The Design of a Layered Security System Using Imperfect Sensors and Response Units
Abstract
1. Introduction
2. Literature Review
2.1. Strategic Use of Decoys and False Alarms
2.2. Modeling and Dispatching of Mobile Response Units
2.3. Synthesis and Research Gap
3. Mathematical Modeling of a Layered Security System
3.1. Modeling Context and Spatial Framework
3.1.1. Modeling Context
3.1.2. Spatial Framework
3.2. Resource Re-Allocation Mechanism
- 1.
- Removal of sensor from the original layer: When reducing the number of sensors in a layer from to , we remove the sensor with the lowest individual detection probability, . This strategy reflects the practical operational policy of prioritizing the retention of the most effective sensors when downsizing a layer. Formally, the new set of detection probabilities for the modified layer is as follows:The joint detection probability is recalculated accordingly: .
- 2.
- Sensor Deployment in the New Layer: The new layer receives one sensor. The detection probability for this sensor is determined by the most favorable grid cell available in the geographic area of the new layer, corresponding to the highest achievable detection probability given the expected path of the target. However, since the new layer may have a different OD pair, the maximum achievable probability, , may differ from those in the original layer. In our numerical experiments (Section 4.3), we examine scenarios where is drawn from distributions that are either comparable to or less favorable than the original layer’s distribution.
3.3. Target Flow and Layer Performance
- 1.
- Approach and detection: A threat enters the layer i and follows its predefined path. The suite of sensors screens the threat, resulting in either of the following:
- Detection: with probability , the threat is detected, triggering an alarm.
- Non-detection: with probability , the threat evades detection and immediately proceeds to the next layer.
- 2.
- Alarm response: if an alarm is triggered, the system attempts to dispatch a mobile response unit available to intercept and neutralize the threat.
- Neutralization: if at least one of the response units is available (with probability ), it is dispatched, and the threat is neutralized, exiting the system.
- Blocking/escape: if all response units are busy (with probability ), the threat cannot be engaged immediately. It escapes the layer and proceeds to the layer .
- 1.
- Neutralized: The target is detected and a response unit is available to neutralize it. The target exits the system.
- 2.
- Escaped: The target moves to layer for two possible reasons:
- Undetected: probability .
- Detected but unneutralized: the target is detected, but no response unit is available. This occurs with probability .
3.4. Optimization Model
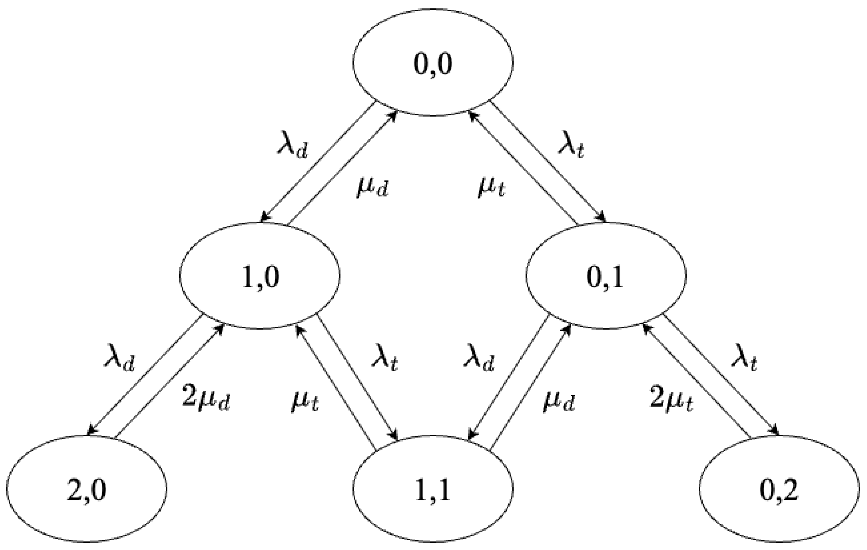
3.5. Extension: Modeling Decoys with Heterogeneous Service
- Real threats arrive at a fixed rate, , representing the core threat level.
- Decoys are injected by an adversary at a rate of .
- i: the number of servers busy with decoys.
- j: the number of servers busy with real threats.
- .
State-Based Model and Steady-State Analysis for
4. Structural Properties
4.1. Monotonicity Properties of Escape Probability
- 1.
- for fixed and ,
- 2.
- for fixed and .
4.2. Monotonicity of the Blocking Probability
4.3. The Layer-Splitting Observation
- The modified layer is formed by removing the sensor with the lowest from the original set.
- The new layer’s sensor probability is assigned based on the most favorable location in the new layer’s area.
- Scenario A: detection probabilities of sensors in the new layer follow , comparable to those in existing layers.
- Scenario B: detection probabilities of sensors in the new layer follow , representing potentially less favorable deployment conditions.
- Scenario C: detection probabilities of sensors in the new layer follow , skewed toward high detection probabilities (mean = 0.8).
- Scenario D: detection probabilities of sensors in the new layer follow , truncated to .
- Number of response units: .
- Number of sensors: .
- Traffic intensity: (15 values).
- For each parameter combination, we performed 100 Monte Carlo simulations.
4.4. Optimal Architecture Theorems
- Layer A: the first k layers (superlayer), with total resources and , and output rate .
- Layer B: the -th layer, with resources and .
5. Solution Algorithm
5.1. Solution Representation and Initialization
- Number of Layers (l): .
- hlResource Allocation (): Resources are allocated in a decreasing manner across layers. The specific initial distribution depends on the relationship between s and n:
- 1.
- Case 1: . layers are initialized, each with one response unit (). The s sensors are distributed, such that and .
- 2.
- Case 2: . layers are initialized, each with one sensor (). The n response units are distributed, such that and .
- 3.
- Case 3: . layers are initialized, each with one sensor and one response unit (). This initial solution is then perturbed to explore the search space.
5.2. Simulated Annealing Framework
- The number of layers l is fixed at throughout the optimization process, as established by Theorem 1.
- The neighborhood generation focuses exclusively on reallocating sensors and response units between these fixed layers.
- The initial solution is generated to satisfy the decreasing allocation pattern ( and ) based on Theorem 2.
| Algorithm 1 Simulated annealing heuristic for resource allocation. |
| Require: Total sensors s, total response units n, initial temperature , cooling rate , Markov chain length , stopping criterion Ensure: Best-found solution
|
5.3. Neighborhood Generation
- 1.
- Sensor Reallocation: Randomly select two distinct layers, i and j. If (donor layer has at least one sensor to give), transfer one sensor from layer i to layer j. This operator fine-tunes the sensor distribution while maintaining .
- 2.
- Response Unit Reallocation: Randomly select two distinct layers, i and j. If (donor layer has at least one response unit to give), transfer one response unit from layer i to layer j. This operator fine-tunes the response unit distribution while maintaining .
- 3.
- Balanced Resource Reallocation: Randomly select two distinct layers, i and j. If and , simultaneously transfer one sensor and one response unit from layer i to layer j. This operator maintains the balance between sensing and response capabilities while exploring different resource distributions.
5.4. Integration with Spatial Deployment Subproblem
- 1.
- Pre-compute the detection probability for each grid cell based on the target’s exposure distance within the sensor’s range using Equation (1).
- 2.
- Sort all grid cells in descending order of their individual detection probabilities, .
- 3.
- Select the top cells with the highest detection probabilities.
- 4.
- Calculate the joint detection probability using Equation (2).
6. Numerical Experiments and Analysis
6.1. Base Case and Model Validation
6.1.1. Experimental Setup
6.1.2. Two-Layer System Analysis
6.1.3. Three-Layer System Analysis
- Layer 1: ,
- Layer 2: ,
- Layer 3: ,
6.1.4. Comparative Analysis and Theoretical Validation
- 1.
- Theorem 1 (Max-Layer Optimality): The three-layer system demonstrates substantially better performance than the two-layer system, confirming that increasing the number of layers improves security effectiveness given the same total resources.
- 2.
- Theorem 2 (Decreasing Allocation): The optimal allocations for both two- and three-layer systems follow the predicted decreasing pattern, validating the theoretical findings across different system scales.
- 3.
- Robustness of Structural Properties: The consistent emergence of optimal patterns across different configurations provides robust validation of the structural properties derived in Section 4.
6.2. Performance Comparison: Simulated Annealing vs. Tabu Search
6.2.1. Experimental Setup
- Algorithm Parameters:
- –
- Simulated Annealing: Geometric cooling schedule with initial temperature , cooling rate
- –
- Tabu Search: Tabu list size = 15 with aspiration criterion
- –
- Steady-State Rule: Both algorithms stop if the relative improvement in the best-found objective value over the last 100 temperature cycles is less than
- –
- Maximum Iteration Rule: A force stop is triggered if the algorithm reaches a maximum of 1000 iterations.
- Evaluation Protocol: 10 independent runs with random initial solutions following the decreasing allocation pattern established in Theorem 2.
- Implementation: Python 3.9 on an Intel i7-10700K processor with 32 GB of RAM.
- Performance Metrics:
- –
- Solution quality: best and average escape probability.
- –
- Computational efficiency: average runtime.
6.2.2. Comparison Results
6.2.3. Key Findings
- 1.
- Solution Quality Parity: Both algorithms achieved identical best-case performance , with nearly identical average performance. This demonstrates that both metaheuristics are capable of finding high-quality solutions for the layered security optimization problem.
- 2.
- Computational Efficiency Advantage: The most significant difference emerged in computational efficiency. Simulated Annealing was approximately 6 times faster than Tabu Search (2.34 s vs. 15.37 s average runtime). This substantial efficiency advantage makes SA more suitable for real-time applications and large-scale problem instances.
- 3.
- Optimal Allocation Pattern: the best solutions found using both algorithms consistently exhibited the decreasing resource allocation pattern (, ) as predicted by Theorem 2, validating our structural properties.
6.3. Sensitivity Analysis
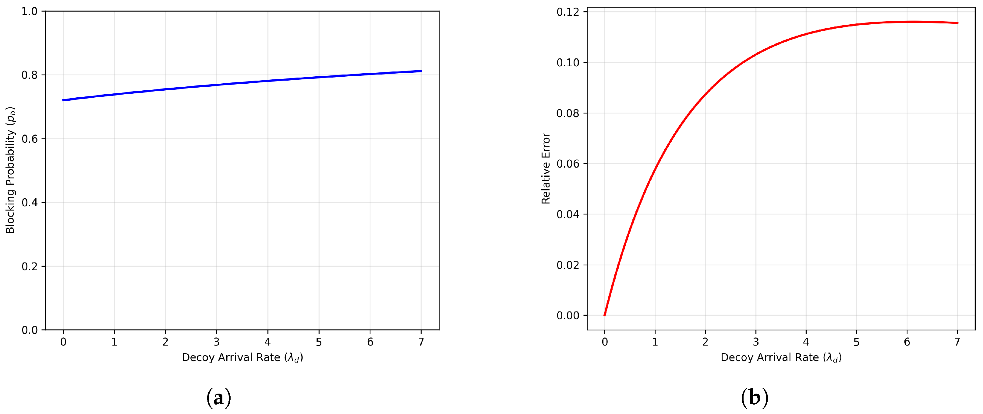
6.4. Numerical Analysis of Impact of Decoy Activities
Implications for Layered Security System Design
7. Limitations and Future Work
7.1. Conclusions
7.2. Limitations
- Arrival Process Assumption: Our model assumes that threats arrive according to a Poisson process. Although mathematically tractable and common in initial queueing models, this assumption does not capture potential batch arrivals (e.g., coordinated groups of intruders or decoys), which could lead to short-term system congestion not fully captured by the average arrival rate .
- Sensor Detection Independence: The calculation of the joint detection probability is based on the assumption of conditional independence between sensors. In practice, correlated false alarms or common environmental factors affecting nearby sensors could violate this assumption, potentially leading to an overestimation of system performance.
- Analytical Bound for Layer-Splitting: The key Observation 1, which underpins the optimality of the max-layer architecture, is proven analytically only for the case of perfect sensors (). For the general case, we rely on comprehensive but not exhaustive numerical validation. The absence of a general analytical proof remains a theoretical limitation.
- Static and Deterministic Path Modeling: The model assumes a single, fixed, and known Origin-Destination (OD) path for targets within a layer. In reality, adversaries can adapt their routes dynamically or choose from a set of possible paths, reducing the effectiveness of a static sensor deployment optimized for a single path.
- Computational Scalability of Decoy Model: The state-based model for decoys with heterogeneous service times is solved in closed form only for servers. For layers with more resources, the combinatorial explosion of the state space makes exact analysis computationally intractable within our current framework.
7.3. Future Research Directions
- Modeling Batch Arrivals and Correlated Sensors: Future models could incorporate more sophisticated arrival processes, such as a Markov-Modulated Poisson Process (MMPP) or a compound Poisson process, to better represent coordinated adversarial actions. Similarly, the sensor model could be extended using copulas or spatial correlation structures to account for dependent detection events.
- Theoretical Analysis of the Layer-Splitting Observation: A significant theoretical endeavor would be to derive formal sufficient conditions under which Observation 1 holds for imperfect sensors or to provide a rigorous proof for a broader class of detection functions.
- Robust and Adaptive Optimization: To address the uncertainty of the path, a promising direction is to develop a robust optimization or stochastic programming version of our model. This would involve optimizing against a distribution of possible paths or worst-case scenarios, making the system design less sensitive to adversarial route adaptation.
- Dynamic Resource Allocation and Machine Learning: Extending the model from a static design to a dynamic resource allocation problem is a critical next step. Reinforcement Learning (RL) is a suitable framework for developing policies that reallocate sensors and response units in real time based on evolving threat levels and system congestion.
- Game-Theoretic Adversarial Modeling: Finally, treating the adversary’s decoy deployment strategy not as an exogenous parameter but as an endogenous, strategic choice leads to a Stackelberg game formulation. The defender (system designer) would optimize their layered system, anticipating the best-response attack strategy of an intelligent adversary, leading to more resilient and robust designs.
Author Contributions
Funding
Data Availability Statement
Conflicts of Interest
References
- Peng, R.; Levitin, G.; Xie, M.; Ng, S.H. Optimal defence of single object with imperfect false targets. J. Oper. Res. Soc. 2011, 62, 134–141. [Google Scholar] [CrossRef]
- Levitin, G.; Hausken, K. Defence resource distribution between protection and decoys for constant resource stockpiling pace. J. Oper. Res. Soc. 2013, 64, 1409–1417. [Google Scholar] [CrossRef]
- Baykal-Guersoy, M.; Duan, Z.; Poor, H.V.; Garnaev, A. Infrastructure security games. Eur. J. Oper. Res. 2014, 239, 469–478. [Google Scholar] [CrossRef]
- Larson, R.C. A hypercube queuing model for facility location and redistricting in urban emergency services. Comput. Oper. Res. 1974, 1, 67–95. [Google Scholar] [CrossRef]
- Jarvis, J.P. Approximating the equilibrium behavior of multi-server loss systems. Manag. Sci. 1985, 31, 235–239. [Google Scholar] [CrossRef]
- Larson, R.C.; Mcknew, M.A. Police patrol-initiated activities within a systems queueing model. Manag. Sci. 1982, 28, 759–774. [Google Scholar] [CrossRef]
- Atkinson, J.; Kovalenko, I.N.; Kuznetsov, N.; Mykhalevych, K. A hypercube queueing loss model with customer-dependent service rates. Eur. J. Oper. Res. 2008, 191, 223–239. [Google Scholar] [CrossRef]
- Iannoni, A.P.; Morabito, R.; Saydam, C. An optimization approach for ambulance location and the districting of the response segments on highways. Eur. J. Oper. Res. 2009, 195, 528–542. [Google Scholar] [CrossRef]
- Geroliminis, N.; Karlaftis, M.G.; Skabardonis, A. A spatial queuing model for the emergency vehicle districting and location problem. Transp. Res. Part B Part Methodol. 2009, 43, 798–811. [Google Scholar] [CrossRef]
- Boyacı, B.; Geroliminis, N. Approximation methods for large-scale spatial queueing systems. Transp. Res. Part B Methodol. 2015, 74, 151–181. [Google Scholar] [CrossRef]
- Daskin, M.S. A maximum expected covering location model: Formulation, properties and heuristic solution. Transp. Sci. 1983, 17, 48–70. [Google Scholar] [CrossRef]
- Goldberg, J.; Dietrich, R.; Chen, J.M.; Mitwasi, M.G.; Valenzuela, T.; Criss, E. Validating and applying a model for locating emergency medical vehicles in Tuczon, AZ. Eur. J. Oper. Res. 1990, 49, 308–324. [Google Scholar] [CrossRef]
- Nasrollahzadeh, A.A.; Khademi, A.; Mayorga, M.E. Real-time ambulance dispatching and relocation. Manuf. Serv. Oper. Manag. 2018, 20, 467–480. [Google Scholar] [CrossRef]
- Jenkins, P.R.; Robbins, M.J.; Lunday, B.J. Approximate dynamic programming for military medical evacuation dispatching policies. INFORMS J. Comput. 2021, 33, 2–26. [Google Scholar] [CrossRef]
- Gans, N.; Zhou, Y.P. A call-routing problem with service-level constraints. Oper. Res. 2003, 51, 255–271. [Google Scholar] [CrossRef]
- Gurvich, I.; Armony, M.; Mandelbaum, A. Service-level differentiation in call centers with fully flexible servers. Manag. Sci. 2008, 54, 279–294. [Google Scholar] [CrossRef]
- Schaack, C.; Larson, R.C. An N-server cutoff priority queue. Oper. Res. 1986, 34, 257–266. [Google Scholar] [CrossRef]
- Majzoubi, F.; Bai, L.; Heragu, S.S. An optimization approach for dispatching and relocating EMS vehicles. IIE Trans. Healthc. Syst. Eng. 2012, 2, 211–223. [Google Scholar] [CrossRef]
- McLay, L.A.; Mayorga, M.E. A dispatching model for server-to-customer systems that balances efficiency and equity. Manuf. Serv. Oper. Manag. 2013, 15, 205–220. [Google Scholar] [CrossRef]
- McLay, L.A.; Mayorga, M.E. A model for optimally dispatching ambulances to emergency calls with classification errors in patient priorities. IIE Trans. 2013, 45, 1–24. [Google Scholar] [CrossRef]
- Lei, X.; Hu, X.; Wang, G.; Luo, H. A multi-UAV deployment method for border patrolling based on Stackelberg game. J. Syst. Eng. Electron. 2023, 34, 99–116. [Google Scholar] [CrossRef]
- Dahan, M.; Sela, L.; Amin, S. Network inspection for detecting strategic attacks. Oper. Res. 2022, 70, 1008–1024. [Google Scholar] [CrossRef]
- Wang, B.; Kou, G.; Xiao, H. Defending a Series Signaling System Against Uncertain Attack Time with Individual Protection, False Nodes, and Overarching Protection. Reliab. Eng. Syst. Saf. 2025, 264, 111364. [Google Scholar] [CrossRef]







| Parameter | Description | Value |
|---|---|---|
| Arrival rate | 10 | |
| Service rate | 2 | |
| n | Number of response units | 10 |
| s | Number of sensors | 10 |
| r | Detection radius | 10 m |
| Instantaneous detection rate | 0.06 |
| System | Optimal Allocation | −log(Pescape) |
|---|---|---|
| Single-Layer | (10,10) | 4.151 |
| Two-Layer | (7,7), (3,3) | 6.983 |
| Three-Layer | (4,5), (3,3), (3,2) | 7.704 |
| Metric | Simulated Annealing | Tabu Search |
|---|---|---|
| Best Escape Probability (−log scale) | 8.271 | 8.271 |
| Average Escape Probability (−log scale) | 8.036 | 8.032 |
| Average Runtime (seconds) | 2.34 | 15.37 |
| Factors | Low | Medium | High |
|---|---|---|---|
| Ratio of response units to sensors | 0.75 | 0.96 | 1.2 |
| Instantaneous detection rate | 0.04 | 0.06 | 0.08 |
| Number of sensors s | 12 | 18 | 24 |
| Instance | 1 | 2 | 3 | 4 | 5 | 6 | 7 | 8 | 9 |
|---|---|---|---|---|---|---|---|---|---|
| Settings | n |
| Factors | Result | ||||
|---|---|---|---|---|---|
| Run | Fraction | Rate | Sensor | Result | CPU Time (s) |
| 1 | Low | Low | Low | 2.468417325 | 905.8492904 |
| 2 | Low | Low | Medium | 0.377122394 | 1453.895795 |
| 3 | Low | Low | High | 0.017213046 | 1859.566701 |
| 4 | Low | Medium | Low | 4.215767419 | 909.8106087 |
| 5 | Low | Medium | Medium | 1.85663959 | 1430.789385 |
| 6 | Low | Medium | High | 0.503115247 | 1852.283655 |
| 7 | Low | High | Low | 5.660872497 | 905.7008405 |
| 8 | Low | High | Medium | 3.680056187 | 1445.041258 |
| 9 | Low | High | High | 2.112280723 | 1817.905169 |
| 10 | Medium | Low | Low | 1.508244681 | 1124.397979 |
| 11 | Medium | Low | Medium | 0.122815612 | 1759.212189 |
| 12 | Medium | Low | High | 0.002220513 | 2340.808934 |
| 13 | Medium | Medium | Low | 3.401321815 | 1117.571303 |
| 14 | Medium | Medium | Medium | 1.219613748 | 1737.764299 |
| 15 | Medium | Medium | High | 0.217597993 | 2359.47242 |
| 16 | Medium | High | Low | 5.192311209 | 1109.597461 |
| 17 | Medium | High | Medium | 3.171271485 | 1744.040538 |
| 18 | Medium | High | High | 1.627679584 | 2305.239862 |
| 19 | High | Low | Low | 0.741589108 | 1220.965206 |
| 20 | High | Low | Medium | 0.027227451 | 1841.022417 |
| 21 | High | Low | High | 0.000261384 | 2454.786236 |
| 22 | High | Medium | Low | 2.548176912 | 1212.837232 |
| 23 | High | Medium | Medium | 0.608983365 | 1811.1534 |
| 24 | High | Medium | High | 0.061356706 | 2493.959533 |
| 25 | High | High | Low | 4.469005247 | 1230.350301 |
| 26 | High | High | Medium | 2.369278176 | 1883.218999 |
| 27 | High | High | High | 0.880806767 | 2454.921907 |
| Source | DF | Adj SS | Adj MS | F-Value | p-Value |
|---|---|---|---|---|---|
| fraction | 2 | 42.198 | 21.099 | 82.95 | 0 |
| rate | 2 | 290.012 | 145.006 | 570.11 | 0 |
| sensor | 2 | 319.899 | 159.949 | 628.86 | 0 |
| fraction × rate | 4 | 2.598 | 0.65 | 2.55 | 0.04 |
| fraction × sensor | 4 | 6.344 | 1.586 | 6.24 | 0 |
| rate × sensor | 4 | 31.372 | 7.843 | 30.84 | 0 |
| fraction × rate × sensor | 8 | 4.628 | 0.579 | 2.27 | 0.024 |
| Error | 216 | 54.939 | 0.254 | ||
| Total | 242 | 751.99 |
| Source | DF | Adj SS | Adj MS | F-Value | p-Value |
|---|---|---|---|---|---|
| fraction | 2 | 8,764,533 | 4,382,267 | 120.64 | 0 |
| rate | 2 | 2084 | 1042 | 0.03 | 0.972 |
| sensor | 2 | 52,086,944 | 26,043,472 | 716.98 | 0 |
| fraction × rate | 4 | 14,515 | 3629 | 0.1 | 0.982 |
| fraction × sensor | 4 | 837,890 | 209,473 | 5.77 | 0 |
| rate × sensor | 4 | 37,333 | 9333 | 0.26 | 0.905 |
| fraction × rate × sensor | 8 | 8520 | 1065 | 0.03 | 1 |
| Error | 216 | 7,845,915 | 36,324 | ||
| Total | 242 | 69,597,735 |
Disclaimer/Publisher’s Note: The statements, opinions and data contained in all publications are solely those of the individual author(s) and contributor(s) and not of MDPI and/or the editor(s). MDPI and/or the editor(s) disclaim responsibility for any injury to people or property resulting from any ideas, methods, instructions or products referred to in the content. |
© 2025 by the authors. Licensee MDPI, Basel, Switzerland. This article is an open access article distributed under the terms and conditions of the Creative Commons Attribution (CC BY) license (https://creativecommons.org/licenses/by/4.0/).
Share and Cite
Zhou, Y.; Batta, R. The Design of a Layered Security System Using Imperfect Sensors and Response Units. Mathematics 2025, 13, 3275. https://doi.org/10.3390/math13203275
Zhou Y, Batta R. The Design of a Layered Security System Using Imperfect Sensors and Response Units. Mathematics. 2025; 13(20):3275. https://doi.org/10.3390/math13203275
Chicago/Turabian StyleZhou, Yu, and Rajan Batta. 2025. "The Design of a Layered Security System Using Imperfect Sensors and Response Units" Mathematics 13, no. 20: 3275. https://doi.org/10.3390/math13203275
APA StyleZhou, Y., & Batta, R. (2025). The Design of a Layered Security System Using Imperfect Sensors and Response Units. Mathematics, 13(20), 3275. https://doi.org/10.3390/math13203275

