Trajectory Tracking of WMR with Neural Adaptive Correction
Abstract
1. Introduction
1.1. Motivation
1.2. Contributions
- This proposal presents a design for FLNN-based controllers, which do not require complete knowledge of the system dynamics. Some studies have shown the weakness of regression-based adaptive control in structures [23]. Where the adaptive controller was ineffective if any element of the regression vector was unknown (especially if it corresponded to model uncertainties), this technique, developed based on feedback linearization, SMC, and FLNN, is a solid proposal.
- This paper provides a rigorous analysis of the trajectory tracking control of WMR system, focusing on the control parameter conditions necessary to assure convergence spite the dynamic uncertainties. By examining the interaction dynamics between WMR and its surroundings, this study explores the effectiveness of adaptive neural network control considering the whole dynamics.
- The theory presented in this paper is validated by numerical simulations. For the simulation, a five-degree-of-freedom kinematics and dynamics model was selected to represent the WMR. This simulation demonstrates the effectiveness of the control scheme in managing disturbances and kinematics and dynamics uncertainties. The main objective of this article is to apply an advanced adaptive control method that unifies the variations and uncertainties of the model (kinematics and dynamics) in a global structure to reduce trajectory tracking error. The proposed solution employs a control structure based on feedback linearization using sliding surfaces with neuroadaptive capability, based on functional-link neural networks (FLNNs). This integrated approach not only allows the system to respond quickly to incertainties, but also self-adjusts internal neural parameters to reduce trajectory error. The result is greater robustness, adaptability, and stability for WMR vehicles, which significantly improves performance in real operating conditions.
- This work presents comprehensive simulations and theoretical analyses, ensuring system stability using the Lyapunov stability theory.
1.3. Organization
2. WMR Model
- , are the coordinates of WMR in the XY plane.
- , are the desrired coordinates of WMR in the XY plane.
- v and are the linear and angular velocities developed by the WMR, respectively.
- G indicates the robot’s center of mass.
- c is the position of the rotating wheel.
- E is the location of the tool it carries (e.g., lidar or sensors, depending on the application).
- h is the point where the vehicle is referenced containing the coordinates , .
- indicates the orientation of the robot.
- a is the difference between the reference point and the center point of the virtual axis connecting the drive wheels.
3. Model Reformulation
- is the state vector.
- are the control inputs (control actions for and v).
- is , WMR parameters.
- is , disturbances and unmodeled dynamics.
- Outputs: .
4. SMC Controller Design
Uncertainties and Dynamic Variations
5. Adaptive Neural Network Implementation
6. Stability Analysis and Tuning Laws
7. Simulation
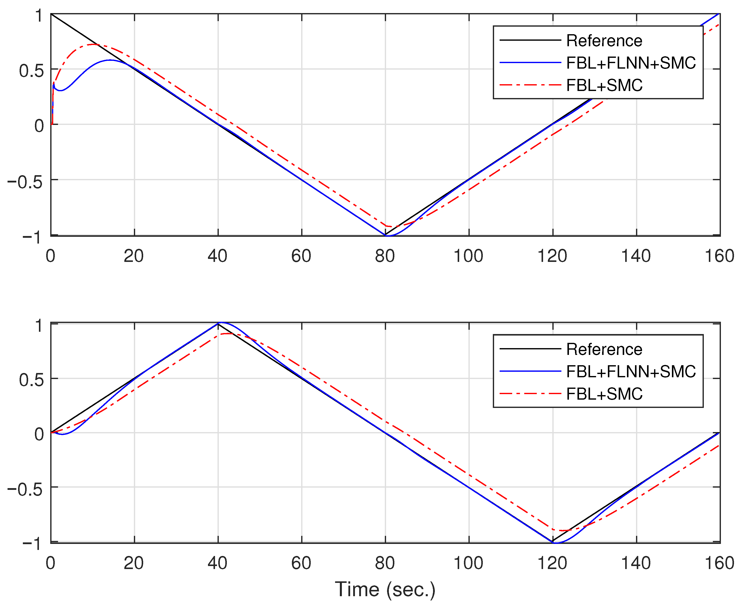
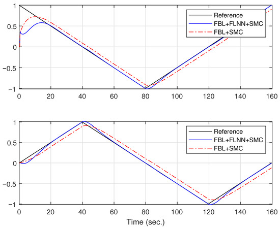
7.1. Results
7.2. Discussion
8. Conclusions
Author Contributions
Funding
Data Availability Statement
Acknowledgments
Conflicts of Interest
Abbreviations
| WMR | Wheeled Mobile Robot |
| LABC | Linear Algebra-Based Control |
| FO | Fractional Order |
| SMC | Sliding Mode Control (controller) |
| FLNN | Functional-Link Neural Network |
| AITSMC | Adaptive Integral Terminal Sliding Mode Control |
| DOBC | Disturbance-Observer-Based Control |
Appendix A. Relative Degree
Appendix B
- is the radius of the left and right wheels;
- is equal to the electro motoric force constant multiplied by the reduction constant;
- is the electric resistance;
- is the constant of torque multiplied by the reduction constant;
- , , and are positive constants;
- is the moment of inertia (electric actuator);
- is the viscous friction coefficient (electric actuator);
- is the nominal radius of the wheel.
References
- Wit, C.C.d.; Khennouf, H.; Samson, C.; Sordalen, O.J. Nonlinear control design for mobile robots. In Recent Trends in Mobile Robots; World Scientific: Singapore, 1993; pp. 121–156. [Google Scholar]
- Patiño, K.; Slawiñski, E.; Moran-Armenta, M.; Mut, V.; Rossomando, F.G.; Moreno-Valenzuela, J. Neural Networks in the Delayed Teleoperation of a Skid-Steering Robot. Mathematics 2025, 13, 2071. [Google Scholar] [CrossRef]
- Xu, J.X.; Guo, Z.Q.; Lee, T.H. Design and implementation of integral sliding-mode control on an underactuated two-wheeled mobile robot. IEEE Trans. Ind. Electron. 2013, 61, 3671–3681. [Google Scholar] [CrossRef]
- Zhang, Z.; Wen, C.; Xing, L.; Song, Y. Adaptive output feedback control of nonlinear systems with mismatched uncertainties under input/output quantization. IEEE Trans. Autom. Control 2022, 67, 4801–4808. [Google Scholar] [CrossRef]
- Zheng, B.C.; Park, J.H. Sliding mode control design for linear systems subject to quantization parameter mismatch. J. Frankl. Inst. 2016, 353, 37–53. [Google Scholar] [CrossRef]
- Ma, Y.; Liu, L.; Zhu, C.; Liu, Y.; Zeng, Q. Robust Safety Critical Control for Nonholonomic Wheeled Mobile Robot Trajectory Tracking with Matched Disturbance. In Proceedings of the 2024 IEEE 8th International Conference on Vision, Image and Signal Processing (ICVISP), Kunming, China, 27–29 December 2024; pp. 1–5. [Google Scholar] [CrossRef]
- Yu, X.; Yu, X. Brain-Controlled Wheeled Mobile Robots: A Framework Combining Probabilistic Brain–Computer Interface and Model Predictive Control. IEEE Trans. Cybern. 2025, 55, 4311–4321. [Google Scholar] [CrossRef] [PubMed]
- Zhang, Y.; Zhao, B.; Liu, D. Distributed Optimal Containment Control of Wheeled Mobile Robots via Adaptive Dynamic Programming. IEEE Trans. Syst. Man Cybern. Syst. 2025, 55, 5876–5886. [Google Scholar] [CrossRef]
- Hasanlu, M.; Siavashi, M. Fuzzy adaptive back stepping control of wheeled mobile robot. Robot. Syst. Appl. 2025, 5, 12–27. [Google Scholar] [CrossRef]
- Mondal, S.; Verma, G.K.; Ray, R.; Vadali, S.R.K.; Aruchamy, S.; Nandy, S. Polynomial Based Intelligent Path-following Control Scheme for Nonholonomic Mobile Robots: Theory and Experiments. Int. J. Control. Autom. Syst. 2025, 23, 2117–2131. [Google Scholar] [CrossRef]
- Guo, J.; Luo, Y.; Li, K. Adaptive neural-network sliding mode cascade architecture of longitudinal tracking control for unmanned vehicles. Nonlinear Dyn. 2017, 87, 2497–2510. [Google Scholar] [CrossRef]
- Martins, F.N.; Celeste, W.C.; Carelli, R.; Sarcinelli-Filho, M.; Bastos-Filho, T.F. An adaptive dynamic controller for autonomous mobile robot trajectory tracking. Control Eng. Pract. 2008, 16, 1354–1363. [Google Scholar] [CrossRef]
- Filipescu, A.; Solea, R.; Stamatescu, G.; Ciubucciu, G. Trajectory-Tracking Sliding-Mode Control of the Autonomous Wheelchair Modeled as a Nonholonomic WMR. In Proceedings of the 2018 IEEE 14th International Conference on Control and Automation (ICCA), Anchorage, AK, USA, 12–15 June 2018; pp. 1168–1173. [Google Scholar]
- Yang, L.; Pan, S. A Sliding mode control method for trajectory tracking control of wheeled mobile robot. J. Phys. Conf. Ser. 2018, 1074, 012059. [Google Scholar] [CrossRef]
- Gao, H.; Song, X.; Ding, L.; Xia, K.; Li, N.; Deng, Z. Adaptive motion control of wheeled mobile robot with unknown slippage. Int. J. Control 2014, 87, 1513–1522. [Google Scholar] [CrossRef]
- Park, B.S.; Yoo, S.J.; Park, J.B.; Choi, Y.H. Adaptive neural sliding mode control of nonholonomic wheeled mobile robots with model uncertainty. IEEE Trans. Control Syst. Technol. 2008, 17, 207–214. [Google Scholar] [CrossRef]
- Shojaei, K.; Shahri, A.M.; Tarakameh, A.; Tabibian, B. Adaptive trajectory tracking control of a differential drive wheeled mobile robot. Robotica 2011, 29, 391–402. [Google Scholar] [CrossRef]
- Tran, D.L.; Cao, N.T.D.; Phan, V.D.; Duong, D.T.; Ho, S.P. Advanced trajectory tracking control for wheeled mobile robots under actuator faults and slippage. Bull. Electr. Eng. Inform. 2025, 14, 1746–1757. [Google Scholar] [CrossRef]
- Scaglia, G.; Montoya, L.Q.; Mut, V.; di Sciascio, F. Numerical methods based controller design for mobile robots. Robotica 2009, 27, 269–279. [Google Scholar] [CrossRef]
- Petrov, P.; Kralov, I. Exponential Trajectory Tracking Control of Nonholonomic Wheeled Mobile Robots. Mathematics 2025, 13, 1. [Google Scholar] [CrossRef]
- Labbadi, M.; Boubaker, S.; Djemai, M.; Mekni, S.K.; Bekrar, A. Fixed-time fractional-order global sliding mode control for nonholonomic mobile robot systems under external disturbances. Fractal Fract. 2022, 6, 177. [Google Scholar] [CrossRef]
- Phan, V.D.; Ho, S.P.; Dang, T.S.; Le, V.C.; Dinh, V.N. Development of an Adaptive Integral Terminal Sliding Mode Tracking Control for a Wheeled Mobile Robot with Time Delay Estimation. Int. J. Control. Autom. Syst. 2025, 23, 2399–2410. [Google Scholar] [CrossRef]
- Ioannou, P.A.; Sun, J. Robust Adaptive Control; PTR Prentice-Hall: Upper Saddle River, NJ, USA, 1996; Volume 1. [Google Scholar]
- De La Cruz, C.; Carelli, R. Dynamic modeling and centralized formation control of mobile robots. In Proceedings of the IECON 2006-32nd Annual Conference on IEEE Industrial Electronics, Paris, France, 6–10 November 2006; pp. 3880–3885. [Google Scholar]
- Khalil, H.K. Nonlinear Systems; Prentice Hall: Upper Saddle River, NJ, USA, 2002. [Google Scholar]
- Polycarpou, M.M. Stable adaptive neural control scheme for nonlinear systems. IEEE Trans. Autom. Control 2002, 41, 447–451. [Google Scholar] [CrossRef]
- Shtessel, Y.; Edwards, C.; Fridman, L.; Levant, A. Sliding Mode Control and Observation; Springer: New York, NY, USA, 2014; Volume 10. [Google Scholar]
- Lewis, F.L.; Jagannathan, S.; Yesildirak, A. Neural Network Control of Robot Manipulators and Non-Linear Systems; CRC Press: Philadelphia, PA, USA, 1999. [Google Scholar]









| 0.3037 | 0.2768 | −0.0004018 | 0.9835 | −0.003818 | 1.0725 |
Disclaimer/Publisher’s Note: The statements, opinions and data contained in all publications are solely those of the individual author(s) and contributor(s) and not of MDPI and/or the editor(s). MDPI and/or the editor(s) disclaim responsibility for any injury to people or property resulting from any ideas, methods, instructions or products referred to in the content. |
© 2025 by the authors. Licensee MDPI, Basel, Switzerland. This article is an open access article distributed under the terms and conditions of the Creative Commons Attribution (CC BY) license (https://creativecommons.org/licenses/by/4.0/).
Share and Cite
Boubaker, S.; Gaia, J.; Zavalla, E.; Kamel, S.; Alsubaei, F.S.; Bourennani, F.; Rossomando, F. Trajectory Tracking of WMR with Neural Adaptive Correction. Mathematics 2025, 13, 3178. https://doi.org/10.3390/math13193178
Boubaker S, Gaia J, Zavalla E, Kamel S, Alsubaei FS, Bourennani F, Rossomando F. Trajectory Tracking of WMR with Neural Adaptive Correction. Mathematics. 2025; 13(19):3178. https://doi.org/10.3390/math13193178
Chicago/Turabian StyleBoubaker, Sahbi, Jeremias Gaia, Eduardo Zavalla, Souad Kamel, Faisal S. Alsubaei, Farid Bourennani, and Francisco Rossomando. 2025. "Trajectory Tracking of WMR with Neural Adaptive Correction" Mathematics 13, no. 19: 3178. https://doi.org/10.3390/math13193178
APA StyleBoubaker, S., Gaia, J., Zavalla, E., Kamel, S., Alsubaei, F. S., Bourennani, F., & Rossomando, F. (2025). Trajectory Tracking of WMR with Neural Adaptive Correction. Mathematics, 13(19), 3178. https://doi.org/10.3390/math13193178

