Research on Data Product Operation Strategies Considering Dynamic Data Updates Under Different Power Structures
Abstract
1. Introduction
2. Literature Review
- (1)
- Although prior studies on data product pricing have proposed a variety of pricing models based on static quality attributes, privacy considerations, and model contribution, they largely conceptualize data products as static, one-off, or stage-based deliverables and offer limited systematic analysis of dynamic updating behaviors or lifecycle-based cost structures. While a few studies incorporate dynamic assessment or credit-based game-theoretic approaches [26], these efforts continue to focus primarily on price adjustments rather than on the interplay among updating activities, quality investment, and promotional decisions. Promotional expenditure is often subsumed under broader platform operations and seldom treated as an explicit strategic variable in formal models. By contrast, the present study explicitly incorporates updating investment, quality investment, and promotional investment as strategic variables for both data product manufacturers and data product service providers, and examines—within a unified analytical framework—how these decisions jointly shape demand, pricing outcomes, and profit distributions. This approach helps address the literature’s insufficient treatment of the integrated and interdependent nature of operational decision-making.
- (2)
- Although supply-chain and platform game studies frequently employ Stackelberg and Nash frameworks to analyze pricing behavior [30,31,38], they often assume a single dominant supplier or simplify the supply side into a data owner–platform dyad, thereby overlooking the bargaining-power disparities that characterize real interactions between data product manufacturers and data product service providers. Existing analyses of power structures typically rely on coarse distinctions between upstream and downstream dominance and rarely incorporate the distinctive attributes of data products—such as updating costs and joint quality–promotion investments—into systematic comparative analyses. This study differentiates among three canonical power configurations: a Nash setting with balanced power between the data product manufacturer and the data product service provider, a manufacturer-led Stackelberg structure, and a service-provider-led Stackelberg structure. It then examines how optimal pricing and investment decisions shift as the underlying power structure changes. Through this comparative approach, the analysis demonstrates how differing power configurations reshape operational strategies and market outcomes for data products, thereby filling an important gap in the existing literature.
- (3)
- Studies on privacy preferences and incentive mechanisms demonstrate that users’ subjective trade-offs between privacy risks and economic compensation play a critical role in determining their willingness to participate in data transactions [27,28,36]. However, because data products are virtual, time-sensitive, and highly context dependent, end users generally cannot accurately evaluate their true utility prior to purchase, creating systematic gaps between perceived and actual value. Existing models typically treat user utility and preference parameters as fixed, an assumption that obscures the inherent “value uncertainty” of data products and leaves unexamined the complex interactions among quality-perception bias, promotional persuasion, and pricing effects. To address this limitation, the present study introduces an explicit parameter for perceived value uncertainty into the end-user utility formulation. It further distinguishes user preferences for quality and promotion and embeds these preferences as core determinants of data product demand. The analysis then investigates how data product manufacturers and service providers—under different power structures—strategically adjust quality and promotional investments to counteract perception bias and improve market outcomes. This approach expands the behavioral foundation of existing pricing models and enhances their applicability to more realistic market environments.
3. Model Description and Assumptions
3.1. Model Description
3.2. Model Assumptions and Parameter Setup
4. Solution and Analysis of the Model
4.1. Nash Game Under Power Equilibrium
4.2. Stackelberg Game Led by Data Product Manufacturers
4.3. Stackelberg Game Led by Data Product Service Providers
5. Properties and Comparative Analysis of Equilibrium Results
5.1. Analysis of the Properties of Equilibrium Solutions
5.2. Comparative Analysis of Equilibrium Solutions
6. Numerical Simulation
6.1. Parameter Setup
6.2. Sensitivity Analysis
6.3. Impact of Parameters on Data Product Pricing
6.4. Impact of Parameters on the Update Rate of Data Products
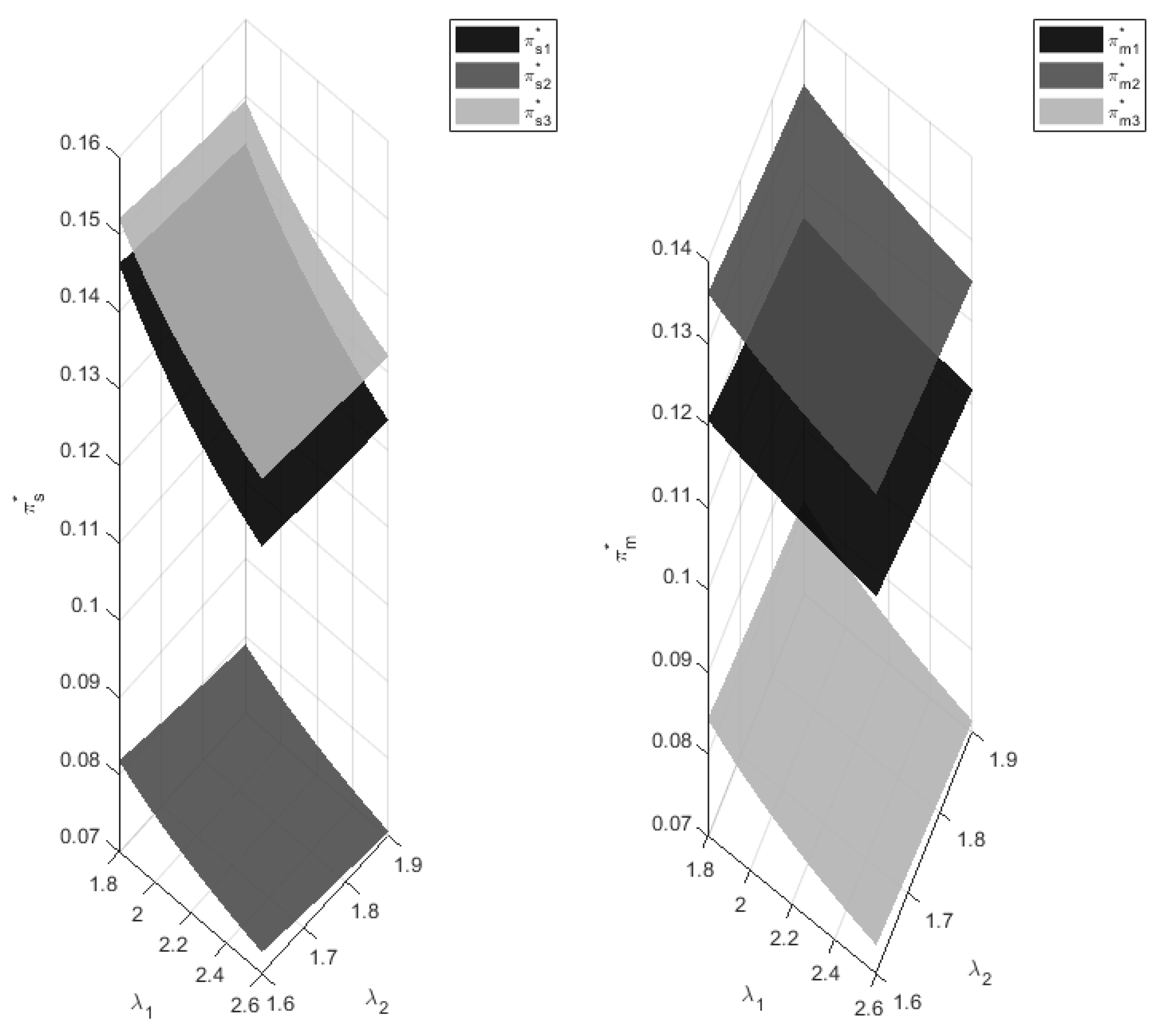
6.5. Impact of Parameters on the Profits of Data Product Manufacturers and Service Providers
7. Conclusions and Managerial Insights
7.1. Conclusions
- (1)
- The optimal pricing of data products is higher in the Stackelberg game than in the Nash game, while in the Nash game, the demand for data products, the optimal technology investment level of data product manufacturers, the optimal update rate, and the optimal promotional efforts of data product service providers are all higher than in the Stackelberg game. In both Stackelberg game scenarios, the magnitude of data product demand, technology investment levels, update rates, and promotional efforts are also influenced by the sign of the formula . When the formula value is greater than 0, in the Stackelberg game led by data product service providers, the demand for data products, technology investment levels, update rates, and promotional efforts are all greater than in the Stackelberg game led by data product manufacturers; When the formula value is less than 0, the above variables perform better in the Stackelberg game led by data product manufacturers.
- (2)
- The demand preferences and cost coefficients have a significant impact on the profits of data product manufacturers and service providers under different market power structures. An increase in the quality preference and promotion preference of data product end-users has enhanced the profits of both data product manufacturers and service providers, particularly in Stackelberg games, where these preferences have a more significant driving effect on the profits of the leading player. The increase in the technology cost coefficient of data product manufacturers and the promotion cost coefficient of service providers negatively impacts the profits of both parties. In markets led by data product manufacturers, the profits of data product service providers decrease more significantly due to the pressure from promotion costs; Whereas in markets led by data product service providers, the limited technology investment by data product manufacturers results in a larger decrease in their profits.
- (3)
- The dynamic updates of data products and the perceived value by end-users play a key role in the operational strategies and profit levels of data product manufacturers and service providers. The cost savings during the dynamic update process of data products significantly reduce the update pressure on manufacturers, further enhancing their technical optimization capacity, while indirectly improving the promotional capability and profit levels of data product service providers through cost savings. The increase in perceived value by end-users effectively reduces their uncertainty, enhances market acceptance, and drives demand expansion, thereby providing a driving force for profit growth of both data product manufacturers and service providers. In contrast, the increase in the data product update input cost coefficient and data collection prices not only suppresses the technological investment and update strategies of data product manufacturers but also limits the flexibility of data product service providers in market promotion, ultimately imposing a significant constraint on the profits of both parties.
7.2. Managerial Insights
- (1)
- For the data product manufacturer, sustained improvements in technological optimization and dynamic updating efficiency are critical for strengthening quality advantages and consolidating market competitiveness. Within a manufacturer-led market structure, the manufacturer should optimize the allocation of quality investment by enhancing accuracy, coverage, and updating frequency to meet users’ demand for high-quality and timely data, thereby strengthening its bargaining position. The manufacturer should also refine its cost structure by identifying cost-saving opportunities in the updating process—for example, through automated data collection and cleaning or more efficient data feedback mechanisms—to reduce updating-cost coefficients and data acquisition expenses. This alleviates cost pressures and frees resources for continued R&D and market expansion. In a service provider-led market structure, the manufacturer should adapt to promotion-oriented dynamics by collaborating closely with the service provider to establish joint product-iteration mechanisms, allowing quality investment and promotional effort to become complementary and improving the product’s responsiveness to user preferences and market demand elasticity.
- (2)
- For the data product service provider, careful refinement of promotional strategies and efficient allocation of promotional resources are essential for strengthening demand formation and market penetration. In a service provider-led market structure, the service provider should exploit its strengths in channel coverage, user access, and scenario building by optimizing promotional allocation, improving content quality, and expanding potential user reach to effectively stimulate demand. When users exhibit strong promotion preferences, the service provider should appropriately intensify promotional efforts through case demonstrations, trial access, and scenario-based presentations to strengthen user awareness. In highly price-sensitive markets, the service provider should employ differentiated promotional strategies and refined operations to reduce marginal promotional costs and preserve the cost–benefit efficiency of promotional spending. The service provider should also strengthen product interpretability during promotion to reduce users’ perceived value uncertainty, thereby improving market acceptance and expanding demand. In a manufacturer-led structure, the service provider must align promotional activities with the manufacturer’s technological enhancement strategies and strengthen coordination to improve the technology–promotion fit, thereby jointly enhancing market competitiveness and transaction efficiency.
- (3)
- At the policy level, regulators should strengthen the functioning of data product markets along three dimensions: market governance, cost-relief mechanisms, and improvements in user cognition. First, regulators should develop clear standards for data product quality, updating frequency, and data-processing transparency. By setting minimum quality thresholds, periodic updating requirements, and disclosure rules, policymakers can enhance transparency, reduce perceived value uncertainty, and support demand formation. Second, by investing in public data infrastructures, shared computing capacity, and unified governance tools, the government can reduce updating costs for data product manufacturers and mitigate the profit squeeze associated with higher updating-cost coefficients and data-acquisition expenses. In addition, fiscal subsidies, tax incentives, and pilot programs that support promotional activities can meaningfully reduce promotional costs for data product service providers and accelerate demand formation. Moreover, the government should introduce certification systems, risk-assessment frameworks, and credit-based regulatory mechanisms to improve market trust and strengthen transaction efficiency. Collectively, these institutional interventions help optimize market cost structures, strengthen user trust and understanding, and establish the institutional foundations necessary for the sound development of data-factor markets.
7.3. Limitations and Prospects
Author Contributions
Funding
Data Availability Statement
Acknowledgments
Conflicts of Interest
Appendix A
Appendix A.1. Nash Game Under Power Equilibrium
Appendix A.2. Stackelberg Game Led by DPM
Appendix B
Appendix C
| Parameter | Change Rate | Equilibrium Solution | |||||||
|---|---|---|---|---|---|---|---|---|---|
| −20% | 0.4766 | 0.6572 | 0.1232 | 0.1003 | 0.4064 | 0.0406 | 0.0559 | 0.0643 | |
| −10% | 0.5147 | 0.7344 | 0.1498 | 0.1220 | 0.4943 | 0.0494 | 0.0827 | 0.0952 | |
| 0 | 0.5529 | 0.8116 | 0.1764 | 0.1437 | 0.5822 | 0.0582 | 0.1147 | 0.1320 | |
| +10% | 0.5911 | 0.8889 | 0.2030 | 0.1654 | 0.6700 | 0.0670 | 0.1519 | 0.1749 | |
| +20% | 0.6293 | 0.9661 | 0.2297 | 0.1871 | 0.7579 | 0.0758 | 0.1944 | 0.2238 | |
| −20% | 0.6784 | 1.0637 | 0.2627 | 0.2141 | 0.6935 | 0.0694 | 0.1889 | 0.2260 | |
| −10% | 0.6062 | 0.9187 | 0.2131 | 0.1736 | 0.6329 | 0.0633 | 0.1458 | 0.1706 | |
| 0 | 0.5529 | 0.8116 | 0.1764 | 0.1437 | 0.5822 | 0.0582 | 0.1147 | 0.1320 | |
| +10% | 0.5120 | 0.7293 | 0.1482 | 0.1208 | 0.5380 | 0.0538 | 0.0913 | 0.1038 | |
| +20% | 0.4795 | 0.6641 | 0.1258 | 0.1025 | 0.4982 | 0.0498 | 0.0733 | 0.0825 | |
| −20% | 0.5187 | 0.8038 | 0.1944 | 0.1584 | 0.6415 | 0.0641 | 0.1393 | 0.1603 | |
| −10% | 0.5358 | 0.8077 | 0.1854 | 0.1511 | 0.6118 | 0.0612 | 0.1267 | 0.1458 | |
| 0 | 0.5529 | 0.8116 | 0.1764 | 0.1437 | 0.5822 | 0.0582 | 0.1147 | 0.1320 | |
| +10% | 0.5700 | 0.8156 | 0.1674 | 0.1364 | 0.5525 | 0.0552 | 0.1033 | 0.1189 | |
| +20% | 0.5871 | 0.8195 | 0.1584 | 0.1291 | 0.5228 | 0.0523 | 0.0925 | 0.1065 | |
| −20% | 0.5359 | 0.7773 | 0.1317 | 0.1341 | 0.5431 | 0.0543 | 0.1106 | 0.1149 | |
| −10% | 0.5437 | 0.7929 | 0.1530 | 0.1385 | 0.5609 | 0.0561 | 0.1125 | 0.1226 | |
| 0 | 0.5529 | 0.8116 | 0.1764 | 0.1437 | 0.5822 | 0.0582 | 0.1147 | 0.1320 | |
| +10% | 0.5640 | 0.8340 | 0.2025 | 0.1500 | 0.6076 | 0.0608 | 0.1171 | 0.1438 | |
| +20% | 0.5773 | 0.8609 | 0.2321 | 0.1576 | 0.6382 | 0.0638 | 0.1198 | 0.1587 | |
| −20% | 0.5434 | 0.7924 | 0.1698 | 0.1107 | 0.5603 | 0.0560 | 0.1062 | 0.1285 | |
| −10% | 0.5478 | 0.8013 | 0.1728 | 0.1268 | 0.5704 | 0.0570 | 0.1101 | 0.1301 | |
| 0 | 0.5529 | 0.8116 | 0.1764 | 0.1437 | 0.5822 | 0.0582 | 0.1147 | 0.1320 | |
| +10% | 0.5588 | 0.8236 | 0.1805 | 0.1618 | 0.5957 | 0.0596 | 0.1201 | 0.1342 | |
| +20% | 0.5656 | 0.8373 | 0.1853 | 0.1811 | 0.6113 | 0.0611 | 0.1265 | 0.1366 | |
| −20% | 0.5662 | 0.8385 | 0.2321 | 0.1513 | 0.6127 | 0.0613 | 0.1176 | 0.1463 | |
| −10% | 0.5587 | 0.8233 | 0.2005 | 0.1470 | 0.5954 | 0.0595 | 0.1160 | 0.1381 | |
| 0 | 0.5529 | 0.8116 | 0.1764 | 0.1437 | 0.5822 | 0.0582 | 0.1147 | 0.1320 | |
| +10% | 0.5484 | 0.8025 | 0.1575 | 0.1412 | 0.5718 | 0.0572 | 0.1136 | 0.1274 | |
| +20% | 0.5448 | 0.7952 | 0.1423 | 0.1391 | 0.5634 | 0.0563 | 0.1128 | 0.1237 | |
| −20% | 0.5600 | 0.8259 | 0.1813 | 0.1847 | 0.5984 | 0.0598 | 0.1212 | 0.1346 | |
| −10% | 0.5560 | 0.8179 | 0.1786 | 0.1617 | 0.5893 | 0.0589 | 0.1175 | 0.1332 | |
| 0 | 0.5529 | 0.8116 | 0.1764 | 0.1437 | 0.5822 | 0.0582 | 0.1147 | 0.1320 | |
| +10% | 0.5504 | 0.8067 | 0.1747 | 0.1294 | 0.5765 | 0.0576 | 0.1125 | 0.1311 | |
| +20% | 0.5484 | 0.8026 | 0.1733 | 0.1177 | 0.5718 | 0.0572 | 0.1107 | 0.1304 | |
| −20% | 0.4907 | 0.6869 | 0.1672 | 0.1363 | 0.5519 | 0.0552 | 0.0760 | 0.0916 | |
| −10% | 0.5220 | 0.7498 | 0.1725 | 0.1406 | 0.5693 | 0.0569 | 0.0953 | 0.1119 | |
| 0 | 0.5529 | 0.8116 | 0.1764 | 0.1437 | 0.5822 | 0.0582 | 0.1147 | 0.1320 | |
| +10% | 0.5835 | 0.8729 | 0.1794 | 0.1462 | 0.5920 | 0.0592 | 0.1342 | 0.1521 | |
| +20% | 0.6139 | 0.9338 | 0.1818 | 0.1481 | 0.5998 | 0.0600 | 0.1537 | 0.1721 | |
| −20% | 0.5546 | 0.8120 | 0.1755 | 0.1430 | 0.5792 | 0.0405 | 0.1144 | 0.1307 | |
| −10% | 0.5538 | 0.8119 | 0.1759 | 0.1433 | 0.5806 | 0.0493 | 0.1145 | 0.1313 | |
| 0 | 0.5529 | 0.8116 | 0.1764 | 0.1437 | 0.5822 | 0.0582 | 0.1147 | 0.1320 | |
| +10% | 0.5518 | 0.8114 | 0.1770 | 0.1442 | 0.5840 | 0.0672 | 0.1149 | 0.1329 | |
| +20% | 0.5506 | 0.8111 | 0.1776 | 0.1447 | 0.5861 | 0.0762 | 0.1151 | 0.1338 | |
| −20% | 0.5521 | 0.8115 | 0.1768 | 0.1441 | 0.5836 | 0.0729 | 0.1148 | 0.1327 | |
| −10% | 0.5525 | 0.8116 | 0.1766 | 0.1439 | 0.5828 | 0.0648 | 0.1148 | 0.1323 | |
| 0 | 0.5529 | 0.8116 | 0.1764 | 0.1437 | 0.5822 | 0.0582 | 0.1147 | 0.1320 | |
| +10% | 0.5532 | 0.8117 | 0.1763 | 0.1436 | 0.5816 | 0.0529 | 0.1146 | 0.1318 | |
| +20% | 0.5535 | 0.8118 | 0.1761 | 0.1435 | 0.5812 | 0.0484 | 0.1146 | 0.1316 | |
| −20% | 0.5522 | 0.8115 | 0.1768 | 0.1440 | 0.5834 | 0.0642 | 0.1148 | 0.1326 | |
| −10% | 0.5526 | 0.8116 | 0.1766 | 0.1439 | 0.5827 | 0.0612 | 0.1148 | 0.1323 | |
| 0 | 0.5529 | 0.8116 | 0.1764 | 0.1437 | 0.5822 | 0.0582 | 0.1147 | 0.1320 | |
| +10% | 0.5532 | 0.8117 | 0.1762 | 0.1436 | 0.5816 | 0.0553 | 0.1146 | 0.1318 | |
| +20% | 0.5535 | 0.8118 | 0.1761 | 0.1435 | 0.5811 | 0.0523 | 0.1146 | 0.1315 | |
References
- Guo, X.X.; Li, Q.R.; Wang, H.Y. Analysis of Sampling Strategy for Data Product Trading under Perceived Value Uncertainty. Front. Sci. Technol. Eng. Manag. 2023, 42, 25–33. [Google Scholar]
- Li, S.X.; Wang, T.M.; Liu, X.L. Data Investment, data sharing, and data ownership allocation. Econ. Res. J. 2023, 58, 139–155. [Google Scholar]
- Xi, X.; Zhang, Y.L. Data investment and pricing decisions for online platforms considering data advantage. Chin. J. Manag. Sci. 2024, 32, 1–15. [Google Scholar] [CrossRef]
- Xu, X.; Zhang, Z.; Hu, Y. Research on Deriving Measures of Data Assets in National Accounts. J. Manag. World 2022, 38, 16–30+2. [Google Scholar] [CrossRef]
- Chen, H.M.; Zhao, X.Y.; Peng, J. Function Orientation and Service Innovation of Library on the Ecological Chain of Govern-ment’s Open Data. Libr. Work. Study 2018, 1, 5–11. [Google Scholar] [CrossRef]
- Xiong, Q.; Tang, K. Research Progress on the Right Delimitation, Exchange and Pricing of Data. Econ. Perspect. 2021, 2, 143–158. [Google Scholar]
- Li, X.M.; Zhao, X.L. Advances in Data Factor Pricing from the Perspective of Economics. Henan Soc. Sci. 2024, 32, 33–42. [Google Scholar]
- Shaodong, Z.; Liying, Y.; Ziyuan, Z. Photovoltaic supply chain and government subsidy decision-making based on China’s industrial distributed photovoltaic policy: A power perspective. J. Clean. Prod. 2023, 413, 137438. [Google Scholar] [CrossRef]
- Li, L.J.; Tang, H.Q.; Cheng, F. Research on Manufacturer Pricing and Financing Strategy Based on Market Power Structure under E-commerce Participation. Chin. J. Manag. Sci. 2022, 30, 1–9. [Google Scholar] [CrossRef]
- Chen, K.B.; Kong, Y.Q.; Lei, D. Pricing and Green Input Decisions of a Competitive Supply Chain with Consumers’ Product Preference and Different Channel Powers. Chin. J. Manag. Sci. 2023, 31, 1–10. [Google Scholar] [CrossRef]
- Cai, J.H.; Jiang, L.; Yang, M.Y.; Liu, X.; Chen, K. Green supply chain game models considering risk aversion under information asym-metry. Syst. Eng.-Theory Pract. 2023, 10, 1–23. [Google Scholar] [CrossRef]
- Zhang, R.; Liu, B.; Wang, W. Pricing decisions in a dual channels system with different power structures. Econ. Model. 2012, 29, 523–533. [Google Scholar] [CrossRef]
- Xiong, L.; Liu, M.M.; Xu, Z.R. Research on Data Products Pricing Mechanismin China-Analysis Based on Customer Perceived Value Theory. Price Theory Pract. 2018, 38, 147–150. [Google Scholar]
- Danah, B.; Kate, C. Six Provocations for Big Data. SSRN J. 2011. [Google Scholar] [CrossRef]
- Grunes, A.; Stucke, M. No Mistake About It: The Important Role of Antitrust in the Era of Big Data Antitrust Source, Online, University of Tennessee Legal Studies Research Paper No. 269. Available online: https://papers.ssrn.com/sol3/papers.cfm?abstract_id=2600051 (accessed on 28 April 2015).
- Li, X.; Li, K.J. Beating the Algorithm: Consumer Manipulation, Personalized Pricing, and Big Data Management. Manuf. Serv. Oper. Manag. 2023, 25, 36–49. [Google Scholar] [CrossRef]
- Zhang, M.; Beltran, F.; Liu, J. A Survey of Data Pricing for Data Marketplaces. IEEE Trans. Big Data 2023, 9, 1038–1056. [Google Scholar] [CrossRef]
- Liang, F.; Yu, W.; An, D.; Yang, Q.; Fu, X.; Zhao, W. A Survey on Big Data Market: Pricing, Trading and Protection. IEEE Access 2018, 6, 15132–15154. [Google Scholar] [CrossRef]
- Pei, J. A Survey on Data Pricing: From Economics to Data Science. IEEE Trans. Knowl. Data Eng. 2022, 34, 4586–4608. [Google Scholar] [CrossRef]
- Yu, J.; Cheung, M.H.; Huang, J.; Poor, H.V. Mobile Data Trading: Behavioral Economics Analysis and Algorithm Design. IEEE J. Sel. Areas Commun. 2017, 35, 994–1005. [Google Scholar] [CrossRef]
- Jing, W.J. Will Data Advantages Increase Platform Companies’ Pricing?—Model Derivation and Theoretical Analysis. Chin. J. Manag. Sci. 2021, 29, 227–237. [Google Scholar] [CrossRef]
- Wang, J.Z.; Zhang, X.Y.; Dou, Y.F.; Huang, L.H. Categorization and Pricing of Data as a Factor of Production: An Economic Model Approach. Manag. Rev. 2024, 36, 3–11. [Google Scholar] [CrossRef]
- Shen, Y.; Guo, B.; Shen, Y.; Duan, X.; Dong, X.; Zhang, H. A pricing model for Big Personal Data. Tsinghua Sci. Technol. 2016, 21, 82–90. [Google Scholar] [CrossRef]
- Yu, H.; Zhang, M. Data pricing strategy based on data quality. Comput. Ind. Eng. 2017, 112, 1–10. [Google Scholar] [CrossRef]
- Jia, R.; Dao, D.; Wang, B.; Hubis, F.A.; Gurel, N.M.; Li, B.; Zhang, C.; Spanos, C.; Hynes, M.J. Efficient Task-Specific Data Valuation for Nearest Neighbor Algorithms. arXiv 2019, arXiv:1908.08619. [Google Scholar] [CrossRef]
- Bin, Z.; Jiqun, Z.; Wei, C.; Bin, L.; Wenyin, Z.; Yilong, G. A dynamic evaluation model of data price based on game theory. Peer-to-Peer Netw. Appl. 2023, 16, 2073–2088. [Google Scholar] [CrossRef]
- Lu, Y.; Wang, J.; Liu, L.; Yang, H. Get by how much you pay: A novel data pricing scheme for data trading. Inf. Process. Manag. 2024, 61, 103849. [Google Scholar] [CrossRef]
- Liao, J.; Li, R. Establishing a two-way transaction pricing model of “platform-individual” co-creation data property rights. J. Innov. Knowl. 2023, 8, 100427. [Google Scholar] [CrossRef]
- Hendershott, T.; Rysman, M.; Schwabe, R. Stock exchanges as platforms for data and trading. J. Financ. Mark. 2025, 75, 100986. [Google Scholar] [CrossRef]
- Mei, L.; Li, W.; Nie, K. Pricing Decision Analysis for Information Services of the Internet of Things Based on Stackelberg Game. In LISS 2012; Zhang, Z., Zhang, R., Zhang, J., Eds.; Springer: Berlin/Heidelberg, Germany, 2013; pp. 1097–1104. [Google Scholar] [CrossRef]
- Liu, K.; Qiu, X.; Chen, W.; Chen, X.; Zheng, Z. Optimal Pricing Mechanism for Data Market in Blockchain-Enhanced Internet of Things. IEEE Internet Things J. 2019, 6, 748–761. [Google Scholar] [CrossRef]
- Xu, C.; Zhu, K.; Yi, C.; Wang, R. Data Pricing for Blockchain-based Car Sharing: A Stackelberg Game Approach. In Proceedings of the GLOBECOM 2020—2020 IEEE Global Communications Conference, Taipei, Taiwan, 7–11 December 2020; pp. 1–5. [Google Scholar] [CrossRef]
- Zhang, J.; Zhang, S.; Zhang, G.; Liao, G. A data trading scheme based on blockchain and game theory in federated learning. Expert Syst. Appl. 2025, 278, 127158. [Google Scholar] [CrossRef]
- Abbasi, M.; Prieto, J.; Shahraki, A.; Corchado, J.M. Industrial data monetization: A blockchain-based industrial IoT data trading system. Internet Things 2023, 24, 100959. [Google Scholar] [CrossRef]
- Cao, X.; Chen, Y.; Liu, K.J.R. Data Trading With Multiple Owners, Collectors, and Users: An Iterative Auction Mechanism. IEEE Trans. Signal Inf. Process. Netw. 2017, 3, 268–281. [Google Scholar] [CrossRef]
- Jung, K.; Park, S. Privacy Bargaining with Fairness: Privacy-Price Negotiation System for Applying Differential Privacy in Data Market Environments. In Proceedings of the 2019 IEEE International Conference on Big Data (Big Data), Los Angeles, CA, USA, 9–12 December 2019; pp. 1389–1394. [Google Scholar] [CrossRef]
- Liu, Y.; Hu, W.; Liu, L.; Wang, X. Research on the operational strategies of data products under China’s data element policy: Subsidizing service providers or manufacturers? Socio-Econ. Plan. Sci. 2026, 103, 102374. [Google Scholar] [CrossRef]
- Niyato, D.; Alsheikh, M.A.; Wang, P.; Kim, D.I.; Han, Z. Market model and optimal pricing scheme of big data and Internet of Things (IoT). In Proceedings of the 2016 IEEE International Conference on Communications (ICC), Kuala Lumpur, Malaysia, 22–27 May 2016; pp. 1–6. [Google Scholar] [CrossRef]
- Hu, W.X.; Liu, Y.Z.; Su, X.X. Analysis of Pricing Strategies in Data Supply Chains Considering Power Structures and Value Uncertainty. Comput. Eng. Appl. 2025, 61, 310–322. [Google Scholar] [CrossRef]
- Wang, Y.Z.; Huang, J.S.; Wang, J.X.; Gao, F.; Song, J. Research on the Circulation and Revenue Sharing Mechanisms of Data El-ements: An Example of Integrating Meteorological Data in Wind Power Scenarios. Manag. Rev. 2024, 36, 30–41. [Google Scholar] [CrossRef]
- Lin, J.J.; Huang, Z.G.; Tang, Y. Data Quality, Quantity and Data Asset Pricing: Based on the Perspective of Consumer Hetero-geneity. Chin. J. Manag. Sci. 2025, 33, 88–98. [Google Scholar] [CrossRef]
- Zhang, F.A.; Zhang, H.X.; Da, Q.L. E-Closed-Loop Supply Chain Decision Making Considering Trading Modes and Power Structures. Chin. J. Manag. Sci. 2024, 41, 1–18. [Google Scholar] [CrossRef]
- Wang, C.X.; Zhang, W.D.; Yan, M. Is More Data Always Better—An Interdisciplinary Analysis of the Nature of Returns to Data. China Ind. Econ. 2022, 40, 44–64. [Google Scholar] [CrossRef]
- Zhang, Z.; Zhao, S.; Yu, L.; Fang, H. Operational decisions of photovoltaic closed-loop supply chains with industrial distribut-ed photovoltaic subsidy policy in China. Environ. Technol. Innov. 2024, 34, 103619. [Google Scholar] [CrossRef]







| Parameter Symbol | Parameter Description |
|---|---|
| Selling Price of Data Product Manufacturers | |
| Pricing of Data Product Service Providers | |
| Technological Investment Level of Data Product Manufacturers | |
| Promotional Investment Level of Data Product Service Providers | |
| Update Rate of Data Products | |
| Market Size of Data Products | |
| Price Sensitivity Coefficient of Data Products End Users | |
| Initial Cost of Data Products | |
| Update Cost of Data Products | |
| Cost Savings During the Update Process of Data Products | |
| Update Investment Cost Coefficient of Data Product Manufacturers | |
| Data Acquisition Price | |
| Technological Investment Cost Coefficient of Data Product Manufacturers | |
| Promotional Investment Cost Coefficient of Data Product Service Providers | |
| Quality Preference Factor of End Users of Data Products | |
| Promotion Preference Factor of End Users of Data Products | |
| Perceived Value of End Users of Data Products | |
| Marginal Profit of Data Product Service Providers | |
| Demand for Data Products | |
| Profit of Data Product Manufacturers | |
| Profit of Data Product Service Providers |
| Parameter | |||||||||||
| Values | 2 | 1.8 | 0.3 | 1.2 | 0.8 | 2.2 | 1.8 | 0.8 | 0.15 | 1 | 0.05 |
Disclaimer/Publisher’s Note: The statements, opinions and data contained in all publications are solely those of the individual author(s) and contributor(s) and not of MDPI and/or the editor(s). MDPI and/or the editor(s) disclaim responsibility for any injury to people or property resulting from any ideas, methods, instructions or products referred to in the content. |
© 2025 by the authors. Licensee MDPI, Basel, Switzerland. This article is an open access article distributed under the terms and conditions of the Creative Commons Attribution (CC BY) license (https://creativecommons.org/licenses/by/4.0/).
Share and Cite
Liu, Y.; Hu, W.; Gao, Q.; Xia, Z.; Shen, Y. Research on Data Product Operation Strategies Considering Dynamic Data Updates Under Different Power Structures. Mathematics 2025, 13, 3875. https://doi.org/10.3390/math13233875
Liu Y, Hu W, Gao Q, Xia Z, Shen Y. Research on Data Product Operation Strategies Considering Dynamic Data Updates Under Different Power Structures. Mathematics. 2025; 13(23):3875. https://doi.org/10.3390/math13233875
Chicago/Turabian StyleLiu, Yazhou, Wenxiu Hu, Qinfeng Gao, Zuhui Xia, and Yan Shen. 2025. "Research on Data Product Operation Strategies Considering Dynamic Data Updates Under Different Power Structures" Mathematics 13, no. 23: 3875. https://doi.org/10.3390/math13233875
APA StyleLiu, Y., Hu, W., Gao, Q., Xia, Z., & Shen, Y. (2025). Research on Data Product Operation Strategies Considering Dynamic Data Updates Under Different Power Structures. Mathematics, 13(23), 3875. https://doi.org/10.3390/math13233875

