Truncated M-Fractional Exact Solutions, Stability Analysis, and Modulation Instability of the Classical Lonngren Wave Model
Abstract
1. Introduction
- Step 1: Apply the definition to the linear combination. Let us consider using the given definition:
- Step 2: Distribute the limit.
- Step 3: Separate the terms.
- Step 4: Factor out constants.
- Step 5: Apply the definition of the fractional derivative.The final answer is
2. Description of Techniques
2.1. Description of EShGEE Scheme
- Phase 1:Consider an FNLPD equationwhere g denotes the profile.Applying the given transformation in [36] within the framework of the truncated M-fractional derivative, we obtain the following:
- Phase 2:Assume the solution of Equation (4) takes the formHere, , , are unknowns. A novel function f of satisfies the following:Positive integer “m” is obtained through utilizing the homogenous balance rule. Equation (6) is obtained by applying the following:.
- Phase 3:
- Phase 4:
2.2. Description of Modified Expansion Scheme
- Step 1:
- Step 2:Consider the solution of Equation (4) in the formHere, are unknowns where . A new auxiliary function G = satisfiesHere, a and b represent the parameters. The results obtained by the authors for Equation (13) depend on a, as follows:
- Case 1: yields
- Case 2: if , then
- Case 3: if and , thenHere, and are constants.
- Step 3:
- Step 4:
3. Mathematical Analysis
3.1. Exact Wave Solutions Through the EShGEE Technique
- Set 1;
- Set 2;
- Set 3;
3.2. Exact Wave Solutions Through Modified Expansion Technique
- Set:
- Case 1: If ,
- Case 2: If ,
- Case 3: If and ,
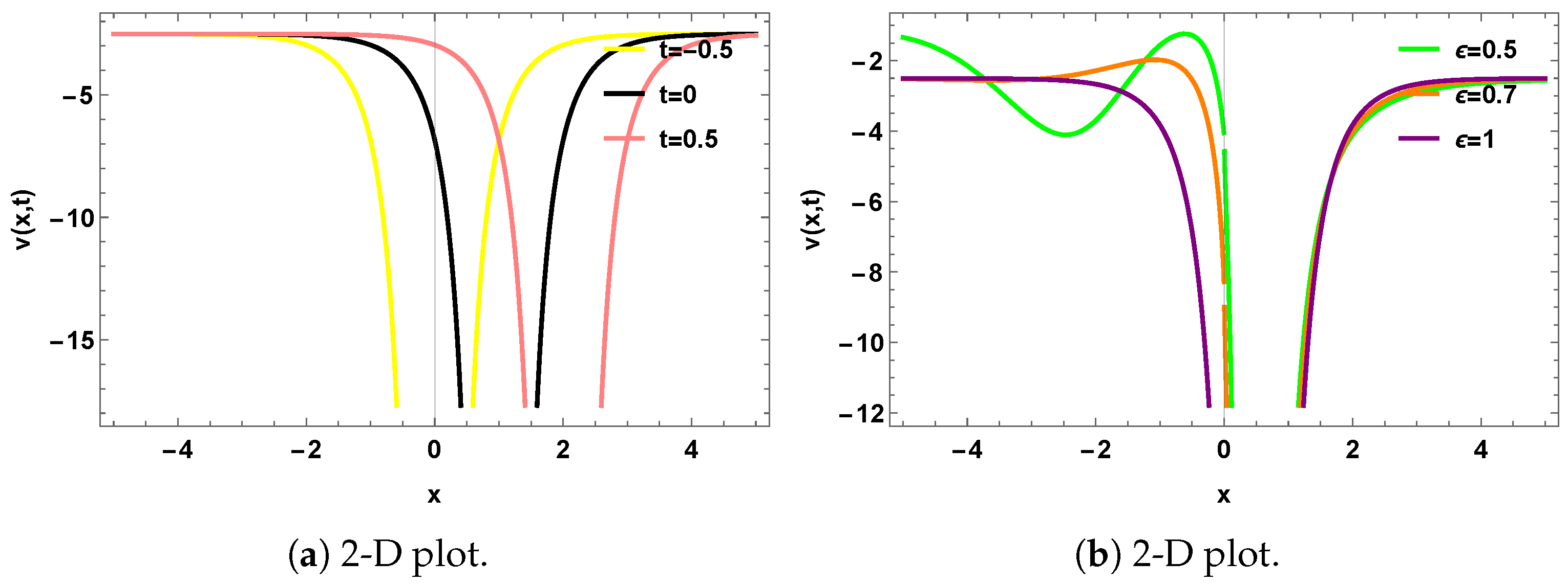
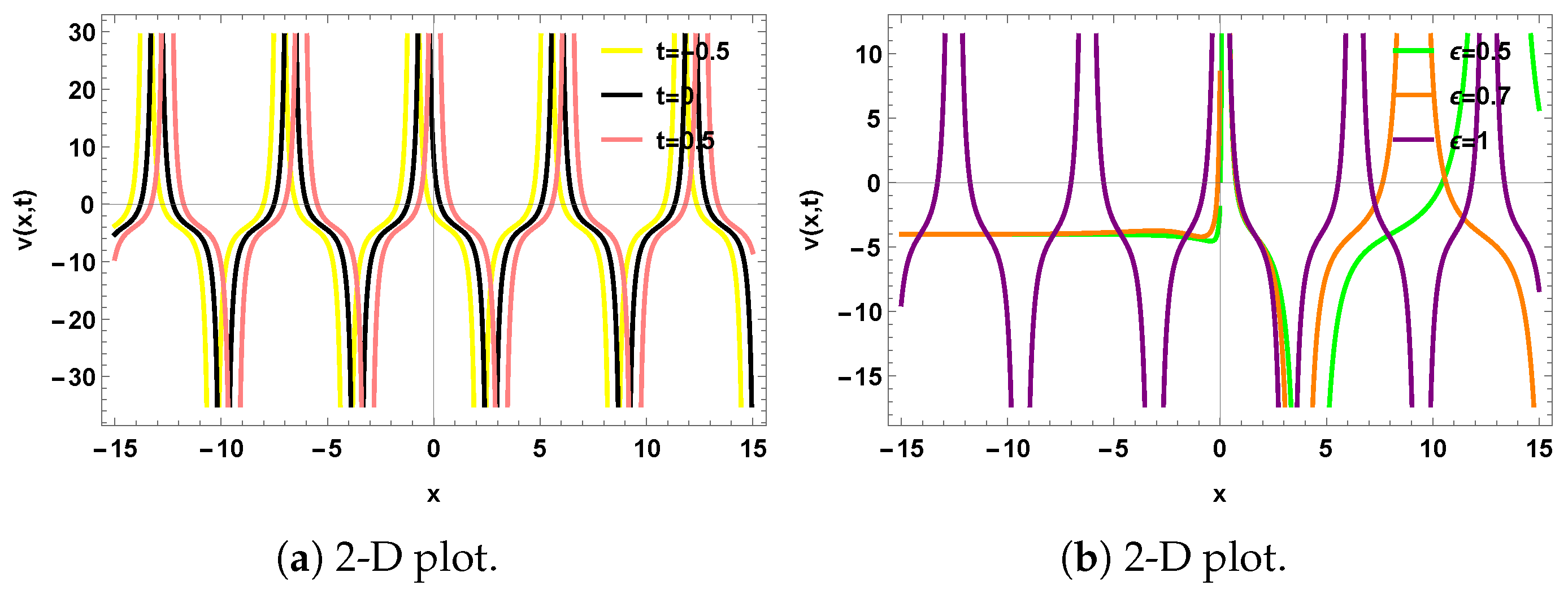
4. Graphical Representation
5. Qualitative Analysis
5.1. Stability Analysis
5.2. Modulation Instability (MI) Analysis
6. Conclusions
Author Contributions
Funding
Data Availability Statement
Conflicts of Interest
References
- Ahmad, J.; Akram, S.; Rehman, S.U.; Turki, N.B.; Shah, N.A. Description of Soliton and Lump Solutions to M-Truncated Stochastic Biswas–Arshed Model in Optical Communication. Results Phys. 2024, 51, 106719. [Google Scholar] [CrossRef]
- Qawaqneh, H.; Manafian, J.; Alharthi, M.; Alrashedi, Y. Stability Analysis, Modulation Instability, and Beta-Time Fractional Exact Soliton Solutions to the Van der Waals Equation. Mathematics 2024, 12, 2144. [Google Scholar] [CrossRef]
- Batiha, I.M.; Njadat, S.A.; Batyha, R.M.; Zraiqat, A.; Dababneh, A.; Momani, S. Design Fractional-Order PID Controllers for Single-Joint Robot Arm Model. Int. J. Adv. Soft Comput. Appl. 2022, 14, 96–114. [Google Scholar] [CrossRef]
- Liu, C. The Traveling Wave Solution and Dynamics Analysis of the Fractional Order Generalized Pochhammer–Chree Equation. AIMS Math. 2024, 9, 33956–33972. [Google Scholar] [CrossRef]
- Qawaqneh, H.; Jari, H.A.; Altalbe, A.; Bekir, A. Stability Analysis, Modulation Instability, and the Analytical Wave Solitons to the Fractional Boussinesq-Burgers System. Phys. Scr. 2024, 99, 125235. [Google Scholar] [CrossRef]
- Judeh, D.A.; Hammad, M.A. Applications of Conformable Fractional Pareto Probability Distribution. Int. J. Adv. Soft Comput. Appl. 2022, 14, 115–124. [Google Scholar]
- Mohammed, W.W.; Cesarano, C.; Iqbal, N.; Sidaoui, R.; Ali, E.E. The Exact Solutions for the Fractional Riemann Wave Equation in Quantum Mechanics and Optics. Phys. Scr. 2024, 99, 085245. [Google Scholar] [CrossRef]
- Chahlaoui, Y.; Ali, A.; Ahmad, J.; Javed, S. Dynamical Behavior of Chaos, Bifurcation Analysis and Soliton Solutions to a Konno-Onno Model. PLoS ONE 2023, 18, e0291197. [Google Scholar] [CrossRef]
- Mehdi, K.B.; Mehdi, Z.; Samreen, S.; Siddique, I.; Elmandouh, A.A.; Elbrolosy, M.E.; Osman, M.S. Novel Exact Traveling Wave Solutions of the Space-Time Fractional Sharma–Tasso–Olver Equation via Three Reliable Methods. Partial Differ. Equ. Appl. Math. 2024, 11, 100784. [Google Scholar] [CrossRef]
- Ahmed, S.; Jahan, S.; Nisar, K.S. Haar Wavelet Based Numerical Technique for the Solutions of Fractional Advection Diffusion Equations. J. Math. Comput. Sci. 2024, 34, 217–233. [Google Scholar] [CrossRef]
- Altaf, S.; Alderremy, A.A.; Mahmoud, E.E. Exact Wave Solutions of Truncated M-Fractional Boussinesq-Burgers System via an Effective Method. Phys. Scr. 2024, 99, 095263. [Google Scholar]
- Akram, S.; Ahmad, J.; Rehman, S.U.; Younas, T. Stability Analysis and Dispersive Optical Solitons of Fractional Schrödinger–Hirota Equation. Opt. Quantum Electron. 2023, 55, 664. [Google Scholar] [CrossRef]
- Qawaqneh, H.; Zafar, A.; Raheel, M.; Zaagan, A.A.; Zahran, E.H.; Cevikel, A.; Bekir, A. New Soliton Solutions of M-Fractional Westervelt Model in Ultrasound Imaging via Two Analytical Techniques. Opt. Quantum Electron. 2024, 56, 737. [Google Scholar] [CrossRef]
- Mahmood, T.; Alhawael, G.; Akram, S.; Rahman, M.U. Exploring the Lie Symmetries, Conservation Laws, Bifurcation Analysis and Dynamical Waveform Patterns of Diverse Exact Solution to the Klein–Gordon Equation. Opt. Quantum Electron. 2024, 56, 1978. [Google Scholar] [CrossRef]
- Al Oweidi, K.F.; Aal-Rkhais, H.A. Existence Results for a Nonlinear Degenerate Parabolic Equation Involving p-Laplacian Type Diffusion Process. Iraqi J. Sci. 2024, 65, 5081–5094. [Google Scholar] [CrossRef]
- Akram, S.; Ahmad, J.; Alkarni, S.; Shah, N.A. Exploration of Solitary Wave Solutions of Highly Nonlinear KDV–KP Equation Arise in Water Wave and Stability Analysis. Results Phys. 2023, 54, 107054. [Google Scholar] [CrossRef]
- Alqahtani, A.; Akram, S.; Alosaimi, M. Study of Bifurcations, Chaotic Structures with Sensitivity Analysis and Novel Soliton Solutions of Non-Linear Dynamical Model. J. Taibah Univ. Sci. 2024, 18, 2399870. [Google Scholar] [CrossRef]
- Luo, M.; Qiu, W.; Nikan, O.; Avazzadeh, Z. Second-Order Accurate, Robust and Efficient ADI Galerkin Technique for the Three-Dimensional Nonlocal Heat Model Arising in Viscoelasticity. Appl. Math. Comput. 2023, 440, 127655. [Google Scholar] [CrossRef]
- Aal-Rkhais, H.A.; Kamil, A.H.; Al Oweidi, K.F. The Approximation of Weighted Hölder Functions by Fourier-Jacobi Polynomials to the Singular Sturm-Liouville Operator. Baghdad Sci. J. 2022, 19, 2636. [Google Scholar] [CrossRef]
- El-Shorbagy, M.A.; Akram, S.; Rahman, M.U.; Nabwey, H.A. Analysis of Bifurcation, Chaotic Structures, Lump and M-W-Shape Soliton Solutions to (2+1) Complex Modified Korteweg-de-Vries System. AIMS Math. 2024, 9, 16116–16145. [Google Scholar] [CrossRef]
- Lephoko, M.Y.T.; Khalique, C.M. A Study of the Exact Solutions and Conservation Laws of the Classical Lonngren Wave Equation for Communication Signals. Malays. J. Math. Sci. 2024, 18, 209–226. [Google Scholar] [CrossRef]
- Lonngren, K.E.; Hsuan, H.C.S.; Ames, W.F. On the Soliton, Invariant, and Shock Solutions of a Fourth-Order Nonlinear Equation. J. Math. Anal. Appl. 1975, 52, 538–545. [Google Scholar] [CrossRef]
- Baskonus, H.M.; Bulut, H.; Sulaiman, T.A. New Complex Hyperbolic Structures to the Lonngren-Wave Equation by Using Sine-Gordon Expansion Method. Appl. Math. Nonlinear Sci. 2019, 4, 129–138. [Google Scholar] [CrossRef]
- Yokuş, A. Simulation of Bright–Dark Soliton Solutions of the Lonngren Wave Equation Arising the Model of Transmission Lines. Mod. Phys. Lett. B 2021, 35, 2150484. [Google Scholar] [CrossRef]
- Duran, S. Travelling Wave Solutions and Simulation of the Lonngren Wave Equation for Tunnel Diode. Opt. Quantum Electron. 2021, 53, 458. [Google Scholar] [CrossRef]
- Hussain, A.; Usman, M.; Zaman, F.D.; Almalki, Y. Lie Group Analysis for Obtaining the Abundant Group Invariant Solutions and Dynamics of Solitons for the Lonngren-Wave Equation. Chin. J. Phys. 2023, 86, 447–457. [Google Scholar] [CrossRef]
- Zafar, A.; Bekir, A.; Raheel, M.; Razzaq, W. Optical Soliton Solutions to Biswas–Arshed Model with Truncated M-Fractional Derivative. Optik 2020, 222, 165355. [Google Scholar] [CrossRef]
- Seadawy, A.R.; Kumar, D.; Chakrabarty, A.K. Dispersive Optical Soliton Solutions for the Hyperbolic and Cubic-Quintic Nonlinear Schrödinger Equations via the Extended Sinh-Gordon Equation Expansion Method. Eur. Phys. J. Plus 2018, 133, 182. [Google Scholar] [CrossRef]
- Bezgabadi, A.S.; Bolorizadeh, M.A. Analytic Combined Bright-Dark, Bright and Dark Solitons Solutions of Generalized Nonlinear Schrödinger Equation Using Extended Sinh-Gordon Equation Expansion Method. Results Phys. 2021, 30, 104852. [Google Scholar] [CrossRef]
- Kumar, D.; Manafian, J.; Hawlader, F.; Ranjbaran, A. New Closed Form Soliton and Other Solutions of the Kundu–Eckhaus Equation via the Extended Sinh-Gordon Equation Expansion Method. Optik 2018, 160, 159–167. [Google Scholar] [CrossRef]
- Behera, S.; Behera, D. Nonlinear Wave Dynamics of (1+1)-Dimensional Conformable Coupled Nonlinear Higgs Equation Using Modified (G′/G2)-Expansion Method. Phys. Scr. 2025; in press. [Google Scholar]
- Saboor, A.; Shakeel, M.; Liu, X.; Zafar, A.; Ashraf, M. A Comparative Study of Two Fractional Nonlinear Optical Model via Modified (G′/G2)-Expansion Method. Opt. Quantum Electron. 2024, 56, 259. [Google Scholar] [CrossRef]
- Aljahdaly, N.H. Some Applications of the Modified (G′/G2)-Expansion Method in Mathematical Physics. Results Phys. 2019, 13, 102272. [Google Scholar] [CrossRef]
- Sulaiman, T.A.; Yel, G.; Bulut, H. M-Fractional Solitons and Periodic Wave Solutions to the Hirota-Maccari System. Mod. Phys. Lett. B 2019, 33, 1950052. [Google Scholar] [CrossRef]
- Sousa, J.V.D.A.C.; Oliveira, E.C.D. A New Truncated M-Fractional Derivative Type Unifying Some Fractional Derivative Types with Classical Properties. Int. J. Anal. Appl. 2018, 16, 83–96. [Google Scholar] [CrossRef]
- Lu, J. New Exact Solutions for Kudryashov–Sinelshchikov Equation. Adv. Differ. Equ. 2018, 2018, 374. [Google Scholar] [CrossRef]
- Yang, X.L.; Tang, J.S. Travelling wave solutions for Konopelchenko-Dubrovsky equation using an extended sinh-Gordon equation expansion method. Commun. Theor. Phys. 2008, 50, 1047. [Google Scholar]
- Zhang, Y.; Zhang, L.; Pang, J. Application of (G′/G2) Expansion Method for Solving Schrödinger’s Equation with Three-Order Dispersion. Adv. Appl. Math. 2017, 6, 212–217. [Google Scholar] [CrossRef]
- Qawaqneh, H.; Alrashedi, Y. Mathematical and Physical Analysis of Fractional Estevez–Mansfield–Clarkson Equation. Fractal Fract. 2024, 8, 467. [Google Scholar] [CrossRef]
- Tariq, K.U.; Wazwaz, A.-M.; Javed, R. Construction of Different Wave Structures, Stability Analysis and Modulation Instability of the Coupled Nonlinear Drinfel’d–Sokolov–Wilson Model. Chaos Solitons Fractals 2023, 166, 112903. [Google Scholar] [CrossRef]
- Rehman, S.U.; Ahmad, J. Modulation Instability Analysis and Optical Solitons in Birefringent Fibers to RKL Equation without Four Wave Mixing. Alex. Eng. J. 2021, 60, 1339–1354. [Google Scholar] [CrossRef]
- Qawaqneh, H.; Manafian, J.; Alsubaie, A.S.; Ahmad, H. Investigation of Exact Solitons to the Quartic Rosenau-Kawahara-Regularized-Long-Wave Fluid Model with Fractional Derivative and Qualitative Analysis. Phys. Scr. 2024, 100, 015270. [Google Scholar] [CrossRef]










Disclaimer/Publisher’s Note: The statements, opinions and data contained in all publications are solely those of the individual author(s) and contributor(s) and not of MDPI and/or the editor(s). MDPI and/or the editor(s) disclaim responsibility for any injury to people or property resulting from any ideas, methods, instructions or products referred to in the content. |
© 2025 by the authors. Licensee MDPI, Basel, Switzerland. This article is an open access article distributed under the terms and conditions of the Creative Commons Attribution (CC BY) license (https://creativecommons.org/licenses/by/4.0/).
Share and Cite
Qawaqneh, H.; Alsharidi, A.K. Truncated M-Fractional Exact Solutions, Stability Analysis, and Modulation Instability of the Classical Lonngren Wave Model. Mathematics 2025, 13, 3107. https://doi.org/10.3390/math13193107
Qawaqneh H, Alsharidi AK. Truncated M-Fractional Exact Solutions, Stability Analysis, and Modulation Instability of the Classical Lonngren Wave Model. Mathematics. 2025; 13(19):3107. https://doi.org/10.3390/math13193107
Chicago/Turabian StyleQawaqneh, Haitham, and Abdulaziz Khalid Alsharidi. 2025. "Truncated M-Fractional Exact Solutions, Stability Analysis, and Modulation Instability of the Classical Lonngren Wave Model" Mathematics 13, no. 19: 3107. https://doi.org/10.3390/math13193107
APA StyleQawaqneh, H., & Alsharidi, A. K. (2025). Truncated M-Fractional Exact Solutions, Stability Analysis, and Modulation Instability of the Classical Lonngren Wave Model. Mathematics, 13(19), 3107. https://doi.org/10.3390/math13193107
