Very Large Angular Oscillations (Up to 3π/4) of the Physical Pendulum—A Simple Trigonometric Analytical Solution
Abstract
1. Introduction
2. The Undamped Pendulum
2.1. Differential Equations and Period
2.2. Solutions for Angle and Velocity
2.2.1. Model 1
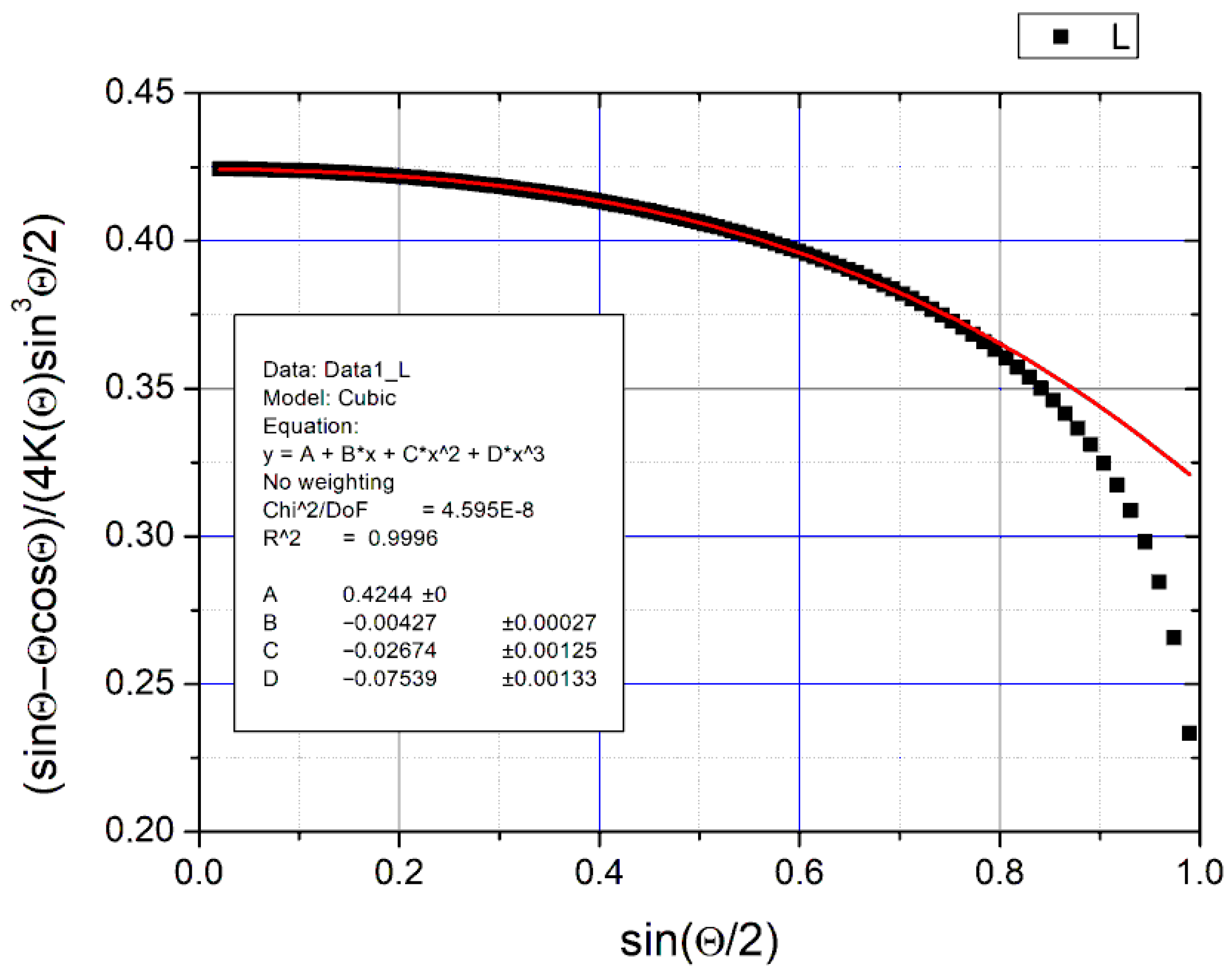
2.2.2. Model 2
2.3. Conclusions for the Undamped Pendulum
3. The Damped Pendulum
3.1. Average Values of Velocity
3.1.1. Half Period Velocity Average Value
3.1.2. Half Period Square Velocity Average Value
3.1.3. Half Period Cubic Velocity Average Value
3.2. Differential Equations and Amplitude
4. Results from Numerical Data
4.1. Pendulum Acted on Only by the Viscous Drag Force
4.2. Pendulum Acted on Only by the Coulomb Constant Drag Force
4.3. Pendulum Acted on Only by the Turbulent Quadratic Drag Force
4.4. Conclusions for the Pendulum with Friction
Funding
Data Availability Statement
Conflicts of Interest
References
- Kidd, R.B.; Fogg, S.L. A simple formula for the large-angle pendulum period. Phys. Teach. 2002, 40, 81–83. [Google Scholar] [CrossRef]
- Parwani, R.R. An approximate expression for the large angle period of a simple pendulum. Eur. J. Phys. 2003, 25, 37. [Google Scholar] [CrossRef]
- Belendez, A.; Hernandez, A.; Marquez, A.; Beléndez, T.; Neipp, C. Analytical approximations for the period of a nonlinear pendulum. Eur. J. Phys. 2006, 27, 539–551. [Google Scholar] [CrossRef]
- Lima, F.M.S. Simple ‘log formulae’ for pendulum motion valid for any amplitude. Eur. J. Phys. 2008, 29, 1091–1098. [Google Scholar] [CrossRef]
- Beléndez, A.; Rodes, J.J.; Beléndez, T.; Hernández, A. Approximation for a large-angle simple pendulum period. Eur. J. Phys. 2009, 30, L25. [Google Scholar] [CrossRef]
- Johannessen, K. An approximate solution to the equation of motion for large-angle oscillations of the simple pendulum with initial velocity. Eur. J. Phys. 2010, 31, 511–518. [Google Scholar] [CrossRef]
- Butikov, E.I. Oscillations of a simple pendulum with extremely large amplitudes. Eur. J. Phys. 2012, 33, 1555–1563. [Google Scholar] [CrossRef]
- Benacka, J. Fast converging exact power series for the time and period of the simple pendulum. Eur. J. Phys. 2017, 38, 025004. [Google Scholar] [CrossRef]
- Lima, F.M.S. Simple but accurate periodic solutions for the nonlinear pendulum equation. Revis Bras. Ensino Física 2019, 41, e20180201–e20180202. [Google Scholar] [CrossRef]
- Abdulkareem, S.S.; Akgül, A.; Jalal, V.J.; Faraj, B.M.; Abdulla, O.G. Numerical solution for time period of simple pendulum with large angle. Therm. Sci. 2020, 24, 25–30. [Google Scholar] [CrossRef]
- Big-Alabo, A. Approximate periodic solution for the large-amplitude oscillations of a simple pendulum. Int. J. Mech. Eng. Educ. 2020, 48, 335–350. [Google Scholar] [CrossRef]
- Big-Alabo, A. Fifth-order AGM-formula for the period of a large-angle pendulum. Rev. Bras. Ensino Física 2023, 45, e20230014. [Google Scholar] [CrossRef]
- Erol, M.; Oğur, M. Teaching large angle pendulum via Arduino based STEM education material. Phys. Educ. IOP Publ. 2023, 58, 045001. [Google Scholar] [CrossRef]
- Fernandes, J.C. The Characterization of the Mechanical Harmonic Oscillator Extremum Envelope Shape According to Different Friction Types. Axioms 2025, 14, 554. [Google Scholar] [CrossRef]
- LabVIEWTM 2019 Is a Product from National Instruments. Available online: http://www.ni.com (accessed on 29 August 2025).
- ORIGINTM 7.0 Is a Product from Origin Lab—Data Analysis and Graphical Software. Available online: http://www.originlab.com (accessed on 29 August 2025).
















Disclaimer/Publisher’s Note: The statements, opinions and data contained in all publications are solely those of the individual author(s) and contributor(s) and not of MDPI and/or the editor(s). MDPI and/or the editor(s) disclaim responsibility for any injury to people or property resulting from any ideas, methods, instructions or products referred to in the content. |
© 2025 by the author. Licensee MDPI, Basel, Switzerland. This article is an open access article distributed under the terms and conditions of the Creative Commons Attribution (CC BY) license (https://creativecommons.org/licenses/by/4.0/).
Share and Cite
Fernandes, J.C. Very Large Angular Oscillations (Up to 3π/4) of the Physical Pendulum—A Simple Trigonometric Analytical Solution. Mathematics 2025, 13, 2836. https://doi.org/10.3390/math13172836
Fernandes JC. Very Large Angular Oscillations (Up to 3π/4) of the Physical Pendulum—A Simple Trigonometric Analytical Solution. Mathematics. 2025; 13(17):2836. https://doi.org/10.3390/math13172836
Chicago/Turabian StyleFernandes, Joao C. 2025. "Very Large Angular Oscillations (Up to 3π/4) of the Physical Pendulum—A Simple Trigonometric Analytical Solution" Mathematics 13, no. 17: 2836. https://doi.org/10.3390/math13172836
APA StyleFernandes, J. C. (2025). Very Large Angular Oscillations (Up to 3π/4) of the Physical Pendulum—A Simple Trigonometric Analytical Solution. Mathematics, 13(17), 2836. https://doi.org/10.3390/math13172836

