in advancing smart manufacturing technologies. However, existing Obstacle avoidance path Planning (OP) algorithms for mobile robots suffer from low stability and applicability. Therefore, this paper proposes an enhanced Secret Bird Optimization Algorithm (SBOA)-based OP algorithm for mobile robots to address these challenges, termed AGMSBOA. Firstly, an adaptive learning strategy is introduced, where individuals enhance the diversity of the algorithm’s population by summarizing relationships among candidates of varying quality, thereby strengthening the algorithm’s ability to locate globally optimal obstacle avoidance path regions. Secondly, a group learning strategy is incorporated by dividing the population into learning and teaching groups, enhancing the algorithm’s exploitation capabilities, improving the accuracy of obstacle avoidance path planning, and reducing actual runtime. Lastly, a multiple population evolution strategy is proposed, which balances the exploration/exploitation phases of the algorithm by analyzing the nature of different individuals, improving the algorithm’s ability to escape suboptimal obstacle avoidance path traps. Subsequently, AGMSBOA was used to solve the OP problem on five maps and two OP problems in real-world environments. The experiments illustrate that AGMSBOA achieves more than 5% performance improvement in path length and a 100–win rate in runtime metrics, as well as faster convergence and stability of the solution. Therefore, AGMSBOA proposed in this paper is an efficient, robust, and robust OP method for mobile robots.

1. Introduction

With the advancement of intelligent manufacturing technology, mobile robots have now been extensively utilized in daily life, military management, and industrial production [1]. This not only enhances routine production efficiency but, more importantly, allows for the replacement of human labor in hazardous industries such as the aerospace industry and mining [2]. Obstacle avoidance and path planning for mobile robots represent a pivotal technology in this field, aiming to generate the shortest collision-free route from the starting point to the target node in a known obstructed environment [3]. Over the past few decades, scholars have predominantly relied on traditional path planning algorithms to address the issue of obstacle avoidance and path planning for mobile robots [4], including the best-first search algorithm [5], Dijkstra algorithm [6], jump point search algorithm [7], and trace algorithm [8]. However, due to the multi-constrained, continuous, and non-deterministic nature of obstacle avoidance and path planning for mobile robots, traditional path planning algorithms struggle to generate effective paths for such scenarios [9]. Metaheuristic algorithms, noted for their high versatility, flexibility, and dynamic adaptability, have demonstrated significant potential in solving complex obstacle avoidance and path planning problems for mobile robots [10].
Metaheuristic algorithms constitute a potent class of optimization tools that leverage simulations of natural strategies or phenomena to tackle optimization problems. They exhibit broad application prospects and profound research value [11]. In recent years, scholars have typically categorized metaheuristic algorithms into four groups: human-based, physics/chemistry-inspired, population-based, and evolution-based algorithms [12]. Representative human-based algorithms include the Cognitive Behavior Optimization Algorithm (CBOA) [13], Human Mental Search (HMS) [14], and Teaching–Learning Based Optimization (TLBO) [15]. Among the physics/chemistry-inspired algorithms, notable examples are Henry Gas Solubility Optimization (HGSO) [16], Atom Search Optimization (ASO) [17], and Charged System Search (CSS) [18]. Population-based algorithms primarily encompass Ant Colony Optimization (ACO) [19], the Pathfinder Algorithm (PA) [20], and the Slime Mold Algorithm (SMA) [21]. Lastly, evolution-based algorithms are typically exemplified by Differential Evolution (DE) [22] and the Genetic Algorithm (GA) [23].
In the past two years, numerous scholars have proposed mobile robot obstacle avoidance and path planning solutions based on metaheuristic algorithms. For instance, Lin Xu et al. introduced a Particle Swarm Optimization (PSO) algorithm based on quartic Bézier transition curves to address the robot path planning problem. Leveraging the algorithm’s advantages in parameter selection, the proposed approach achieved optimal fitness values. However, it is noteworthy that simulation experiments were conducted solely in low-complexity map environments, and there exists the potential issue of getting trapped in locally suboptimal paths in high-complexity environments [24]. Chao Liu et al. proposed an improved Ant Colony Optimization (ACO) algorithm to solve the mobile robot obstacle avoidance and path planning problem. By integrating a pseudo-random transition strategy, an adaptive pheromone concentration setting strategy, and dynamic adjustment of pheromone evaporation rates, the algorithm enhanced its exploitation and exploration capabilities. Consequently, it obtained better optimal solutions for corresponding path planning instances when solving the mobile robot obstacle avoidance and path planning problem. Despite achieving remarkable results in path planning accuracy, the algorithm’s execution time drawbacks are quite evident, which impacts its practicality [25]. Junguo Cui et al. proposed an improved ACO algorithm to tackle the mobile robot obstacle avoidance and path planning problem. This algorithm enhances its global search performance by incorporating a direction-guided mechanism, deterministic state transition probability rules, and a non-uniform pheromone initialization strategy. Experimental results demonstrate the algorithm’s superiority in terms of path length. However, its convergence speed cannot be guaranteed [26]. Lei Wu et al. introduced an ACO algorithm based on three improvement mechanisms to solve the same problem. Specifically, it combines a heuristic mechanism with directional information, adaptive pseudo-random transition rules, and a method for non-uniformly distributing initial pheromones, which improves the population diversity of the algorithm and enables it to effectively escape from locally suboptimal paths. Experimental results indicate that the proposed algorithm generates smoother travel paths. However, it has certain limitations in terms of execution efficiency and time [27]. Bodong Tao et al. proposed a dual-population PSO algorithm with a random disturbance strategy to better solve the mobile robot obstacle avoidance and path planning problem. By integrating population diversity and randomness, the algorithm’s exploration capabilities were enhanced to a certain extent. Subsequent experimental simulations conducted in four map environments demonstrated that the proposed method exhibited significant advantages in both path quality and runtime. However, it should be noted that the algorithm was only tested in simple maps, and as the map environment becomes increasingly complex, the algorithm faces the risk of falling into locally suboptimal paths, which compromises the path quality [28]. Tao Tian et al. introduced a hybrid optimization algorithm combining the whale optimization algorithm and firefly algorithm to address mobile robot path planning. Leveraging the advantages of both algorithms in the exploitation and exploration phases, simulations using the proposed algorithm were conducted in five map environments. Although it had an advantage in runtime, it posed a risk of collisions in complex map environments [29]. Wang et al. proposed an improved whale optimization algorithm to address the challenges of obstacle avoidance and path planning. By incorporating an adaptive adjustment mechanism, the algorithm’s performance in finding optimal solutions for obstacle avoidance and path planning was improved by 18.95%. Despite this performance enhancement, there is still room for improvement in terms of runtime and solution stability [30].
The aforementioned recent works have confirmed that metaheuristic algorithms are powerful tools for obstacle avoidance and path planning in mobile robots, achieving remarkable results in terms of path quality. However, it cannot be denied that existing metaheuristic-based obstacle avoidance and path planning algorithms do not achieve a good balance across various indicators, such as path quality, runtime, solution stability, and convergence speed, which significantly diminishes their practicality and applicability. Additionally, as mobile robots are increasingly applied in various fields, real-world production environments are becoming increasingly complex. Algorithms solving obstacle avoidance and path planning problems need to search within a broader space, leading to issues such as inadequate global exploration capabilities due to insufficient population diversity. This, in turn, compromises the quality of obstacle avoidance paths and increases the risk of collisions with obstacles. Therefore, to mitigate these challenges, we should strive to develop a novel, robust, and efficient metaheuristic-based algorithm for obstacle avoidance and path planning in mobile robots. Fortunately, the Secret Bird Optimization Algorithm (SBOA) [31] has proven to be a metaheuristic method with efficient search capabilities. At the same time, SBOA has not been explored in the field of obstacle avoidance and path planning for mobile robots. Thus, to address the challenges posed by complex environments and fill the gap in SBOA’s application in path planning, this paper employs SBOA to solve the obstacle avoidance and path planning problem for mobile robots. Furthermore, considering that SBOA may still be prone to local optimum traps and insufficient global search performance when solving obstacle avoidance and path planning problems for mobile robots, this paper proposes an improved SBOA, referred to as AGMSBOA, which integrates adaptive learning strategy, group learning strategy, and multiple population evolution strategy to better address the obstacle avoidance and path planning problem for mobile robots. Firstly, to address the issue of inadequate exploration capability in the original SBOA, an adaptive learning strategy is introduced. By summarizing the relationships among candidate solutions of different qualities, individuals enhance population diversity, thereby strengthening the algorithm’s ability to locate the global optimal obstacle avoidance path region. Secondly, to tackle the problem of insufficient effective exploitation capability in the original SBOA, a group learning strategy is incorporated. By dividing the population into learning and teaching groups, the algorithm’s exploitation capability is significantly improved, enhancing the accuracy of Obstacle avoidance path Planning (OP) and reducing actual runtime. Finally, to address the imbalance between the exploration and exploitation phases in the original SBOA, this paper proposes a multiple population evolution strategy. By analyzing the characteristics of different individuals, targeted improvements are made to either exploration or exploitation capabilities, enhancing the balance between the exploration and exploitation phases and improving the algorithm’s ability to escape suboptimal obstacle avoidance path traps. The main contributions of this paper are as follows:
  • Eleven novel metaheuristic algorithms with efficient solving capabilities have been introduced for the OP problem of mobile robots, enriching the solutions available in the field of path planning.
  • By introducing an adaptive learning strategy, the population diversity of the algorithm is improved, thereby enhancing its ability to locate the global optimal obstacle avoidance path region.
  • By incorporating a group learning strategy, the algorithm’s exploitation capability has been greatly enhanced, leading to improved accuracy in OP and reduced actual runtime.
  • By introducing a multiple population evolutionary strategy, the balance between the exploration and exploitation phases of the algorithm is enhanced, thereby improving its ability to escape suboptimal obstacle avoidance path traps.
  • Incorporating the aforementioned three learning strategies, the improved SBOA is proposed. AGMSBOA is utilized to solve path planning problems on seven maps with varying levels of complexity, and it is confirmed that AGMSBOA is a promising algorithm for OP in mobile robots.
The subsequent sections of this paper are organized as follows: In Section 2, the mathematical model of the SBOA is introduced. In Section 3, AGMSBOA is proposed by integrating adaptive learning strategy, group learning strategy, and multiple population evolutionary strategy. In Section 4, AGMSBOA is applied to solve path planning problems on five maps with varying levels of complexity, and the performance of AGMSBOA is evaluated. Two actual OP problems of varying complexity are solved using AGMSBOA in Section 5. Section 6 concludes the paper and organizes future work.

2. The Mathematical Model of the Secret Bird Optimization Algorithm

SBOA is a swarm intelligence method used to solve global optimization problems, inspired by the survival behavior of secretary birds in nature, including hunting and escape behavior. In this section, we mainly model the mathematical models of the behaviors involved in SBOA. Similar to common swarm intelligence algorithms, the algorithm needs to form a set of solutions before execution, which is the initialization phase of the population. Subsequently, by simulating the hunting and escape behavior of the secretary bird, the optimal solution is sought and returned after a certain number of iterations, resulting in a better solution to the problem. In the following section, we will provide a detailed introduction to the mathematical models of population initialization, hunting behavior, and escape behavior.

2.1. Initialize Population Phase

Similar to other swarm intelligence algorithms, when solving optimization problems, the first step is to perform population initialization to generate a set of feasible solutions, and then improve the applicability of the solutions through advanced position update strategies. The initialized population is composed of a group of individuals, each generated using the following formula.
x i , j = l b j + r ( u b j l b j ) ,   i = 1 , 2 , , N ,   j = 1 , 2 , , D i m
where x i , j represents the value of the j t h dimension of the i t h individual; l b j and u b j represent the lower and upper boundaries of the j t h dimension of the problem to be solved; r represents the random number in the interval [0, 1]; N represents the number of individuals in the population, i.e., the population size; and D i m represents the number of variables in the problem to be solved, i.e., the problem dimension.
The initialization population X before problem optimization is formed by generating initialization individuals between the upper and lower boundaries of the problem definition, expressed as the following formula.
X = X 1 X 2 X i X N = x 1 , 1 x 1 , 2 x 1 , j x 1 , D i m x 2 , 1 x 2 , 2 x 2 , j x 2 , D i m x i , 1 x i , 2 x i , j x i , D i m x N , 1 x N , 2 x N , j x N , D i m N × D i m
In the process of population iteration, we need to improve the quality of individuals. In swarm intelligence algorithms, we use objective function values to evaluate the quality of individuals, and each individual corresponds to a corresponding objective function value, expressed as the following formula.
F = F 1 F i F N N × 1 = F ( X 1 ) F ( X i ) F ( X N ) N × 1
where F represents the objective function value vector of all individuals in the population, X i represents the position information of the i t h individual, and F i represents the objective function value corresponding to individual X i .

2.2. Hunting Behavior (Exploration Phase)

After the initialization phase, the algorithm updates the position of individuals by simulating the hunting and escape behaviors of secretary birds. The hunting behavior of secretary birds mainly includes three processes: seek after one’s prey, depleting prey’s energy, and attacking prey, as shown in Figure 1a. The hunting behavior of secretary birds is equally divided into three time intervals corresponding to the processes of seek after one’s prey, depleting prey’s energy, and attacking prey, with the main purpose of enhancing the algorithm’s global exploration ability in solving optimization problems. The following sections will provide detailed mathematical modeling of these three processes.
Figure 1. The simulation of behavior of secretary birds [31].

2.2.1. Seek After One’s Prey

At seek after one’s prey, the main purpose of the secretary bird is to conduct random searches in the environment to discover potential prey for foraging, which is represented by the following formula.
x i , j n e w , P 1 = x i , j + ( x r a n d o m 1 , j x r a n d o m 2 , j ) R 1
Among them, x i , j n e w , P 1 represents the new information of the j t h dimension of the i t h individual after hunting behavior, x r a n d o m 1 , j and x r a n d o m 2 , j represent the j t h dimension information of two distinct random individuals in the population, and R 1 represents the random number generated within the interval [0, 1]. After generating a new state, use the following formula to preserve individual information.
X i = X i n e w , P 1 ,   i f   F i n e w , P 1 < F i X i ,           e l s e
where X i represents the information of the i t h individual, X i n e w , P 1 represents the new state of the i t h individual after hunting behavior, F i n e w , P 1 represents the objective function value corresponding to individual X i n e w , P 1 , and F i represents the objective function value corresponding to individual X i .

2.2.2. Depleting Prey’s Energy

After searching for prey, the secretary bird spirals around the prey to consume its energy and create better conditions for attacking it. This process is modeled as the following formula.
x i , j n e w , P 1 = x b e s t , j + e ( t T ) 4 ( R B 0.5 ) ( x b e s t , j x i , j )
where x b e s t , j represents the j t h dimension information of the optimal individual in the population, t represents the current iteration number of the algorithm, T represents the maximum iteration number, and R B represents a random number that conforms to the standard normal distribution. Subsequently, after generating the new state, use Equation (5) to preserve individual information.

2.2.3. Attacking Prey

After the prey’s energy is depleted, the secretary bird quickly launches an attack to forage, which is represented by the following formula.
x i , j n e w , P 1 = x b e s t , j + ( 1 t T ) 2 t T x i , j R L
Among them, R L represents the flight state when attacking prey, expressed as the following equation.
R L = 0.5 L e v y ( D i m )
where L e v y ( D i m ) represents the Levy distribution function, expressed as the following equation.
L e v y ( D i m ) = s μ σ | ν | 1 η
s represents a constant with a value of 0.01, η is fixed to 1.5, μ and ν represent random numbers in the interval [0, 1], and σ is represented by the following formula.
σ = Γ ( 1 + η ) × s i n π η 2 Γ 1 + η 2 × η × 2 η 1 2 1 η
where Γ represents the gamma function.

2.3. Escape Behavior (Exploitation Phase)

The secretary bird can also be attacked by natural enemies in nature. At this time, the secretary bird will adopt various evasion strategies to protect itself. These strategies are mainly divided into two types: the first is to protect itself by flying quickly to escape dangerous environments, and the second is to hide and protect itself by combining its own color and environmental characteristics. This process is shown in Figure 1b. Below, we will discuss in detail the mathematical models of two types of evasion behaviors.

2.3.1. Hiding with the Environment

When danger is detected approaching, the secretary bird first checks whether the surrounding environment is suitable for hiding. If there is a suitable hiding environment, the secretary bird will combine with the environment to hide and avoid attacks from predators. This stage is represented by the following equation.
x i , j n e w , P 2 = x b e s t , j + ( 2 R B 1 ) 1 t T 2 x i , j
where x i , j n e w , P 2 represents the new state of the j t h dimension of the i t h individual updated through escape behavior, and R B represents a normally distributed random number. Subsequently, after generating the new state, use the following formula to preserve individual information.
X i = X i n e w , P 2 , i f   F i n e w , P 2 < F i X i ,          e l s e
where X i n e w , P 2 represents the new state of the i t h individual after escape behavior, and F i n e w , P 2 represents the objective function value corresponding to individual X i n e w , P 2 .

2.3.2. Escaping by Run or Fly Away

In addition, if there is no suitable hiding environment after detecting danger, the secretary bird will stay away from the danger through the behavior of run or fly away. This is represented by the following equation. After generating the new state, use Equation (12) to preserve individual information.
x i , j n e w , P 2 = x i , j + R 2 ( x r a n d o m , j K x i , j )
where R 2 represents a normally distributed random number; x r a n d o m , j represents the j t h dimension of information for random individuals in the population; and K is selected from integers 1 or 2, expressed as the following formula.
K = r o u n d ( 1 + r a n d )
where r o u n d represents taking an integer function, and r a n d represents a random number in the interval [0, 1]. The pseudo-code representation of SBOA is Algorithm 1.
Algorithm 1: The pseudo-code of SBOA
Input: Initialize running parameters: problem dimension ( D i m ) ,   upper   ( u b ) and lower ( l b ) boundaries of the problem, population size ( N ), maximum number of iterations ( T ) ,   current   number   of   iterations   ( t = 0 ).
Output: Global optimal individual ( X b e s t ).
1:
Initialize the population using Equation (1).
2:
   for t = 1 : T
3:
    Update   global   optimal   individual   ( X b e s t ).
4:
   for i = 1 : N
5:
      Hunting Behavior (Exploration Phase):
6:
      if t < ( 1 / 3 ) T
7:
       Calculate the new state of the i t h individual using Equation (4).
8:
      else if ( 1 / 3 ) T < t < ( 2 / 3 ) T
9:
       Calculate the new state of the i t h individual using Equation (6).
10:
    else
11:
        Calculate the new state of the i t h individual using Equation (7).
12:
    end if
13:
    Use Equation (5) to preserve the state of the i t h   individual   X i .
14:
    Escape Behavior (Exploitation Phase):
15:
    if r < 0.5
16:
        Calculate the new state of the i t h individual using Equation (11).
17:
    else
18:
        Calculate the new state of the i t h individual using Equation (13).
19:
    end if
20:
    Use Equation (12) to preserve the state of the i t h   individual   X i .
21:
end for
22:
Save   global   optimal   individual   ( X b e s t ).
23:
end for
24:
Return   global   optimal   individual   ( X b e s t ).

3. The Mathematical Model of AGMSBOA

The original SBOA has the problem of insufficient search ability when solving OP problems for mobile robots, which results in its inability to generate collision-free optimal travel paths within a limited time. The main disadvantages of SBOA are the following: (1) With the gradually increasing complexity of the operating environment of mobile robots, there is a problem of insufficient population diversity in the iterative optimization process of SBOA, which leads to its inability to effectively locate the global optimal region and ensure the optimal travel path of mobile robots. (2) After locating the optimal path area, the effective exploitation performance of SBOA has certain shortcomings. The specific reason is that, during the exploitation stage of SBOA, it excessively guides through the global optimal solution, which makes it easy to fall into the trap of the local optimal path, and the generated driving route is not optimal. (3) The original SBOA had an imbalance in the exploration/exploitation stage when solving the OP problem for mobile robots, which resulted in insufficient convergence of the algorithm during the optimization process, making it unable to efficiently generate the optimal collision-free path. In response to the shortcomings of SBOA mentioned above, this paper proposes an enhanced SBOA called AGMSBOA by combining three learning strategies, which greatly improves the performance of the algorithm in OP for mobile robots. Firstly, an adaptive learning strategy is introduced, in which individuals summarize the relationships between candidate solutions of different qualities to enhance their global exploration ability and improve population diversity. Secondly, a group learning strategy is introduced, which divides the population into learning and teaching groups, allowing individuals to enhance their local exploitation ability while ensuring population diversity. Finally, in order to achieve a suitable balance in the exploration/exploitation stage of the algorithm, multiple population evolution strategy is proposed in this section. By analyzing the properties of different individuals and improving their exploration or exploitation abilities, the balance in the exploration/exploitation stage is enhanced. In the following sections, we will provide a detailed introduction to the three learning strategies mentioned above.

3.1. Adaptive Learning Strategy

When solving the obstacle avoidance path problem for mobile robots, the original SBOA often lacks group diversity in the exploration phase, as it relies heavily on the guidance of optimal individuals. This limitation hampers the algorithm’s ability to efficiently locate the entire obstacle avoidance path space, leading to a degradation of path optimization performance. It is especially important to note that as the robot operating environment becomes more complex and contains more obstacles and the travel distance increases, the paths to be explored by the algorithm will increase exponentially, which requires the algorithm to be highly exploratory and thus be able to locate the optimal path region quickly and improve the actual convergence speed. This fact motivates the need to propose a learning strategy with efficient exploration capabilities to enhance the diversity of the algorithm population and thus improve the ability to locate the globally optimal collision-free paths. Fortunately, the authors of [32] suggest that learning from differences between individuals can effectively enhance the algorithm’s global exploration capability. Based on this insight and considering the shortcomings in the exploration phase of SBOA, we propose an adaptive learning strategy to enhance the algorithm’s global exploratory performance.
Differing from SBOA’s exploration strategy, this new strategy takes into account information from not only the global optimal individuals but also from better and poorer individuals. Specifically, the strategy focuses on learning from the differences between individuals towards the global optimal individual and better individuals ( D i f f 1 ), better individuals and poorer individuals ( D i f f 2 ), global optimal individuals and poorer individuals ( D i f f 3 ), as well as the disparities between two random individuals ( D i f f 4 ). To avoid the blind learning in SBOA, the learnability of each disparity group and the learning capability of each individual are also considered, achieving a strictly adaptive approach that effectively enhances the algorithm’s global exploration capability. The four types of disparities mentioned above are represented by the following equations.
D i f f 1 = X b e s t X b e t t e r D i f f 2 = X b e t t e r X p o o r e r D i f f 3 = X b e s t X p o o r e r D i f f 4 = X r 1 X r 2
where D i f f 1 , D i f f 2 , D i f f 3 , and D i f f 4 respectively represent the differences between the global optimal individual and a better individual, between a better individual and a poorer individual, between the global optimal individual and a poorer individual, and between two randomly selected individuals in the population. Here, X b e s t represents the global optimal individual, X b e t t e r represents a better individual, X p o o r e r represents a poorer individual, and X r 1 and X r 2 represent two randomly selected distinct individuals in the population. For fairness, we define a better individual as one whose objective function value ranks in the top 50% of the population, and a poorer individual as one whose objective function value ranks in the bottom 50% of the population. From Equation (15), it can be seen that in the complex map environment, using the gap between individuals for guidance, for example, D i f f 1 makes it such that the algorithm can jump between the current best path and the better path, D i f f 2 makes it such that the algorithm can jump between the better path and the poorer path, and so on, so that the path scheme can be jumped in a larger solution space to enhance the searchability of the paths. In turn, it can greatly reduce the number of solutions set searches and accelerate the convergence speed while ensuring the convergence accuracy. At the same time, we consider that the learnability of each group of differences is not the same. In the optimization process of the algorithm, in order to ensure higher global exploratory ability, we believe that the learnability of differences with larger numerical values is higher. Therefore, we use the following equation to characterize the learnability of each group of differences.
L e a r n k = | D i f f k | k = 1 4 | D i f f k | ,   ( k = 1 , 2 , 3 , 4 )
where ‘||’ represents the function of finding the modulus of a vector, and L e a r n k represents the learnability of the k t h group difference. From Equation (16), it can be seen that the gaps between different paths are not learned to the same extent, and by analyzing it, we can find that when the gap between paths is larger, it proves that the gaps between this set of paths may contain more information, which helps to improve the speed of optimal path searching in complex environments. At the same time, we believe that individual learning also has adaptability. A smaller objective function value indicates the higher quality of the individual. Individuals with higher quality should reduce high exploratory behavior, while individuals with lower quality should increase high exploratory behavior. This can effectively ensure the quality of individuals in the population. The learning ability of individuals is represented by the following equation.
L L A i = F i F m e a n ,     ( i = 1 , 2 , , i , , N )
where F m e a n represents the average objective function value of individuals in the population, and L L A i represents the learning ability of the i t h individual. The process of i t h individual learning the difference from the k t h group is represented by the following equation.
I n s i , k = L L A i L e a r n k D i f f k ,    ( i = 1 , 2 , , i , , N ; k = 1 , 2 , 3 , 4 )
where I n s i , k denotes the amount of knowledge learnt by the i t h individual to the k t h set of gaps, and an individual needs to learn the four sets of gaps mentioned above, expressed in the following equation.
X i n e w , P 1 = X i + I n s i , 1 + I n s i , 2 + I n s i , 3 + I n s i , 4
By using the adaptive learning strategy proposed in this section, the population diversity of the algorithm is made to improve well, and in turn, the algorithm is able to explore more promising regions of optimal collision-free paths. Meanwhile, by analyzing Equation (19), we find that the current individual, i.e., the current path, can jump between paths with different qualities, and at the same time, combining Equations (16) and (17), we can find that this kind of jumping possesses a certain degree of adaptivity, which is mainly through the control of the quality of the paths, as well as the gaps between the paths, and enables the algorithm to efficiently explore the entire potential solution space, which optimizes the convergence accuracy while also improving the convergence speed.

3.2. Group Learning Strategy

When the original SBOA solves the OP problem for a mobile robot, after locating the global optimal region during the exploration phase, the SBOA is guided through the global optimal point due to its continual over-exploitation, which causes it to fall into a locally suboptimal traveling path. This leads to its inability to generate collision-free paths in a limited time. Therefore, in this paper, we urgently propose a novel exploitation strategy that aims to improve the exploitation performance while still ensuring a certain degree of exportability, and to alleviate the problem of SBOA’s tendency to fall into suboptimal path traps when solving the OP problem for mobile robots. In this section, we consider dividing the population into two types: learning group and teaching group, where individuals in the learning group learn from individuals in the teaching group. Meanwhile, unlike the typical group learning, we consider the individuals in the top 50% quality in the learning group to learn from the individuals in the top 50% quality in the teaching group, which is mainly to improve the performance of the algorithm for effective exploitation. At the same time, individuals in the bottom 50% of quality in the learning group learn from individuals in the bottom 50% of quality in the teaching group, which ensures the exploratory performance of the algorithm while still having a certain degree of exploitability. This process is shown in Figure 2. In addition, the individuals in the teaching group are already of high quality, so the individuals in the teaching group engage in self-learning to improve the individual’s ability to jump out of the locally suboptimal path. The proposed group learning strategy effectively enhances the algorithm’s OP performance, resulting in a great improvement in its path generation speed. Among them, individuals in the learning group update their positions through the following equation.
X i n e w , P 2 = X i + r cos ( 2 π ( 1 t T ) ) ( X u m i d d l e X i )   i f   X i   i n   t o p   50 %   o f   s t u d y   g r o u p X i + r cos ( 2 π ( 1 t T ) ) ( X l m i d d l e X i )   i f   X i   i n   l o w e r   50 %   o f   s t u d y   g r o u p
where r denotes a random number in the interval [0, 1]; cos denotes the cosine function; and X u m i d d l e and X l m i d d l e denote individuals in the top 50% and bottom 50% of quality in the teaching group, respectively. As can be seen from Equation (20), the better paths in the learning group are guided through the better paths in the teaching group, so that the road power in the learning group can be searched for better quality paths, and this search is guided by using the cosine function, which makes it have a certain degree of periodicity and not follow the strictly defined laws, and ensures a certain degree of diversity while guaranteeing the performance of the development. In addition, the poorer paths in the learning group are guided by the poorer paths in the teaching group, so that the poorer paths in the learning group can be improved in quality and, at the same time, avoid falling into the region of locally optimal paths. In this way, the development performance of the algorithm is improved, and the convergence speed and convergence accuracy of the algorithm are enhanced. Meanwhile, the individuals who are in the teaching group search for themselves by performing a self-search in a region of radius R . This process is expressed as the following equation.
X i n e w , P 2 = X i + R ( 2 r 1 ) X i
R is expressed as the following equation. Through Equation (21), it can be found that individuals seek to improve the quality of their paths by searching in a varying radius. By looking at the way the radius is defined, it can be noticed that the extent of this search becomes progressively less with the number of iterations, which is mainly to improve the convergence accuracy and speed.
R = e x p ( 1 t T )
Figure 2. The simulation diagram of the group learning strategy.
Therefore, the group learning strategy proposed in this section is summarized in the following formula, which makes the effective exploitation of the algorithm beneficial by introducing the group learning strategy, and also ensures a certain amount of exploration capability and reduces the risk of falling into locally suboptimal paths.
X i n e w , P 2 = E x e c u t e   E q u a t i o n   ( 20 ) ,   i f   X i   is   s t u d y   g r o u p   i n d i v i d u a l E x e c u t e   E q u a t i o n   ( 21 ) ,   i f   X i   is   t e a c h i n g   g r o u p   i n d i v i d u a l
Meanwhile, it should be added that the group learning strategy proposed in this section, although effective in improving the development capability of the algorithm, increases the computational cost to a different extent due to the need to divide the population in each iteration, and the computational overhead and storage overhead will gradually increase as the dimension of the problem to be solved increases. Therefore, in order to improve the performance of the algorithm for readers who can better use the strategy in the future, we provide some of the optimization schemes to reduce the computational overhead. First, the subspace search pattern and population reconstruction mechanism can be considered to reduce the waste of computational resources due to grouping. Second, the dynamic adjustment of the size of the learning and teaching populations can be considered to improve the efficiency by rationally allocating tasks and resources in high-dimensional problems. Finally, the parameters of the group learning strategy can also be dynamically modified according to the variability of the problem dimensions.

3.3. Multiple Population Evolution Strategy

In group intelligence algorithms, the balance between the exploration phase and the exploitation phase is crucial, and a good algorithm needs these two phases to alternate. The main function of the exploration phase is to discover the region where the existence of an optimal path is promising, while the exploitation phase is to carry out further local development based on this to improve the quality of the obstacle avoidance path. The original SBOA lacks the balance between the exploration phase and the exploitation phase, and the two phases cannot alternate well, which in turn causes the SBOA to fail to obtain the shortest collision-free path in a limited time when solving the OP problem for mobile robots. In order to improve the performance of the algorithm for obstacle avoidance path planning, this section proposes a multiple swarm evolution strategy by considering the nature of different individuals, in which the individuals with better quality are already within the local extreme optimal region, and thus are more inclined to perform exploitation operations to improve the convergence accuracy and speed of the obstacle avoidance path. Individuals with poorer quality need to perform a more extensive search to improve their quality, and thus prefer to perform exploration operations, which help to enhance the exploration performance of the algorithm and improve its ability to locate to the global optimal region. Individuals between poorer and better individuals have the tendency to perform both exploitation operations and exploration operations, which helps the exploitation and exploration operations of the algorithm to support each other, improves the balance of the algorithm, and enhances the performance of the algorithm in solving the OP problem. Specifically, we divide the population into three subpopulations based on the objective function value. The top 20% of individuals with the smallest objective function value are categorized as the exploitation subpopulation, the top 20% of individuals with the largest objective function value are categorized as the exploration subpopulation, and the remaining individuals are categorized as the exploration/exploitation subpopulation. Each of these three subpopulations performs different operations to make the exploration/exploitation phase well balanced. Among them, the exploration subpopulation is updated by the following equation.
X i = r 1 X i + r 2 X r 1 + r 3 ( X r 2 X r 3 )
where r 1 , r 2 , and r 3 denote three random vectors in the interval [0, 1] with size 1 × D i m . X r 1 , X r 2 , and X r 3 denote three random individuals that are different from each other in the population. As can be seen from Equation (24), the current individual wanders among three random paths that are different from each other, utilizing the idea of random wandering, which effectively enhances the algorithmic exploration. Meanwhile, the updating method of the exploitation subpopulation is expressed as the following equation.
X i = X b e s t e ( 1 t T ) ( ( u b l b ) r + l b )
where u b and l b denote the upper and lower bounds of the defined problem, respectively, which as can be seen from Equation (25), are steered by the global optimal individual, resulting in a great enhancement of the individual’s local development ability, improving the convergence speed of the algorithm, as well as the ability to locate the optimal obstacle avoidance path. Without loss of generality, a certain degree of randomness is still maintained in the exploitation strategy. Meanwhile, the exploration/exploitation subpopulation uses the following formula for position updating.
X i = r 1 X i + r 2 X r 1 + r 3 ( X r 2 X r 3 )   i f   r a n d < 0.5 X b e s t e ( 1 t T ) ( ( u b l b ) r + l b )    e l s e
The multiple population evolution strategy proposed in this subsection is shown in Figure 3. By dividing the population in a way that specifically analyzes the nature of the different individuals and identifies the subsequent update trends, the algorithm’s exploratory and exploitative capabilities are well balanced, and the combination of the two phases improves the algorithm’s search performance and enhances the algorithm’s optimization performance for obstacle avoidance path finding.
Figure 3. The simulation diagram of the multiple population evolution strategy.

3.4. The Algorithmic Framework of AGMSBOA

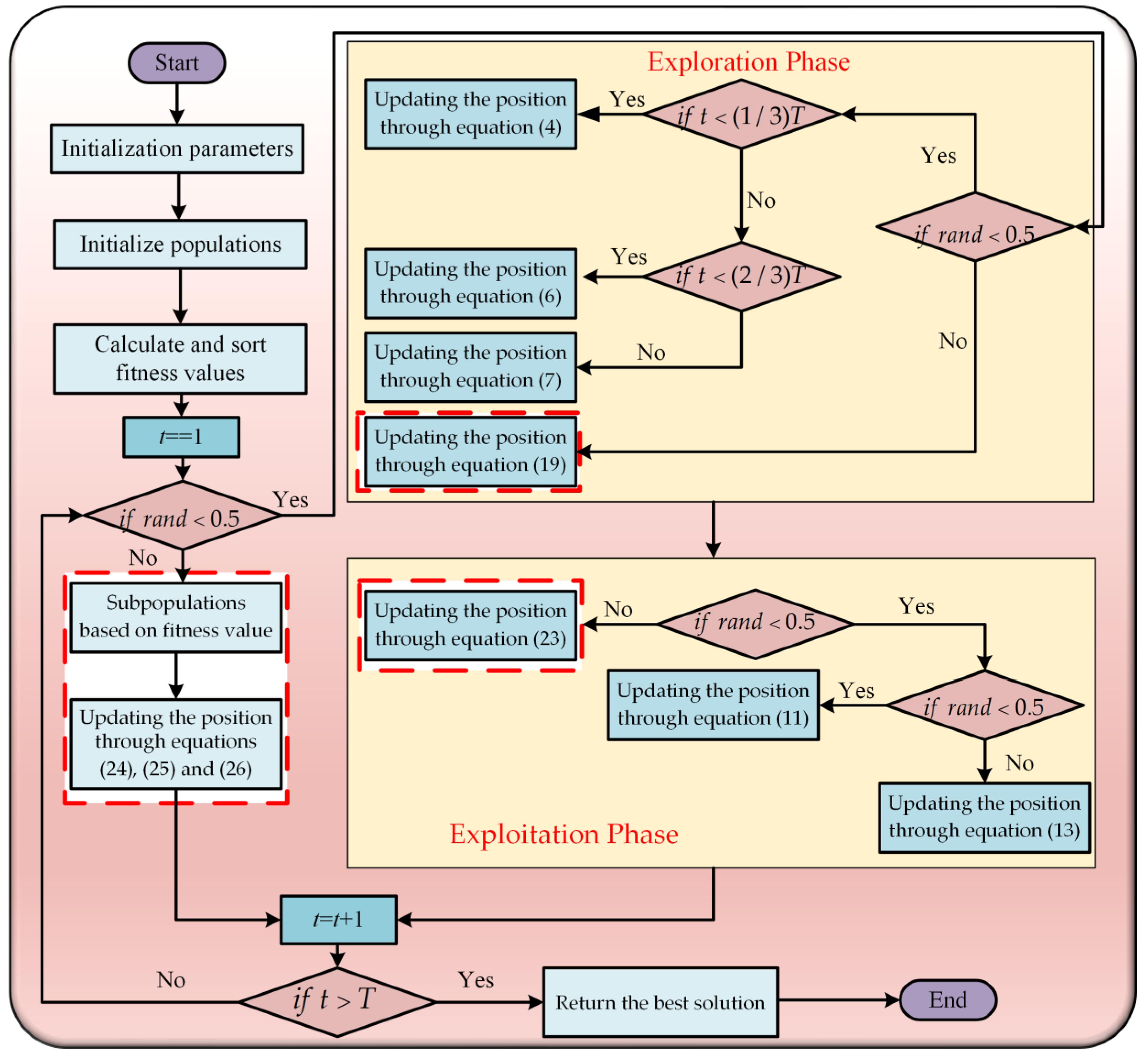
In this section, to address the low performance of SBOA in solving the OP problem, we analyze the intrinsic causes of these deficiencies and propose an enhanced SBOA, called AGMSBOA, by combining three learning strategies. Firstly, an adaptive learning strategy is introduced, whereby an individual summarizes the relationships among candidate solutions of different qualities in order to enhance the individual’s ability to explore globally, and the ability of the algorithm to locate the global optimal obstacle avoidance path region is enhanced. Secondly, the group learning strategy is introduced; by dividing the population into learning and teaching groups, the individuals enhance the local exploitation ability while ensuring the population diversity, which makes the algorithm strengthen its ability to jump out of the local suboptimal obstacle avoidance path. Finally, multiple population evolution strategy is proposed to provide a suitable balance of the exploration/exploitation phases of the algorithm. By analyzing the nature of different individuals and targeting the individuals to enhance their exploration or development capabilities, the balance of the exploration/development phases is enhanced, and the algorithm’s ability to solve the OP problem is improved. The pseudo-code of AGMSBOA is shown in Algorithm 2, and the flowchart is shown in Figure 4.
Algorithm 2: The pseudo-code of AGMSBOA
Input: Initialize running parameters: problem dimension ( D i m ) ,   upper   ( u b ) and lower ( l b ) boundaries of the problem, population size ( N ), maximum number of iterations ( T ) ,   current   number   of   iterations   ( t = 0 ).
Output: Global optimal individual ( X b e s t ).
1:
 Initialize the population using Equation (1).
2:
   for t = 1 : T
3:
    Update   global   optimal   individual   ( X b e s t ).
4:
   if r a n d < 0.5
5:
      for i = 1 : N
6:
        Hunting Behavior (Exploration Phase):
7:
        if r a n d < 0.5
8:
          if t < ( 1 / 3 ) T
9:
            Calculate the new state of the i t h individual using Equation (4).
10:
        else if ( 1 / 3 ) T < t < ( 2 / 3 ) T
11:
          Calculate the new state of the i t h individual using Equation (6).
12:
        else
13:
          Calculate the new state of the i t h individual using Equation (7).
14:
        end if
15:
      else
16:
        Calculate the new state of the i t h individual using Equation (19).
17:
      end if
18:
      Use Equation (5) to preserve the state of the i t h   individual   X i .
19:
      Escape Behavior (Exploitation Phase):
20:
      if r a n d < 0.5
21:
        if r < 0.5
22:
          Calculate the new state of the i t h individual using Equation (11).
23:
        else
24:
          Calculate the new state of the i t h individual using Equation (13).
25:
        end if
26:
      else
27:
        Calculate the new state of the i t h individual using Equation (23).
28:
      end if
29:
      Use Equation (12) to preserve the state of the i t h   individual   X i .
30:
    end for
31:
  else
32:
    Calculate the new state of the i t h individual using multiple population evolution strategy.
33:
    Use Equation (12) to preserve the state of the i t h   individual   X i .
34:
  end if
35:
   Save   global   optimal   individual   ( X b e s t ).
36:
  end for
37:
   Return   global   optimal   individual   ( X b e s t ).
Figure 4. The flowchart of the execution of AGMSBOA.

4. Results and Discussion in Five Simulation Maps

In this section, we focus on evaluating the OP performance of the proposed AGMSBOA for mobile robots in this paper. In order to evaluate the performance of AGMSBOA objectively and fairly, we tested it using five maps with different environmental complexity, and the map information is shown in Table 1. At the same time, in order to more intuitively reflect the advantages of AGMSBOA, we compared it with the eight most novel algorithms, whose algorithm parameter information is shown in Table 2. Subsequently, by analyzing the algorithm’s population diversity, exploration/exploitation ratio, path length, stability, Friedman mean rank-sum test, convergence, and comprehensive indexes, we objectively and fairly confirmed the OP performance of AGMSBOA.
Table 1. The specific information on the five maps environments.
Table 2. The specific parameter information settings for the comparison algorithms.
In order to ensure the fairness of the experiments, we set the population size to 150 and the maximum number of algorithm iterations to 100, and all the involved codes were performed on MATLAB 2022 software. Meanwhile, all experiments were conducted on a Windows 11 operating system with hardware conditions of 32G running memory, 1TB disk space, and processor Intel Core Ultra 5. Meanwhile, in order to avoid chance in the results of the experiments, we executed each experiment independently and without repetition for 20 times, and then the results were analyzed statistically in a reasonable manner.

4.1. Definition of Objective Function

In this subsection, the main focus is on modeling the objective function of the OP problem for mobile robots. In this problem, the first requirement is that the generated path length is the shortest, and the second requirement is that the generated traveling path will not collide with obstacles. The above two requirements cause the objective function to be modeled as the following equation.
f u n c ( X i ) = L e n + L e n φ D i s
where X i denotes the i t h solution; L e n denotes the distance length of the generated path; φ denotes the scale factor, which serves to reject paths with collisions to a greater extent; and D i s denotes the average distance from the interpolation point to all obstacles. In this paper, φ takes the value of 100, and the number of interpolation points is 5. The above requirement for path length is achieved by minimizing L e n , and the requirement for the collision-free path is achieved by minimizing L e n φ D i s . By minimizing the above two metrics, the objective function is made to characterize the OP problem for mobile robots.

4.2. Sensitivity Analysis of Strategy Parameters

Before formally conducting the experiments, we need to analyze the parameters involved in the group learning strategy and multiple population evolution strategy mentioned in Section 3 to determine the optimal combination of parameters for the subsequent obstacle avoidance path planning experiments.
In the group learning strategy, the main parameter involved is the proportion of the learning group to the teaching group; in order to determine an optimal parameter combination applicable to robot obstacle avoidance path planning, we divide the options into nine cases of parameter combinations for discussion. The first case is that the individuals in the top 30% of the learning group learn from the individuals in the top 30% of the teaching group, which we denote as {30%, 30%} and form the algorithm GSBOA1; and the second case is that the individuals in the top 30% of the learning group learn from the individuals in the top 50% of the teaching group, which we denote as {30%, 50%} and form the algorithm GSBOA2; and so on to form the combination {30%, 70%}, corresponding to algorithm GSBOA3; combination {50%, 30%}, corresponding to algorithm GSBOA4; combination {50%, 50%}, corresponding to algorithm GSBOA5; combination {50%, 70%}, corresponding to algorithm GSBOA6; combination {70%, 30%}, corresponding to algorithm GSBOA7; combination {70%, 50%}, corresponding to algorithm GSBOA8; and combination {70%, 70%}, corresponding to algorithm GSBOA9. Subsequently, the tests are conducted in five map environments with different complexity, and the ranking of their adaptation values are counted. The experimental results are shown in Figure 5. From the figure, it can be seen that GSBOA5 ranked first on four maps and second only on Map 3, achieving an average ranking of 1.20 and achieving the best solution performance. Therefore, the combination {50%, 50%} is set as the best combination in the group learning strategy for subsequent experiments.
Figure 5. Ranking of different parameter combinations on maps in group learning strategy.
In multiple population evolution strategy, the main parameters involved are the division of the exploration subpopulation, the exploitation subpopulation, and the ratio of the exploration/exploitation subpopulation. In order to determine the optimal parameter combinations for obstacle avoidance path planning for mobile robots, we categorize them into eight cases for discussion. In the first case, the top 10% and bottom 10% of quality-ranked individuals are divided into the development subpopulation and exploration subpopulation, respectively, and the remaining 80% of individuals are divided into the exploration/exploitation subpopulation, which are denoted as the parameters {10%, 80%, 10%} to form the algorithm MSBOA1. In the second case, the top 15% and bottom 15% of quality-ranked individuals are divided into the development subpopulation and exploration subpopulation, respectively, and the remaining 70% of individuals are divided into the development subpopulation and exploration subpopulation, recorded as parameters {15%, 70%, 15%}, forming algorithm MSBOA2. By analogy, parameter combinations {20%, 60%, 20%} form algorithm MSBOA3, parameter combinations {25%, 50%, 25%} form algorithm MSBOA4, parameter combinations {30%, 40%, 30%} form algorithm MSBOA5, parameter combinations {35%, 30%, 35%} form algorithm MSBOA6, parameter combinations {40%, 20%, 40%} form algorithm MSBOA7, and parameter combinations {45%, 10%, 45%} form algorithm MSBOA8. The eight algorithms formed above possessing different combinations of parameters were then experimentally evaluated in five map environments, and the experimental results are shown in Figure 6. From the figure, it can be seen that MSBOA3 achieved the best solution performance by ranking first on four maps and second only on Map 4, achieving an average ranking of 1.20. Therefore, the combination {20%, 60%, 20%} is set as the best combination in the multiple population evolution strategy for subsequent experiments.
Figure 6. Ranking of different parameter combinations on maps in multiple population evolution strategy.

4.3. Population Diversity Analysis

Our main objective in this section is to analyze the population diversity of AGMSBOA proposed in this paper in solving the OP problem. It is worth noting that, usually, higher population diversity implies that the algorithm possesses a stronger global exploration capability, which is able to locate the globally optimal obstacle avoidance paths efficiently, and at the same time, due to the high population diversity of the algorithm, the ability of individuals to jump out of local suboptimal obstacle avoidance paths is also improved. We have conducted statistics on the population diversity when AGMSBOA is executed in five map environments. The experimental results are shown in Figure 7, where the X-axis denotes the number of iterations when the algorithm is executed, and the Y-axis denotes the population diversity of the algorithm.
Figure 7. The comparison plot of algorithmic population diversity.
As can be seen from Figure 7, when executing Map 1, AGMSBOA has a higher population diversity than the original SBOA at the beginning of the iteration, which implies that in the early stage of the algorithm iteration, AGMSBOA is more promising for exploring the region containing the global optimal obstacle avoidance paths compared to SBOA, and at the same time, with the iteration, AGMSBOA’s population diversity is consistently higher than that of SBOA, which indicates that AGMSBOA has a greater ability to jump out of suboptimal obstacle avoidance paths at the later stage of iteration. This is mainly attributed to the adaptive learning strategy and multiple population evolution strategy proposed in this paper, which makes the exploration ability of the algorithm greatly improved and enhances the algorithm’s obstacle avoidance path finding performance. In addition, when AGMSBOA executes Map 2 and Map 3, in the early stage of the iterations, due to the gradually increasing complexity of the map environment, the population diversity of AGMSBOA only maintains a slight advantage, but it still has a very good global exploration ability; but it is worth noting that, in the late stage of the iterations, the population diversity of AGMSBOA is much more advanced than that of SBOA, which confirms that AGMSBOA has a greater ability to jump out of the local suboptimal obstacle avoidance paths, and also shows that with the gradually increasing complexity of the map environment, the adaptive learning strategy and multiple population evolution strategy proposed in this paper can still effectively enhance the global exploration ability of the algorithm. Finally, as the map environment becomes dramatically more complex, the algorithm should have a higher global exploration capability to effectively deal with this challenge. Fortunately, the population diversity of AGMSBOA is much higher than that of SBOA throughout the iteration process when executing Map 4 and Map 5, which is an indication that AGMSBOA also possesses a high exploratory capability when dealing with the challenges of complex maps. The above phenomenon is also an indication that the adaptive learning strategy and multiple population evolution strategy proposed in this paper can enhance the exploratory ability of the algorithm to a certain extent, and at the same time, with the gradually increasing complexity of the map environment, the strategies proposed in this paper are still effective in improving the global search performance of the algorithm.

4.4. Exploration/Exploitation Balance Analysis

In this section, the exploration/exploitation balance of AGMSBOA is analyzed when performing the OP problem for mobile robots. In general, an optimization algorithm with an efficient solution performance should have a better exploration/exploitation balance, because the algorithm needs to locate potential optimal obstacle avoidance paths through the exploration phase when exploring the globally optimal solution, and then exploit the localized regions in the exploitation phase to shorten the running time and improve the accuracy of the obstacle avoidance paths. Therefore, the exploration/exploitation balance of the algorithm is important throughout the execution of the algorithm. For this reason, we conducted the statistics of the exploration/exploitation ratio in five map environments, and the experimental results are shown in Figure 8, where the X-axis indicates the number of iterations of the algorithm, the Y-axis indicates the proportion of the exploration or exploitation phase, the red line indicates the real-time exploitation rate of the algorithm during the iteration process, and the blue line indicates the real-time exploration rate of the algorithm during the iteration process.
Figure 8. The algorithm exploration/exploitation balance chart.
As can be seen from the figure, when executing Map 1, AGMSBOA firstly possesses a higher exploration rate, which indicates that the algorithm possesses a higher global search capability and is able to effectively localize the region where the optimal obstacle avoidance path exists; and as the iteration proceeds, the exploitation phase of AGMSBOA dominates, which is mainly due to the fact that the algorithm is further exploiting the feasible regions explored at the previous stage to improve the accuracy of the obstacle avoidance paths while reducing the response time, thanks to the enhancement of the algorithm’s exploitation capabilities by the group learning strategy proposed in this paper. Subsequently, as the iterative process is carried out again, the exploration phase alternates with the exploitation phase, which makes the convergence accuracy of the algorithm greatly improved, and has a high exploration/exploitation balance, which is mainly due to the adaptive learning strategy, the group learning strategy, and the multiple population evolution strategy proposed in this paper, which make the exploitation and exploration capabilities of the algorithm strengthened on average and enhance the balance during the execution of the algorithm. As the maps become more complex, AGMSBOA also shows the same phenomenon of alternating exploration phase/exploitation phase execution described above when executing Map 2 and Map 3, which helps the algorithms to maintain a high solution performance in complex map environments; and this also shows that the strategies proposed in this paper still provide guarantees for the algorithms’ exploration/exploitation phase balancing as the complexity of the maps increases. Finally, with the dramatic complexity of the map environment, the solution of the obstacle avoidance path problem needs to rely on a stronger balance of the exploration/exploitation phases. It is worth noting that the three strategies proposed in this paper do not show disappointing results and still ensure the phenomenon of alternating algorithmic exploration/exploitation, which enables the algorithms to have a higher solution performance in solving the OP problem in a high-complexity environment and reduces the risk of falling into suboptimal paths. In summary, we can conclude that the adaptive learning strategy, group learning strategy and multiple population evolution strategy proposed in this paper effectively improve the exploration/exploitation balance of the algorithm, and with the increase in the complexity of the map environment, the three strategies proposed in this paper still maintain the effectiveness of the algorithm to play a facilitating role in the algorithmic OP problem.

4.5. Numerical Analysis

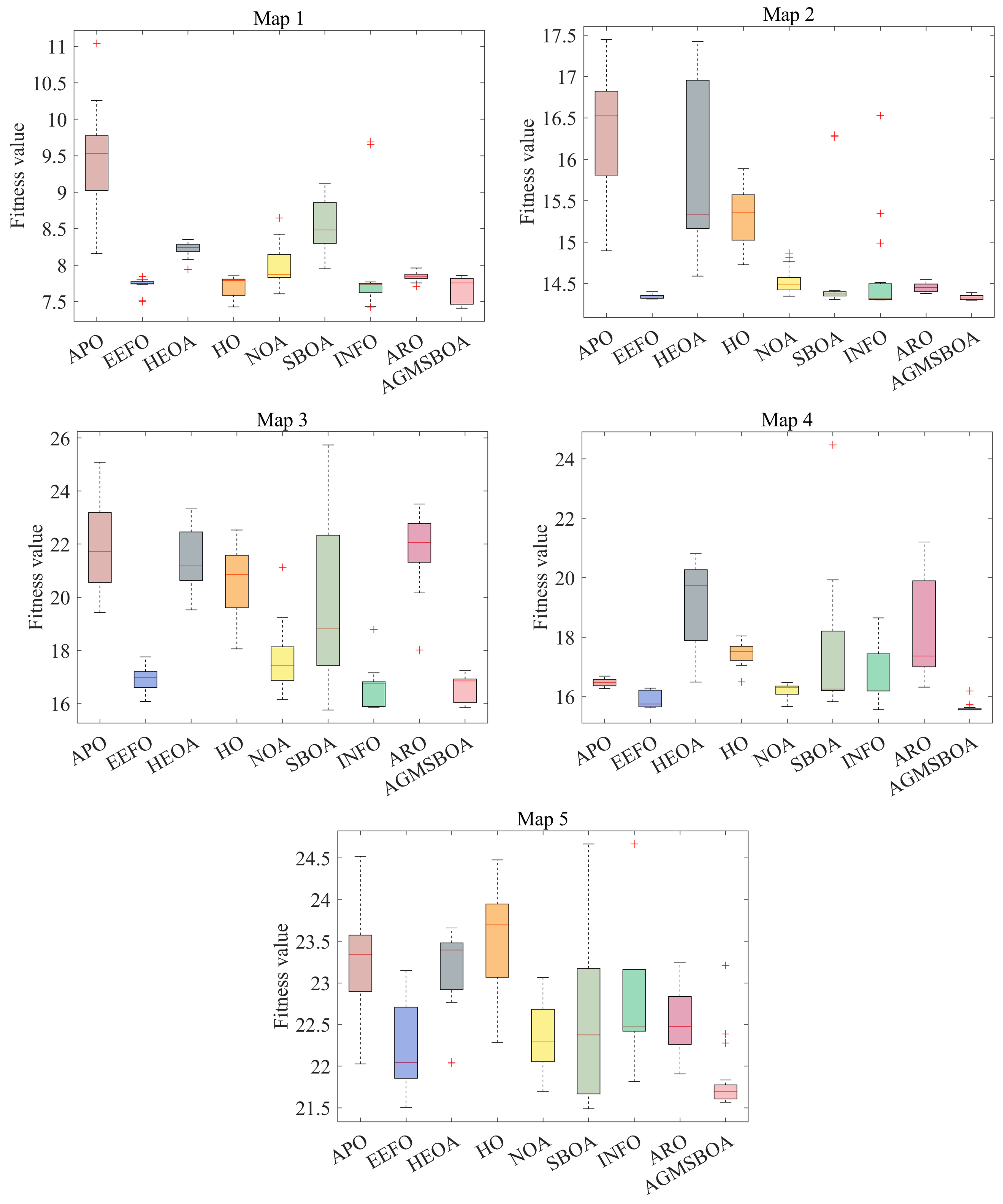
In this section, we mainly analyze the fitness value of AGMSBOA in solving the OP problem for mobile robots to evaluate the OP performance of AGMSBOA. In order to evaluate the OP performance of AGMSBOA objectively and fairly, we conducted experiments with AGMSBOA in five map environments with different complexities, and also compared it with the eight most novel and efficient algorithms. In order to eliminate the influence of chance data on the experimental conclusions, we execute each experiment independently and unrepeatably for 20 times in order to count the experimental results. The statistical indexes include the best fitness value, the mean fitness value, the worst fitness value, as well as the ranking on each index, and by analyzing these statistical indexes in detail, we can justly and objectively confirm the solving performance of AGMSBOA proposed in this paper. The experimental results are shown in Table 3.
Table 3. The statistical information on algorithmic fitness values.
From Table 3, it can be seen that all algorithms can contribute to the OP problem for mobile robots, but AGMSBOA proposed in this paper possesses a better contribution. It can be seen that AGMSBOA achieves first place in the best fitness value when solving Map 1, which improves the performance of the original SBOA by more than 7%, and at the same time, it is more than 3% ahead compared to the second place. AGMSBOA achieves the shortest traveling path under the condition of satisfying the condition of not colliding with obstacles; Figure 9 demonstrates the actual traveling path, and we can find from the figure that the driving route on Map 1 using AGMSBOA is essentially tangent to the obstacles, making it possible to obtain the shortest collision-free driving path. The above advantages are mainly attributed to the adaptive learning strategy proposed in this paper, the group learning strategy, and the multiple population evolution strategy effectively improving the algorithm’s exploitation ability and exploration ability, and at the same time, they also make the exploitation ability and exploration ability balanced, so that the algorithm has a stronger obstacle avoidance path optimization ability. Meanwhile, it can also be seen from the table that AGMSBOA ranks first in terms of mean fitness value, leading the performance of the original SBOA by more than 12%, which is a very obvious phenomenon, and at the same time, AGMSBOA leads the second place by more than 7%, which confirms that AGMSBOA possesses a very high stability of the solution. In order to visualize the stability of the algorithm more, Figure 10 shows the box plot of the algorithm’s solution after 20 executions, from which it is also clear that AGMSBOA generally possesses better fitness values. In addition, the worst fitness value is used to reflect the algorithm’s fault tolerance ability; from the table, it can be seen that AGMSBOA ranks second in the worst fitness metrics, behind EEFO, so it has to be admitted that AGMSBOA’s fault tolerance ability still needs to be improved in the Map 1 environment; but it cannot be denied that AGMSBOA ranks second in the fault tolerance ability, which is also in an acceptable category. In summary, we can conclude that AGMSBOA has a good advantage in path optimization and stability when dealing with OP problems in simple environments like Map 1, despite its lack of fault tolerance, which reflects that the three learning strategies proposed in this paper can improve its performance and enhance the algorithm’s path optimization ability.
Figure 9. The actual traveling route of the mobile robot.
Figure 10. The box plot statistics for algorithm execution.
Meanwhile, it can also be seen from the table that as the complexity of the map environment increases, AGMSBOA achieves the best results in terms of the best fitness value when solving the OP problem on Map 2 and Map 3, with a winning rate of 100%, and achieves a shorter traveling path while satisfying the obstacle avoidance path without colliding with obstacles; as shown in Figure 9, where the traveling path is basically tangent and without collision, the shortest traveling path is achieved. Compared with SBOA, the performance of AGMSBOA is greatly improved, and the advantage of AGMSBOA is also very obvious compared with other comparison algorithms, which confirms that as the map environment gradually becomes more and more complex, the adaptability of AGMSBOA to complex maps is ahead of other comparison algorithms, and the essence of the reason is that there are some deficiencies in the search strategy of the comparison algorithms, which lead the algorithm to be prone to fall into the problem of suboptimal obstacle avoidance paths in solving the problem. AGMSBOA proposed in this paper integrates adaptive learning strategy, group learning strategy, and multiple population evolution strategy to maintain a high global search capability during the execution of the algorithm, which enhances the ability of the algorithm to jump out of the local suboptimal obstacle avoidance paths. Meanwhile, AGMSBOA also achieves first place in the mean fitness value index, which is more than 2% ahead of the advanced comparative algorithms, and has stronger stability of obstacle avoidance path planning. From the box plot in Figure 10, it can also be seen that AGMSBOA has a lower fitness value and fewer anomalies, and it can be considered that AGMSBOA is a kind of OP method with stable solving ability. Finally, AGMSBOA also ranks first in the worst fitness value index, which means that AGMSBOA is more fault tolerant than the other comparison algorithms, making it more practical in real-world scenarios. In summary, we can conclude that with the gradually increasing complexity of the map environment, AGMSBOA proposed in this paper has higher solving performance, and at the same time, it further confirms that the adaptive learning strategy, the group learning strategy, and the multiple population evolution strategy proposed in this paper can effectively enhance the performance of the OP method in the complex environment.
Finally, as the map environment becomes dramatically more complex, the complexity of the solution space also increases, which requires the algorithms to have stronger global exploration capabilities in order to cope with this challenge. Fortunately, AGMSBOA still achieves first place in the best fitness value metric when solving the OP problem for mobile robots on Map 4 and Map 5, and the performance is generally improved by more than 2% compared to the comparison algorithms, which effectively optimizes the length of the obstacle avoidance path. At the same time, we can find from Figure 9 that the generated traveling paths have no collisions and are tangent to the obstacles. This phenomenon shows that AGMSBOA proposed in this paper has a good advantage in OP for complex maps, which also reflects that with the improvement of environmental complexity, the adaptive learning strategy, group learning strategy, and multiple population evolution strategy proposed in this paper can still effectively improve the algorithm solving performance. Meanwhile, AGMSBOA also ranks first in the mean fitness value metric, which has high solution stability compared to the comparison algorithms, and it can also be seen in Figure 10 that the obstacle avoidance paths generated by AGMSBOA have higher aggregation and higher accuracy, which also reflects that AGMSBOA is a practical OP method. Meanwhile, AGMSBOA ranks first on Map 4 in terms of the worst fitness value index, which possesses higher fault tolerance, but it ranks third on Map 5, which shows that the fault tolerance ability of AGMSBOA still needs to be improved. In summary, we can conclude that with the dramatic complexity of the environment, AGMSBOA proposed in this paper can be considered as a good OP method due to the advanced nature of its strategy, which makes it able to cope with this challenge effectively.
Through the above analysis, we can conclude that AGMSBOA is an OP method with efficient solving performance. From the “Mean Rank” index, we can also see that AGMSBOA ranks first in both the optimal fitness value index and the average fitness value index on the five maps, which confirms the efficiency and stability of AGMSBOA. This confirms the efficiency and stability of AGMSBOA, but we have to admit that AGMSBOA still needs to improve its fault tolerance. However, from a comprehensive point of view, the fault tolerance of AGMSBOA is within an acceptable range, and we can consider it as a mobile robot OP method with high efficiency, high stability, and high practicality.

4.6. Friedman Nonparametric Test Analysis

The OP performance of AGMSBOA for mobile robots has been evaluated in the above subsections, but the shortcoming is that the numerical results may contain outliers, and the results of the outliers may have a slight impact on the overall results. In order to eliminate the impact due to the outliers, in this section, we will carry out the Friedman nonparametric test with a significance factor of 0.05 [43]. Specifically, we apply AGMSBOA to solve the OP problem for five maps of different complexity and conduct Friedman nonparametric tests on the results of 20 independent experiments in order to evaluate the performance of obstacle avoidance path generation of AGMSBOA more objectively and fairly. The experimental results are shown in Table 4, where ‘Friedman Rank’ denotes the ranking after the Friedman nonparametric test, and ‘Rank’ denotes the final ranking based on ‘Friedman Rank’.
Table 4. Friedman nonparametric test results.
As can be seen from Table 4, AGMSBOA achieves a good advantage by ranking first in Friedman ranking on all five maps, with a winning rate of 100%. Meanwhile, compared with the original SBOA, AGMSBOA’s ranking on the five maps is improved by 4.2 on average, which indicates that the adaptive learning strategy, group learning strategy, and multiple population evolution strategy introduced in this paper make the algorithm’s exploration ability strengthened, and AGMSBOA possesses the ability to jump out of the locally suboptimal obstacle avoidance paths better than SBOA. Compared with the second-ranked EEFO, AGMSBOA is 1.2 ahead in the average ranking and achieves good experimental results. In summary, we can conclude that AGMSBOA proposed in this paper still has more efficient OP performance for mobile robots after eliminating the effect of anomalies.

4.7. Convergence Analysis

The above, as well as the statistical results of AGMSBOA in solving the OP problem for mobile robots, is analyzed, and the fact also confirms that AGMSBOA proposed in this paper possesses a high degree of solution stability and practicality. But in addition, the convergence property of the algorithm is also important. Therefore, in this section, the convergence of the algorithm is mainly analyzed, and Figure 11 shows the actual convergence plots of AGMSBOA, as well as the comparison algorithm on five maps, where the X-axis indicates the number of iterations of the algorithm, and the Y-axis indicates the fitness value.
Figure 11. The convergence graph of the algorithms.
As can be seen from the figure, all algorithms reach a converged state after 100 iterations, which ensures the accuracy of our convergence analysis. It is worth noting that AGMSBOA has a certain advantage after the 40th iteration in solving the OP problem on the low-complexity Maps 1 and 2, although the advantage is not so obvious, which is mainly due to the fact that the search strategy of the comparison algorithms is still effective in solving the low-complexity problems but still insufficient compared to the search strategy of AGMSBOA. The main reason for this phenomenon is that the search strategy of the comparison algorithm is still effective in solving low-complexity problems, but it is still insufficient compared to the search strategy of AGMSBOA, which has more efficient search performance due to the introduction of adaptive learning strategy, group learning strategy, and multiple population evolution strategy. Meanwhile, when AGMSBOA solves the OP problem on the high-complexity Maps 3, 4, and 5, unlike the low-complexity maps, AGMSBOA establishes a clear advantage at the beginning of the iteration and continues to optimize the obstacle avoidance paths at the later stage of the iteration. This is mainly due to the fact that the three strategies introduced in this paper can effectively enhance the performance of the algorithm in generating obstacle avoidance paths in complex environments, which is essentially due to the fact that the three strategies proposed in this paper are able to maintain good population diversity and global search ability in high-complexity environments, whereas the search strategies of the comparison algorithms do not have any adaptability to the complex environment. The above results reflect that AGMSBOA proposed in this paper not only has high convergence accuracy, but also has faster convergence speed, which helps to improve the practicality of the algorithm in real environments.

4.8. Runtime Analysis

The performance of the optimization search and convergence properties of AGMSBOA for OP for mobile robots have been analyzed in the above subsections. In addition to this, the actual running time of the algorithm is also important, which is related to the responsiveness of the algorithm to a great extent. Therefore, in this section, the running time of the algorithm is mainly analyzed. The experimental results are shown in Table 5. From the table, it can be seen that AGMSBOA possesses the shortest running time, with high real-time responsiveness in 80% of the cases, which is mainly due to the fact that the three strategies proposed in this paper possess lightweight characteristics. Meanwhile, due to the efficient searchability of the strategies proposed in this paper, it not only improves the convergence accuracy of the algorithm, but also reduces the actual running time. Meanwhile, the average running time ranking of AGMSBOA is 1.20, which is ahead of the comparison algorithms, which also shows that AGMSBOA proposed in this paper not only obtains higher utility and solution stability, but also possesses high real-time responsiveness, which can be considered as a promising OP method for mobile robots.
Table 5. The runtime statistics for all algorithms.

4.9. Comprehensive Indicator Analysis

In order to make a comprehensive evaluation of AGMSBOA proposed in this paper, in this section, we analyze the five important metrics: best fitness value, mean fitness value, worst fitness value, Friedman rank, and running time. Figure 12 shows the stacked graph of the rankings of the five metrics mentioned above. From the figure, we can see that AGMSBOA has the smallest stacking height, so we can consider that it has higher comprehensive performance, which also shows that the adaptive learning strategy, group learning strategy, and multiple population evolution strategy proposed in this paper can strengthen the performance of the algorithm in solving the OP problem of mobile robots, which makes AGMSBOA be considered as a promising OP method.
Figure 12. Stacked chart of composite indicators.

5. Results and Discussion in Actual Maps

In the above subsections, the performance of the proposed AGMSBOA is evaluated in five simulated map environments, which confirms that AGMSBOA is an efficient, robust, and robust obstacle avoidance path planning method for mobile robots. In this section, the proposed AGMSBOA is used to solve two obstacle avoidance path planning problems for mobile robots in real-world environments to further validate the obstacle avoidance path plan performance of AGMSBOA.

5.1. Results of 40*40 Grid Environment

In a real-world 40 × 40 grid map environment with the start point set at (0, 0) and the goal point at (40, 40), we employed AGMSBOA for collision-free path planning. Thirty independent, non-repetitive experiments were conducted and compared against APO, NMPA, EEFO, LSHADE, HEOA, NOA, SBOA, INFO, and IMODE. Statistical results are presented in Table 6, where “Best” denotes the optimal path length, “Mean” represents the average path length, and “Worst” indicates the longest path length. As shown in Table 6, AGMSBOA achieves first ranking in optimal path length, with HEOA ranking second. Notably, AGMSBOA reduces the path length by 1.317 units compared to HEOA, demonstrating superior path planning performance. This improvement primarily stems from the three learning strategies proposed in this study, which enhance the algorithm’s global exploration capability and optimize the path quality. Furthermore, Figure 13a displays the convergence curves during algorithm execution. All algorithms exhibit convergent behavior and effectively reduce path lengths. Significantly, AGMSBOA establishes a dominant advantage after approximately the 22nd iteration and maintains this lead throughout the optimization process, confirming its excellent convergence properties. Meanwhile, Figure 13b visualizes collision-free optimal paths generated by the algorithms. All paths successfully avoid obstacles, yet AGMSBOA achieves the shortest trajectory, conclusively validating its robust obstacle avoidance planning capabilities.
Table 6. Path length of AGMSBOA when executing the 40*40 environment.
Figure 13. Statistical graph of AGMSBOA when performing 40*40 environment.

5.2. Results of 80*80 Grid Environment

In a real map environment of 80*80, we set the starting point as (0, 0) and the end point as (80, 80). Subsequently, AGMSBOA was used to plan the collision-free paths, and each experiment was conducted independently and unrepeatably for 30 times while comparing with APO, NMPA, EEFO, LSHADE, HEOA, NOA, SBOA, INFO, and IMODE. The statistical results are shown in Table 7, where “Best” denotes the optimal path length, “Mean” denotes the average path length, and “Worst” denotes the worst path length. From Table 7, it can be seen that AGMSBOA ranks first in terms of optimal path length, with a path length of 128.650, and APO ranks second. AGMSBOA’s performance is 7.9% ahead of APO’s, achieving the optimal mobile robot obstacle avoidance performance. Meanwhile, the average path length achieves an excellent value of 134.641, which is much better than the 149.545 achieved by the second-ranked INFO, and achieves better solution stability. In addition, Figure 14a shows the convergence graph of the algorithms during execution, from which it can be seen that all the algorithms are in the state of convergence and are effective in the reduction of the path lengths; but it is worth noting that after about the 15th iteration, AGMSBOA occupies a very good lead and maintains it until the end of the whole iteration, achieving a very good convergence property. Meanwhile, Figure 14b shows the collision-free optimal paths generated by the algorithms from the start point to the end point, and we can find that all the paths generated by the algorithms did not collide with the obstacles, in which case AGMSBOA achieved the shortest path length, proving the strong obstacle avoidance path planning performance of AGMSBOA.
Table 7. Path length of AGMSBOA when executing the 80*80 environment.
Figure 14. Statistical graph of AGMSBOA when performing 80*80 environment.
By testing the obstacle avoidance path planning performance of AGMSBOA in two real-world environments, it is confirmed that the adaptive learning strategy, group learning strategy, and multiple population evolution strategy proposed in this paper have a positive effect on the performance of the algorithm, and it is due to this great promotion that AGMSBOA has a strong and stable obstacle avoidance path planning performance, which makes it occupy a good advantage in comparison with a large number of excellent algorithms and be considered as a promising OP method.

6. Conclusions

In this paper, in order to enhance the performance of SBOA for OP for mobile robots, firstly, the adaptive learning strategy is introduced for the problem of the insufficient exploration ability of the original SBOA, and the individual improves the diversity of the population by summarizing the relationship between the candidate solutions of different qualities, which then enhances the ability of the algorithm to locate the region of the globally optimal obstacle avoidance path. Secondly, to address the problem of the insufficient effective development capability of the original SBOA, the group learning strategy is introduced; by dividing the population into learning and teaching groups, the exploitation capability of the algorithm is greatly improved, and the accuracy of the algorithm’s OP is strengthened, which reduces the actual operational time. Finally, for the problem of the unbalanced exploration/development phase of the original SBOA, this paper proposes the multiple population evolution strategy; by analyzing the nature of different individuals and targeting the exploration or exploitation ability, it enhances the balance of the exploration/exploitation phase and improves the ability of the algorithm to jump out of the trap of suboptimal obstacle avoidance paths. Subsequently, an enhanced version of SBOA, called AGMSBOA, is proposed by combining the above three learning strategies. We use AGMSBOA to solve five map environments with varying complexity to evaluate its OP performance against eight of the most novel methods, and analyze the algorithms’ population diversity, exploration/exploitation ratio, path length, stability, Friedman rank-sum test, convergence, and overall metrics to objectively and fairly confirm that AGMSBOA is a method with efficient mobile robot OP performance. By analyzing the algorithm’s population diversity, exploration/exploitation ratio, path length, stability, Friedman rank-sum test, convergence, and comprehensive metrics, AGMSBOA is objectively and fairly confirmed as a method with efficient OP performance for mobile robots.
Notably, the LiDAR-camera fusion-based dynamic localization method (LCDL) proposed in the literature [44] provides efficient technical support for smart collision avoidance research. The method mainly combines advanced techniques, such as fast search architecture, neural network framework, dual-servo rotary table, and multi-sensor integration, while realizing the efficient operation of asynchronous LiDAR-camera fusion in embedded devices and heterogeneous systems. The key points of these techniques are important references for the obstacle avoidance path planning for mobile robots proposed in this paper. Therefore, in future research, firstly, the sensor fusion technique involved in the literature [44] can be borrowed to improve the accuracy and robustness of environment sensing through the dynamic localization framework of LiDAR-camera fusion, so as to optimize the results of obstacle avoidance path planning. Secondly, utilizing the idea of asynchronous data processing and real time proposed in the literature [44], asynchronous sensor fusion technology is applied to embedded devices in order to improve real-time obstacle avoidance capability, reduce latency, and ensure real-time obstacle avoidance path planning. Finally, combining the dynamic target tracking and path adjustment techniques in the literature [44], real-time updating of dynamic targets and path adjustment are realized in mobile robot obstacle avoidance through the dual-servo rotary table and multi-sensor integration techniques in LCDL. It enables the algorithm to incorporate real-time data updating strategies in dynamic environments to improve the flexibility and adaptability of obstacle avoidance.

Author Contributions

Conceptualization, L.X.; methodology, L.X. and C.Y.; software, L.X.; validation, L.X. and C.Y.; formal analysis, Z.J.; investigation, C.Y. and Z.J.; resources, Z.J.; data curation, L.X. and C.Y.; writing—original draft preparation, L.X.; writing—review and editing, L.X. and C.Y.; visualization, Z.J.; supervision, Z.J.; project administration, Z.J.; funding acquisition, Z.J. All authors have read and agreed to the published version of the manuscript.

Funding

This research was funded by the Industry-University Cooperation and Collaborative Education Foundation of the Ministry of Education, The People’s Republic of China. The project name is “Under Practical Teaching Reform and Team Building in the Context of Project-Driven Multi-Agent Collaborative Education”, Project No: 231101388111006, and Zhejiang Education Science Planning Project No: GH2022529.

Data Availability Statement

Data can be requested from the corresponding author if there is a reasonable need to do so.

Acknowledgments

The authors thank the reviewers and the editorial team for their efforts on this article.

Conflicts of Interest

The authors declare no conflicts of interest.

References

  1. Zhao, Y.; He, X.; Zhou, D.; Pecht, M.G. Detection and isolation of wheelset intermittent over-creeps for electric multiple units based on a weighted moving average technique. IEEE Trans. Intell. Transp. Syst. 2020, 23, 3392–3405. [Google Scholar] [CrossRef]
  2. Radmanesh, M.; Kumar, M.; Guentert, P.H.; Sarim, M. Overview of path-planning and obstacle avoidance algorithms for UAVs: A comparative study. Unmanned Syst. 2018, 6, 95–118. [Google Scholar] [CrossRef]
  3. Han, D.H.; Kim, Y.D.; Lee, J.Y. Multiple-criterion shortest path algorithms for global path planning of unmanned combat vehicles. Comput. Ind. Eng. 2014, 71, 57–69. [Google Scholar] [CrossRef]
  4. Luo, M.; Hou, X.; Yang, J. Surface optimal path planning using an extended Dijkstra algorithm. IEEE Access 2020, 8, 147827–147838. [Google Scholar] [CrossRef]
  5. El Baz, D.; Fakih, B.; Sanchez Nigenda, R.; Boyer, V. Parallel best-first search algorithms for planning problems on multi-core processors. J. Supercomput. 2022, 78, 3122–3151. [Google Scholar] [CrossRef]
  6. Chen, Y.Q.; Guo, J.L.; Yang, H.; Wang, Z.Q.; Liu, H.L. Research on navigation of bidirectional A* algorithm based on ant colony algorithm. J. Supercomput. 2021, 77, 1958–1975. [Google Scholar] [CrossRef]
  7. Hu, Y.; Harabor, D.; Qin, L.; Yin, Q. Regarding goal bounding and jump point search. J. Artif. Intell. Res. 2021, 70, 631–681. [Google Scholar] [CrossRef]
  8. Zhang, M.G.; Cheng, B.J.; Li, X.F.; Wang, M.Y. A fast algorithm of the shortest path ray tracing. Chin. J. Geophys. 2006, 49, 1315–1323. [Google Scholar]
  9. Liu, L.; Song, Y.; Ma, H.; Zhang, X. Physarum optimization: A biology-inspired algorithm for minimal exposure path problem in wireless sensor networks. In Proceedings of the IEEE INFOCOM 2012, Orlando, FL, USA, 25–30 March 2012; pp. 1296–1304. [Google Scholar]
  10. Agarwal, D.; Bharti, P.S. Implementing modified swarm intelligence algorithm based on Slime moulds for path planning and obstacle avoidance problem in mobile robots. Appl. Soft Comput. 2021, 107, 107372. [Google Scholar] [CrossRef]
  11. Khishe, M.; Mosavi, M.R. Chimp optimization algorithm. Expert Syst. Appl. 2020, 149, 113338. [Google Scholar] [CrossRef]
  12. Hashim, F.A.; Hussien, A.G. Snake Optimizer: A novel meta-heuristic optimization algorithm. Knowl.-Based Syst. 2022, 242, 108320. [Google Scholar] [CrossRef]
  13. Li, M.; Zhao, H.; Weng, X.; Han, T. Cognitive behavior optimization algorithm for solving optimization problems. Appl. Soft Comput. 2016, 39, 199–222. [Google Scholar] [CrossRef]
  14. Mousavirad, S.J.; Ebrahimpour-Komleh, H. Human mental search: A new population-based metaheuristic optimization algorithm. Appl. Intell. 2017, 47, 850–887. [Google Scholar] [CrossRef]
  15. Rao, R.V.; Savsani, V.J.; Vakharia, D.P. Teaching–learning-based optimization: A novel method for constrained mechanical design optimization problems. Comput.-Aided Des. 2011, 43, 303–315. [Google Scholar] [CrossRef]
  16. Hashim, F.A.; Houssein, E.H.; Mabrouk, M.S.; Al-Atabany, W.; Mirjalili, S. Henry gas solubility optimization: A novel physics-based algorithm. Future Gener. Comput. Syst. 2019, 101, 646–667. [Google Scholar] [CrossRef]
  17. Zhao, W.; Wang, L.; Zhang, Z. Atom search optimization and its application to solve a hydrogeologic parameter estimation problem. Knowl.-Based Syst. 2019, 163, 283–304. [Google Scholar] [CrossRef]
  18. Kaveh, A.; Talatahari, S. A novel heuristic optimization method: Charged system search. Acta Mech. 2010, 213, 267–289. [Google Scholar] [CrossRef]
  19. Dorigo, M.; Birattari, M.; Stutzle, T. Ant colony optimization. IEEE Comput. Intell. Mag. 2006, 1, 28–39. [Google Scholar] [CrossRef]
  20. Yapici, H.; Cetinkaya, N. A new meta-heuristic optimizer: Pathfinder algorithm. Appl. Soft Comput. 2019, 78, 545–568. [Google Scholar] [CrossRef]
  21. Li, S.; Chen, H.; Wang, M.; Heidari, A.A.; Mirjalili, S. Slime mould algorithm: A new method for stochastic optimization. Future Gener. Comput. Syst. 2020, 111, 300–323. [Google Scholar] [CrossRef]
  22. Rocca, P.; Oliveri, G.; Massa, A. Differential evolution as applied to electromagnetics. IEEE Antennas Propag. Mag. 2011, 53, 38–49. [Google Scholar] [CrossRef]
  23. Holland, J.H. Genetic algorithms. Sci. Am. 1992, 267, 66–73. [Google Scholar] [CrossRef]
  24. Xu, L.; Cao, M.; Song, B. A new approach to smooth path planning of mobile robot based on quartic Bezier transition curve and improved PSO algorithm. Neurocomputing 2022, 473, 98–106. [Google Scholar] [CrossRef]
  25. Liu, C.; Wu, L.; Xiao, W.; Li, G.; Xu, D.; Guo, J.; Li, W. An improved heuristic mechanism ant colony optimization algorithm for solving path planning. Knowl.-Based Syst. 2023, 271, 110540. [Google Scholar] [CrossRef]
  26. Cui, J.; Wu, L.; Huang, X.; Xu, D.; Liu, C.; Xiao, W. Multi-strategy adaptable ant colony optimization algorithm and its application in robot path planning. Knowl.-Based Syst. 2024, 288, 111459. [Google Scholar] [CrossRef]
  27. Wu, L.; Huang, X.; Cui, J.; Liu, C.; Xiao, W. Modified adaptive ant colony optimization algorithm and its application for solving path planning of mobile robot. Expert Syst. Appl. 2023, 215, 119410. [Google Scholar] [CrossRef]
  28. Tao, B.; Kim, J.H. Mobile robot path planning based on bi-population particle swarm optimization with random perturbation strategy. J. King Saud Univ.-Comput. Inf. Sci. 2024, 36, 101974. [Google Scholar] [CrossRef]
  29. Tian, T.; Liang, Z.; Wei, Y.; Luo, Q.; Zhou, Y. Hybrid Whale Optimization with a Firefly Algorithm for Function Optimization and Mobile Robot Path Planning. Biomimetics 2024, 9, 39. [Google Scholar] [CrossRef]
  30. Wang, C.H.; Chen, S.; Zhao, Q.; Suo, Y. An efficient end-to-end obstacle avoidance path planning algorithm for intelligent vehicles based on improved whale optimization algorithm. Mathematics 2023, 11, 1800. [Google Scholar] [CrossRef]
  31. Fu, Y.; Liu, D.; Chen, J.; He, L. Secretary bird optimization algorithm: A new metaheuristic for solving global optimization problems. Artif. Intell. Rev. 2024, 57, 123. [Google Scholar] [CrossRef]
  32. Zhang, Q.; Gao, H.; Zhan, Z.H.; Li, J.; Zhang, H. Growth Optimizer: A powerful metaheuristic algorithm for solving continuous and discrete global optimization problems. Knowl.-Based Syst. 2023, 261, 110206. [Google Scholar] [CrossRef]
  33. Wang, W.C.; Tian, W.C.; Xu, D.M.; Zang, H.F. Arctic puffin optimization: A bio-inspired metaheuristic algorithm for solving engineering design optimization. Adv. Eng. Softw. 2024, 195, 103694. [Google Scholar] [CrossRef]
  34. Zhao, W.; Wang, L.; Zhang, Z.; Fan, H.; Zhang, J.; Mirjalili, S.; Cao, Q. Electric eel foraging optimization: A new bio-inspired optimizer for engineering applications. Expert Syst. Appl. 2024, 238, 122200. [Google Scholar] [CrossRef]
  35. Lian, J.; Hui, G. Human evolutionary optimization algorithm. Expert Syst. Appl. 2024, 241, 122638. [Google Scholar] [CrossRef]
  36. Amiri, M.H.; Mehrabi Hashjin, N.; Montazeri, M.; Mirjalili, S.; Khodadadi, N. Hippopotamus optimization algorithm: A novel nature-inspired optimization algorithm. Sci. Rep. 2024, 14, 5032. [Google Scholar] [CrossRef] [PubMed]
  37. Abdel-Basset, M.; Mohamed, R.; Jameel, M.; Abouhawwash, M. Nutcracker optimizer: A novel nature-inspired metaheuristic algorithm for global optimization and engineering design problems. Knowl.-Based Syst. 2023, 262, 110248. [Google Scholar] [CrossRef]
  38. Ahmadianfar, I.; Heidari, A.A.; Noshadian, S.; Chen, H.; Gandomi, A.H. INFO: An efficient optimization algorithm based on weighted mean of vectors. Expert Syst. Appl. 2022, 195, 116516. [Google Scholar] [CrossRef]
  39. Wang, L.; Cao, Q.; Zhang, Z.; Mirjalili, S.; Zhao, W. Artificial rabbits optimization: A new bio-inspired meta-heuristic algorithm for solving engineering optimization problems. Eng. Appl. Artif. Intell. 2022, 114, 105082. [Google Scholar] [CrossRef]
  40. Mehmood, K.; Chaudhary, N.I.; Cheema, K.M.; Khan, Z.A.; Raja, M.A.Z.; Milyani, A.H.; Alsulami, A. Design of nonlinear marine predator heuristics for hammerstein autoregressive exogenous system identification with key-term separation. Mathematics 2023, 11, 2512. [Google Scholar] [CrossRef]
  41. Tanabe, R.; Fukunaga, A.S. Improving the search performance of SHADE using linear population size reduction. In Proceedings of the 2014 IEEE Congress on Evolutionary Computation (CEC), Beijing, China, 6–11 July 2014; pp. 1658–1665. [Google Scholar]
  42. Sallam, K.M.; Abdel-Basset, M.; El-Abd, M.; Wagdy, A. IMODEII: An Improved IMODE algorithm based on the Reinforcement Learning. In Proceedings of the 2022 IEEE Congress on Evolutionary Computation (CEC), Padua, Italy, 18–23 July 2022; pp. 1–8. [Google Scholar]
  43. Mehmood, K.; Chaudhary, N.I.; Khan, Z.A.; Raja, M.A.Z.; Cheema, K.M.; Milyani, A.H. Design of aquila optimization heuristic for identification of control autoregressive systems. Mathematics 2022, 10, 1749. [Google Scholar] [CrossRef]
  44. Xu, Y.; Chen, Z.; Deng, C.; Wang, S.; Wang, J. Lcdl: Towards dynamic localization for autonomous landing of unmanned aerial vehicle based on lidar-camera fusion. IEEE Sens. J. 2024, 24, 26407–26415. [Google Scholar] [CrossRef]
Disclaimer/Publisher’s Note: The statements, opinions and data contained in all publications are solely those of the individual author(s) and contributor(s) and not of MDPI and/or the editor(s). MDPI and/or the editor(s) disclaim responsibility for any injury to people or property resulting from any ideas, methods, instructions or products referred to in the content.

Article Metrics

Citations

Article Access Statistics

Multiple requests from the same IP address are counted as one view.