Abstract
This article investigates the exact meaning of a quantum derivative result and the corresponding definition of a quantum definite integral in multiplicative calculus from a geometrical viewpoint. After this critical analysis, we give an accurate definition of the -multiplicative definite integral and the corresponding derivative result. Additionally, an example pertaining to -multiplicative definite integrals is presented, and rigorous analysis to prove several fundamental results is provided. In addition, two other concepts are defined: the left -multiplicative derivative and definite integral and the right -multiplicative derivative and definite integral. Finally, several -multiplicative Hermite–Hadamard-type inequalities are constructed, and related examples are shown to support our recent findings.
Keywords:
q-multiplicative calculus; multiplicative calculus; geometric calculus; Hermite–Hadamard inequality MSC:
05A30; 26A51; 26D10; 26D15; 39A13
1. Introduction
Between 1967 and 1970, Michael Grossman and Robert Katz defined an alternative form of derivatives and integrals, which altered the addition and subtraction operations to division and multiplication. This provided the origin of the entirely new calculus known as multiplicative calculus, which is also frequently called non-Newtonian calculus. In multiplicative calculus, two well-known operators, the derivative and integral, are defined below.
Definition 1
([1]). If we consider to be a positive function with , then
is said to be a multiplicative derivative or derivative of at . Also,
Here, shows a classical derivative.
Definition 2
([1]). If we assume that is a Riemann integral and positive function, then for ,
is said to be a integral or multiplicative integral of over .
Some characteristics of a multiplicative integral for an arbitrary function are described below.
Proposition 1
([1]). If we assume that and are two multiplicative integrals and positive functions, with and , then
- .
- .
- .
- .
- .
- .
- .
Researchers in different mathematical fields have recently made contributions pertaining to this calculus. The literature of non-Newtonian calculus includes, for example, the fundamental theorem of multiplicative calculus [1], multiplicative stochastic integrals [2], complex multiplicative calculus [3], multiplicative differential equations [4], and multiplicative Hermite–Hadamard inequalities for different kinds of convex functions [5,6,7].
Definition 3
([8]). If we assume that is a positive function on , if for all and ,
exists, then is a multiplicative convex function.
The Hermite–Hadamard inequalities for multiplicative calculus are stated below.
Theorem 1
([5]). If we assume that is a multiplicative convex and positive function on , then
holds.
Theorem 2
([5]). If we assume that and are two multiplicative convex and positive functions on , then
holds.
Theorem 3
([5]). If we assume that and are two multiplicative convex and positive functions on , then
or, equivalently,
holds.
Recently, some authors have extended the research on integral inequalities using the generalized multiplicative convex functions. For instance, in [9], the authors introduced a new type of function called a multiplicatively (P, m)-convex function. They studied their basic properties and developed Hermite–Hadamard-type inequalities of these functions. Multiplicative k-Riemann-Liouville fractional integrals are also defined in this paper; the integrability, continuity, and commutativity of these integrals are discussed; and the new fractional Hermite–Hadamard- and Newton-type inequalities are obtained using multiplicative k-Riemann–Liouville integrals. Moreover, in [10], the authors constructed a series of three-point Newton–Cotes-type inequalities based on multiplicative convexity conditions and used multiplicative Riemann–Liouville fractional integrals for double multiplicative differentiable functions to generate a fractional integral identity. Our primary motivation includes inequalities (1), (2), and (3), Definition 3, and the works published in [9,10], which may also be developed in a -multiplicative calculus by obtaining some new definitions of the definite integral in this calculus. In Section 3 of this article, we investigated the definition of definite integrals and the derivative results in -multiplicative calculus, which was developed in 2015 [11], using the graphical point of view, and gave the correct definition of definite integrals and the derivative’s results. In Section 4, we introduced two more definitions for the definite integral and derivative as well. In addition, we derived some fundamental results of the definite integral based on newly obtained results. Moreover, we established some Hermite–Hadamard-type inequalities and constructed related examples that support our results.
2. Materials and Methods
The fundamental definitions of -calculus that are necessary for comprehension will be demonstrated in this article. The -calculus is a limitless version of classical calculus. Its analysis can be seen in difference equations, number theory, knot theory, general relativity, particle and chemical physics, molecular and nuclear spectroscopy, the hydrogen atom, string theory, and hypergeometric functions [12]. For further comprehension, its general and symmetric version can be read in these referred manuscripts [13,14]. The definitions of derivatives and definite integrals of -calculus are mentioned below.
Definition 4
([15]). If we consider a continuous function defined on , then for
is called a quantum or -derivative of at .
Definition 5
([15]). If we assume a continuous function , then for ,
is called a - or quantum integral of .
In 2013 [16], Tariboon and his co-author defined a new definition of definite integrals in -calculus using the left endpoint of as written below.
Definition 6
([16]). If we assume a continuous function , then for ,
is called a -integral of .
The definite integral in -calculus using the right endpoint of can also be seen in the literature and is written below.
Definition 7
([17]). If we assume a continuous function , then for ,
is called a -integral of .
In 2015 [11], Yener et al. derived a -analogue of multiplicative calculus and defined basic definitions and results of this calculus that are written below.
Definition 8
([11]). If we consider a positive function defined on with , then the -multiplicative derivative of at and is written as
Definition 9
([11]). If we assume that is a positive and bounded function on , then for
is called a - or -multiplicative integral of over .
Some properties regarding -multiplicative derivatives and integrals of a function are written below.
Theorem 4
([11]). If we assume a positive and -differentiable function , then the
equality holds.
Theorem 5
([11]). If we assume two positive -multiplicative integrable functions and with and , then
- ;
- ;
- ;
- .
3. Corrections
First, we critically examine (4) and (5). Both equations are incorrect because ln and are not inverse to each other. In fact, (natural -exponential function) is the inverse of (natural -log function), and ln (natural log function) is the inverse of (natural exponential function). Moreover, and are the generalization of and ln, respectively (see [18]). Another generalization of these functions is introduced by Tsallis [19] and written as follows:
where and . And for ,
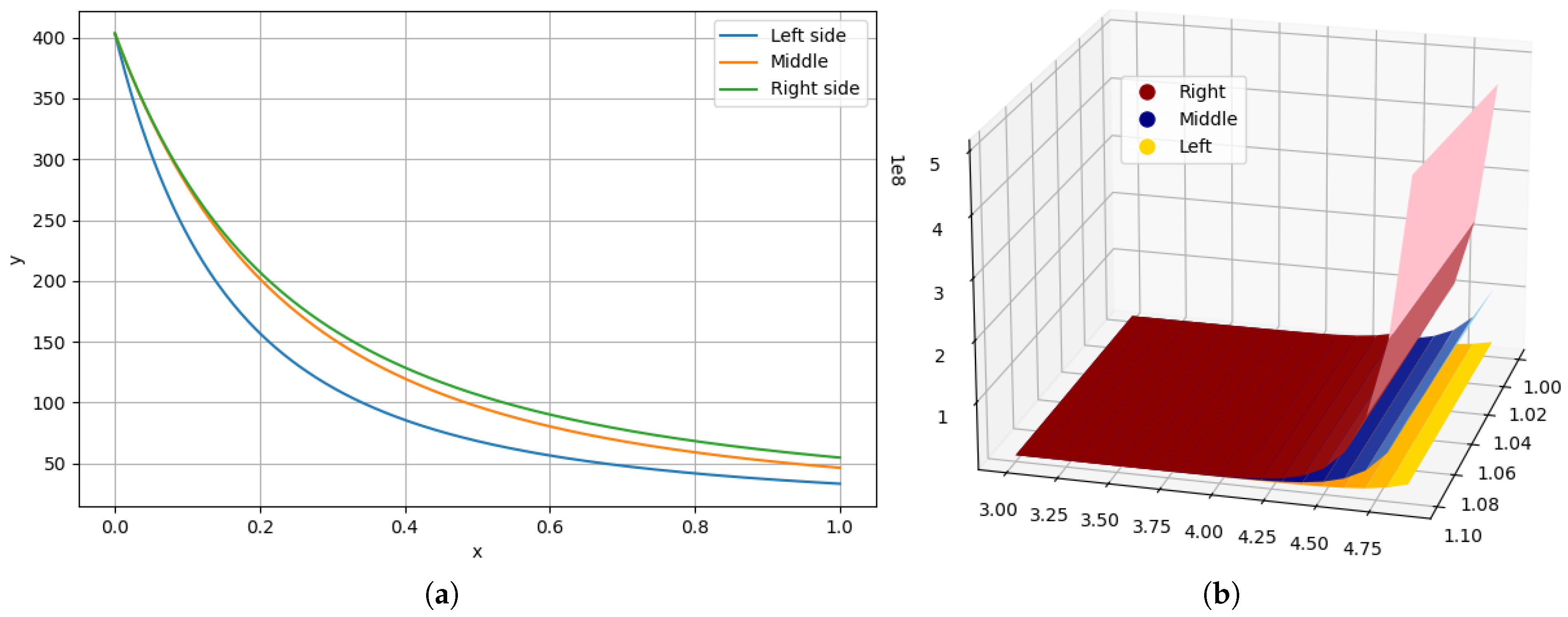
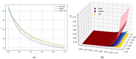
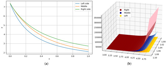
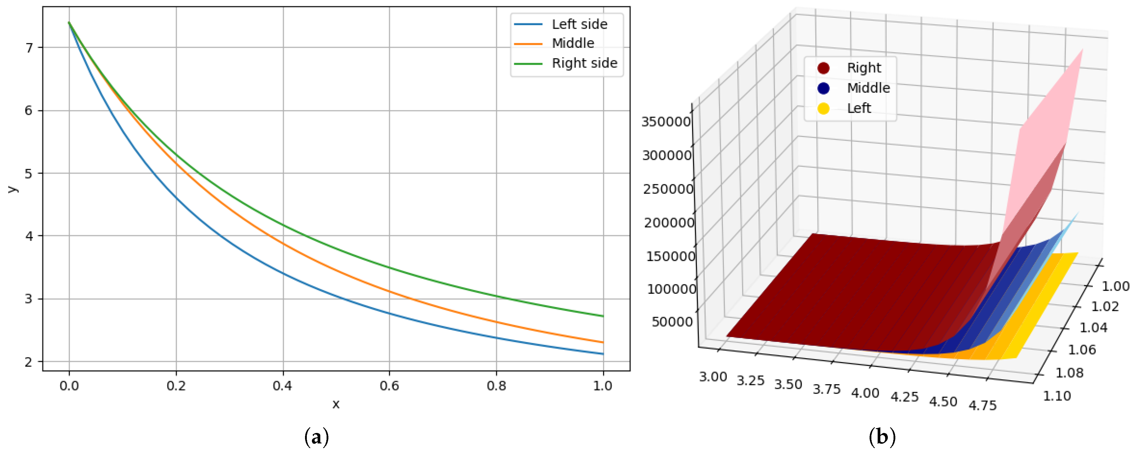
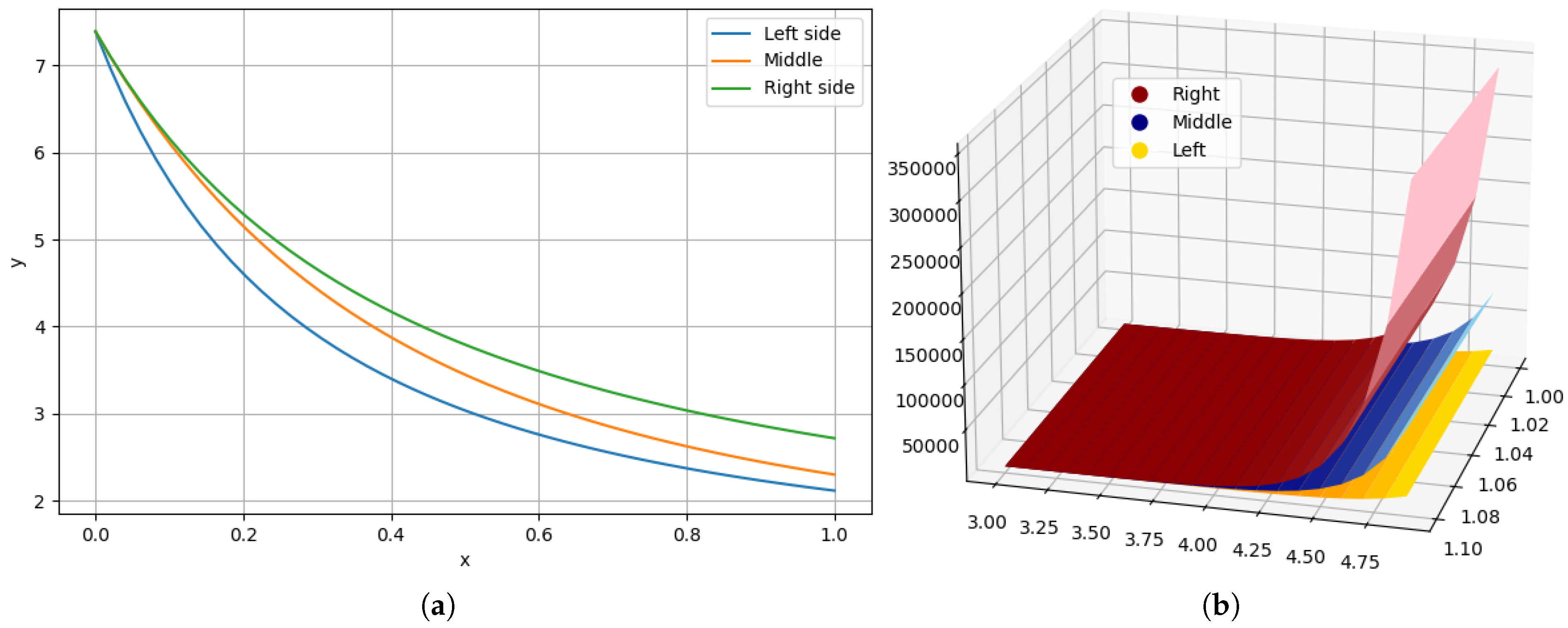
Now, we demonstrate our claim graphically in Figure 1 and Figure 2.
Figure 1.
(a) Graph of natural log and its inverse. (b) Graph of natural -log and its inverse.
Figure 2.
Graph of natural log and -exponential functions.
From Figure 1, it can be seen that the graph of functions and their inverses form symmetry about the line (which passes through the origin and bisects the first and third quadrant); however, Figure 2 shows that ln and are not inverse to each other. Therefore, the correct form of Definition 9 for the definite integral in -multiplicative calculus should be written as below.
Definition 10.
If we assume that is a positive and bounded function on , then for
is called a - or -multiplicative integral of over .
Remark 1.
Since equality (5) of Theorem 4 is also wrong due to the following reasons,
- 1.
- The quantum natural exponential function () is not the inverse of the natural logarithmic (ln) function for ;
- 2.
- The Chain rule in -calculus does not hold generally (see [20]).
The first point is handled in our manuscript, but there is still a second reason to refute this theorem. However, this theorem can be reconstructed for a particular case; for instance, if we let the inner function be a monomial having any positive integer power and the outer function be a natural logarithmic for the Chain rule, then the second reason can also be fixed. i.e., if we assume , then
Therefore, after some refinements, Theorem 4 can be reconsidered as the proposition that is mentioned below.
Proposition 2.
If we assume a -differentiable and positive function , if is a monomial having any positive integer power, then
holds.
4. Novel Definitions and Results in -Multiplicative Calculus
First, we define new definitions of derivatives and definite integrals in -multiplicative calculus using the left endpoint of .
Definition 11.
If we consider a positive function defined on with , then the -multiplicative or left -multiplicative derivative of at and is written as
Example 1.
If we let be a positive function on and fix , then its -multiplicative derivative can be calculated as
Definition 12.
If we assume a bounded function on and a positive function , then for
is called a left - or -multiplicative integral of over .
Example 2.
If we let , then using (7) and Definition 6,
Some basic properties of left -multiplicative integrals of function are written below.
Theorem 6.
If we assume two positive -multiplicative integrable functions and with and , then
- 1.
- ,
- 2.
- ,
- 3.
- ,
- 4.
- .
Proof.
When (1) and (3) are obvious, the following is carried out.
□
Now, we construct some -multiplicative Hermite–Hadamard inequalities.
Theorem 7.
If we assume a positive -multiplicative convex differentiable function on , then
holds.
Proof.
Due to the -multiplicative differentiablity of on , the tangential line for at point can be expressed as
By the convexity of ,
For all ,
By -integrating, we obtain
Taking the exponential on both sides, we get
Hence,
Additionally, the line segment that engages and is a function that can be generated:
By the convexity of ,
For all , we have
By -integrating, we obtain
Taking the exponential, we obtain
From (10) and (11), the desired result has been achieved. □
Remark 2.
Example 3.
If we put in Theorem 7 and use (8), then we have following cases:
Theorem 8.
If we assume two positive -multiplicative convex differentiable functions and on , then
holds.
Proof.
Since and are -multiplicative differentiable functions on , their tangents’ equations at the point can therefore be expressed as
and
Due to convexity of and , we can write
and
By multiplying (15) and (16) and then taking ln, we get
By -integrating, we obtain
Taking the exponential, we obtain
Hence,
Furthermore, for the lines connecting points , , and , can be expressed as functions
and
respectively. Due to the convexity of and , we have
and
Remark 3.
Example 4.
If we put and in Theorem 8, and also use (8) and Definition 6, then we have following cases:
Theorem 9.
If we assume two positive -multiplicative convex differentiable functions and on , then
holds, where “:” represents division.
Proof.
Remark 4.
Example 5.
If we put and in Theorem 9, and also use (8) and Definition 6, then we have the following cases:
Now, we define new definitions of derivatives and definite integrals in the -multiplicative calculus using the right endpoint of .
Definition 13.
If we consider a positive function defined on with , then the -multiplicative or right -multiplicative derivative of at and is written as
Example 6.
If we let be a positive function on and fix , then its -multiplicative derivative can be calculated as
Definition 14.
If we assume a bounded function on and a positive function , then for
is called a right - or -multiplicative integral of over .
Some basic properties of the right -multiplicative integral of a function are written below.
Theorem 10.
If we assume two positive -multiplicative integrable functions and with and , then
- 1.
- ;
- 2.
- ;
- 3.
- ;
- 4.
- .
Proof.
The proof is equivalent to Theorem 6. □
Now, we construct some -multiplicative Hermite–Hadamard inequalities.
Theorem 11.
If we assume a positive -multiplicative convex differentiable function on , then
holds.
Proof.
Using the same argument in Theorem 7 for the point , we have
By the convexity of , we obtain
For all , we have
By -integrating, we have
By taking the exponential on both sides, we get
Hence,
Again, using the same argument in Theorem 7, we have
By the convexity of , we have
For all , we have
By -integrating, we have
By taking the exponential, we obtain
From (30) and (31), the desired result has been achieved. □
Theorem 12.
If we assume two positive -multiplicative convex differentiable functions and on , then
holds.
Proof.
It can be proven in the same manner as Theorem 8. □
Theorem 13.
If we assume two positive -multiplicative convex differentiable functions and on , then
holds, where “:” represents division.
Proof.
It can be proven in the same manner as Theorem 9. □
5. Concluding Remarks
In this manuscript, we investigated the -multiplicative definite integral and the results of the -multiplicative derivative. After this, we introduced the correct definition of -multiplicative definite integrals and the relevant results. Moreover, we derived some basic results and an example regarding this definition. Furthermore, we defined novel definitions in -multiplicative calculus regarding derivatives and integration at the left endpoint and derived some -multiplicative Hermite–Hadamard-type inequalities. All of these inequalities are reduced into multiplicative Hermite–Hadamard inequalities when , and corresponding examples also justified our newly obtained inequalities. Finally, we defined new definitions in -multiplicative calculus regarding derivatives and integration at the right endpoint and derived some -multiplicative Hermite–Hadamard-type inequalities. This article might be the cornerstone for upcoming research in -multiplicative calculus. For instance, this paper might be the origin for further works on integral inequalities in -multiplicative calculus and its generalization, like Hahn multiplicative calculus.
Author Contributions
Conceptualization, S.I.B. and M.N.A.; methodology, S.I.B. and M.N.A.; software, M.A. and Y.S.; validation, S.I.B. and M.N.A.; formal analysis, S.I.B.; investigation, M.A.; resources, M.A. and Y.S.; data curation, Y.S. and M.N.A.; writing—original draft preparation, M.N.A.; writing—review and editing, S.I.B. and M.N.A.; visualization, S.I.B. and M.A.; supervision, S.I.B.; project administration, S.I.B.; funding acquisition, Y.S. All authors have read and agreed to the published version of the manuscript.
Funding
This research received no external funding.
Institutional Review Board Statement
Not applicable.
Informed Consent Statement
Not applicable.
Data Availability Statement
No new data were created or analyzed in this study. Data sharing is not applicable to this article.
Acknowledgments
This work was supported by the Dong-A University research fund. This research was supported by Global—Learning & Academic research institution for Master’s·PhD students, and Postdocs (LAMP) Program of the National Research Foundation of Korea (NRF) grant funded by the Ministry of Education (RS-2025-25440216).
Conflicts of Interest
The authors declare no conflicts of interest.
References
- Bashirov, A.E.; Kurpınar, E.M.; Özyapıcı, A. Multiplicative calculus and applications. J. Math. Anal. Appl. 2008, 337, 36–48. [Google Scholar] [CrossRef]
- Daletskii, Y.L.; Teterina, N.I. Multiplicative stochastic integrals. Usp. Mat. Nauk. 1972, 27, 167–168. [Google Scholar]
- Bashirov, A.E.; Riza, M. On complex multiplicative differentiation. TWMS J. Appl. Eng. Math. 2011, 1, 75–85. [Google Scholar]
- Bashirov, A.E.; Kurpınar, E.; Tando, Y.; Özyapıcı, A. On modeling with multiplicative differential equations. Appl. Math. 2011, 26, 425–438. [Google Scholar] [CrossRef]
- Ali, M.A.; Abbas, M.; Zafar, A.A. On some Hermite–Hadamard integral inequalities in multiplicative calculus. J. Inequal. Spec. Funct. 2019, 10, 111–122. [Google Scholar]
- Özcan, S. Hermite–Hadamard type inequalities for multiplicative h-convex functions. Konuralp J. Math. 2020, 8, 158–164. [Google Scholar]
- Özcan, S.; Butt, S.I. Hermite–Hadamard type inequalities for multiplicatively harmonic convex functions. J. Inequalities Appl. 2023, 2023, 120. [Google Scholar] [CrossRef]
- Pečarić, J.E.; Proschan, F.; Tong, Y.L. Convex Functions, Partial Orderings and Statistical Applications; Academic Press, Inc.: San Diego, CA, USA, 1992. [Google Scholar]
- Zhang, L.; Peng, Y.; Du, T. On multiplicative Hermite–Hadamard- and Newton-type inequalities for multiplicatively (P, m)-convex functions. J. Math. Anal. Appl. 2024, 534, 128117. [Google Scholar] [CrossRef]
- Du, T.; Long, Y. The multi-parameterized integral inequalities for multiplicative Riemann–Liouville fractional integrals. J. Math. Anal. Appl. 2025, 541, 128692. [Google Scholar] [CrossRef]
- Yener, G.; Emiroglu, I. A q-analogue of the multiplicative calculus: q-multiplicative calculus. Discret. Contin. Dyn. Syst. Ser. S 2015, 8, 1435–1450. [Google Scholar] [CrossRef]
- Ernst, T. A Comprehensive Treatment of q-Calculus; Springer Science & Business Media: Berlin/Heidelberg, Germany, 2012. [Google Scholar]
- Butt, S.I.; Aftab, M.N.; Nabwey, H.A.; Etemad, S. Some Hermite-Hadamard and midpoint type inequalities in symmetric quantum calculus. AIMS Math. 2024, 9, 5523–5549. [Google Scholar] [CrossRef]
- Butt, S.I.; Aftab, M.N.; Seol, Y. Symmetric quantum inequalities on finite rectangular plane. Mathematics 2024, 12, 1517. [Google Scholar] [CrossRef]
- Jackson, F.H. On a q-definite integrals. Q. J. Pure Appl. Math. 1910, 41, 193–203. [Google Scholar]
- Tariboon, J.; Ntouyas, S.K. Quantum calculus on finite intervals and applications to impulsive difference equations. Adv. Differ. Equ. 2013, 2013, 282. [Google Scholar] [CrossRef]
- Bermudo, S.; Kórus, P.; Valdés, J.N. On q-Hermite–Hadamard inequalities for general convex functions. Acta Math. Hung. 2020, 162, 364–374. [Google Scholar] [CrossRef]
- Chung, K.S.; Chung, W.S.; Nam, S.T.; Kang, H.J. New q-derivative and q-logarithm. Int. J. Theor. Phys. 1994, 33, 2019–2029. [Google Scholar] [CrossRef]
- Tsallis, C. What are the numbers that experiments provide. Quim. Nova 1994, 17, 468–471. [Google Scholar]
- Kac, V.; Cheung, P. Quantum Calculus; Springer: New York, NY, USA, 2002. [Google Scholar]
Disclaimer/Publisher’s Note: The statements, opinions and data contained in all publications are solely those of the individual author(s) and contributor(s) and not of MDPI and/or the editor(s). MDPI and/or the editor(s) disclaim responsibility for any injury to people or property resulting from any ideas, methods, instructions or products referred to in the content. |
© 2025 by the authors. Licensee MDPI, Basel, Switzerland. This article is an open access article distributed under the terms and conditions of the Creative Commons Attribution (CC BY) license (https://creativecommons.org/licenses/by/4.0/).




