Abstract
Estimating the sparse covariance matrix can effectively identify important features and patterns, and traditional estimation methods require complete data vectors on all subjects. When data are left-censored due to detection limits, common strategies such as excluding censored individuals or replacing censored values with suitable constants may result in large biases. In this paper, we propose two penalized log-likelihood estimators, incorporating the penalty and SCAD penalty, for estimating the sparse covariance matrix of a multivariate normal distribution in the presence of left-censored data. However, the fitting of these penalized estimators poses challenges due to the observed log-likelihood involving high-dimensional integration over the censored variables. To address this issue, we treat censored data as a special case of incomplete data and employ the Expectation Maximization algorithm combined with the coordinate descent algorithm to efficiently fit the two penalized estimators. Through simulation studies, we demonstrate that both penalized estimators achieve greater estimation accuracy compared to methods that replace censored values with constants. Moreover, the SCAD penalized estimator generally outperforms the penalized estimator. Our method is used to analyze the proteomic datasets.
Keywords:
sparse covariance matrix; Expectation Maximization algorithm; penalized estimator; left-censored data MSC:
62H12; 62-08
1. Introduction
Estimating covariance matrices is a critical problem in modern multivariate data analysis, with broad applications in fields such as economics [1], finance [2], biology [3], and social networks [4], among others. The elements of these matrices provide valuable insights into variance, correlation, and covariance. However, it is challenging to estimate large covariance matrices, especially when the number of variables exceeds the sample size. The assumption of sparsity has been extensively developed in the context of large covariance matrix estimation. This assumption suggests that most of the off-diagonal elements in a covariance matrix are exactly zero, significantly reducing the number of free parameters in the covariance matrix.
There are many studies for sparse covariance matrix estimation. The methods based on banding [5], tapering [6,7] are proposed when a known ordering of variables is available. In the absence of information on natural ordering of variables, thresholding [8,9,10] is developed by setting smaller elements in the sample covariance matrix to zero. But there is no guarantee that the thresholding estimator is always positive definite. To enforce positive definiteness, Rothman [11] and Xue et al. [12] proposed the penalized Frobenius norm approaches, in which Rothman [11] included an additional logarithmic barrier term into the objective function and Xue et al. [12] used a direction-altering method. However, it is known that penalty induces bias in the estimators. To alleviate this bias effect, Wei and Zhao [13] and Wang et al. [14] imposed non-convex penalties such as smoothly clipped absolute deviation (SCAD) penalty, minimax concave penalty and an adaptive capped- penalty in the estimation of sparse covariance matrices.
Penalized likelihood techniques provide an alternative for estimating a sparse covariance matrix. Bien and Tibshirani [15] pioneered the covariance graphical lasso method, which penalized the likelihood with a lasso penalty on the elements of the covariance matrix and used a majorize–minimize approach to approximately minimize the penalized likelihood. To improve the computational efficiency and numerical stability, Wang [16] developed a coordinate descent algorithm to fit sparse covariance graphical lasso models. Xu and Lange [17] developed a likelihood-based method that regularizes the distance from the covariance estimate to a symmetric sparsity set and proposed a majorization–minimization-based algorithm to yield a sparse covariance matrix estimation. But the selection of penalty parameter in Bien and Tibshirani [15], Wang [16] and Xu and Lange [17] is carried out via computationally expensive cross-validation methods where the estimator is solved many times to choose the best-suited sparsity. To eliminate the selection of penalty parameter, Fatima et al. [18] presented a cyclic majorization–minimization-based technique to minimize the extended Bayesian information criteria with a penalty. Besides the above methods, Fatima et al. [19] proposed a two-stage procedure, which first finds zero elements in the target covariance matrix using false discovery rate multiple hypothesis testing and then estimates the non-zero elements by a block coordinate descent approach or a proximal distance approach. Sung and Lee [20] considered a spike and slab prior to introducing sparsity to the covariance matrix and proposed a sparse covariance estimation method using a block coordinate descent algorithm to determine the mode of the posterior density conditional on the structure of the covariance.
Up to this point, all these methodologies mentioned above were formulated assuming that all data are completely observed. However, in many real-world applications, particularly in fields like epidemiology [21], mass spectrometry-based metabolomics studies [22], environmental contaminant research [23] and hydrology [24], censored data due to detection limits are common, in which the value of an observation is not known exactly but rather is only known to be above or below a specific value. Therefore, the detection limits of measurement techniques may make it impossible to achieve data completeness.
A common and simple way to deal with censoring is to delete all study subjects that contain at least one censored value. However, ignoring these informative censored values often leads to severe bias and loss of precision due to effective sample size. Another common approach is to replace the left-censored value with a representative constant, e.g., the sample mean, half of the left-censored values, or the minimum of the observations, and then compute the sample covariance based on the complete data obtained. But previous studies have found all these alternative methods to be more or less biased. To reduce this estimation bias or loss of precision caused by censoring out-of-range values to the closest possible value, several algorithms were proposed for computing maximum likelihood estimation of covariance matrix under the assumption of a normal distribution in Hoffman and Johnson [25], Jones et al. [26], Pesonen et al. [27]. Hoffman and Johnson [25] proposed a pseudo-likelihood approach by applying the MLE method to pairs of variables. Jones et al. [26] proposed a maximum pairwise pseudo-likelihood estimation of covariance matrices based on marginal likelihood. Pesonen et al. [27] proposed maximum likelihood estimation of finite-memory algorithms based on pairs of elements and estimation of covariance matrices using parallel pairs of elements. However, these methods were computationally intensive and unsuitable for the high-dimensional variable setting. Most importantly, these methods did not address the problem of sparse covariance estimation.
In this article, we focus on estimating the sparse covariance matrix in the multivariate normal model in the presence of censored data with detection limits. To obtain a sparse estimation of covariance matrix, we suggest penalizing the log-likelihood function of the censored data using the penalty and the SCAD penalty. However, the log-likelihood function involves high-dimensional integral, leading to high computational complexity. In this paper, we treat censored data as a special kind of incomplete data and we apply the Expectation Maximization (EM) algorithm [28] to optimize the penalized likelihood of censored data. In the Expectation step of the EM algorithm, we use an approximation method or Monte Carlo sampling method to calculate the Q function, i.e., the expectation of the log-likelihood function of complete data. In the maximization step of the EM algorithm, we apply the coordinate descent algorithm developed by Wang [16] to optimize the Q function with the penalty. For the SCAD penalty, we reformulate the Q-function as a series of penalized likelihood problems with a weighted penalty, using the local linear approximation (LLA) proposed by Zou and Li [29]. We then modify the coordinate descent algorithm of Wang [16] to efficiently optimize these penalized likelihood problems with the weighted penalty. We show the performance of the proposed estimators via simulation studies. We apply our method to analyze a proteomics dataset.
The remaining part of this paper is organized as follows. In Section 2, we propose two penalized estimators for sparse covariance matrix and then fit them by the EM algorithm combined with the coordinate descent algorithm. In Section 3, we give simulation studies to show the performance of the proposed method. In Section 4, we analyze a real dataset. Section 5 presents the conclusions and discusses directions for future research.
2. Sparse Covariance Matrix Estimation for Censored Data
2.1. Penalized Estimator for Censored Data
To incorporate the censoring mechanism in our framework, we follow Little and Rubin [30] and Augugliaro et al. [31]. Let be a p-dimensional random vector, that follows a multivariate normal distribution . The vector of known left-censoring values is denoted by . We denote the censoring pattern by a p-dimensional random vector with support set . Specifically, the jth element of is defined as , where denotes the indicator function. Thus, (i.e., is observed) only if it is inside the interval , and (i.e., is censored from below) if .
Given a censoring pattern, we divide the set into two subsets and . Then, is the observed vector, and the observed data can be represented as . The density of the observed data is denoted by
where is the joint multivariate normal density depending on the parameter and is the region of integration.
Consider n independent samples from a censored multivariate normal distribution, and we assume that l is known and fixed across the n observations. Let be the ith realization of the random vector , then the variables can be partitioned into two subsets , . The ith observation is the vector , and the ith complete observation is , then we obtain the observed log-likelihood function
To obtain a sparse estimator of covariance matrix , we suggest adding a penalty term to the log-likelihood function and the resulting penalized estimator is
where means is a positive definite matrix, is the -element of matrix for , and is a penalty parameter. If the function is defined as , the penalty term corresponds to the penalty , yielding the penalized estimator. The penalty can estimate a sparse covariance matrix by shrinking smaller elements toward zero. However, it introduces biases in the estimates for larger elements, as the penalty increases linearly with the element’s magnitude. By contrast, the SCAD penalty alleviates the bias problem induced by the penalty. Similarly, the SCAD penalized estimator can be obtained by using the SCAD penalty, i.e.,
whose first order derivative is given by
where is also a penalty parameter for SCAD, with Fan and Li [32] recommending the setting . We use this value in our simulation studies. Note that is nonnegative since SCAD is monotonically nondecreasing over .
There are two challenges to be addressed. First, the log-likelihood function (2) involves complex integration. Second, the optimization problem in (3) is not convex.
The minimization of the penalized observed likelihood is not easy since its analytical form is not available. Pesonen et al. [27] maximized the likelihood based on a finite-memory algorithm for boundary-constrained optimization, but with high complexity. Lee and Scott [33] used the EM algorithm, but the E-step requires the second-order moments of the truncated normal distribution, which makes the computation slow.
2.2. Fitting Penalized Estimator by the EM Algorithm
In this paper, we view censored data as a special kind of incomplete data and apply the Expectation Maximization (EM) algorithm [28] to solve the optimization problem in (3). The EM algorithm is an iterative method to find maximum likelihood estimates of parameters in statistical models in the presence of incomplete data. It alternately iterates the expectation step (E-step) and maximization step (M-step) until convergence. E-step computes the Q-function, i.e., the conditional expectation of the complete log-likelihood based on the observed data and the current parameters. M-step minimizes the Q-function to update the parameters. In this paper, we suggest two strategies, i.e., approximate computation and the Monte Carlo integration, to speed up calculating the Q function in the E-step, and the resulting EM algorithms are denoted as ApEM and MCEM.
For the censored multivariate normal distribution, the ith complete observation is . The log-likelihood function of complete data is written as
where . Let be the estimate of the parameter in the tth iteration of the EM algorithm, then the E-step and M-step are implemented as follows.
2.2.1. E-Step
In E-step, the Q-function is
where
To compute the Q function, it suffices to compute conditional expectation and . Note that, given , follows a truncated multivariate normal distribution , where , and . Thus, calculating the Q-function requires computing the first and second moments of a multivariate truncated normal distribution. Lee [34] utilized the distribution function of the multivariate normal distribution to compute the first and second moments, and Lee and Scott [33] applied the eigenfunctions to find the first and second moments. However, all of these methods involve multivariate numerical integration, which results in a heavy computational burden when dealing with observations that have multiple censored variables.
In order to speed up the computation of the Q-function, we first consider an approximate computation via a univariate truncated normal distribution inspired by Guo et al. [35] and Augugliaro et al. [31]. Specifically, we approximate , where the conditional expectation on the right side of the approximate equality is computed assuming that follows a univariate truncated normal distribution . Note that the above computation is approximate, because, for , the marginal conditional distribution of given and is generally not a univariate truncated normal distribution [36], although follows the truncated multivariate normal distribution . One advantage of the approximate computation is that the moment of the univariate truncated normal distribution can be computed by exact formulas and requires only the evaluation of the cumulative distribution of the univariate Gaussian distribution [37].
Similarly, the second moment in can be computed approximately as follows. For , when , we approximate ; when , . Note that the conditional expectation at the right end of the two approximate equal signs is computed assuming that follows a univariate truncated normal distribution .
An alternative approach for accelerating the computation of Q-function is the Monte Carlo EM (MCEM) method of Wei and Tanner [38], in which a sequence of samples are generated from the conditional predictive distribution given the observed data and the current parameter to compute an approximation to the Q function. Specifically, for the ith observation , K random samples are drawn from the conditional predictive distribution , i.e., the truncated multivariate normal distribution . Then, we obtain the complete data , where , . Thus, the approximation can be obtained as and .
2.2.2. M-Step
Next, we compute the updates as minimizer of in (6). It is easily seen from (6) that and satisfy the following equations:
and
where . Therefore, the update in (9) reduces to a penalized log-likelihood problem for sparse covariance matrix estimation in the complete data setting, which can be solved by the coordinate descent algorithm of Wang [16].
2.3. Fitting SCAD Penalized Estimator by the EM Algorithm
Using the local linear approximation (LLA) proposed by Zou and Li [29] to the SCAD penalty, the sparse covariance matrix estimation problem can be reformulated as a sequence of penalized likelihood problems with a weighted penalty. This can be solved using an EM algorithm similar to that for the penalty, with only slight modifications to the coordinate descent algorithm for updating the matrix in the M-step.
2.3.1. E-Step
By replacing the penalty with the SCAD penalty in Equation (6), the Q-function in the E-step is
where refers to the SCAD penalty (4). In each E-step, the LLA algorithm locally approximates the SCAD by a symmetric linear function. By the Taylor expansion, is approximated in a neighborhood of as follows,
Thus, the penalty term can be regarded as a weighted version of the penalty up to a constant, i.e., . The weighting scheme is determined by the first-order derivative of SCAD and the magnitude of the current estimate, with larger magnitudes corresponding to smaller weights.
Aligned with the E-step of the penalized likelihood method, the key to computing the Q-function lies in evaluating and , which requires calculating the first and second moments of a multivariate truncated normal distribution. Two strategies including approximate computation and Monte Carlo integration are employed. For more details about these two strategies, refer to Section 2.2.1.
2.3.2. M-Step
The M-step minimizes to obtain the updates , where and
in which . If all are equal to , the optimization problem (11) will reduce to the penalized likelihood method. Due to the varying weights across elements, the coordinate descent algorithm proposed by Wang [16] cannot be directly applied to solve (11). Inspired by this algorithm, we update the matrix one column and row at a time while holding the remaining elements fixed. The update for closely follows the method in Wang [16]. For completeness, we provide a detailed derivation.
Without loss of generality, we take the last column and row as an example. For this purpose, we partition and as
where (i) and are the covariance matrix and the sample covariance matrix of the first variables, respectively; (ii) and are the covariances and the sample covariances between the first variables and the last variable, respectively; and (iii) and are the variance and the sample variance of the last variable, respectively. Let
Then, the three terms in (11) can be expressed as a function of ,
where , and are constants. Thus, the optimization problem (11) can be turned into a new one with respect to ,
For , the minimization problem is
where . The solution of can be easily obtained as
For , the minimization problem is
where and . This problem can be solved by another coordinate descent algorithm. For each , the solution of is
where is the soft-threshold operator. The for is updated iteratively until the inner coordinate descent algorithm converges. We then update the column as followed by cycling through all columns until convergence.
2.4. Selection of the Shrinkage Parameter
As different shrinkage parameters may lead to estimators with different sparsity levels, one will usually need to select an appropriate value of . Let ) denote the estimate of by using the shrinkage parameter . We would like to choose a value of to balance goodness-of-fit and model complexity by minimizing the Bayesian Information Criterion (BIC)
over a grid of candidate values for , where denotes the number of nonzero off-diagonal estimates of , and n is the sample size. However, the computational burden related to the evaluation of the observed log-likelihood function is heavy. For this reason, we choose the value of by minimizing the following approximate measure:
where and are computed as in (7) and (8), respectively.
3. Simulation
3.1. Simulation Settings
To verify the effectiveness of ApEM and MCEM with both and SCAD penalties, a simulation study is conducted using R with varying sample sizes n, left-censoring ratios c, and numbers of variables p. The data are generated from a p-dimensional censored multivariate normal distribution with a mean vector and two kinds of covariance matrix described as follows:
- Cliques model: We take , where each is a dense matrix of size . The off-diagonal elements of are with random sign and the diagonal element , where is chosen such that the condition number of equals p.
- First-order moving average model: Diagonal element , and for . The remaining elements are equal to zero.
For each model, we explored all possible configurations with , , and . Additionally, we examined high-dimensional settings for the cliques models with penalty, using parameter settings , and .
Given each configuration , we first draw a Gaussian sample from multivariate Gaussian distribution and then cut it by a censoring value vector l to obtain left-censored data, where l is determined by the mean, the square root of variance of each variable and the percentage of left censoring. We generated datasets for comparison.
In the simulation studies, we compared ApEM and MCEM to the coordinate descent (CD) algorithm of Wang [16] under both and SCAD penalties. Since the CD algorithm is only suitable for completely observed data, we applied it to both the complete data without censoring and the dataset where the censored values were substituted with the censoring value vector. The resulting CD algorithms are referred to as com_CD and sub_CD, respectively. The penalty type is prefixed to the algorithm name to clearly distinguish the results produced by different penalty–algorithm pairings, such as L1_ApEM and SCAD_MCEM. All codes are available at https://github.com/Shanyi0106/cen_scov.
3.2. Simulation Results
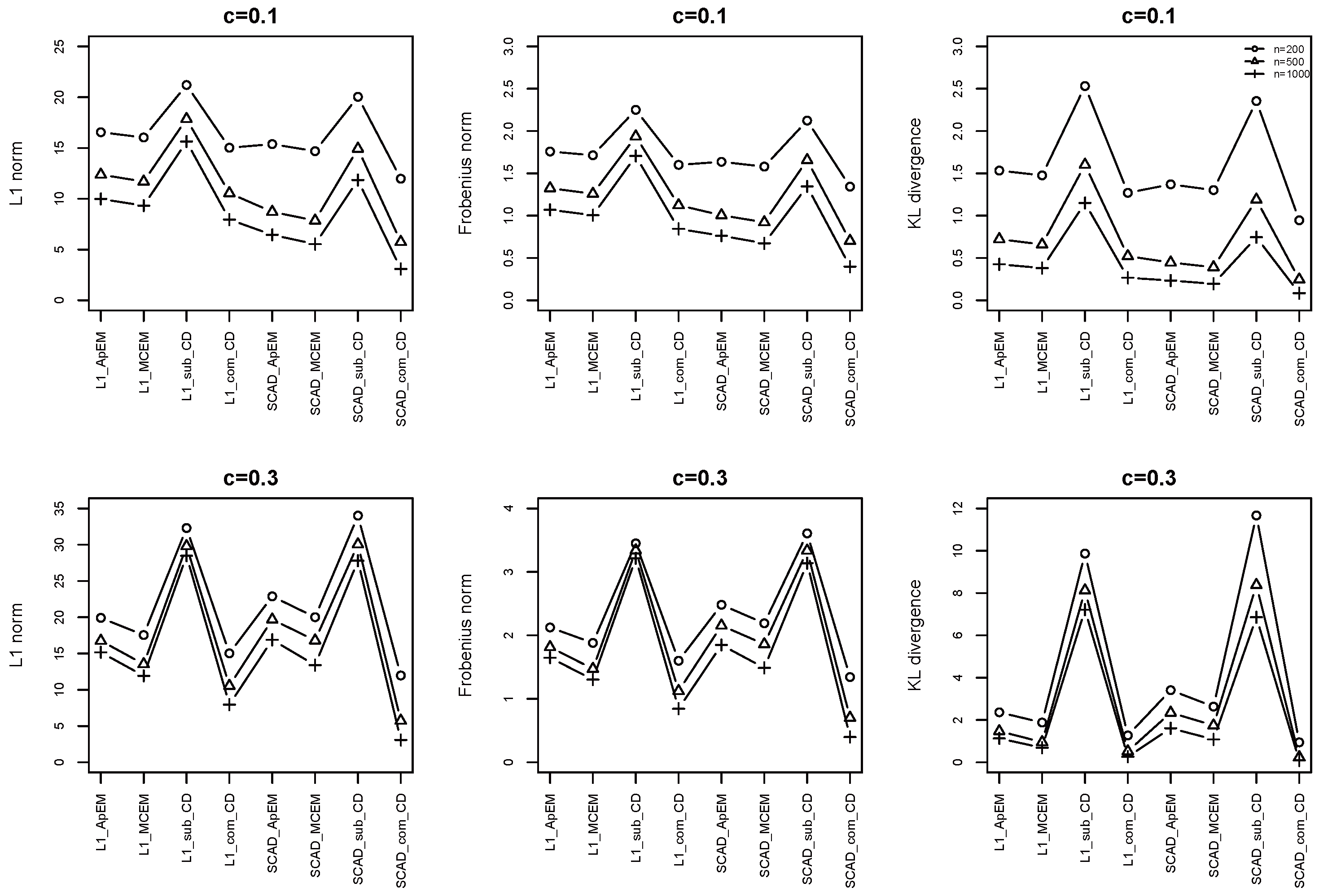
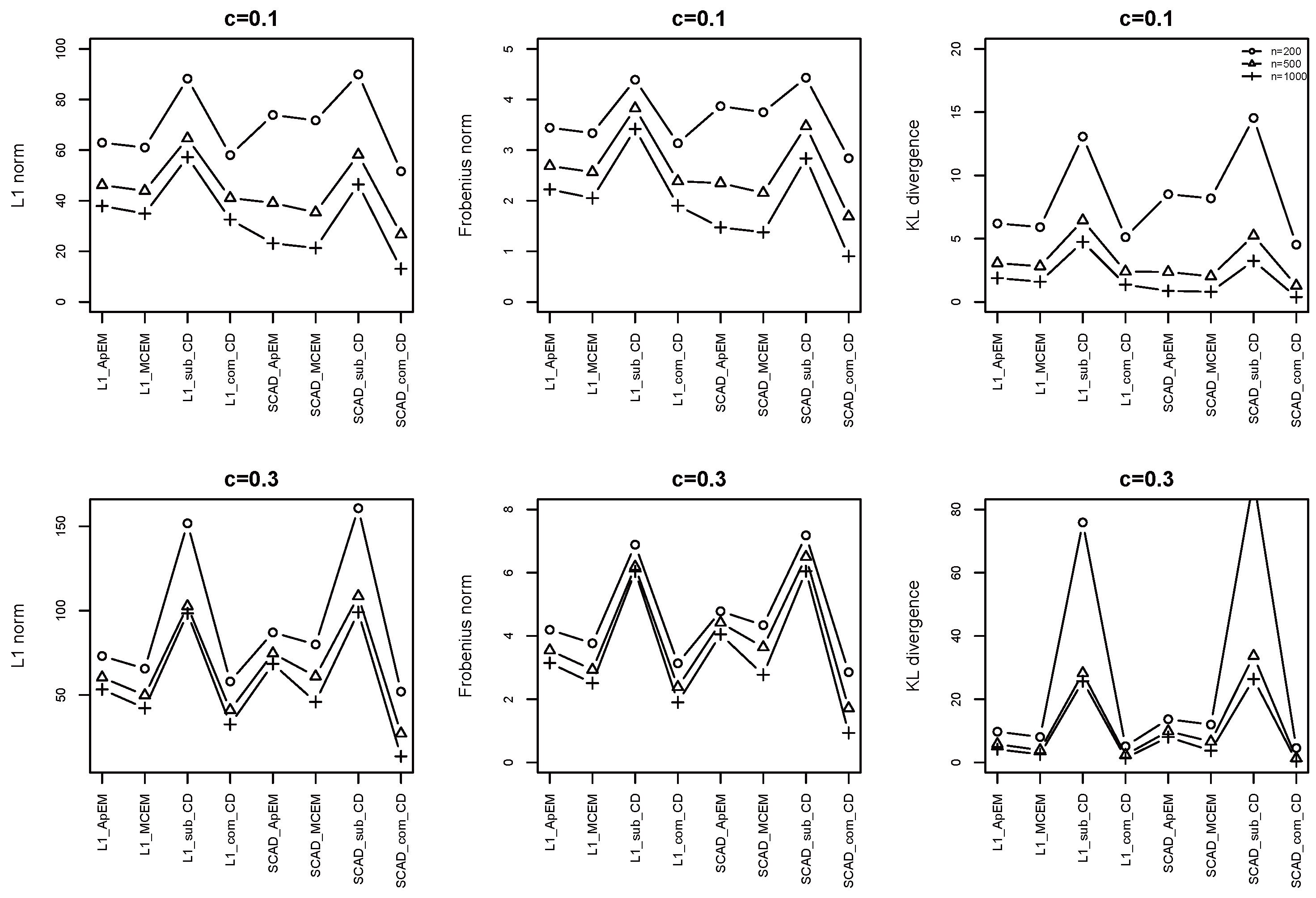
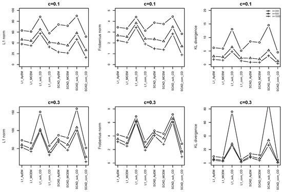
We evaluate each method by norm , Frobenius norm , and KL divergence, calculated by used in [18], where is the true covariance matrix and denotes the estimated covariance matrix obtained by each penalty–algorithm combination. Both the norm and the Frobenius norm measure the distance between the true and the estimated , while the KL divergence evaluates the distance between the two distributions corresponding to and , respectively. The results are presented in line charts in Figure 1, Figure 2, Figure 3, Figure 4, Figure 5 and Figure 6, showing the average norm, average Frobenius norm and average KL divergence, all computed over 50 datasets. Note that MCEM was explored with different sample sizes in the E-step, and similar results were obtained across these values. Therefore, we only present the results obtained with .
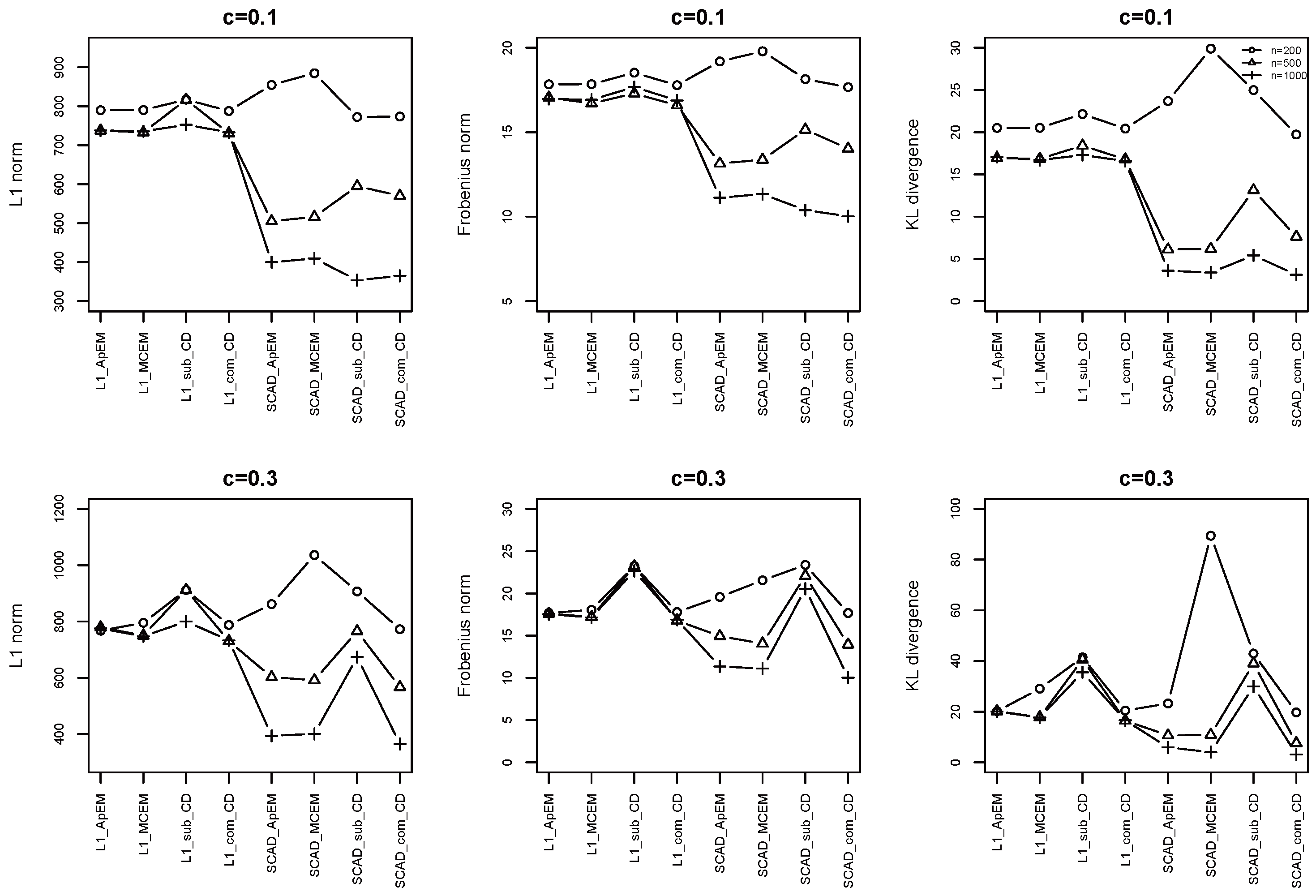
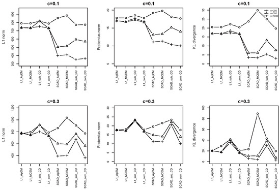
Figure 1.
Line charts of average norm, Frobenius norm, KL divergence for cliques model with under both and SCAD penalties.
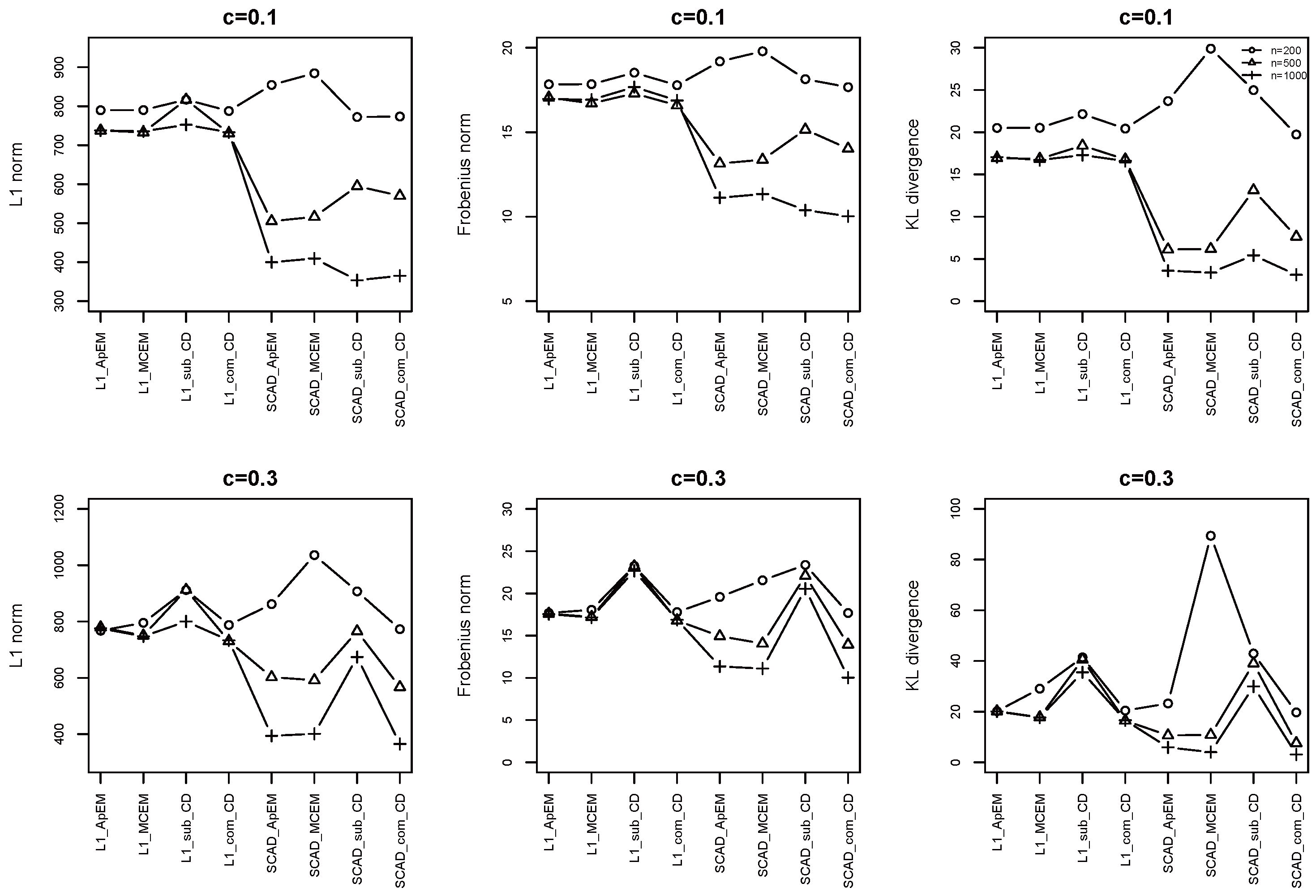
Figure 2.
Line charts of average norm, Frobenius norm, KL divergence for cliques model with under both and SCAD penalties.
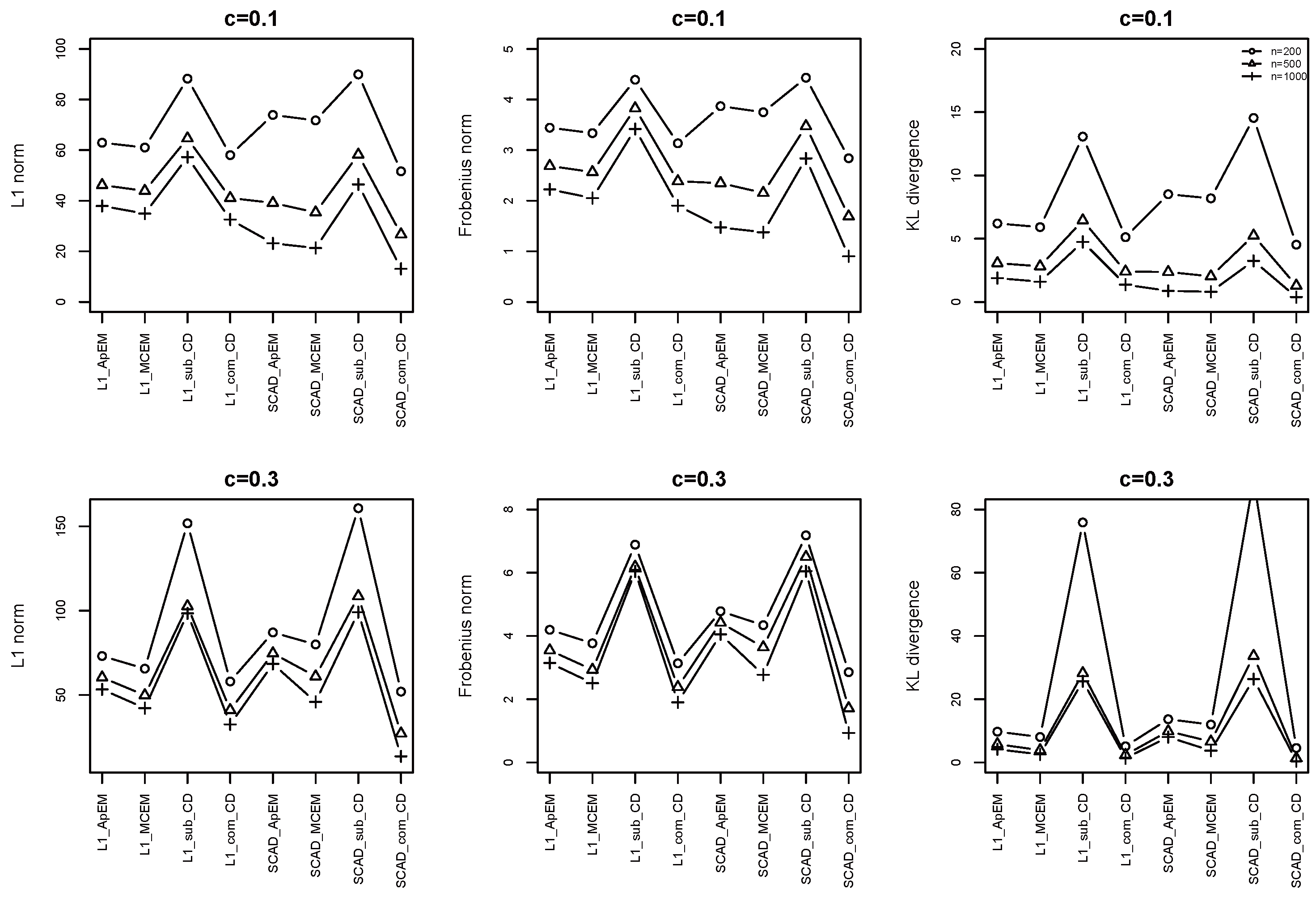
Figure 3.
Line charts of average norm, Frobenius norm, KL divergence for the moving average model with under both and SCAD penalties.
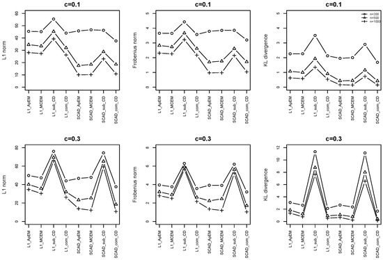
Figure 4.
Line charts of average norm, Frobenius norm, KL divergence for the moving average model with under both and SCAD penalties.
Figure 5.
Line charts of average norm, Frobenius norm, KL divergence for the cliques model with under the penalty.
Figure 6.
Line charts of average norm, Frobenius norm, KL divergence for cliques model with under the penalty.
For low-dimensional settings with , Figure 1 and Figure 2 display the average results for cliques models, and Figure 3 and Figure 4 show the average results for moving average models. The three lines, marked with circles, triangles and plus signs, correspond to the settings , respectively. The method com_CD provides an ideal situation where the data are completely observed and serves as a benchmark for comparison purposes. From these figures, it is evident that com_CD performs the best under both and SCAD penalties as expected, except for the cliques model with under the SCAD penalty. Unsurprisingly, sub_CD performs the worst in almost all settings, apart from the cliques model with and under the SCAD penalty. Compared to ApEM, MCEM yields slightly better results, with the exception of the cliques model with . In general, the SCAD penalty outperforms the penalty except in the case when , and the performance of all methods improves as the sample size increases.
Figure 5 and Figure 6 present the line charts of the average norm, the average Frobenius norm and average KL divergence, for high-dimensional settings with under the penalty. When , MCEM runs slightly better than ApEM. For the settings with and , MCEM and ApEM perform similarly.
Furthermore, the average CPU times in seconds and the average number of iterations for the cliques model and moving average model with the penalty under low-dimensional settings are presented in Table A1 and Table A2, respectively, highlighting a significant advantage of MCEM over ApEM in terms of the computational efficiency. From Table A3, we observe that for the cliques model with the penalty under high-dimensional settings, all algorithms, particularly ApEM and MCEM, are computationally expensive. The reason is that the number of EM iterations required for the given smallest shrinkage parameter is high, causing the EM algorithm to call the CD algorithm many times, which leads to a substantial computational burden.
3.3. Cell Signalling Dataset Under Artificial Censoring
In this subsection, we assess the performance of L1_ApEM and L1_MCEM using real biological data that were used in [15] for sparse covariance matrix estimation. The data consist of flow cytometry measurements of the concentrations of proteins in cells [39]. Despite the data being fully observed, we apply our methods to the datasets where observations are made artificially left-censored, similarly to [31]. Two datasets are generated with varying degrees of left censoring by designating the top 10% and 30% of the lowest values as missing.
To assess L1_ApEM and L1_MCEM, we compare them with several imputation methods, such as k-nearest neighbor imputation (denoted as L1_missknn), random forest imputation (denoted as L1_missforest), half of censored value imputation (denoted as L1_half), column mean imputation (denoted as L1_colmean) and lower limit of detection as censored value (denoted as L1_sub_CD). All these techniques start by imputing censored values and then utilize the CD algorithm to obtain the penalized estimation of the covariance matrix. The obtained estimated covariance matrix is denoted by by some imputation method, L1_ApEM or L1_MCEM. We also use the CD algorithm on the complete data without censoring and obtain . We compute the metric norm , Frobenius norm , and KL divergence .
Table 1 shows average metrics for L1_ApEM, L1_MCEM, L1_sub_CD, L1_half, L1_colmean, L1_missknn and L1_missforest under varying degrees of censoring. It can be seen from Table 1 that L1_ApEM and L1_MCEM outperform all imputation methods. The performance of all methods decreases as degree of censoring increases.
Table 1.
Average norm, Frobenius norm and KL divergence of L1_ApEM, L1_MCEM, L1_sub_CD, L1_half, L1_colmean, L1_missforest and L1_missknn under various degrees of censoring (0.1 and 0.3).
4. Application to Proteomic Datasets
In this section, we will apply L1_ApEM and L1_MCEM to analyze the proteomics dataset in the R package ‘imputeLCMD’ [40]. The data contain three biological replicates and three technical replicates each of Conditioned Medium (CM) and Whole Cell Lysate (WCL) for the C8-D1A cell line. The dataset was processed using MaxQuant for iBAQ protein intensities. It includes 18 iBAQ protein intensities for 7396 proteins, where each iBAQ protein intensity has a left-censored loss ratio of more than 10%. The data were log-transformed in our analysis.
We compare L1_ApEM and L1_MCEM with the imputation methods used in the previous section. The imputation methods start by estimating censored values and then utilize the CD algorithm to obtain the penalized estimator of the covariance matrix. Then, we calculate the correlation coefficient matrices from the estimated covariance matrices, and sample correlation matrix using sample data. We present heat maps of correlation matrices in Figure 7. From Figure 7, we can see that both L1_ApEM and L1_MCEM result in a sensible sparsity pattern, as they not only preserve the relationships between variables with strong correlations but also yield sparse estimates for variables with weak correlations. The heat map obtained by our method is clustered into two blocks, indicating a stronger correlation between the first nine variables, which are the iBAQ values of proteins secreted by the cell into its external environment, and the last nine variables, which are the iBAQ values of all proteins inside the cell.
Figure 7.
Heat maps of correlation coefficient matrices estimated by L1_ApEM, L1_MCEM, L1_missforest, L1_missknn, L1_half, L1_colmean, L1_sub_CD and sample correlations for proteomic dataset.
5. Conclusions
In this paper, we proposed ApEM and MCEM under the penalty and the SCAD penalty for estimating sparse covariance matrices in the multivariate normal model with left-censored data due to detection limits. Simulation studies reveal that ApEM and MCEM outperform imputation methods, regardless of whether the penalty or the SCAD penalty is used, and that the estimates obtained by SCAD penalization generally outperform those obtained by the penalty in most cases. Furthermore, we analyze cell signaling and proteomic datasets, demonstrating the advantages of ApEM and MCEM over imputation methods for estimating sparse covariance matrices.
As shown in Wu [41] and Chapter 3 of McLachlan and Krishnan [42], under mild conditions, every limit point of the sequences generated by EM converges to a local maximum rather than a global maximum. Thus, the global convergence of ApEM and MCEM cannot be guaranteed, as they are proposed based on the EM framework. Since different initial values may result in different estimated covariance matrices , we compared the performance of two initialization strategies. One strategy uses the sample covariance matrix calculated from the dataset, where censored values are substituted by the censoring value vector, while the other uses a diagonal matrix with diagonal elements derived from the first strategy. The simulation results display that these two strategies yield similar average norm, average Frobenius norm and average divergence across all four methods under the penalty, including ApEM, MCEM, sub_CD and com_CD. This suggests that the two initialization strategies have little impact on the performance. Due to time constraints, further simulations related to initialization will be conducted in future research.
The current study can also be extended in the following directions. First, the M-steps of the proposed ApEM and MCEM algorithms are computationally expensive for high-dimensional settings, especially the settings with small sample size, so we will try a more efficient algorithm, such as the proximal distance algorithm proposed by Xu and Lange [17], to reduce the computational burden. We also will consider the penalty using the extended Bayesian information criteria as in [18] to eliminate the need for hyper-parameter tuning to speed up computation. Second, we will try a non-convex penalty such as minimax concave penalty (MCP) to reduce the estimation bias of penalty, as discussed by Wei and Zhao [13]. Third, it is of interest to further study the consistency for the proposed penalized log-likelihood estimator under technical assumptions. Fourth, estimating a sparse covariance matrix without assuming a normal distribution is interesting, since the normal distribution assumption may not be satisfied for some censored datasets.
Author Contributions
Conceptualization, P.-F.X., S.L. and M.-L.T.; methodology, S.L., Q.-Z.Z., L.S. and P.-F.X.; software, S.L. and L.S.; writing—original draft preparation, P.-F.X. and S.L.; writing—review and editing, S.L., Q.-Z.Z., L.S., P.-F.X. and M.-L.T.; funding acquisition, P.-F.X. All authors have read and agreed to the published version of the manuscript.
Funding
The research of Ping-Feng Xu was supported by the National Social Science Fund of China (No. 23BTJ062).
Data Availability Statement
Data are available upon request to the authors.
Conflicts of Interest
The authors declare no conflicts of interest.
Appendix A
Table A1, Table A2 and Table A3 show the average CPU times (in seconds) for the E-step and M-step, the total average CPU time (in seconds), and the average number of iterations for both the L1_ApEM and L1_MCEM methods and the average CPU times (in seconds) for the L1_com_CD and L1_sub_CD algorithms. Overall, the CPU time increases with the number of variables p, the sample size n, and the percentage of censoring c. L1_MCEM runs faster than L1_ApEM in E-step in all the settings.
Table A1.
Average CPU time (in seconds) of E-step and M-step, average CPU time in total and average number of iterations for cliques model with penalty under low-dimensional settings.
Table A1.
Average CPU time (in seconds) of E-step and M-step, average CPU time in total and average number of iterations for cliques model with penalty under low-dimensional settings.
| c = 0.1 | c = 0.3 | |||||||||
|---|---|---|---|---|---|---|---|---|---|---|
| E-Step | M-Step | Total | iter | E-Step | M-Step | Total | iter | |||
| p = 30 | n = 200 | L1_ApEM | 18.58 | 0.26 | 18.85 | 3.72 | 71.78 | 0.41 | 72.21 | 7.00 |
| L1_MCEM | 6.16 | 0.25 | 6.45 | 3.58 | 20.36 | 0.43 | 20.84 | 7.15 | ||
| L1_sub_CD | 0.35 | 0.33 | ||||||||
| L1_com_CD | 0.33 | 0.33 | ||||||||
| n = 500 | L1_ApEM | 44.42 | 0.22 | 44.66 | 3.02 | 172.96 | 0.33 | 173.32 | 6.50 | |
| L1_MCEM | 14.31 | 0.22 | 14.70 | 3.20 | 46.28 | 0.39 | 46.84 | 5.95 | ||
| L1_sub_CD | 0.34 | 0.33 | ||||||||
| L1_com_CD | 0.33 | 0.32 | ||||||||
| n = 1000 | L1_ApEM | 88.54 | 0.24 | 88.81 | 3.00 | 343.98 | 0.33 | 344.35 | 6.35 | |
| L1_MCEM | 27.55 | 0.23 | 28.09 | 3.02 | 89.53 | 0.40 | 90.21 | 6.35 | ||
| L1_sub_CD | 0.33 | 0.30 | ||||||||
| L1_com_CD | 0.33 | 0.31 | ||||||||
| p = 100 | n = 200 | L1_ApEM | 43.34 | 17.56 | 61.01 | 4.00 | 187.14 | 31.11 | 218.46 | 11.00 |
| L1_MCEM | 21.01 | 17.24 | 38.64 | 3.98 | 60.08 | 25.88 | 86.39 | 6.75 | ||
| L1_sub_CD | 18.48 | 24.61 | ||||||||
| L1_com_CD | 23.93 | 23.49 | ||||||||
| n = 500 | L1_ApEM | 107.28 | 9.26 | 116.69 | 4.00 | 440.50 | 16.14 | 456.86 | 7.00 | |
| L1_MCEM | 49.24 | 8.92 | 59.17 | 3.72 | 121.94 | 16.51 | 139.50 | 7.25 | ||
| L1_sub_CD | 16.46 | 14.27 | ||||||||
| L1_com_CD | 12.25 | 11.94 | ||||||||
| n = 1000 | L1_ApEM | 212.09 | 9.01 | 221.33 | 3.98 | 860.64 | 14.79 | 875.71 | 7.00 | |
| L1_MCEM | 86.89 | 7.57 | 95.87 | 3.14 | 228.27 | 15.79 | 245.57 | 6.75 | ||
| L1_sub_CD | 12.71 | 13.15 | ||||||||
| L1_com_CD | 11.94 | 11.92 | ||||||||
Table A2.
Average CPU time (in seconds) of E-step and M-step, average CPU time in total and average number of iterations for moving average model with penalty under low-dimensional settings.
Table A2.
Average CPU time (in seconds) of E-step and M-step, average CPU time in total and average number of iterations for moving average model with penalty under low-dimensional settings.
| c = 0.1 | c = 0.3 | |||||||||
|---|---|---|---|---|---|---|---|---|---|---|
| E-Step | M-Step | Total | iter | E-Step | M-Step | Total | iter | |||
| p = 30 | n = 200 | L1_ApEM | 14.59 | 0.18 | 14.79 | 3.08 | 62.09 | 0.31 | 62.42 | 6.25 |
| L1_MCEM | 5.54 | 0.21 | 5.79 | 3.54 | 21.81 | 0.39 | 22.24 | 6.45 | ||
| L1_sub_CD | 0.29 | 0.30 | ||||||||
| L1_com_CD | 0.28 | 0.28 | ||||||||
| n = 500 | L1_ApEM | 36.09 | 0.17 | 36.27 | 3.00 | 149.25 | 0.31 | 149.57 | 6.00 | |
| L1_MCEM | 12.98 | 0.18 | 13.31 | 3.10 | 50.66 | 0.34 | 51.15 | 6.10 | ||
| L1_sub_CD | 0.25 | 0.29 | ||||||||
| L1_com_CD | 0.25 | 0.28 | ||||||||
| n = 1000 | L1_ApEM | 70.72 | 0.16 | 70.90 | 3.00 | 296.08 | 0.28 | 296.38 | 6.00 | |
| L1_MCEM | 24.62 | 0.17 | 25.08 | 3.10 | 99.67 | 0.34 | 100.30 | 6.00 | ||
| L1_sub_CD | 0.26 | 0.26 | ||||||||
| L1_com_CD | 0.25 | 0.25 | ||||||||
| p = 100 | n = 200 | L1_ApEM | 43.32 | 45.07 | 88.50 | 4.00 | 187.35 | 66.16 | 253.69 | 7.40 |
| L1_MCEM | 20.03 | 49.82 | 70.22 | 4.18 | 106.78 | 92.13 | 199.34 | 10.40 | ||
| L1_sub_CD | 64.71 | 85.31 | ||||||||
| L1_com_CD | 59.13 | 58.58 | ||||||||
| n = 500 | L1_ApEM | 85.26 | 14.31 | 99.72 | 3.08 | 379.60 | 27.41 | 407.22 | 6.00 | |
| L1_MCEM | 43.73 | 16.41 | 61.13 | 3.30 | 184.79 | 30.94 | 216.82 | 6.25 | ||
| L1_sub_CD | 23.80 | 31.77 | ||||||||
| L1_com_CD | 23.56 | 23.28 | ||||||||
| n = 1000 | L1_ApEM | 160.32 | 13.98 | 174.51 | 3.00 | 766.09 | 25.91 | 792.26 | 6.00 | |
| L1_MCEM | 78.11 | 14.89 | 94.38 | 3.04 | 343.23 | 29.75 | 374.44 | 6.10 | ||
| L1_sub_CD | 23.89 | 24.15 | ||||||||
| L1_com_CD | 23.49 | 23.57 | ||||||||
Table A3.
Average CPU time (in seconds) of E-step and M-step, average CPU time in total and average number of iterations for cliques model with penalty under high-dimensional settings.
Table A3.
Average CPU time (in seconds) of E-step and M-step, average CPU time in total and average number of iterations for cliques model with penalty under high-dimensional settings.
| c = 0.1 | ||||||
|---|---|---|---|---|---|---|
| E-Step | M-Step | Total | iter | |||
| p = 100 | n = 50 | L1_ApEM | 92.20 | 230,702.07 | 230,795.24 | 5.70 |
| L1_MCEM | 18.74 | 18,491.17 | 18,510.35 | 4.70 | ||
| L1_sub_CD | 1916.47 | |||||
| L1_com_CD | 832.07 | |||||
| n = 100 | L1_ApEM | 23.26 | 187.76 | 211.14 | 4.00 | |
| L1_MCEM | 12.04 | 348.34 | 360.73 | 4.10 | ||
| L1_sub_CD | 465.46 | |||||
| L1_com_CD | 369.12 | |||||
| p = 200 | n = 100 | L1_ApEM | 86.25 | 370,653.01 | 370,740.91 | 4.10 |
| L1_MCEM | 28.25 | 22,842.59 | 22,872.19 | 4.10 | ||
| L1_sub_CD | 2010.41 | |||||
| L1_com_CD | 525.93 | |||||
References
- Li, D. Estimation of large dynamic covariance matrices: A selective review. Econom. Stat. 2024, 29, 16–30. [Google Scholar] [CrossRef]
- Johansson, K.; Ogut, M.G.; Pelger, M.; Schmelzer, T.; Boyd, S. A simple method for predicting covariance matrices of financial returns. Found. Trends® Econom. 2023, 12, 324–407. [Google Scholar] [CrossRef]
- Kuismin, M.O.; Sillanpää, M.J. Estimation of covariance and precision matrix, network structure, and a view toward systems biology. Wiley Interdiscip. Rev. Comput. Stat. 2017, 9, e1415. [Google Scholar] [CrossRef]
- Shen, H.W.; Cheng, X.Q.; Fang, B.X. Covariance, correlation matrix, and the multiscale community structure of networks. Phys. Rev. E—Stat. Nonlinear Soft Matter Phys. 2010, 82, 016114. [Google Scholar] [CrossRef]
- Bickel, P.J.; Levina, E. Regularized estimation of large covariance matrices. Ann. Stat. 2008, 36, 199–227. [Google Scholar] [CrossRef]
- Cai, T.T.; Zhang, C.H.; Zhou, H.H. Optimal rates of convergence for covariance matrix estimation. Ann. Stat. 2010, 38, 2118–2144. [Google Scholar] [CrossRef]
- Ollila, E.; Breloy, A. Regularized tapered sample covariance matrix. IEEE Trans. Signal Process. 2022, 70, 2306–2320. [Google Scholar] [CrossRef]
- Bickel, P.J.; Levina, E. Covariance regularization by thresholding. Ann. Stat. 2008, 36, 2577–2604. [Google Scholar] [CrossRef] [PubMed]
- Rothman, A.J.; Levina, E.; Zhu, J. Generalized thresholding of large covariance matrices. J. Am. Stat. Assoc. 2009, 104, 177–186. [Google Scholar] [CrossRef]
- Cai, T.; Liu, W. Adaptive thresholding for sparse covariance matrix estimation. J. Am. Stat. Assoc. 2011, 106, 672–684. [Google Scholar] [CrossRef]
- Rothman, A.J. Positive definite estimators of large covariance matrices. Biometrika 2012, 99, 733–740. [Google Scholar] [CrossRef]
- Xue, L.; Ma, S.; Zou, H. Positive-definite l1-penalized estimation of large covariance matrices. J. Am. Stat. Assoc. 2012, 107, 1480–1491. [Google Scholar] [CrossRef]
- Wei, Q.; Zhao, Z. Large covariance matrix estimation with oracle statistical rate via majorization-minimization. IEEE Trans. Signal Process. 2023, 71, 3328–3342. [Google Scholar] [CrossRef]
- Wang, X.; Kong, L.; Wang, L. Estimation of sparse covariance matrix via non-convex regularization. J. Multivar. Anal. 2024, 202, 105294. [Google Scholar] [CrossRef]
- Bien, J.; Tibshirani, R.J. Sparse estimation of a covariance matrix. Biometrika 2011, 98, 807–820. [Google Scholar] [CrossRef]
- Wang, H. Coordinate descent algorithm for covariance graphical lasso. Stat. Comput. 2014, 24, 521–529. [Google Scholar] [CrossRef]
- Xu, J.; Lange, K. A proximal distance algorithm for likelihood-based sparse covariance estimation. Biometrika 2022, 109, 1047–1066. [Google Scholar] [CrossRef]
- Fatima, G.; Stoica, P.; Babu, P. L0 penalized maximum likelihood estimation ofsparse covariance matrices. IEEE Signal Process. Lett. 2024, 32, 66–70. [Google Scholar] [CrossRef]
- Fatima, G.; Babu, P.; Stoica, P. Two new algorithms for maximum likelihood estimation of sparse covariance matrices with applications to graphical modeling. IEEE Trans. Signal Process. 2024, 72, 958–971. [Google Scholar] [CrossRef]
- Sung, B.; Lee, J. Covariance structure estimation with Laplace approximation. J. Multivar. Anal. 2023, 198, 105225. [Google Scholar] [CrossRef]
- Lubin, J.H.; Colt, J.S.; Camann, D.; Davis, S.; Cerhan, J.R.; Severson, R.K.; Bernstein, L.; Hartge, P. Epidemiologic evaluation of measurement data in the presence of detection limits. Environ. Health Perspect. 2004, 112, 1691–1696. [Google Scholar] [CrossRef] [PubMed]
- Wei, R.; Wang, J.; Jia, E.; Chen, T.; Ni, Y.; Jia, W. GSimp: A Gibbs sampler based left-censored missing value imputation approach for metabolomics studies. PLoS Comput. Biol. 2018, 14, e1005973. [Google Scholar] [CrossRef]
- Shoari, N.; Dube, J.S. Estimating the mean and standard deviation of environmental data with below detection limit observations: Considering highly skewed data and model misspecification. Chemosphere 2015, 138, 599–608. [Google Scholar] [CrossRef] [PubMed]
- Mohammed, R.A.M.; Brooks, S.C.; Tsai, C.H.; Ahmed, T.; Rucker, D.F.; Ulery, A.; Pierce, E.; Carroll, K.C. Geostatistical interpolation of streambed hydrologic attributes with addition of left censored data and anisotropy. J. Hydrol. 2021, 599, 126474. [Google Scholar] [CrossRef]
- Hoffman, H.J.; Johnson, R.E. Pseudo-likelihood estimation of multivariate normal parameters in the presence of left-censored data. J. Agric. Biol. Environ. Stat. 2015, 20, 156–171. [Google Scholar] [CrossRef]
- Jones, M.P.; Perry, S.S.; Thorne, P.S. Maximum pairwise pseudo-likelihood estimation of the covariance matrix from left-censored data. J. Agric. Biol. Environ. Stat. 2015, 20, 83–99. [Google Scholar] [CrossRef]
- Pesonen, M.; Pesonen, H.; Nevalainen, J. Covariance matrix estimation for left-censored data. Comput. Stat. Data Anal. 2015, 92, 13–25. [Google Scholar] [CrossRef]
- Dempster, A.P.; Laird, N.M.; Rubin, D.B. Maximum likelihood from incomplete data via the EM algorithm. J. R. Stat. Soc. Ser. B (Methodol.) 1977, 39, 1–22. [Google Scholar] [CrossRef]
- Zou, H.; Li, R. One-step sparse estimates in nonconcave penalized likelihood models. Ann. Stat. 2008, 36, 1509. [Google Scholar] [PubMed]
- Little, R.J.A.; Rubin, D.B. Statistical Analysis with Missing Data, 3rd ed.; John Wiley & Sons: Hoboken, NJ, USA, 2019. [Google Scholar]
- Augugliaro, L.; Abbruzzo, A.; Vinciotti, V. ℓ1-penalized censored Gaussian graphical model. Biostatistics 2020, 21, e1–e16. [Google Scholar]
- Fan, J.; Li, R. Variable selection via nonconcave penalized likelihood and its oracle properties. J. Am. Stat. Assoc. 2001, 96, 1348–1360. [Google Scholar] [CrossRef]
- Lee, G.; Scott, C. EM algorithms for multivariate Gaussian mixture models with truncated and censored data. Comput. Stat. Data Anal. 2012, 56, 2816–2829. [Google Scholar] [CrossRef]
- Lee, L.F. On the first and second moments of the truncated multi-normal distribution and a simple estimator. Econ. Lett. 1979, 3, 165–169. [Google Scholar] [CrossRef]
- Guo, J.; Levina, E.; Michailidis, G.; Zhu, J. Graphical models for ordinal data. J. Comput. Graph. Stat. 2015, 1, 183–204. [Google Scholar] [CrossRef]
- Horrace, W.C. Some results on the multivariate truncated normal distribution. J. Multivar. Anal. 2005, 94, 209–221. [Google Scholar] [CrossRef]
- Johnson, N.L.; Kotz, S.; Balakrishnan, N. Continuous Univariate Distributions, 2nd ed.; John Wiley & Sons: Hoboken, NJ, USA, 1994. [Google Scholar]
- Wei, G.C.; Tanner, M.A. A Monte Carlo implementation of the EM algorithm and the poor man’s data augmentation algorithms. J. Am. Stat. Assoc. 1990, 85, 699–704. [Google Scholar] [CrossRef]
- Sachs, K.; Perez, O.; Pe’er, D.; Lauffenburger, D.A.; Nolan, G.P. Causal protein-signaling networks derived from multiparameter single-cell data. Science 2005, 308, 523–529. [Google Scholar] [CrossRef] [PubMed]
- Lazar, C.; Burger, T. imputeLCMD: A Collection of Methods for Left-Censored Missing Data Imputation. R Package Version 2.1. 2022. Available online: https://cran.r-project.org/web/packages/imputeLCMD/imputeLCMD.pdf (accessed on 10 June 2022).
- Wu, C.F.J. On the convergence properties of the EM algorithm. Ann. Stat. 1983, 11, 95–103. [Google Scholar] [CrossRef]
- McLachlan, G.J.; Krishnan, T. The EM Algorithm and Extensions; John Wiley & Sons: Hoboken, NJ, USA, 2007. [Google Scholar]
Disclaimer/Publisher’s Note: The statements, opinions and data contained in all publications are solely those of the individual author(s) and contributor(s) and not of MDPI and/or the editor(s). MDPI and/or the editor(s) disclaim responsibility for any injury to people or property resulting from any ideas, methods, instructions or products referred to in the content. |
© 2025 by the authors. Licensee MDPI, Basel, Switzerland. This article is an open access article distributed under the terms and conditions of the Creative Commons Attribution (CC BY) license (https://creativecommons.org/licenses/by/4.0/).






