Investigationof an Electrically Driven Microelectromechanical System Resonator Under Mechanical Shock Effect with Quintic Nonlinearity
Abstract
1. Introduction
2. Mathematical Modeling of MEMS Vibration Subject to a Mechanical Shock
3. Analytical Prediction of MEMS Response to Source Voltage and Mechanical Shock
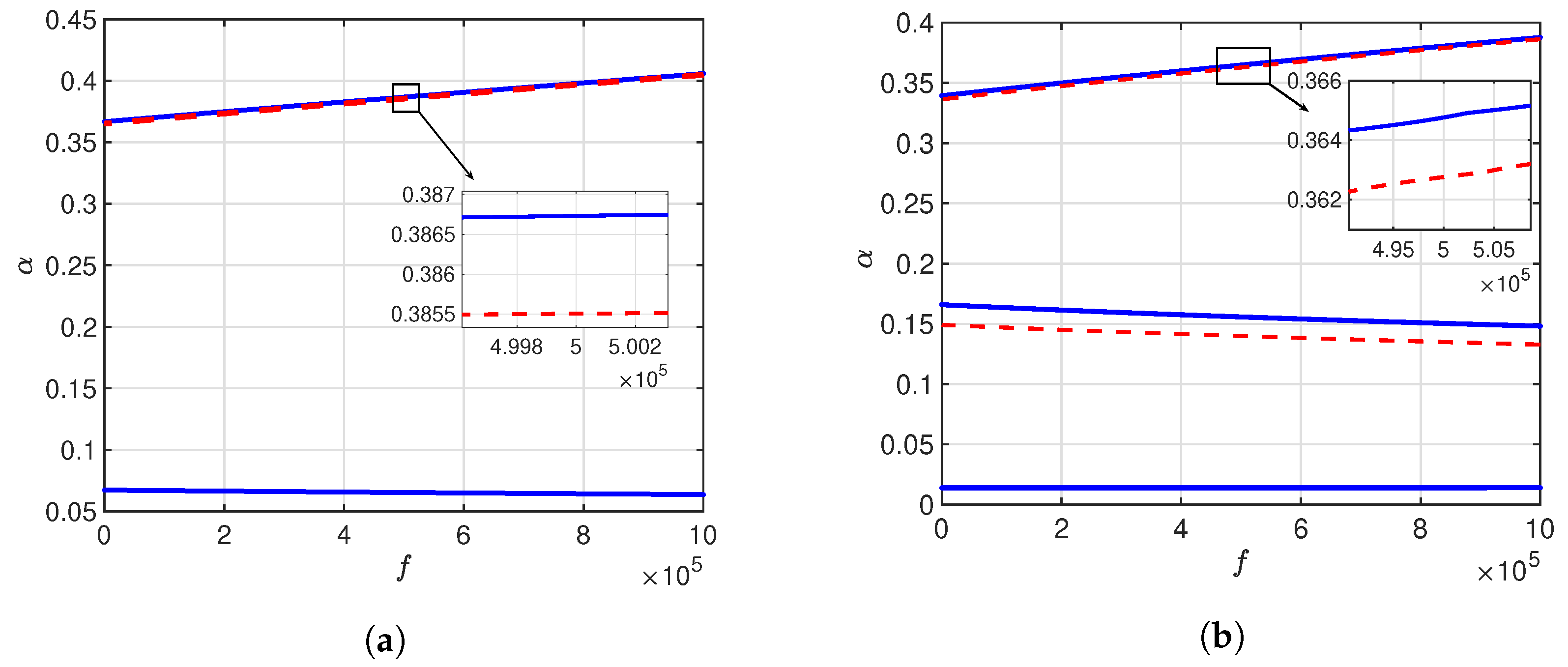
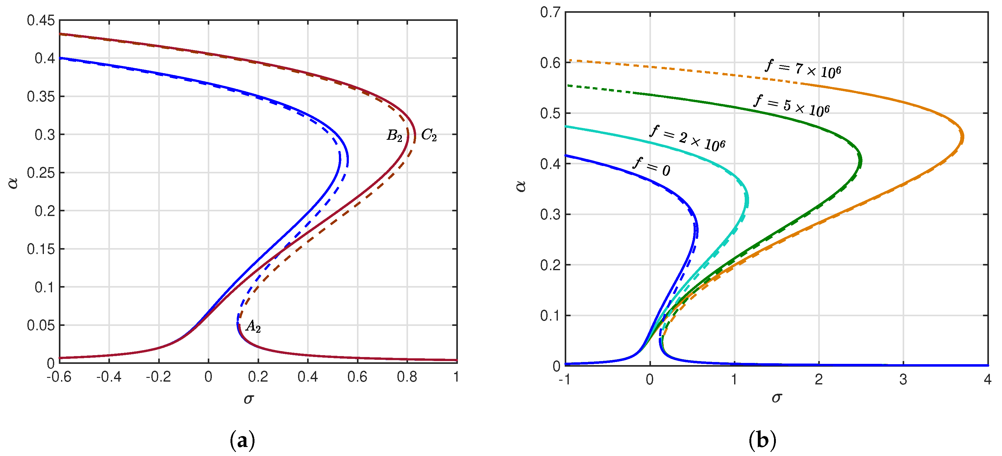
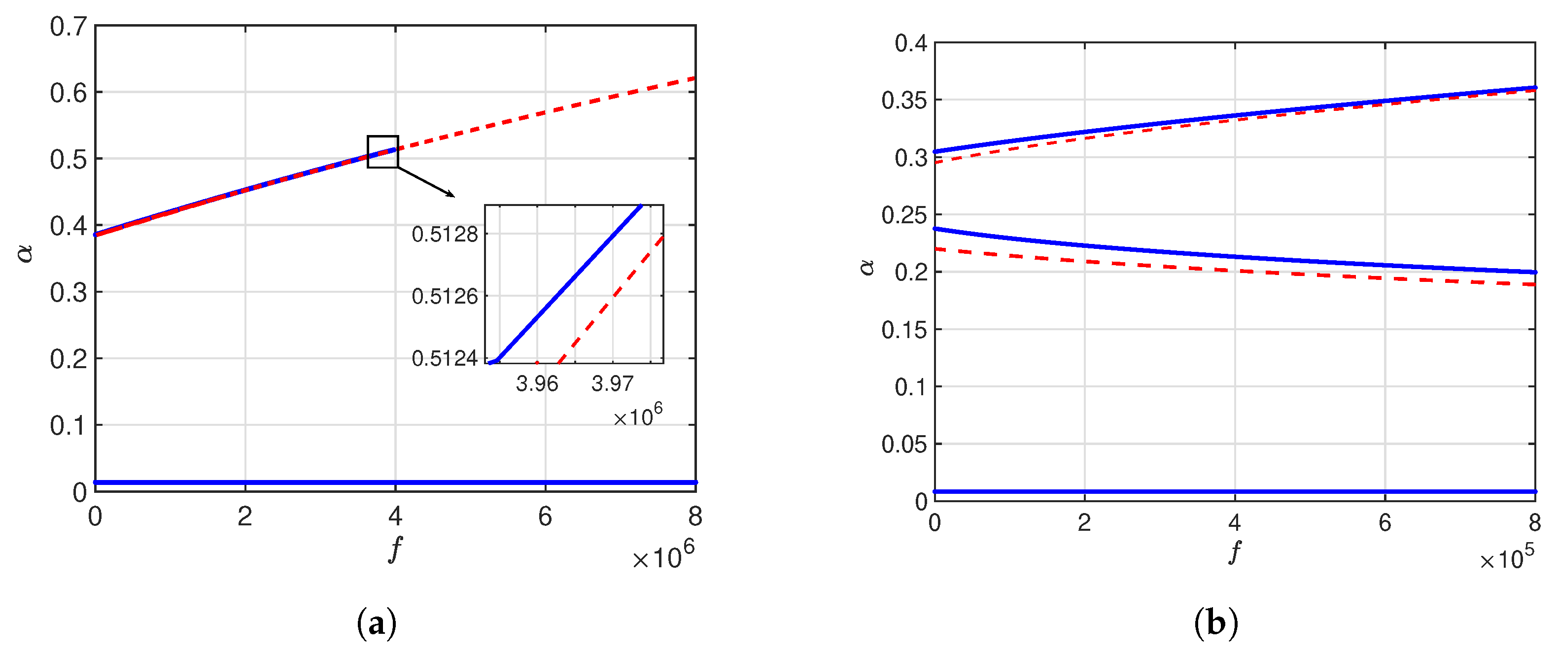
4. Frequency and Shock Response Under Electrostatic and Mechanical Impact
5. Time-Response and Phase Plane Analysis
6. Conclusions
Author Contributions
Funding
Data Availability Statement
Conflicts of Interest
Appendix A
References
- Ghommem, M.; Nayfeh, A.H.; Choura, S. Model reduction and analysis of a vibrating beam microgyroscope. J. Vib. Control 2013, 19, 1240–1249. [Google Scholar] [CrossRef]
- Mo, Y.; Du, L.; Qu, B.; Peng, B.; Yang, J. Squeeze film air damping ratio analysis of a silicon capacitive micromechanical accelerometer. Microsyst. Technol. 2018, 24, 1089–1095. [Google Scholar] [CrossRef]
- Peng, T.; You, Z. Reliability of mems in shock environments: 2000–2020. Micromachines 2021, 12, 1275. [Google Scholar] [CrossRef] [PubMed]
- Ru, X.; Gu, N.; Shang, H.; Zhang, H. Mems inertial sensor calibration technology: Current status and future trends. Micromachines 2022, 13, 879. [Google Scholar] [CrossRef]
- Al Jlailaty, H.; Celik, A.; Mansour, M.M.; Eltawil, A.M. Imu hand calibration for low-cost mems inertial sensors. IEEE Trans. Instrum. Meas. 2023, 72, 1–16. [Google Scholar] [CrossRef]
- Cao, T.; Hu, T.; Zhao, Y. Research status and development trend of mems switches: A review. Micromachines 2020, 11, 694. [Google Scholar] [CrossRef]
- Du, L.; Yang, X.; Guo, B.; Dong, Y.; Yuan, B.; Zhao, J.; Liu, J. A novel mems inertial switch with frictional electrode. J. Micromech. Microeng. 2022, 32, 065008. [Google Scholar] [CrossRef]
- Kurmendra; Agarwal, S. Mems switch realities: Addressing challenges and pioneering solutions. Micromachines 2024, 15, 556. [Google Scholar] [CrossRef]
- SoltanRezaee, M.; Bodaghi, M. Simulation of an electrically actuated cantilever as a novel biosensor. Sci. Rep. 2020, 10, 3385. [Google Scholar] [CrossRef]
- Mansoorzare, H.; Shahraini, S.; Todi, A.; Azim, N.; Rajaraman, S.; Abdolvand, R. Liquid-loaded piezo-silicon micro-disc oscillators for pico-scale bio-mass sensing. J. Microelectromech. Syst. 2020, 29, 1083–1086. [Google Scholar] [CrossRef]
- Deshwal, D.; Narwal, A.K. Analysis of surface deviation impact on bio-mass sensing application of boron nitride nanotubes. Results Eng. 2023, 19, 101282. [Google Scholar] [CrossRef]
- Zhang, C.; Jiang, W.; Ghosh, A.; Wang, G.; Wu, F.; Zhang, H. Miniaturized langasite mems micro-cantilever beam structured resonator for high temperature gas sensing. Smart Mater. Struct. 2020, 29, 055002. [Google Scholar] [CrossRef]
- Pillai, G.; Li, S.-S. Piezoelectric mems resonators: A review. IEEE Sens. J. 2020, 21, 12589–12605. [Google Scholar] [CrossRef]
- Colombo, L.; Kochhar, A.; Vidal-Alvarez, G.; Piazza, G. High-figure-of-merit x-cut lithium niobate mems resonators operating around 50 mhz for large passive voltage amplification in radio frequency applications. IEEE Trans. Ultrason. Ferroelectr. Freq. Control 2020, 67, 1392–1402. [Google Scholar] [CrossRef]
- Kurmendra; Kumar, R. A review on rf micro-electro-mechanical-systems (mems) switch for radio frequency applications. Microsyst. Technol. 2021, 27, 2525–2542. [Google Scholar] [CrossRef]
- Abdelraouf, M.E.; Kandil, A.; Zahra, W.K.; Elsaid, A. Investigation of a mems resonator model with quintic nonlinearity. In Journal of Physics: Conference Series; IOP Publishing: Bristol, UK, 2024; Volume 2793, p. 012019. [Google Scholar]
- Zhao, H.; Chen, X.; Xin, C.; Zhao, F.; Cheng, S.; Lei, M.; Wang, C.; Zhang, J.; Chen, X.; Tian, H.; et al. High-sensitivity and self-powered flexible pressure sensor based on multi-scale structured piezoelectric composite. Chem. Eng. J. 2025, 519, 164787. [Google Scholar] [CrossRef]
- Qiao, Y.; Xu, W.; Sun, J.; Zhang, H. Reliability of electrostatically actuated mems resonators to random mass disturbance. Mech. Syst. Signal Process. 2019, 121, 711–724. [Google Scholar] [CrossRef]
- Peng, B.; Hu, K.-M.; Fang, X.-Y.; Li, X.-Y.; Zhang, W.-M. Modal characteristics of coupled mems resonator array under the effect of residual stress. Sens. Actuators A Phys. 2022, 333, 113236. [Google Scholar] [CrossRef]
- Gasparin, E.; Hoogerwerf, A.; Bayat, D.; Durante, G.S.; Petremand, Y.; Tormen, M.; Despont, M.; Close, G. An integrated mems magnetic gradiometer rejecting vibrations and stray fields. In Proceedings of the 2024 IEEE European Solid-State Electronics Research Conference (ESSERC), Bruges, Belgium, 9–12 September 2014; pp. 532–535. [Google Scholar]
- Li, Y.; Li, J.; Xu, L. Failure mode analysis of mems suspended inductors under mechanical shock. Microelectron. Reliab. 2018, 85, 38–48. [Google Scholar] [CrossRef]
- Marozau, I.; Auchlin, M.; Pejchal, V.; Souchon, F.; Vogel, D.; Lahti, M.; Saillen, N.; Sereda, O. Reliability assessment and failure mode analysis of mems accelerometers for space applications. Microelectron. Reliab. 2018, 88, 846–854. [Google Scholar] [CrossRef]
- Xu, L.; Li, Y.; Li, J. Analysis of the failure and performance variation mechanism of mems suspended inductors with auxiliary pillars under high-g shock. Micromachines 2020, 11, 957. [Google Scholar] [CrossRef]
- Jrad, M.; I Younis, M.; Najar, F. Modeling and design of an electrically actuated resonant microswitch. J. Vib. Control 2016, 22, 559–569. [Google Scholar] [CrossRef]
- Xu, Q.; Yang, Z.; Sun, Y.; Lai, L.; Jin, Z.; Ding, G.; Zhao, X.; Yao, J.; Wang, J. Shock-resistibility of mems-based inertial microswitch under reverse directional ultra-high g acceleration for iot applications. Sci. Rep. 2017, 7, 45512. [Google Scholar] [CrossRef]
- Lysenko, I.E.; Tkachenko, A.V.; Sherova, E.V.; Nikitin, A.V. Analytical approach in the development of rf mems switches. Electronics 2018, 7, 415. [Google Scholar] [CrossRef]
- Parkos, D.; Raghunathan, N.; Venkattraman, A.; Sanborn, B.; Chen, W.; Peroulis, D.; Alexeenko, A. Near-contact gas damping and dynamic response of high-g mems accelerometer beams. J. Microelectromech. Syst. 2013, 22, 1089–1099. [Google Scholar] [CrossRef]
- Zhao, Y.; Li, X.; Liang, J.; Jiang, Z. Design, fabrication and experiment of a mems piezoresistive high-g accelerometer. J. Mech. Sci. Technol. 2013, 27, 831–836. [Google Scholar] [CrossRef]
- Shi, Y.; Zhao, Y.; Feng, H.; Cao, H.; Tang, J.; Li, J.; Zhao, R.; Liu, J. Design, fabrication and calibration of a high-g mems accelerometer. Sens. Actuators A Phys. 2018, 279, 733–742. [Google Scholar] [CrossRef]
- Holm, R.; Petersen, H.; Normann, S.; Schou, H.; Horntvedt, M.; Hage, M.; Martinsen, S. High–g (20,000 g+) testing of an existing tactical grade gyro design. In Proceedings of the 2020 DGON Inertial Sensors and Systems (ISS), Braunschweig, Germany, 15–16 September 2000; pp. 1–10. [Google Scholar]
- Srikar, V.; Senturia, S. The reliability of microelectromechanical systems (mems) in shock environments. J. Microelectromech. Syst. 2002, 11, 206–214. [Google Scholar] [CrossRef]
- Sundaram, S.; Tormen, M.; Timotijevic, B.; Lockhart, R.; Overstolz, T.; Stanley, R.P.; Shea, H.R. Vibration and shock reliability of mems: Modeling and experimental validation. J. Micromech. Microeng. 2011, 21, 045022. [Google Scholar] [CrossRef]
- Ouakad, H.M. The response of a micro-electro-mechanical system (mems) cantilever-paddle gas sensor to mechanical shock loads. J. Vib. Control 2015, 21, 2739–2754. [Google Scholar] [CrossRef]
- Ilyas, S.; Chappanda, K.N.; Al Hafiz, A.; Ramini, A.; Younis, M.I. An experimental and theoretical investigation of electrostatically coupled cantilever microbeams. Sens. Actuators A Phys. 2016, 247, 368–378. [Google Scholar] [CrossRef]
- Ahmed, M.S.; Ghommem, M.; Abdelkefi, A. Nonlinear analysis and characteristics of electrically-coupled microbeams under mechanical shock. Microsyst. Technol. 2019, 25, 829–843. [Google Scholar] [CrossRef]
- Alsaleem, F.M.; Younis, M.I.; Ibrahim, M.I. A study for the effect of the pcb motion on the dynamics of mems devices under mechanical shock. J. Microelectromech. Syst. 2009, 18, 597–609. [Google Scholar] [CrossRef]
- I Ibrahim, M.; I Younis, M. The dynamic response of electrostatically driven resonators under mechanical shock. J. Micromech. Microeng. 2009, 20, 025006. [Google Scholar] [CrossRef]
- Shi, Z.; Lv, Q.; Fu, M.; Wang, X.; Huang, Z.; Wei, X.; Amabili, M.; Huan, R. Noise-enhanced stability in synchronized systems. Sci. Adv. 2025, 11, eadx1338. [Google Scholar] [CrossRef]
- Chen, H.; Wu, K.; Li, Q.; Xiao, D.; Wu, X. Design method for mode matching of a novel diamond honeycomb-like disk resonator gyroscope with high shock resistance. In Journal of Physics: Conference Series; IOP Publishing: Bristol, UK, 2025; Volume 2982, p. 012025. [Google Scholar]
- Liu, Z.; Xu, Y.; Lv, Q.; Wang, X.; Chen, Y.; Dai, H.; Wei, X.; Huan, R. Amplitude deflection in a nonlinear mems resonator under parametric excitation. Int. J. Non-Linear Mech. 2024, 163, 104754. [Google Scholar] [CrossRef]
- Younis, M.I. MEMS Linear and Nonlinear Statics and Dynamics; Springer Science & Business Media: New York, NY, USA, 2011; Volume 20. [Google Scholar]
- Rocha, R.T.; Alfosail, F.; Zhao, W.; Younis, M.I.; Masri, S.F. Nonparametric identification of a micro-electromechanical resonator. Mech. Syst. Signal Process. 2021, 161, 107932. [Google Scholar] [CrossRef]
- Abdelraouf, M.E.; Kandil, A.; Zahra, W.K.; Elsaid, A. Analyzing mems resonator static pull-in and dynamics under electric excitation via position feedback controller. Phys. Scr. 2024, 100, 0152a2. [Google Scholar] [CrossRef]
- Zhao, J.; Sun, R.; Kacem, N.; Lyu, M.; Liu, P. Multi-channel mass sensing based on multiple internal resonances in three electrostatically coupled resonators. Nonlinear Dyn. 2023, 111, 18861–18884. [Google Scholar] [CrossRef]
- Nayfeh, A.H.; Mook, D.T. Nonlinear Oscillations; John Wiley & Sons: New York, NY, USA, 2024. [Google Scholar]
- Wu, J.; Song, P.; Zang, S.; Li, L.; Zhang, W.; Shao, L. Limit cycle convergence leads to period-doubling and cyclic-fold bifurcation in internal resonance-induced mechanical frequency combs. Nonlinear Dyn. 2025, 113, 19289–19310. [Google Scholar] [CrossRef]
- Francis, A.C.; Zahra, W.K.; Elsaid, A.; Kandil, A. Improvement of the non-periodic energy harvesting behavior of a non-ideal magnetic levitation system utilizing internal resonance. J. Vib. Eng. Technol. 2024, 12, 8363–8382. [Google Scholar] [CrossRef]
- Ibrahim, M.M.M.; Kandil, A.; Zahra, W.K.; Elsaid, A. Elimination of the vibration center shift in the nonlinear oscillations of a maglev vehicle subjected to steady and unsteady aerodynamic forces: Second-order multiple scales analysis. ZAMM-J. Appl. Math. Mech./Z. Angew. Math. Mech. 2025, 105, e70125. [Google Scholar] [CrossRef]
- Nayfeh, A.H. Introduction to Perturbation Techniques; John Wiley & Sons: New York, NY, USA, 2011. [Google Scholar]
- Younis, M.I.; Nayfeh, A.H. A study of the nonlinear response of a resonant microbeam to an electric actuation. Nonlinear Dyn. 2003, 31, 91–117. [Google Scholar] [CrossRef]
- Alsaleem, F.M.; I Younis, M.; Ouakad, H.M. On the nonlinear resonances and dynamic pull-in of electrostatically actuated resonators. J. Micromech. Microeng. 2009, 19, 045013. [Google Scholar] [CrossRef]
- Sun, R.; Zhao, J.; Kacem, N.; Dong, Z.; Song, J.; Liu, P. A new sensitivity enhancement scheme for resonant mass sensors based on 2: 1 internal resonance bifurcation topology tuning. Nonlinear Dyn. 2025, 113, 11193–11214. [Google Scholar] [CrossRef]
- Zamanzadeh, M.; Ouakad, H.M.; Azizi, S. Theoretical and experimental investigations of the primary and parametric resonances in repulsive force based mems actuators. Sens. Actuators A Phys. 2020, 303, 111635. [Google Scholar] [CrossRef]















Disclaimer/Publisher’s Note: The statements, opinions and data contained in all publications are solely those of the individual author(s) and contributor(s) and not of MDPI and/or the editor(s). MDPI and/or the editor(s) disclaim responsibility for any injury to people or property resulting from any ideas, methods, instructions or products referred to in the content. |
© 2025 by the authors. Licensee MDPI, Basel, Switzerland. This article is an open access article distributed under the terms and conditions of the Creative Commons Attribution (CC BY) license (https://creativecommons.org/licenses/by/4.0/).
Share and Cite
Abdelraouf, M.E.; Elsaid, A.; Morino, K.; Zahra, W.K.; Kandil, A. Investigationof an Electrically Driven Microelectromechanical System Resonator Under Mechanical Shock Effect with Quintic Nonlinearity. Mathematics 2025, 13, 3738. https://doi.org/10.3390/math13233738
Abdelraouf ME, Elsaid A, Morino K, Zahra WK, Kandil A. Investigationof an Electrically Driven Microelectromechanical System Resonator Under Mechanical Shock Effect with Quintic Nonlinearity. Mathematics. 2025; 13(23):3738. https://doi.org/10.3390/math13233738
Chicago/Turabian StyleAbdelraouf, Mohamed Emad, Ahmed Elsaid, Kai Morino, Waheed K. Zahra, and Ali Kandil. 2025. "Investigationof an Electrically Driven Microelectromechanical System Resonator Under Mechanical Shock Effect with Quintic Nonlinearity" Mathematics 13, no. 23: 3738. https://doi.org/10.3390/math13233738
APA StyleAbdelraouf, M. E., Elsaid, A., Morino, K., Zahra, W. K., & Kandil, A. (2025). Investigationof an Electrically Driven Microelectromechanical System Resonator Under Mechanical Shock Effect with Quintic Nonlinearity. Mathematics, 13(23), 3738. https://doi.org/10.3390/math13233738

