Abstract
The logistic modeling of diauxic growth and biphasic antibacterial activity (AA) production was enhanced for four lactic acid bacteria (Lactococcus lactis CECT 539, Pediococcus acidilactici NRRL B-5627, Lactobacillus casei CECT 4043, and Enterococcus faecium CECT 410) during realkalized fed-batch fermentations. The improved growth model, also validated for describing the diauxic growth of Mos breed roosters and foals, overcomes a key limitation of the bi-logistic model, which assumes the existence of two distinct populations growing from the start of the culture, each following a different growth profile. In contrast, the improved logistic growth model developed in this study accounts for a single population growing at two rates, offering a fit to the experimental data comparable to that of the commonly used bi-logistic model. The enhanced model for product synthesis accurately describes biphasic AA production, assuming that antibacterial products are synthesized as growth-associated metabolites, depending on the final pH reached in the cultures at each sampling time. Additionally, it is easier to apply than the unmodified or modified differential forms of the Luedeking–Piret model. This study demonstrated, for the first time, the applicability of these two models in describing the diauxic growth and biphasic AA synthesis of LAB.
Keywords:
biphasic bacteriocin production; diauxic growth; fed-batch fermentation; lactic acid bacteria; improved mathematical models MSC:
37M10
1. Introduction
Various mathematical models have been employed to describe the kinetics of growth (e.g., Verhulst, Gompertz, Richards, Bertalanffy, Weibull, Monod, etc.) and bacteriocin synthesis (e.g., unmodified and modified forms of the Luedeking–Piret model) in lactic acid bacteria (LAB) during both batch and fed-batch fermentations [1,2,3,4,5,6]. However, for effective monitoring and control of these bioprocesses, it is essential to use models that provide the most accurate description of growth and bacteriocin production kinetics in LAB [1,5], particularly from a microbiological perspective.
The simple-logistic Equation (1) has been commonly used to describe the batch biomass production (X(t)) of LAB in different cultures [4,5,7]:
where K and X0 are the maximum and the initial biomass concentration (g/L), respectively, aX1 (hours−1) is the growth rate, and t is the time (hours).
However, Equation (1) fails to accurately describe the lag phase (by either underestimating or overestimating the initial biomass concentration) and the decline phases of growth. To address this limitation, a generalized-logistic Equation (2) was proposed by Edwards and Wilke [7] and DeWitt [8] to better model cell growth:
where aX2 (h−2) and aXn (h−n) are constants in model (2) that determine the influence of the t2 (time raised to the power of 2) and tn (time raised to the power of n) terms on the growth behavior being modeled. Thus, aX2 and aXn modulate how time influences biomass production, X(t), in a nonlinear manner based on higher powers of time.
The cell growth and product formation were appropriately described using a particular form of the generalized logistic Equation (2) [9]:
The introduction of the term aX2·t2 into the equation may allow the model to better capture more complex growth behaviors than a simple logistic model, including the consideration of the decline in growth toward the end of the culture period [7,8,9]. If the growth experiences either acceleration or deceleration that cannot be captured by a logistic model (1), removing this term (aX2·t2) could lead to a poor fit.
In the case of a diauxic culture, which involves the growth of a microorganism that can utilize two distinct carbon or nitrogen sources [4,10,11,12], the logistic equation can be modified to reflect this behavior. For example, the diauxic growth of different microbiological [4,10,11,12] and biological (e.g., Mos breed roosters and foals) [5] populations has been described by using the bi-logistic model (4) [5,11,12], mainly due to easy use, simplicity and reproducibility:
where K1 and K2 are considered to be the maximum biomass concentrations (g/L) in the first and second growth phases, respectively, aX0 (dimensionless) and aX1 (hours−1), are constants for the first growth phase, and bX0 (dimensionless) and bX1 (hours−1) are constants, with the same meaning of aX0 and aX1, for the second growth phase. X1(t) and X2(t) are the biomass concentrations (g/L) over the time for the population 1 and 2.
Making ; gives
So that
Expression (6) could be transformed as follows:
Making K1 = Gm1; K2 = Gm2; aX1 = μm1; bX1 = μm2; τ1 = c1/aX1 and τ2 = c2/bX1 gives the expression used by Vázquez et al. [5] to describe the biphasic growth of Mos breed roosters and foals:
where τ (hours), μm (hours−1), and Gm (g/L) represent the time required to reach 50% of maximum growth, the specific maximum net growth rate, and the maximum net growth, respectively, and t is the time (hours). The superscripts 1 and 2 refer to the first and second sigmoidal phases of the biphasic growth pattern [5].
To improve the diauxic growth predictions, a generalized bi-logistic model could be used, as proposed by Edwards and Wilke [7] and DeWitt [8] for the monoauxic growth:
In fact, the bi-logistic models (4) and (9) are extensions of the logistic models (1) and (3), respectively. These models assume the simultaneous growth of two interacting microbial populations, X1(t) and X2(t), from the beginning of the culture (time zero), with their growth limited by factors such as resource availability and interspecies competition. The combined growth of both populations equals the total growth observed in the culture (Figure 1).
Figure 1.
Experimental data (circles) and model predictions (lines) using the bi-logistic model for bacterial diauxic growth. The figure shows the total biomass concentration, X1(t) + X2(t), along with the individual population dynamics X1(t) and X2(t). TP denotes the duration of the transitional phase between the two growth phases, and SP indicates the stationary phase, corresponding to the second growth phase.
However, these assumptions limit the suitability of the bi-logistic model for describing diauxic growth in pure cultures of bacteria or yeast, where growth typically occurs in distinct phases rather than concurrently. Nevertheless, models (4) and (9) may still be valuable for exploring ecological dynamics in microbial communities involving two species and can be applied in studies of microbiology, microbial ecology, and biotechnology.
In contrast to the assumptions of the bi-logistic model, pure cultures of microorganisms involve the growth of a single strain, even when two distinct growth phases are observed (Figure 1). In such cases, the microorganism sequentially utilizes two different carbon or nitrogen sources [4,10,11,12,13,14]. During the first growth phase, the strain consumes the carbon or nitrogen source that is easier to metabolize. Once this nutrient is depleted, the cells enter a transitional phase (TP), characterized by reduced growth and the production of enzymes required to metabolize the second carbon or nitrogen source. Following this phase, the cells resume growth in the second phase by utilizing the remaining nutrient [13,14]. Therefore, the time between the two growth phases, denoted as tbgp, marks the end of the first growth phase and the beginning of the second, and is located within the transitional phase.
At the end of the second growth phase, the cells enter a stationary phase (SP), characterized by a slowdown in biomass production (Figure 1) and the establishment of a steady state in which cell growth and cell death are balanced. Growth cessation during this phase is typically caused by the depletion of essential nutrients or the accumulation of inhibitory metabolites, both of which restrict biomass production by the growing strain [15,16].
Additionally, at t = 0 h, the initial biomass concentration (inoculum concentration), as calculated from Equation (9), is given by
However, this expression incorrectly includes a term for the initial biomass concentration of a second population (X2(0)). This is an error, as no second population is present at the initial or any stage of fermentation in pure microbial cultures.
On the other hand, the unmodified Luedeking–Piret model (10) is commonly used to describe product formation, P(t), in batch cultures [9,17]:
where α (units of [P]/units of [X]) and β (units of [P]/units of [X]/unit of time) are the growth-associated and non-growth-associated constants, respectively.
The use of model (10) allows for the classification of the product as growth-associated (α ≠ 0, β = 0), non-growth-associated (α = 0, β ≠ 0), or mixed (α ≠ 0, β ≠ 0) metabolites [9,17].
However, this model may not always be suitable for more complex biological systems, where product formation can be influenced by additional factors, denoted as F(t), such as substrate availability, dissolved oxygen concentration, or stress responses (e.g., pH level or the rate of pH decrease, ∆pH) [9,17,18].
Since the production of antibacterial compounds by lactic acid bacteria (LAB) is influenced by the pH time-course and/or the rate of pH decrease, a modified version of the Luedeking–Piret model has been proposed to more accurately represent the synthesis of antibacterial activity by LAB [9,17,18]:
where δ is a constant (hours) that accounts for the influence of the modulating factor on product synthesis. The terms pH(tn−1) and pH(tn) represent the pH values at the previous and current sampling times, respectively, and the difference tn − tn−1 denotes the time interval between samplings.
However, models (10) and (11) may not adequately describe the biphasic synthesis of products, such as those observed in fed-batch cultures [4,12,19,20,21,22,23,24,25]. This is because the biphasic increases in both product and biomass synthesis are not always parallel, which could result in a poor fit between growth and product formation. Excluding this consideration can lead to inaccurate predictions in certain fermentation processes, as it significantly alters the dynamics of product formation.
Therefore, the aim of this study is to develop more accurate bi-logistic expressions to describe the diauxic growth and biphasic antibacterial activity (AA) synthesis in fed-batch cultures of Lactococcus lactis ssp. lactis CECT 539 in different culture media. Both models were validated using previously published experimental data from fed-batch cultures of other three LAB strains (Pedicoccus acidilactici NRRL B-5627, Lactobacillus casei ssp. casei CECT 4043, and Enterococcus faecium CECT 410). The improved growth model was also validated by using other experimental data from the diauxic growth of Mos breed roosters and foals.
2. Materials and Methods
2.1. Bacterial Strains
In this study, experimental data on growth and AA production were collected from realkalized fed-batch cultures of four bacterial strains: L. lactis subsp. lactis CECT 539, Lact. casei subsp. casei CECT 4043, and E. faecium CECT 410 from the Spanish Type Culture Collection (CECT), Valencia, Spain, and Pedicoccus acidilactici NRRL B-5627 from the Northern Regional Research Laboratory (NRRL), Peoria, IL, USA. Carnobacterium piscicola CECT 4020 was used as the target bacterium in the antibacterial activity bioassay.
Strains CECT 539, NRRL B-5627, CECT 4043, and CECT 4020 were cultured at 30 °C in MRS (de Man, Rogosa, and Sharpe, Merck, Germany) agar slants or broth, while strain CECT 410 was cultured at 30 °C in Rothe agar (Panreac, Barcelona, Spain) slants or broth.
2.2. Culture Media, Fermentation Conditions and Data Collection
Recent studies have investigated realkalized fed-batch cultures of L. lactis CECT 539, Ped. acidilactici NRRL B-5627, Lact. casei CECT 4043, and E. faecium CECT 410, using various culture media and feeding substrates (Table 1 and Table 2). These cultures were initiated as batch cultures for 8 h (cultures II and III for L. lactis CECT 539) or 12 h (cultures I, IV–XV for L. lactis CECT 539; cultures I–V for Ped. acidilactici NRRL B-5627; cultures I–II for Lact. casei CECT 4043; and cultures I–II for E. faecium CECT 410), until the culture pH reached its minimum value. After sampling at these respective times, the cultures were realkalized by adding 4 N NaOH (Panreac, Barcelona, Spain) to restore the pH to the initial value of the fermentation medium and were subsequently fed with the appropriate substrate to replenish the initial total sugar concentration. This procedure ensured that, at the beginning of each realkalization and feeding cycle, the fermentation medium consistently maintained the same pH and total sugar concentration [4,12,19,20,21,22,23,24,25].
Table 1.
Fermentation and feeding media used in the fifteen realkalized fed-batch cultures of Lactococcus lactis subsp. lactis CECT 539.
Table 2.
Fermentation and feeding media used in the five realkalized fed-batch cultures of Ped. acidilactici NRRL B-5627, Lactobacillus casei CECT 4043, and E. faecium CECT 410.
During these fermentations, the remaining concentrations of biomass (X(t), in g/L) and antibacterial activity (AA(t), in activity units (AU)/mL), along with culture pH and other variables, were measured at regular intervals. From these measurements, the concentrations of extracted biomass (Xext(t)) and extracted antibacterial activity (AAext(t)), as well as the cumulative concentrations (the sum of remaining and extracted levels) of both variables (ΣX(t) and ΣAA(t)), were calculated [4,12,19,20,21,22,23,24,25].
The values of ΣX(t) and ΣAA(t) obtained from these realkalized fed-batch fermentations were previously used to analyze the kinetic behavior of these variables during the growth of the strains CECT 539, NRRL B-5627, CECT 4043, and CECT 410, as well as to calculate the corresponding yields and efficiencies in the cultures [4,12,19,20,21,22,23,24,25].
In this study, the remaining concentrations of both variables, X (t) and AA(t), in the fermentor were used to refine the bi-logistic growth and product formation models, enabling a more accurate description of growth and AA production by L. lactis CECT 539 in the various realkalized fed-batch cultures [4,19,20,21,22,23].
The applicability of the improved models for describing microbial growth and product formation was further extended by using the remaining concentrations of biomass and AA produced by Ped. acidilactici NRRL B-5627 [24], Lact. casei CECT 4043 [25], and E. faecium CECT 410 [12] in similar realkalized fed-batch cultures.
The preparation of the various substrates used as fermentation and feeding media in the cultures for the four LAB strains has been described in previous works by our research team [4,12,19,20,21,22,23,24,25].
The growth data from the biphasic growth of Mos breed roosters and foals, which were used to validate the applicability of the improved bi-logistic growth model, were extracted from a published article [5] using GetData Graph Digitizer version 2.24 software (2011).
2.3. Biomass and Antibacterial Activity Determinations
The remaining concentrations of biomass, X(t), and antibacterial activity, AA(t), during fed-batch fermentations were determined using methods described in previous works [4,12,19,20,21,22,23,24,25]. AA(t) (in Activity Units (AU)/mL) was quantified as the cumulative effect of bacteriocins (e.g., nisin or pediocin), organic acids (lactic acid and acetic acid), and other inhibitory metabolites (such as butane-2,3-diol and ethanol) produced at each sampling time during the realkalized fed-batch cultures, assessing their impact on the growth of C. piscicola CECT 4020 [4,12,19,20,21,22,23,24,25].
2.4. Models Improvement
2.4.1. Growth Model
Considering Equation (3), the initial biomass concentration (X0) can be expressed as
Solving for K in Equation (12) gives
Substituting K back into model (3) results in
Thus, the numerator of Equation (14) contains the initial biomass, which is a fixed value depending on the inoculum size used, multiplied by the factor (1 + aX0).
Model (14) serves as the basis for developing an improved bi-logistic model to describe the diauxic growth in pure microbial cultures, based on the following asumptions:
1. The biomass concentration at the time marking the end of the first growth phase and the beginning of the second (tbgp), denoted as X(tbgp), is given by
where aX0, aX1, and aX2, are constants corresponding to the first growth phase, and bX0, bX1, and bX2 are constants corresponding to the second growth phase.
The value of K2 at this point is given by
2. In contrast to X0, which is obtained from Equation (12), the value of X(tbgp) depends not only on the inoculum size but also on the culture conditions, such as the initial chemical composition of the substrate, pH, temperature, type of fermentation, and other factors. These conditions influence the time course of biomass production during fermentation [4,12,19,20,21,22,23,24,25]. Therefore, it can be hypothesized that X(tbgp) is reached during the first growth phase as time progresses from 0 to tbgp, as indicated by Equation (14).
According to Equation (15), the growth in the second growth phase is given by
Substituting Equations (14) and (16) into Equation (17) gives
Thus, the numerator of Equation (18) can be simplified as
In this case, the initial biomass concentration at t = 0 h is
Finally, as t approaches infinity, the biomass concentration reaches its final value:
The main advantage of using model (18) is that it accounts for the existence of a single microbial population whose growth follows a diauxic growth pattern.
Based on the diauxic growth data of the four lactic acid bacteria (Lactococcus lactis CECT 539, Pediococcus acidilactici NRRL B-5627, Lactobacillus casei CECT 4043, and Enterococcus faecium CECT 410), as well as data from Mos breed roosters and foals, it is challenging to precisely determine the tbgp values [11,12]. To address this, the experimental time interval corresponding to the transitional phase—within which the tbgp value is located—was estimated by calculating the absolute growth rates, rX(t), between successive experimental time points (tn−1 and tn) for each culture, using the following expression:
The values of rX(t) were then plotted against fermentation time (t), as shown in Figures S1–S3. The calculated tbgp value obtained from model (18) was considered satisfactory if it fell within the experimental time interval corresponding to the transitional phase of growth, as indicated by the red arrows in Figures S1–S3.
2.4.2. Antibacterial Activity Model
For product formation, the following generalized logistic equation is normally used [9]:
where Pm is the maximum concentration of P (measurements units of P), and aP0 (dimensionless), aP1 (time unit−1), and aP2 (time unit−2) are constants in Equation (19).
According to Equation (19), the product appears to increase autocatalytically, similar to the pattern observed in biomass production [26]. However, this is not the case of AA, which is synthesized in a logistic manner by the growing strain, with its production dependent on the final pH during each realkalization and feeding cycle [4,17,24]. Since the biphasic increases in both product and biomass synthesis are not parallel, the following bi-logistic equation was proposed to better describe the time course of AA production:
where α is a proportionality constant (units of AA per units of X), φ is a dimensionless constant accounting for the effect of the pH gradient (the difference between the initial pH (pHi) and the final pH (pHf(t)) at each sampling time on AA production, aP0, bP0 (dimensionless), aP1, bP1 (in units of time−1), and aP2, bP2 (in units of time−2) are constants in Equation (20).
This equation can be used to characterize the product synthesized as a pH-dependent primary metabolite (α ≠ 0, φ ≠ 0). The value of φ indicates whether the effect of the pH gradient time-course is appropriate for AA synthesis (φ > 0) or not (φ < 0). A positive φ value suggests that the experimental pH gradient values at each sampling time favored the post-translational processing of pre-bacteriocin (with low antibacterial activity) to produce active bacteriocin [27], rather than bacteriocin adsorption onto the producer cell surface [28,29,30,31,32,33,34]. In contrast, a negative φ value indicates that the pH gradient values at each sampling time favored bacteriocin adsorption onto the producer cell surface more than the post-translational processing of pre-bacteriocin to produce its active form.
2.5. Model Parameters Determination and Model Evaluation
The independent experimental data from duplicate fermentations, each with three analytical replicates (six total replicates per experimental point) [4,12,19,20,21,22,23,24,25], were used to develop the growth and AA synthesis models and to calculate the model parameters. The values for the constants were first obtained by minimizing the sum of squared differences between the experimental and model-calculated values, using the nonlinear least-squares (quasi-Newton) method via the Solver tool in Microsoft Excel 2016 (Microsoft Corp., Redmond, WA, USA). Subsequently, the standard errors for each constant, along with the corresponding R2, F-values, and p-values for the models, were determined using SigmaPlot® 15 (Systat Software, Inc., San Jose, CA, USA, 2022).
The goodness-of-fit of the different models was also assessed using the following metrics: the mean relative percentage deviation modulus (RPDM) [22], the sum of squared differences (SSD) between predicted (Ypi) and experimental (Yi) data points, as well as the accuracy (Af) and bias (Bf) factors [5,26]:
where n is the number of experimental data points.
If the RPDM values are lower than 10% [35,36] and the SSD value is near zero, it could be considered that the fitted models accurately describe the trend observed in the experimental data. The accuracy and bias factors indicate the average deviation between the model predictions and observed results, with their proximity to a value of 1.0 serving as an effective and practical measure of predictive model validity [5,26].
3. Results and Discussion
The accuracy and practical utility of the logistic models (18) and (20), developed in this study for growth and product synthesis, respectively, were initially validated using experimental data from diauxic growth (X) and biphasic antibacterial activity (AA) production in fifteen realkalized fed-batch cultures of L. lactis CECT 539 [4,19,20,21,22,23]. To further demonstrate the applicability of the two developed models in describing growth and AA synthesis, the results from the logistic growth model (18) were compared with those from models (4) and (9), while the results from the logistic AA model (20) were compared with those from models (10) and (11).
3.1. Modeling the Growth of L. lactis CECT 539 in Realkalized Fed-Batch Cultures
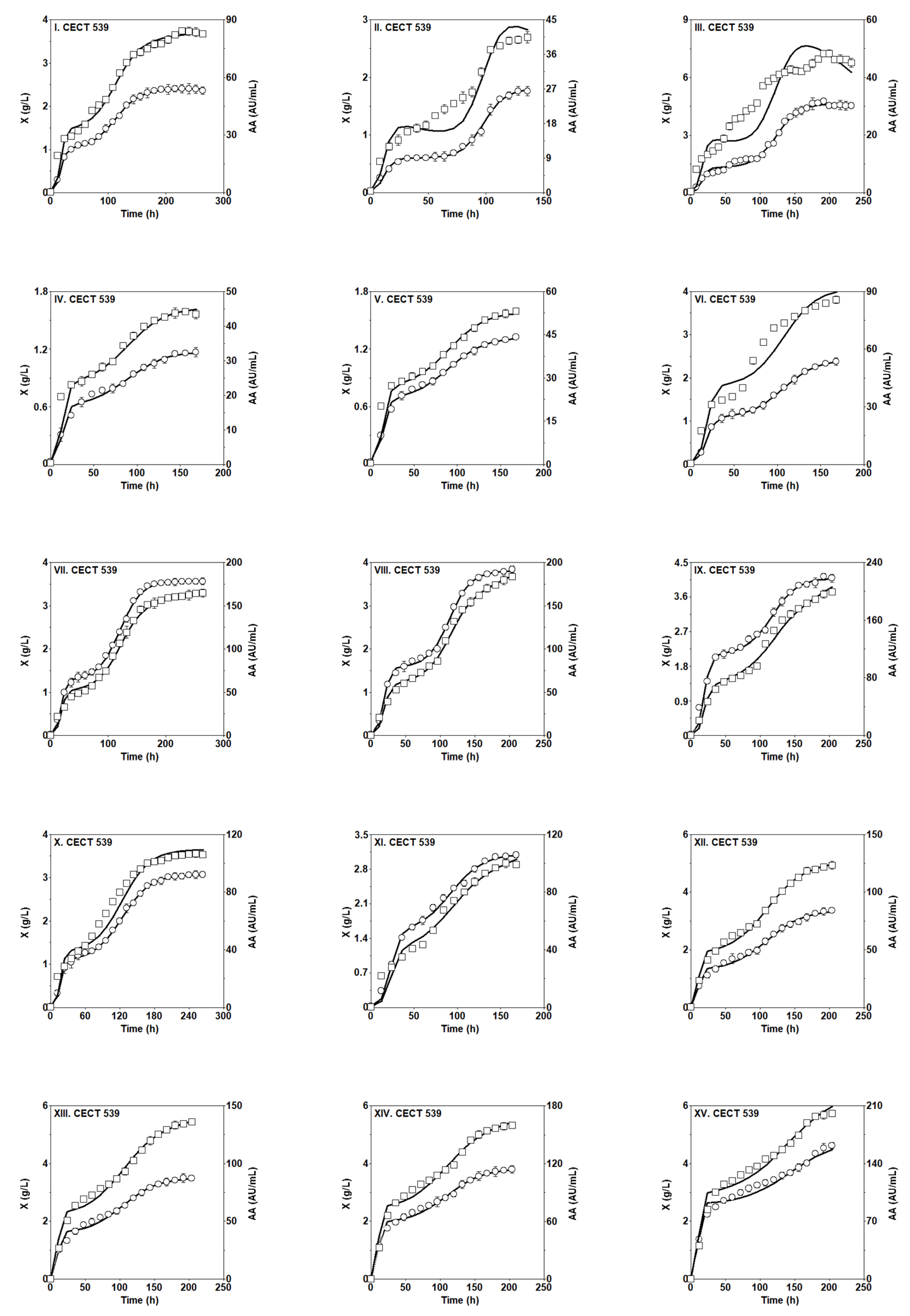
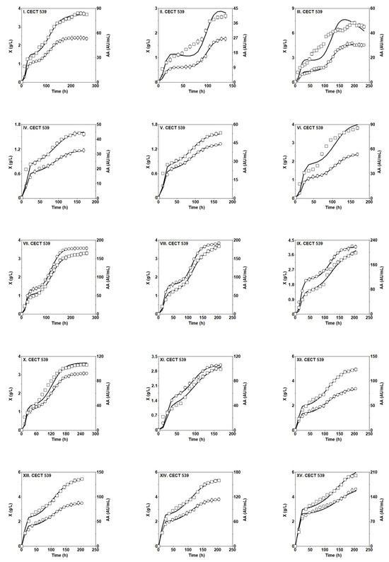
Figure 2 shows the experimental data for growth and AA production from the fifteen realkalized fed-batch cultures of L. lactis CECT 539, along with the predictions (lines) for growth and AA synthesis based on the logistic models (4) and (10), respectively. Regarding the biomass production, there was an excellent agreement between the experimental and predicted growth values with model (4), with R2 values, F-values, and SSD values ranging from 0.9814 to 0.9993, from 844.27 to 117,949.35, and from 0.006 to 0.598 (Tables S1 and S2). This strong agreement between experimental and predicted values is further supported by RPDM values (1.85–8.26) consistently below 10%, Af (1.02–1.13), and Bf (0.96–1.00) values close to 1.0 (Tables S1 and S2).
Figure 2.
Biomass production (circles) and antibacterial activity (AA) synthesis (squares) by L. lactis CECT 539 in the realkalized fed-batch cultures I–XV (Table 1). The lines drawn through the experimental growth and AA data (symbols) were obtained from models (4) and (10), respectively.
According to the taxonomy of bi-logistic growth curves described by Meyer [11], the biphasic growth curves of fed-batch cultures I, II, III, V, VI, VII, VIII, IX, and X (Figure 2), obtained using model (4), exhibit a profile with two nearly non-overlapping logistic growth phases, referred to as sequential logistics. In contrast, for fed-batch cultures IV, XI, XII, XIII, XIV, and XV, the two growth curves appear superimposed, as the second growth phase is not as clearly defined as the first. This suggests that, in these cultures, the growth kinetics might also be described using logistic model (1).
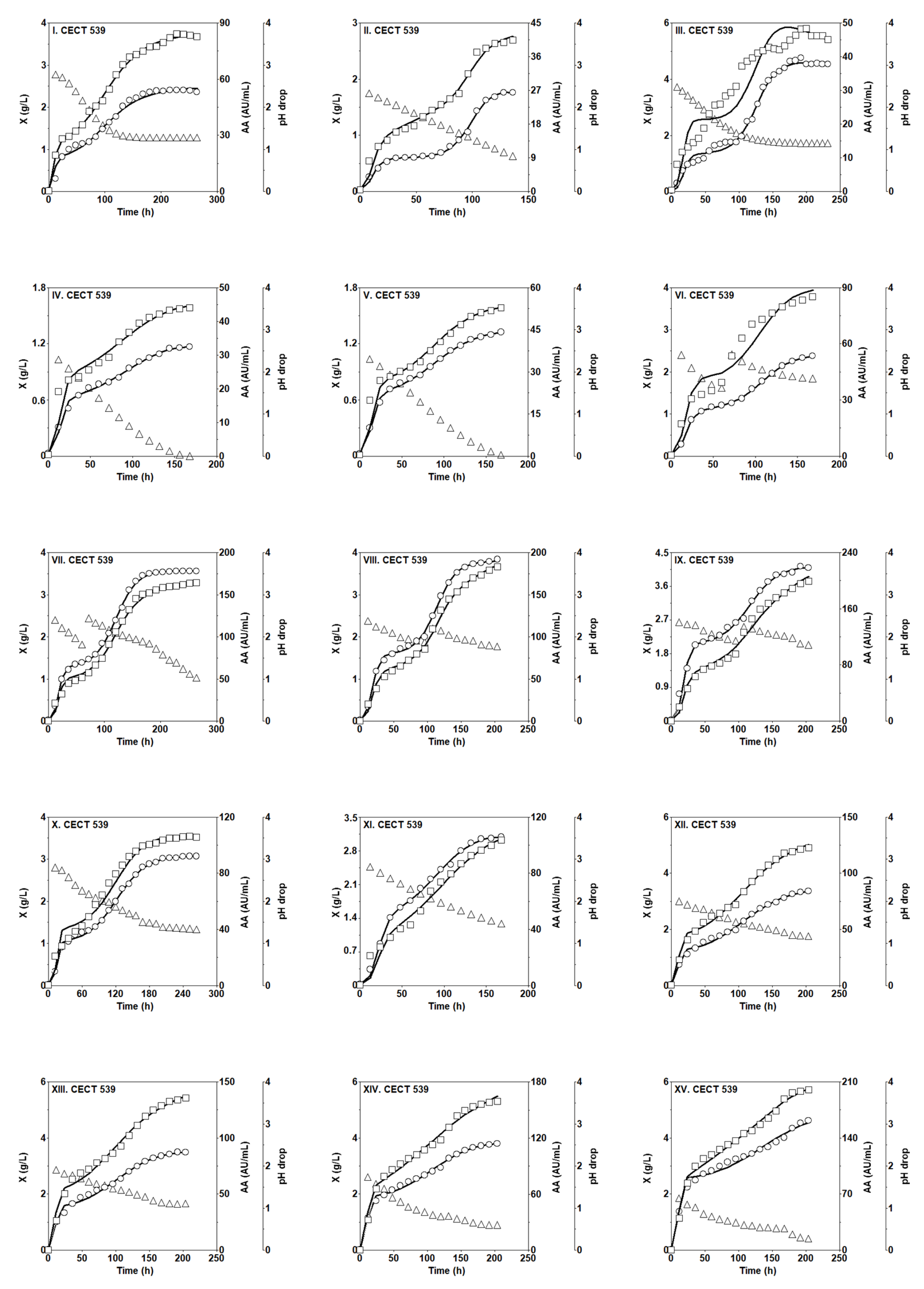
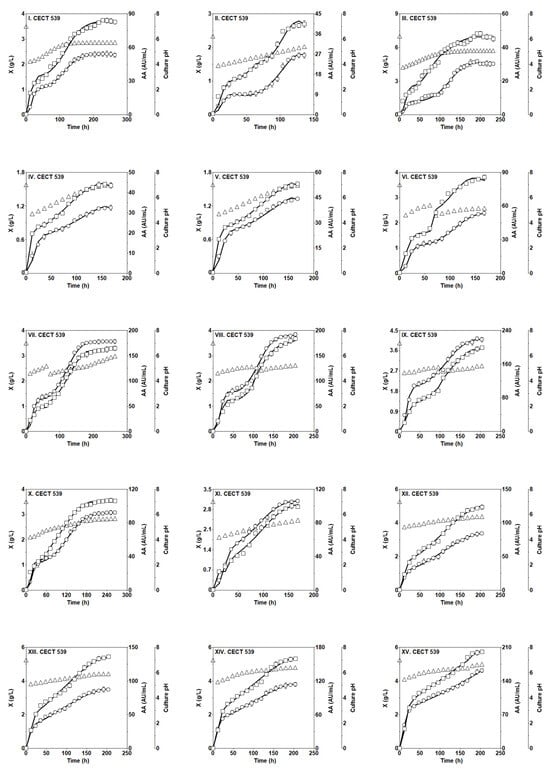
Figure 3 presents the experimental data for pH at the end of each realkalization and feeding cycle, along with the experimental data for growth and AA production from the fifteen realkalized fed-batch cultures of L. lactis CECT 539. It also shows the predictions for growth and AA synthesis based on logistic models (9) and (11), respectively. Model (9) provided a good fit to the experimental data (Figure 3, Tables S3 and S4), as indicated by relatively high R2 values (0.9861–0.9995), F-values (2404.61–144,960.33), low SSD values (0.004–0.551), RPDM values (1.18–8.04) below of 10%, and Af (1.01–1.12) and Bf (0.97–1.00) values close to 1.0.
Figure 3.
Culture pH drop (triangles) in each realkalization and feeding cycle, biomass production (circles), and antibacterial activity (AA) synthesis (squares) by L. lactis CECT 539 in the realkalized fed-batch cultures I–XV (Table 1). The lines drawn through the experimental growth and AA data (symbols) were obtained from models (9) and (11), respectively.
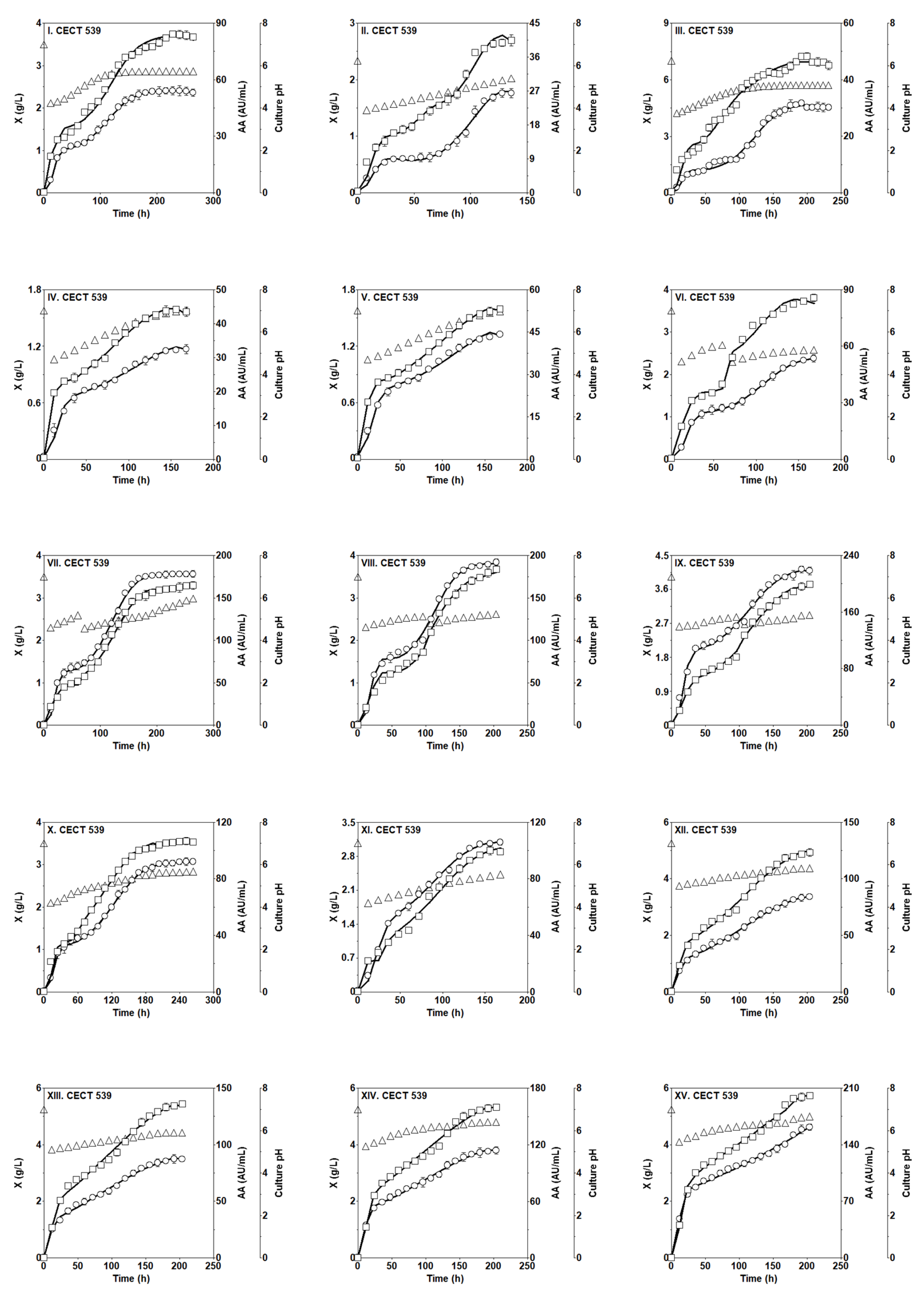
Model (18) also produced satisfactory results (Figure 4, Table 3, Table 4 and Table 5). The R2 values (0.9911–0.9993), F-values (6477.24–170,414.31), SSD (0.005–0.659), RPDM (1.50–7.71), and Af (1.01–1.09), Bf (0.97–1.00) and p (<0.0001) values supported the model’s suitability for describing the diauxic growth of L. lactis CECT 539 in realkalized fed-batch cultures in different culture media.
Figure 4.
Initial (t = 0 h) and final culture pH (triangles) in each realkalization and feeding cycle, biomass production (circles), and antibacterial activity (AA) synthesis (squares) by L. lactis CECT 539 in the realkalized fed-batch cultures I–XV (Table 1). The lines drawn through the experimental growth and AA data (symbols) were obtained from models (18) and (20), respectively.
Table 3.
Estimated values ± standard errors for the constants of model (18), the determination coefficient (R2), F-Fisher statistic, p-values, sum of squared differences between predicted and experimental data points (SSD), mean relative percentage deviation modulus (RPDM), and the accuracy (Af) and bias (Bf) factors for the growth of L. lactis CECT 539 in the realkalized fed-batch cultures: I. CECT 539, II. CECT 539, III. CECT 539, IV. CECT 539, V. CECT 539, and VI. CECT 539.
Table 4.
Estimated values ± standard errors for the constants of model (18), the determination coefficient (R2), F-Fisher statistic, p-values, sum of squared differences between predicted and experimental data points (SSD), mean relative percentage deviation modulus (RPDM), and the accuracy (Af) and bias (Bf) factors for the growth of L. lactis CECT 539 in the realkalized fed-batch cultures: VII. CECT 539, VIII. CECT 539, IX. CECT 539, X. CECT 539, and XI. CECT 539.
Table 5.
Estimated values ± standard errors for the constants of model (18), the determination coefficient (R2), F-Fisher statistic, p-values, sum of squared differences between predicted and experimental data points (SSD), mean relative percentage deviation modulus (RPDM), and the accuracy (Af) and bias (Bf) factors for the growth of L. lactis CECT 539 in the realkalized fed-batch cultures: XII. CECT 539, XIII. CECT 539, XIV. CECT 539, and XV. CECT 539.
To better assess the efficacy of growth models (4), (9), and (18) in describing the diauxic growth pattern observed across the fifteen cultures of L. lactis CECT 539, the values of RPDM, SSD, Af, and Bf for each culture were comparatively presented in Figure S4. As shown, the three models yielded similar results, with RPDM values consistently below 10%, SSD values lower than 0.70, and Af and Bf values very close to 1.0.
These findings indicate that all three models provide accurate and reliable descriptions of the experimental diauxic growth data. The low RPDM and SSD values reflect strong agreement between model predictions and observed data, while Af and Bf values close to unity suggest the absence of systematic deviations or biases in the fits. Collectively, these results demonstrate that the three models are robust in capturing the overall biphasic growth dynamics of L. lactis CECT 539, and that their predictive performance is consistent across different culture conditions. However, from a practical perspective, the use of models (4) and (9) to describe the biphasic growth of a pure bacterial or yeast culture is limited, since they assume the existence of two populations growing simultaneously from the start of the culture (Figure 1), as previously described [5,12]. In contrast, model (18) addresses this limitation by capturing the biphasic growth dynamics of a single population, thereby offering a more realistic and biologically consistent representation of biphasic growth in pure cultures.
Moreover, when applied to Ped. acidilactici NRRL B-5627, Lact. casei CECT 4043, and E. faecium CECT 410 cultures under similar fermentation conditions, model (18) also yielded satisfactory results (Figure 5, Figure 6 and Figure 7, Table 6 and Table 7).
Figure 5.
Initial (t = 0 h) and final culture pH (triangles) in each realkalization and feeding cycle, biomass production (circles), and antibacterial activity (AA) synthesis (squares) by Ped. acidilactici NRRL B-5627 in the realkalized fed-batch cultures I–V (Table 2). The lines drawn through the experimental growth and AA data (symbols) were obtained from models (18) and (20), respectively.
Figure 6.
Initial (t = 0 h) and final culture pH (triangles) in each realkalization and feeding cycle, biomass production (circles), and antibacterial activity (AA) synthesis (squares) by Lact. casei CECT 4043 in the realkalized fed-batch cultures I and II (Table 2). The lines drawn through the experimental growth and AA data (symbols) were obtained from models (18) and (20), respectively.
Figure 7.
Initial (t = 0 h) and final culture pH (triangles) in each realkalization and feeding cycle, biomass production (circles), and antibacterial activity (AA) synthesis (squares) by E. faecium CECT 410 in the realkalized fed-batch cultures I and II (Table 2). The lines drawn through the experimental growth and AA data (symbols) were obtained from models (18) and (20), respectively.
Table 6.
Estimated values ± standard errors for the constants of model (18), the determination coefficient (R2), F-Fisher statistic, p-values, sum of squared differences between predicted and experimental data points (SSD), mean relative percentage deviation modulus (RPDM), and the accuracy (Af) and bias (Bf) factors for the growth of Ped. acidilactici NRRL-B 5627 in the five realkalized fed-batch cultures: I. NRRL B-5627, and II. NRRL B-5627, III. NRRL B-5627, IV. NRRL B-5627, and V. NRRL B-5627.
Table 7.
Estimated values ± standard errors for the constants of model (18), the determination coefficient (R2), F-Fisher statistic, p-values, sum of squared differences between predicted and experimental data points (SSD), mean relative percentage deviation modulus (RPDM), and the accuracy (Af) and bias (Bf) factors for the growth of Lact. casei CECT 4043 (realkalized fed-batch cultures: I. CECT 4043, and II. CECT 4043), and E. faecium CECT 410 (realkalized fed-batch cultures: I. CECT 410, and II. CECT 410).
Additionally, to extend the efficacy of the model (18) to other biological systems, experimental data corresponding to the biphasic growth of Mos breed roosters and foals [5] were also used (Table 8, Figure 8). Good agreements was found between the model predictions and experimental data, with R2, F-ratio, RPDM, SSD, Af, Bf and p values of 0.9961, 20,610.75, 5.37, 0.186, 1.08, 1.03, and <0.0001, respectively (in case of Mos breed roosters), and 0.9868, 7691.90, 6.67, 1072.62, 1.03, 1.01, and <0.0001, respectively (in case of foals). These results were comparable to those obtained using the bi-logistic model (4) to describe the growth of both animals [5]. For example, the values for R2, F-ratio, and Af, and Bf for Mos breed roosters were 0.9979, 1125.5, 1.06, and 1.02, respectively; while for foals, the corresponding values were 0.9918, 346.0, 1.05, and 0.99, as reported by Vázquez et al. [5].
Table 8.
Estimated values ± standard errors for the constants of model (18), the determination coefficient (R2), F-Fisher statistic, p-values, sum of squared differences between predicted and experimental data points (SSD), mean relative percentage deviation modulus (RPDM), and the accuracy (Af) and bias (Bf) factors for the growth of Mos breed roosters and foals.
Figure 8.
Growth (circles) of Mos breed roosters and foals. The lines drawn through the experimental growth data (symbols) were obtained from model (18).
In all cases, the transition point (tbgp) calculated using model (18) fell within the experimental time interval corresponding to the transitional phase of growth observed in the corresponding realkalized fed-batch cultures of the four LAB strains (Figures S1 and S2), as well as in the biphasic growth of Mos breed roosters and foals (Figure S3). The identification of tbgp as the point marking the end of the first phase and the beginning of the second is crucial, as it allows the model to accurately capture the dynamics of diauxic growth. This also recognizes that biomass is not solely a function of the inoculum but also depends on the duration and conditions of the first phase of growth.
As observed in Figure 8, the growth curve of Mos breed roosters displays a profile with two superimposed growth phases. In contrast, the growth of foals follows two sequential logistic phases (although without showing the second stationary phase), and consequently, model (18) predicted a clear bi-logistic growth pattern (Figure 8).
These results confirm the effectiveness, accuracy, and practical utility of model (18) for modeling diauxic growth in both microbiological and biological systems. Moreover, the model provides predictions that are as accurate as those from the bi-logistic models (4) and (9), while avoiding their erroneous assumption of two parallel-growing populations—where observed growth is merely the sum of two independent growth curves.
3.2. Modeling the Production of Antibacterial Activity
To highlight the advantages of the antibacterial activity (AA) model (20) developed in this study for describing the experimental biphasic production of AA by L. lactis CECT 539 in realkalized fed-batch cultures, its predictions were compared with those of models (10) and (11). Subsequently, model (20) was validated using experimental data on biphasic AA production by Ped. acidilactici NRRL B-5627, Lact. casei CECT 4043, and E. faecium CECT 410.
As expected, model (10) did not consistently yield satisfactory results in describing AA production, particularly for cultures II, III and VI (Figure 2, Tables S5 and S6). This model yielded R2, F, RPDM, SSD, Af and Bf values ranging from 0.8815 to 0.9952, 1006.22 to 17,754.71, 3.78 to 34.80, 89.04 to 996.82, 1.04 to 1.43, and 0.86 to 1.01, respectively. These limitations are attributed to the absence of a specific term accounting for effect of the time-course of pH, the pH drop, or final pH, factors known to influence bacteriocin synthesis and, consequently, AA production [4,17,24,27,28,29].
In contrast, the predictions of model (11) were substantially more accurate than those of model (10), particularly for cultures II and III (Figure 2 and Figure 3, Tables S5–S8). The R2, F, RPDM, SSD, Af, and Bf values obtained using model (11) ranged from 0.9237 to 0.9956, 1461.01 to 58,611.40, 3.57 to 14.45, 32.71 to 754.35, 1.03 to 1.30, and 0.91 to 1.01, respectively (Tables S7 and S8). These improvements emphasize the importance of incorporating the pH time-course or pH drop effect into the Luedeking–Piret model to more accurately describe AA synthesis in realkalized fed-batch cultures.
Figure 4 presents the experimental data for AA production (squares), along with the predictions (lines) from the developed logistic model (20) for the fifteen realkalized fed batch cultures of L. lactis CECT 539. As observed, there is excellent agreement between the experimental and predicted values, with R2, F, and SSD, values ranging from 0.9793 to 0.9986, 2368.62 to 20,107.32, and 4.17 to 382.53, respectively, and p-values consistently lower than 0.0001 (Table 9, Table 10 and Table 11). This strong correlation is further supported by RPDM values ranging from 1.00 to 9.14, consistently below 10%, as well as Af (1.01 to 1.14) and Bf (0.95 to 1.01) values close to 1.0 (Table 9, Table 10 and Table 11). Notably, the predictions of model (20) improved the fit of the experimental AA data compared to model (11), particularly for cultures II, III, IV, V, VI, IX, X, and XI (Figure 3 and Figure 4, Tables S7 and S8 and Table 9, Table 10, Table 11).
Table 9.
Estimated values ± standard errors for the constants of model (20), determination coefficient (R2), F-Fisher statistic, p-values, sum of squared differences between predicted and experimental data points (SSD), mean relative percentage deviation modulus (RPDM) values, as well as the accuracy (Af) and bias (Bf) factors for the AA synthesis by L. lactis CECT 539 in the realkalized fed-batch cultures: I. CECT 539, II. CECT 539, III. CECT 539, IV. CECT 539, V. CECT 539, and VI. CECT 539.
Table 10.
Estimated values ± standard errors for the constants of model (20), determination coefficient (R2), F-Fisher statistic, p-values, sum of squared differences between predicted and experimental data points (SSD), mean relative percentage deviation modulus (RPDM) values, as well as the accuracy (Af) and bias (Bf) factors for the AA synthesis by L. lactis CECT 539 in the realkalized fed-batch cultures: VII. CECT 539, VIII. CECT 539, IX. CECT 539, X. CECT 539, and XI. CECT 539.
Table 11.
Estimated values ± standard errors for the constants of model (20), determination coefficient (R2), F-Fisher statistic, p-values, sum of squared differences between predicted and experimental data points (SSD), mean relative percentage deviation modulus (RPDM) values, as well as the accuracy (Af) and bias (Bf) factors for the AA synthesis by L. lactis CECT 539 in the realkalized fed-batch cultures: XII. CECT 539, XIII. CECT 539, XIV. CECT 539, and XV. CECT 539.
This suggests that model (11) may not always be suitable for describing biphasic AA production by L. lactis CECT 539 in realkalized fed-batch cultures. This is likely due to the numerical integration of the integral form of model (11), which can introduce estimation errors in the AA levels, resulting in larger discrepancies between the experimental and calculated values. In contrast, model (20) provides a direct fit to the experimental data and does not require integration. Based on this, it can be emphasized that model (20) is easier to use compared to the integral forms of models (10) and (11).
Additionally, when the values of RPDM, SSD, Af, and Bf for each culture were compared (Figure S5), it was evident that the application of model (20) consistently reduced RPDM values, which remained below 10%, and lowered SSD values, while also yielding Af and Bf values very close to 1.0 compared with models (10) and (11) (Figure S5, Tables S5–S8 and Table 9, Table 10, Table 11). These results highlight the superior accuracy and reliability of model (20) in describing AA synthesis.
Moreover, regarding model (20), positive values of the φ parameter were observed in cultures I–XI of L. lactis CECT 539 (Table 9 and Table 10), suggesting that the corresponding pH gradient trajectories favored AA production [27]. A positive φ reflects a condition in which the decrease in pH during growth enhances the activity of the biosynthetic pathways involved in AA formation, likely by maintaining enzyme stability and catalytic efficiency within their optimal pH range. In contrast, negative φ values were obtained for cultures XII–XV, suggesting that in these cases the pH trajectories shifted away from the optimal range, thereby reducing the stimulatory effect on AA synthesis and potentially impairing enzyme activity or metabolic fluxes related to AA production [28,29,30,31,32,33,34].
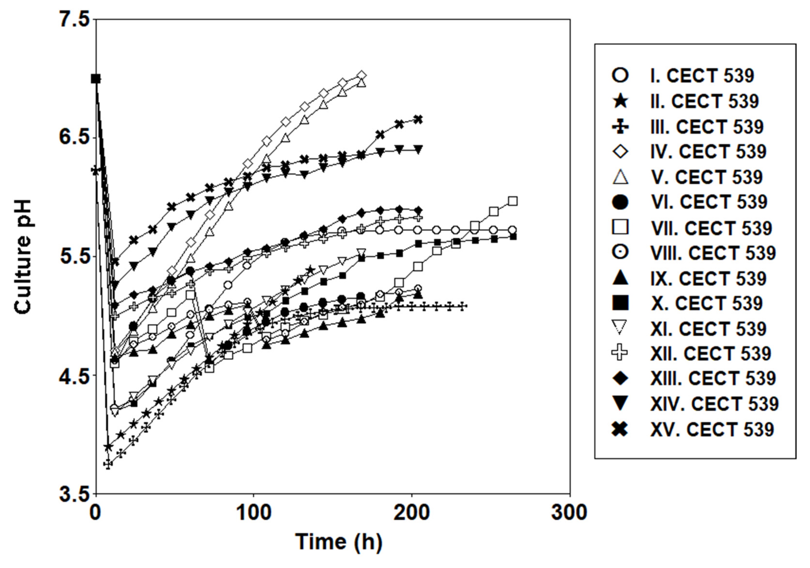
When the pH time courses from all fifteen cultures of L. lactis CECT 539 are analyzed collectively (Figure 9), it becomes evident that the pH values at the end of each realkalization and feeding cycle in cultures XII–XV exhibited a smoother increase than those observed in cultures I–XI. This difference is likely due to the lower buffering capacity of the unsupplemented diluted whey (DW) used as the fermentation medium in cultures I–XI, compared to the MRS nutrient–supplemented DW medium used in cultures XII–XV [23].
Figure 9.
Initial (t = 0 h) and final culture pH in each realkalization and feeding cycle in the fifteen realkalized fed-batch cultures of L. lactis CECT 539.
However, the final pH values in cultures IV and V were higher than those in cultures XII and XIII after the third realkalization and feeding cycle, and higher than those in cultures XIV and XV after the seventh cycle (84 h) (Figure 9). This was likely due to the low nutrient content of the unsupplemented DW medium and CMPWGP [19,20,21,22], which progressively limited the growth of L. lactis CECT 539 and, consequently, its ability to recover from acidic conditions (Figure 3). As a result, AA synthesis in cultures IV and V increased from 0.43 to 23.58 and 28.37 AU/mL, respectively, at rates of 0.655 and 0.788 AU/mL/h. However, from 36 h of incubation until the end of fermentation (168 h), AA synthesis continued at slower rates of 0.147 and 0.185 AU/mL/h, reaching final AA concentrations of 19.41 and 24.42 AU/mL, respectively. This slowdown in AA production in cultures IV and V from the third realkalization and feeding cycle suggests that the final pH values progressively deviated from the optimal pH for antibacterial compound synthesis [27,28,29,30,31,32,33,34].
The applicability of the logistic model (20) was also validated using experimental data from the biphasic AA production of Ped. acidilactici NRRL B-5627 (Figure 5), Lact. casei CECT 4043 (Figure 6), and E. faecium CECT 410 (Figure 7) during realkalized fed-batch fermentations in different culture media. As shown, fitting model (20) to the corresponding experimental AA data yielded satisfactory results (Figure 5, Figure 6 and Figure 7), with statistically significant parameters and consistent model performance in all cases (Table 12 and Table 13).
Table 12.
Estimated values ± standard errors for the constants of model (20), determination coefficient (R2), F-Fisher statistic, p-values, sum of squared differences between predicted and experimental data points (SSD), mean relative percentage deviation modulus (RPDM) values, as well as the accuracy (Af) and bias (Bf) factors for the AA synthesis by Ped. acidilactici NRRL-B 5627 in the five realkalized fed-batch cultures: I. NRRL B-5627, and II. NRRL B-5627, III. NRRL B-5627, IV. NRRL B-5627, and V. NRRL B-5627.
Table 13.
Estimated values ± standard errors for the constants of model (20), determination coefficient (R2), F-Fisher statistic, p-values, sum of squared differences between predicted and experimental data points (SSD), mean relative percentage deviation modulus (RPDM) values, as well as the accuracy (Af) and bias (Bf) for the AA synthesis by Lact. casei CECT 4043 (realkalized fed-batch cultures: I. CECT 4043, and II. CECT 4043), and E. faecium CECT 410 (realkalized fed-batch cultures: I. CECT 410, and II. CECT 410).
These results indicate that model (20), developed in this study, adequately describes the biphasic AA synthesis by four LAB strains in realkalized fed-batch cultures.
However, when designing or refining a bi-logistic model, the nature of the experimental data plays a crucial role, as it influences the values of R2, F, RPDM, SSD, Af and Bf. High experimental error in measurements—such as that observed in AA synthesis by Lact. casei CECT 4043 in culture II (right part of Figure 6), E. faecium CECT 410 in culture II (right part of Figure 7), and foal growth (right part of Figure 8)—can impact model accuracy (Table 8, Table 12 and Table 13). Additionally, an insufficient number of data points to clearly capture biphasic product formation may reduce the statistical significance of model parameters. This limitation is evident in AA production by L. lactis CECT 539 in cultures X–XV (Table 10 and Table 11), Ped. acidilactici NRRL B-5627 in cultures I–IV (Table 12), and E. faecium CECT 410 in cultures I and II (Table 13). In these cultures, non-significant values were obtained for the parameters corresponding to either the first or second phase of AA production.
4. Conclusions
Overall, the results obtained in this study demonstrate that the proposed modeling approach is robust and provides a solid framework for understanding diauxic growth in microbial cultures. The successful validation of the logistic growth and AA production equations using experimental data from four LAB strains suggests that both models could serve as valuable tools in microbiology, microbial ecology, and biotechnology.
The developed logistic growth Equation (18) is logically structured to incorporate the transition between growth phases, as well as the influence of time and cultivation conditions on biomass development. Notably, this model enables the estimation of the transition time (tbgpt), which marks the end of the first growth phase and the beginning of the second. This approach provides a reliable method for describing diauxic growth in other microbiological and biological systems by adapting the logistic model to account for two distinct growth phases. From a practical perspective, model (18) offers a more accurate representation of biphasic growth in pure bacterial cultures, eliminating the flawed assumption—common in bi-logistic models—that two distinct populations grow in parallel and independently.
Furthermore, the application of the biphasic AA model (20) provides a simpler and more effective way to describe product formation compared to the differential forms of both the unmodified and modified Luedeking–Piret models.
Supplementary Materials
The following supporting information can be downloaded at https://www.mdpi.com/article/10.3390/math13193105/s1, Table S1: Estimated values for the constants of model (4), determination coefficient (R2), F-statistic (Fisher test), sum of squared differences between predicted and experimental data points (SSD), mean relative percentage deviation modulus (RPDM), and the accuracy (Af) and bias (Bf) factors for the growth of L. lactis CECT 539 in the realkalized fed-batch cultures: I. CECT 539, II. CECT 539, III. CECT 539, IV. CECT 539, V. CECT 539, VI. CECT 539, VII. CECT 539, and VIII. CECT 539; Table S2: Estimated values for the constants of model (4), determination coefficient (R2), F-statistic (Fisher test), sum of squared differences between predicted and experimental data points (SSD), mean relative percentage deviation modulus (RPDM), and the accuracy (Af) and bias (Bf) factors for the growth of L. lactis CECT 539 in the realkalized fed-batch cultures: IX. CECT 539, X. CECT 539, XI. CECT 539, XII. CECT 539, XIII. CECT 539, XIV. CECT 539, and XV. CECT 539; Table S3: Estimated values for the constants of model (9), determination coefficient (R2), F-statistic (Fisher test), sum of squared differences between predicted and experimental data points (SSD), mean relative percentage deviation modulus (RPDM), and the accuracy (Af) and bias (Bf) factors for the growth of L. lactis CECT 539 in the realkalized fed-batch cultures: I. CECT 539, II. CECT 539, III. CECT 539, IV. CECT 539, V. CECT 539, VI. CECT 539, VII. CECT 539, and VIII. CECT 539; Table S4: Estimated values for the constants of model (9), determination coefficient (R2), F-statistic (Fisher test), sum of squared differences between predicted and experimental data points (SSD), mean relative percentage deviation modulus (RPDM), and the accuracy (Af) and bias (Bf) factors for the growth of L. lactis CECT 539 in the realkalized fed-batch cultures: IX. CECT 539, X. CECT 539, XI. CECT 539, XII. CECT 539, XIII. CECT 539, XIV. CECT 539, and XV. CECT 539; Table S5: Estimated values for the constants of model (10), determination coefficient (R2), F-statistic (Fisher test), sum of squared differences between predicted and experimental data points (SSD), mean relative percentage deviation modulus (RPDM), and the accuracy (Af) and bias (Bf) factors for the antibacterial activity synthesis by L. lactis CECT 539 in the realkalized fed-batch cultures: I. CECT 539, II. CECT 539, III. CECT 539, IV. CECT 539, V. CECT 539, VI. CECT 539, VII. CECT 539, and VIII. CECT 539; Table S6: Estimated values for the constants of model (10), determination coefficient (R2), F-statistic (Fisher test), sum of squared differences between predicted and experimental data points (SSD), mean relative percentage deviation modulus (RPDM), and the accuracy (Af) and bias (Bf) factors for the antibacterial activity synthesis by L. lactis CECT 539 in the realkalized fed-batch cultures: IX. CECT 539, X. CECT 539, XI. CECT 539, XII. CECT 539, XIII. CECT 539, XIV. CECT 539, and XV. CECT 539; Table S7: Estimated values for the constants of model (11), determination coefficient (R2), F-statistic (Fisher test), sum of squared differences between predicted and experimental data points (SSD), mean relative percentage deviation modulus (RPDM), and the accuracy (Af) and bias (Bf) factors for the antibacterial activity synthesis by L. lactis CECT 539 in the realkalized fed-batch cultures: I. CECT 539, II. CECT 539, III. CECT 539, IV. CECT 539, V. CECT 539, VI. CECT 539, VII. CECT 539, and VIII. CECT 539; Table S8: Estimated values for the constants of model (11), determination coefficient (R2), F-statistic (Fisher test), sum of squared differences between predicted and experimental data points (SSD), mean relative percentage deviation modulus (RPDM), and the accuracy (Af) and bias (Bf) factors for the antibacterial activity synthesis by L. lactis CECT 539 in the realkalized fed-batch cultures: IX. CECT 539, X. CECT 539, XI. CECT 539, XII. CECT 539, XIII. CECT 539, XIV. CECT 539, and XV. CECT 539. Figure S1. Time course of absolute growth rates (g/L/h) for Lactococcus lactis CECT 539 in different realkalized fed-batch cultures. Red arrows and letters indicate the time intervals (transitional phase) in which the experimental tbgp is located. The calculated tbgp values obtained using model (18) (see Table 3, Table 4 and Table 5 in the manuscript) are shown at the top of each graph. Figure S2. Time course of absolute growth rates (g/L/h) for Pediococcus acidilactici NRRL B-5627, Lactobacillus casei CECT 4043, and Enterococcus faecium CECT 410 in different realkalized fed-batch cultures. Red arrows and letters indicate the time intervals (transitional phase) in which the experimental tbgp is located. The calculated tbgp values obtained using model (18) (see Table 6 and Table 7 in the manuscript) are shown at the top of each graph. Figure S3. Time course of absolute growth rates (Kg/day) for Mos breed roosters and foals. Red arrows and letters indicate the time intervals (transitional phase) in which the experimental tbgp is located. The calculated tbgp values obtained using model (18) (see Table 8 in the manuscript) are shown at the top of each graph. Figure S4. Values of the mean relative percentage deviation modulus (RPDM), sum of squared differences between predicted and experimental data points (SSD), and the accuracy (Af) and bias (Bf) factors obtained using growth models (4), (9), and (18) for fifteen realkalized fed-batch cultures of L. lactis CECT 539. Figure S5. Values of the mean relative percentage deviation modulus (RPDM), sum of squared differences between predicted and experimental data points (SSD), and the accuracy (Af) and bias (Bf) factors obtained using AA models (10), (11), and (20) for fifteen realkalized fed-batch cultures of L. lactis CECT 539.
Funding
This research received no external funding.
Data Availability Statement
The data supporting the findings of this study are available within the article. Further inquiries can be directed to the corresponding author.
Acknowledgments
This work forms part of the activities of the Group with Competitive Reference (GRC-ED431C 2024/24) funded by the Xunta de Galicia (Spain). I thank Adriana Pérez Rey for her assistance in preparing the Graphical Abstract.
Conflicts of Interest
The author declares no conflicts of interest.
References
- Leroy, F.; De Vuyst, L. Growth of the bacteriocin-producing Lactobacillus sakei strain CTC 494 in MRS broth is strongly reduced due to nutrient exhaustion: A nutrient depletion model for the growth of lactic acid bacteria. Appl. Environ. Microbiol. 2001, 67, 4407–4413. [Google Scholar] [CrossRef]
- Wachenheim, D.E.; Patterson, J.A.; Ladisch, M.R. Analysis of the logistic function model: Derivation and applications specific to batch cultured microorganisms. Bioresour. Technol. 2003, 86, 157–164. [Google Scholar] [CrossRef]
- Van Impe, J.F.; Poschet, F.; Geeraerd, A.H.; Vereecken, K.M. Towards a novel class of predictive microbial growth models. Int. J. Food Microbiol. 2005, 100, 97–105. [Google Scholar] [CrossRef]
- Guerra, N.P.; Torrado, A.; López, C.; Fajardo, P.; Pastrana, L. Dynamic mathematical models to describe the growth and nisin production by Lactococcus lactis subsp. lactis CECT 539 in both batch and re-alkalized fed-batch cultures. J. Food Eng. 2007, 82, 103–113. [Google Scholar] [CrossRef]
- Vázquez, J.A.; Lorenzo, J.M.; Fuciños, P.; Franco, D. Evaluation of non-linear equations to model different animal growths with mono and bisigmoid profiles. J. Theor. Biol. 2012, 314, 95–105. [Google Scholar] [CrossRef] [PubMed]
- Shirsat, N.; Mohd, A.; Whelan, J.; English, N.J.; Glennon, B.; Al-Rubeai, M. Revisiting Verhulst and Monod models: Analysis of batch and fed-batch cultures. Cytotechnology 2015, 67, 515–530. [Google Scholar] [CrossRef] [PubMed]
- Edwards, V.H.; Wilke, C.R. Mathematical representation of batch culture data. Biotechnol. Bioeng. 1968, 10, 964–974. [Google Scholar] [CrossRef]
- Dewitt, C.C. Correlation of rate data. Ind. Eng. Chem. 1943, 35, 695–700. [Google Scholar] [CrossRef]
- Guerra, N.P.; Pastrana, L. Production of bacteriocins from Lactococcus lactis subsp. lactis CECT 539 and Pediococcus acidilactici NRRL B-5627 using mussel-processing wastes. Biotechnol. Appl. Biochem. 2002, 36, 119–125. [Google Scholar] [CrossRef]
- Perrin, E.; Ghini, V.; Giovannini, M.; Di Patti, F.; Cardazzo, B.; Carraro, L.; Fagorzi, C.; Turano, P.; Fani, R.; Fondi, M. Diauxie and co-utilization of carbon sources can coexist during bacterial growth in nutritionally complex environments. Nat. Commun. 2020, 11, 3135. [Google Scholar] [CrossRef]
- Meyer, P. Bi-logistic growth. Technol. Forecast. Soc. Chang. 1994, 47, 89–102. [Google Scholar] [CrossRef]
- Guerra, N.P.; Fajardo, P.; Fuciños, C.; Amado, I.R.; Alonso, E.; Torrado, A.; Pastrana, L. Modelling the biphasic growth and product formation by Enterococcus faecium CECT 410 in realkalized fed-batch fermentations in whey. J. Biomed. Biotechnol. 2010, 2010, 290286. [Google Scholar] [CrossRef] [PubMed]
- Boulineau, S.; Tostevin, F.; Kiviet, D.J.; ten Wolde, P.R.; Nghe, P.; Tans, S.J. Single-cell dynamics reveals sustained growth during diauxic shifts. PLoS ONE 2013, 8, e61686. [Google Scholar] [CrossRef] [PubMed]
- Solopova, A.; van Gestel, J.; Weissing, F.J.; Bachmann, H.; Teusink, B.; Kok, J.; Kuipers, O.P. Bet-hedging during bacterial diauxic shift. Proc. Natl. Acad. Sci. USA 2014, 111, 7427–7432. [Google Scholar] [CrossRef]
- Madigan, M.; Martinko, J.; Stahl, D.; Clark, D. Brock Biology of Microorganisms, 13th ed.; Pearson Education: London, UK, 2012. [Google Scholar]
- Pelczar, M.J.; Chan, E.C.S.; Krieg, N.R. Microbiology, 5th ed.; Tata McGraw-Hill: New Delhi, India, 2007. [Google Scholar]
- Cabo, M.L.; Murado, M.A.; González, M.P.; Pastoriza, L. Effects of aeration and pH gradient on nisin production. A mathematical model. Enzym. Microb. Technol. 2001, 29, 264–273. [Google Scholar] [CrossRef]
- Castillo, B.; Pastenes, L.; Córdova-Lepe, F. Modeling the effects of pH variation and bacteriocin synthesis on bacterial growth. Appl. Math. Model. 2022, 110, 285–297. [Google Scholar] [CrossRef]
- Costas, M.; Alonso, E.; Guerra, N.P. Nisin production in realkalized fed-batch cultures in whey with feeding with lactose- or glucose-containing substrates. Appl. Microbiol. Biotechnol. 2016, 100, 7899–7908. [Google Scholar] [CrossRef]
- Costas, M.; Alonso, E.; Outeiriño, D.; Fajardo, P.; Guerra, N.P. Combination of food wastes for an efficient production of nisin in realkalized fed-batch cultures. Biochem. Eng. J. 2017, 123, 13–23. [Google Scholar] [CrossRef]
- Costas, M.; Alonso, E.; Outeiriño, D.; Guerra, N.P. Production of a highly concentrated probiotic culture of Lactococcus lactis CECT 539 containing high amounts of nisin. 3-Biotech 2018, 8, 292. [Google Scholar] [CrossRef]
- Costas, M.; Alonso, E.; Bendaña, R.J.; Guerra, N.P. The joint effect of pH gradient and glucose feeding on the growth kinetics of Lactococcus lactis CECT 539 in glucose-limited fed-batch cultures. Polish J. Microbiol. 2019, 68, 269–280. [Google Scholar] [CrossRef]
- Costas, M.; Alonso, E.; Bazán, D.L.; Bendaña, R.J.; Guerra, N.P. Batch and fed-batch production of probiotic biomass and nisin in nutrient-supplemented whey media. Braz. J. Microbiol. 2019, 50, 915–925. [Google Scholar] [CrossRef]
- Guerra, N.P.; Fajardo, P.; Pastrana, L. Modelling the stress inducing biphasic growth and pediocin production by Pediococcus acidilactici NRRL B-5627 in re-alkalized fed-batch cultures. Biochem. Eng. J. 2008, 40, 465–472. [Google Scholar] [CrossRef]
- Fajardo, P.; Rodríguez, I.; Pastrana, L.; Guerra, N.P. Production of a potentially probiotic culture of Lactobacillus casei subsp. casei CECT 4043 in whey. Int. Dairy J. 2008, 18, 1057–1065. [Google Scholar] [CrossRef]
- Lo Grasso, A.; Fort, A.; Mahdizadeh, F.; Magnani, A.; Mocenni, C. Generalized logistic model of bacterial growth. Math. Comput. Model. Dyn. Syst. 2023, 29, 169–185. [Google Scholar] [CrossRef]
- Yang, R.; Ray, B. Factors influencing production of bacteriocins by lactic acid bacteria. Food Microbiol. 1994, 11, 281–291. [Google Scholar] [CrossRef]
- Yang, R.; Johnson, M.C.; Ray, B. Novel method to extract large amounts of bacteriocins from lactic acid bacteria. Appl. Environ. Microbiol. 1992, 58, 3355–3359. [Google Scholar] [CrossRef]
- Parente, E.; Ricciardi, A.; Addario, G. Influence of pH on growth and bacteriocin production by Lactococcus lactis subsp. lactis 14ONWC during batch fermentation. Appl. Microbiol. Biotechnol. 1994, 41, 388–394. [Google Scholar] [CrossRef]
- Joosten, H.M.L.J.; Nunez, M. Adsorption of nisin and enterocin 4 to polypropylene and glass surface and its prevention by Tween 80. Lett. Appl. Microbiol. 1995, 21, 389–392. [Google Scholar] [CrossRef]
- De Vuyst, L.; Callewaert, R.; Crabbé, K. Primary metabolite kinetics of bacteriocin biosynthesis by Lactobacillus amylovorus and evidence for stimulation of bacteriocin production under unfavourable growth conditions. Microbiology 1996, 142, 817–827. [Google Scholar] [CrossRef]
- Verellen, T.L.J.; Bruggeman, G.; Van Reenen, C.A.; Dicks, L.M.T.; Vandamme, E.J. Fermentation optimization of plantaricin 423, a bacteriocin produced by Lactobacillus plantarum 423. J. Ferment. Bioeng. 1998, 86, 174–179. [Google Scholar] [CrossRef]
- Cheigh, C.I.; Choi, H.J.; Park, H.; Kim, S.B.; Kook, M.C.; Kim, T.S.; Hwang, J.K.; Pyun, Y.R. Influence of growth conditions on the production of a nisin-like bacteriocin by Lactococcus lactis subsp. lactis A164 isolated from kimchi. J. Biotechnol. 2002, 95, 225–235. [Google Scholar] [CrossRef]
- Sharma, S.; Garg, A.P.; Singh, G. Optimization of fermentation conditions for bacteriocin production by Lactococcus lactis CCSULAC1 on modified MRS medium. Int. J. Dairy Sci. 2010, 5, 1–9. [Google Scholar] [CrossRef]
- Lomauro, C.J.; Bakshi, A.S.; Labuza, T.P. Evaluation of food moisture sorption isotherm equations part I: Fruit, vegetable and meat products. LWT—Food Sci. Technol. 1985, 18, 111–117. [Google Scholar]
- Aguerre, R.J.; Suarez, C.; Viollaz, P.E. New B.E.T. type multilayer sorption isotherms. Part II. Modelling water sorption in foods. LWT—Food Sci. Technol. 1989, 22, 192–195. [Google Scholar]
Disclaimer/Publisher’s Note: The statements, opinions and data contained in all publications are solely those of the individual author(s) and contributor(s) and not of MDPI and/or the editor(s). MDPI and/or the editor(s) disclaim responsibility for any injury to people or property resulting from any ideas, methods, instructions or products referred to in the content. |
© 2025 by the author. Licensee MDPI, Basel, Switzerland. This article is an open access article distributed under the terms and conditions of the Creative Commons Attribution (CC BY) license (https://creativecommons.org/licenses/by/4.0/).








