Abstract
Elastic solutions of a differential system of vibrational responses of a bidirectional porous functionally graded plate (BPFG) are described by employing high-order normal and shear deformation theory, in the present study. Natural frequency values are computed for the plates with simply supported boundary conditions and taking into consideration the thickness stretching effect. Grading of the effective material property for the BPFG plate is defined according to a power-law distribution. Navier’s approach is applied to determine the governing differential equations solution of the studied model derived by Hamilton’s principle. To confirm the reliability of the solution and the model accuracy, a comparison study with various studies that are presented in the literature is carried out. Numerical illustrations are presented to discuss the influences of the plate geometry, the porosity, the volume fraction distribution, and the nonlocality on the vibration behaviors of the model. The dynamic responses of unidirectional and bidirectional porous functionally graded nanoplates are analyzed in detail, employing two parametric numerical examples. Numerical results show the sensitivity of frequencies to the studied parametric factors and their dependence on porosity and nonlocality coefficients. Frequencies of BPFG with uneven/even distribution porosity decrease when increasing the transverse and axial power-law indexes (), and the same effect appears when increasing the nonlocal parameter.
Keywords:
porosity; bidirectional functionally graded nanoplate; nonlocal elasticity theory; high order normal and shear deformations theory MSC:
74B05; 74H45; 74K20; 74M25
1. Introduction
Functionally graded materials (FGM) are advanced composite inhomogeneous materials microscopically, typically composed of a pair or more of materials, such as ceramic/polymer or ceramic/metal. Hence, the behavior analysis of engineering structural systems made of FGMs is necessary. These materials are being utilized widely in different engineering applications such as high-speed spacecraft and nuclear reactor industries, energy transformation, electrical appliances, optics, biomedical engineering, etc. Numerous investigations have been performed on various structures to study the dynamic and static behavior of the FGM [1,2,3]. In this context, Hosseini-Hashemi et al. [4] discussed the vibration responses of Lévy-type plates with functionally graded materials that vary through the thickness continuously according to a power law distribution by using the Reissner-Mindlin plate theory. Matsunaga [5] analyzed the buckling stress and natural frequency of functionally graded plates by taking the effect of thickness stretching and rotatory inertia into account. Benachour et al. [6] used the Navier method and Ritz technique to find the analytical solutions for the governing system of dynamic responses of arbitrary functionally graded plates with simply sported and clamped conditions. Belabed et al. [7] presented a simple and efficient high-order normal and shear deformations theory for studying a plate that contains functionally graded materials.
Moreover, bi-directional functionally graded material can change its gradual mechanical properties such as elastic isotropy and homogeneity through two directions while carrying out certain functions. These characteristics contribute to raising the waves’ propagation speed and improving their transition transversely or longitudinally, and the cracks and voids in structural systems reduce the wave’s velocity and limit their transition. Recently, utilizing the power-law structural distribution of the materials, the effects of the transverse cracks on the first-natural frequency values of the Euler–Bernoulli bidirectional functionally graded beam were examined by Fellah et al. [8]. Furthermore, Saimi et al. [9] carried out a study to discuss the buckling and vibration behavior of two-directional graded beams with the effect of the transversal cracks and various boundary conditions.
As advanced engineering materials, porous materials are attracting striking attention in various industries, such as civil manufacturing, the automotive industry, and aerospace vehicles, due to their significant properties, which include reduced electrical and thermal conductivity, low specific weight, and energy dissipation. Porous composite structures reduce damping vibration and resist forces of shear and bending; therefore, many authors have studied the porosity-dependent static and dynamic responses of structural systems [10,11,12,13,14,15,16]. In this context, Biot [17] discussed the effect of pore compressibility on the buckling of fluid-saturated porous slabs under axial compression. Under mechanical, thermal, and thermo-mechanical loading and by applying Galerkin’s method, Cong et al. [18] analyzed porosities-dependent buckling and post-buckling of functionally graded Reddy’s plates embedded in elastic Pasternak-type foundation. Shahsavari et al. [19] presented a porosity-dependent analysis of the vibrations of functionally graded structures on various types of elastic foundations according to a new quasi-3D-hyperbolic theory taking into consideration thickness stretching influence. Kitipornchai [20] studied elastic buckling and free vibration of porous functionally graded nano-composite beams where the graphene platelets and internal pores are layer-wise distributed either uniformly or nonuniformly based on three various patterns. By using the first-order shear deformation plate theory, Rezaei et al. [21] discussed the porosities-dependent vibrations of plates that are composed of functionally graded materials. Karamanli et al. [22] found that variable length scale parameters increase the stiffness of the porous two-directional functionally graded nanobeam and affect the vibrations and static response of the two-directional functionally graded micro-electro-mechanical structure. Wang and Zu [23] presented a study to focus on the nonlinear frequency behavior of the plate mode of the sigmoid functionally graded materials along with considering the porosity impact. Recently, Adiyaman [24] investigated the influences of porosity, material properties, and boundary conditions on the mode shapes and dimensionless frequency values of a functionally graded porous beam using the high-order shear deformations theory and applying the finite element method. Further, Bensaid et al. [25] examined the impact of length-to-thickness ratios, material grading exponent distribution, and end support system porosity on the stability maximum and natural frequencies of bi-directional graded beams, taking into consideration the stretch influence and different boundary conditions.
Microstructures and nanostructures are used in several engineering structures, mainly micro-electro and nano-electro-mechanical applications, because of their specific physical and mechanical and properties. In analyses of the nanoscale structural systems, the approaches differ when analyzing the mechanical problems, where influence of atomic size must be considered in the study of these structures. Results of both molecular and experimental dynamics simulation have shown invariably that classical continuum theories cannot be used and that the small-scale effect in the mechanical analysis of nano structural systems must be considered [26]. The framework in the local theory of continuum mechanics is scale-free, where the stresses are related to the strains at each point in this theory [27]. In recent decades, early researchers developed nonclassical continuum theories containing additional scales of the material length for overcoming this barrier, such as the nonlocal elasticity theory presented by Eringen [28,29] and the strain gradient theory also proposed by Eringen in 1983 [30]. Eringen’s nonlocal theory has been employed widely to study several problems, such as crack singularities, dislocation, and wave propagation [31]. Eringen’s nonlocal theory is dependent on the assumption that the stresses are functioning in the strains. In non-local elasticity theory, force between internal length scale and atoms is taken into account in the constitutive relations. The nonclassical continuum theories have been applied to study the mechanical behaviors of various nanostructures, including beams, plates, rods, and shells. In this context, Ebrahimi and Dabbagh [32] performed an analysis to investigate a size-dependent wave dispersion of the double-layered sheets of graphene material resting on visco-elastic substrates. Moreover Nejad et al. [33] analyzed the buckling response of bidirectional functionally graded nano-beams by considering small-scale effects and using the method of the generalized differential quadrature. Utilizing non-local strain-stress gradient theory, Ebrahimi et al. [34] introduced a model to describe the thermal-dependent wave propagation of a Mori–Tanaka porous functionally graded nano-plate containing nonlocal stress and length scale parameters. Recently, characteristics of the wave propagation of multi-directional porous functionally graded nano-plates resting on a Kerr elastic foundation have been investigated in thermal environments in Saffari et al. [35].
To provide the best mechanical performance for the structural applications, several methods have been invented for manufacturing of functionally graded materials along with distributing the porosity. In analyzing the vibrations of structural systems under the influence of various mechanical loads, the deformation problems of these systems arise, where the designers of structural applications must take them into consideration. Although there are several studies on the vibration of FG porous nano structural systems in the literature, most of this research neglects the normal deformations’ influence on the behavior analysis of these systems, especially when the functionally graded materials are more than two materials. The objective of the presented study is to analyze the dynamic behavior of a nano plate that is made of three-constituent two-directional porous FGM. The material properties of the proposed plate gradually vary in length and thickness. The high-order normal and shear deformations theory, the nonlocal elasticity theory, and Hamilton’s principle can be used to model the governing eigenvalue problem of the proposed structure.
2. FG Porosity-Dependent Material Properties
In Figure 1, a rectangular, porous, functionally graded material nanoplate made of three constituents, , , and , with thickness (), length (), and width () is displayed. According to Voigt’s model, the effective properties of BFGP such as mass density ρ and elastic modulus are written where change along the thickness -axis and the length -axis is based on the following equation:
Figure 1.
Geometry and coordinates of a rectangular bidirectional porous FGM plate.
The three-volume fractions vary in two directions () smoothly according to the following relations:
Hence
where
in which and are the transverse and axial power-law indexes, respectively. Moreover, the interval of porosity parameter is .
2.1. Mathematical Formulation
The displacement components, taking into consideration the thickness stretching effect, can be described as
where and are the displacements of the plate’s middle surfaces, respectively, and the components and are the bending transverse displacement and the shear transverse displacement. The components of the strain of BFGP are written as
According to the nonlocal strain gradient theory, the stress field can be defined as [34]
in which the term accounts for the strain gradient effect and is the elastic coefficient. The terms and represent the nonlocality parameters. The constitutive relation of NSGT [34] is described as the next formulation:
Let and , so
By putting in Equation (11), the stress-strain equation of the nonlocal elasticity theory can be written as
in which
in which
where and are, respectively, Poisson’s ratio and Young’s modulus. The coefficients represent the shear modulus of the model.
2.2. Equations of Motion
According to the next principle of Hamilton, the equations of motion are derived [36]:
By substituting Equations (16)–(18) and Equations (12)–(14) into Equation (15), the differential equations of motion are given as the following:
where
The analytical solution of the motion’s system for the above BFG nanoplate can be determined based on the approach of Navier:
where , , The terms , , , , and must be obtained. The term determines the frequencies of () modes. Substituting the double Fourier series in Equation (20) into Equation (19) gives the following:
where
in which
To determine the eigenfrequencies, the eigenvalue problem in the system (21) can be solved.
3. Numerical Investigation
Table 1 displays the properties of used materials in the present analysis. The tables and figures show certain effects such as the power-law index, the nonlocal parameter, the geometric properties, and the porosity on the variation of the natural frequencies for the BPFG nanoplate along with considering the effect of thickness stretching.
Table 1.
Material properties of BPFG nanoplate.
To examine the accuracy and competence of the presented model, the fundamental frequencies () of the FGM plate AL/ for the thicknesses and are displayed in Table 2 in absence of the porosity effect along with considering and for various values of the power law index . Table 2 presented a good agreement between the obtained results and those presented by Matsunaga [5] using a high order deformation theory HSDT, Hosseini-Hashemietal et al. [4] based on first order shear deformation theory FSDT, Zhao et al. [37] employing FSDT, and Hosseini-Hashemi et al. [38] according to FSDT.
Table 2.
The fundamental frequencies comparison for simply supported (AL/) plate ().
The following non-dimensional form of frequency and the boundary conditions are used:
The geometry parameters and non-dimensional parameters (unless otherwise stated):
The boundary conditions:
3.1. Example 1
The numerical example displays the influence of nonlocality, mode number, volume fraction distribution, and porosity on the non-dimensional natural frequencies of the unidirectional (AL/) moderately thick plate with (, ) as illustrated in Table 3. In this subsection, the non-dimensional natural frequencies of a square unidirectional porous functionally graded plate (UPFGP) are counted with and four various values of the nonlocal parameter (, , , ), three values of the transverse index, , , and , and four values of porosities (0, 0.1, 0.2, 0.3) for the first three mode numbers. It is worth noting that the frequencies decrease by increasing the transverse indexes and () as well as the nonlocality and the porosities rate. Conversely, the frequencies tend to increase whenever the mode number increases regardless of the value of the transverse index.
Table 3.
The implications of nonlocality, mode number volume fraction distribution, and even porosity on the non-dimensional natural frequencies () of the unidirectional (AL/) plate with ().
Regardless of the mode, nonlocality, and porosities, Figure 2a–c illustrate that the curves of the frequency increase greatly with increasing the thickness ratio of the plate. Moreover, as seen in Figure 2a, the frequencies increase with the increment of the wave numbers, while frequency values decrease with the increment of the nonlocal parameter (see Figure 2b for more illustration) as well as the porosities, as shown in Figure 2c. It is worth mentioning that rise of the porosity rate and transverse index of the material grading can be led to the reduction of the proposed plate rigidities in the present numerical example (even porosity distribution case), whereas increase in the porosity while neglecting the transverse index of the material grading () can cause an increase in the proposed plate rigidities.
Figure 2.
The implication of (a) the wave number, (b) the nonlocal parameter, and (c) the even porosity on the nondimensional fundamental frequencies of the UPFG nanoplate with variation of the thickness ratio ().
Behavior of the frequency curves versus the nonlocality is depicted in Figure 3a–d for some values of the porosity, the plate thickness, the transverse index of power law, and the modes, respectively. In Figure 3a, the parameter represents absence of the porosities in the structure, and the curve corresponding to this value takes the higher value of the frequency among the curves when the nonlocal parameter trends toward an increase. Furthermore, the frequency curves tend to decrease when the nonlocal parameter increases. In the presence of the porosity and transverse index (), values of frequency reduce with increases in the porosities. On the other hand, the frequency depends on the plate thickness, where it is seen from Figure 3b that increasing the thickness ratio leads to an increase in the frequency. Figure 3c displays the effect of the power law transverse index on the vibration frequency of the UPFGP. The same influence on the frequency occurs by increasing the wave number, as seen in Figure 3d. It is noteworthy that the frequency curves tend to decrease when increasing the nonlocality for all four cases regardless of the influence of examined parameters: the porosities, the plate thickness, the power law transverse index, and the wave number.
Figure 3.
The implication of (a) the even porosities, (b) the thickness ratio, (c) the power law transverse index, and (d) the wave number on the nondimensional fundamental frequencies of the UPFG nanoplate with a variation of the nonlocality ().
The nondimensional fundamental frequencies of the UPFG nanoplate with variation of even porosity are plotted in Figure 4a,c with an investigation of the implication of the power law transverse index and the nonlocality, respectively. The frequency curves tend to decrease as the porosity rate rises within the structure regardless of the studied parameters in the diagrams. The nondimensional natural frequencies of the UPFG nanoplate with variation of even porosity are plotted in Figure 4b for four values of the wave number. It is noted that the frequency increases when increasing the wave number for any value of the porosity, whereas the frequency curves tend to decrease when increasing the porosity at all four values of modes.
Figure 4.
The implication of (a) the power law transverse index, (b) the wave number, and (c) the nonlocal parameter on the nondimensional fundamental frequencies of the UPFG nanoplate with variation of even porosity ().
3.2. Example 2
In the current numerical example, the non-dimensional frequencies of the bidirectional porous functionally graded moderately thick plate with (, ) are investigated as displayed in Table 4 to study the influence of the nonlocality, the grading indexes, and the even porosity. Alumina (), stainless steel (), and aluminum () are used to carry out the bidirectional porous functionally graded plates to represent the materials , , and in the analyzed structure. As seen from the table, the examined parameters have a notable influence on the fundamental frequencies. Increase in the even porosity causes a reduction in the values of the frequency of the BPFG structure. Moreover, the transverse and axial indexes of gradient have the same effect on frequencies of the BPFG nanoplate, in which the frequency decreases as the gradient indexes increase. On the other side, the parameter represents the case that studies the local vibrational responses of the BPFG plate, while the nonlocal dynamical behavior of the BPFG nanoplate is studied for the values , , and . Based on the table’s results, the non-dimension fundamental frequency of BPFG decreases with the increase in nonlocality from 0 to 0.5 regardless of the values of other factors (i.e., porosity, indexes of gradient, etc.) in both the classical state and the nano-scale case.
Table 4.
The implications of nonlocality, mode number, volume fraction distribution, and even porosity on the non-dimensional fundamental frequencies () of the BPFG nanoplate with ().
Vibration frequencies behavior of the BPFG nanoplate with variation of even porosity is plotted in Figure 5a for different values of the nonlocal parameter. The figure shows that the frequencies reduce as the nonlocality increases. Moreover, the frequency curves tend to decrease as the porosities increase regardless of the influence of nonlocality. To examine the effect of the power-law axial index on dynamic responses of the BPFG nanoplate, Figure 5b depicts behavior of the frequencies with the porosities rising for different values of the power-law axial index, , , , and , in an even distribution case. As seen in the diagram, an increase in the power law axial index leads to reduced frequency of the system. Furthermore, the dynamic behavior of the BPFG nanoplate versus the axial index of power law is plotted in Figure 6a–d with some values of the porosity, the nonlocal parameter, the thickness ratio, and the power law transverse index, respectively. Figure 6a–c show that an increase in the axial grading index leads to a decrement in the frequency of BPFGP regardless of the variation of the nonlocality, the power law transverse index, and the porosities. Moreover, as seen in the diagrams, the parameters of the porosities, the nonlocality, and the power law transverse index have the same effect on the vibration of the BPFG nanoplate, where the increase in any previous parameters causes a decrease in the frequencies. Conversely, Figure 6c illustrates a slight increase in the frequency curves with rising values of the axial grading index for all values of studied thickness ratios. In addition, the frequencies of the system increase when the thickness ratio increases regardless of the variation of the parameter.
Figure 5.
The implication of (a) the nonlocal parameter and (b) the power law axial index on the non-dimension fundamental frequency of the BPFG nanoplate with variation of even porosity ().

Figure 6.
The implication of (a) the even porosity, (b) the nonlocal parameter, (c) the thickness ratio with and x = 0.8 nm, and (d) the power law transverse index on the non-dimensional fundamental frequencies of the BPFG nanoplate with the variation of the power law axial index.
The influences of both uneven and even porosities are considered on the behavior of the vibration BPFG nanoplate in Figure 7a,b. The two porosity distribution patterns have the same effect on the nondimensional fundamental frequencies of the system as the variation of the nonlocality and porosity parameter. Moreover, the frequency curves show more convergence in the even porosity distribution than in the uneven case. Increasing the porosities causes a decrease in the vibration frequency for the studied BPFG nanoplate in both uneven and even distribution porosity patterns. On the other side, the influence of wave numbers (modes) on the nondimensional natural frequencies of the BPFG nanoplate with a variation of the nonlocality is plotted in Figure 8a and with a variation of the porosities is shown in Figure 8b. It can be observed that the natural frequency curves tend to decrease as the nonlocality increase, and the same behavior occurs with increasing the porosities, but the curves converge significantly with increasing the nonlocality compared to increasing the porosity. Furthermore, the frequency value increases with increasing wave number, and the curves converge significantly at . The value of the natural frequency increases when increasing wave number significantly regardless of the effect of porosity.
Figure 7.
The implication of (a) the even porosities and (b) uneven porosities on the nondimensional fundamental frequencies of BPFG nanoplate with a variation of the nonlocality.
Figure 8.
The implication of modes on the nondimensional natural frequencies of BPFG nanoplate with a variation of (a) the nonlocal parameter and (b) porosities.
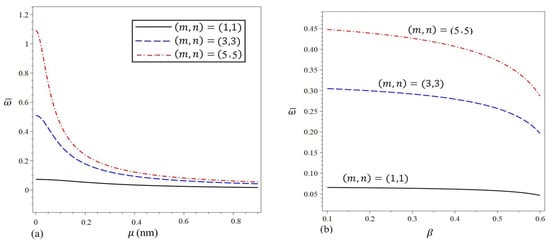
Figure 9a,b shows the behavior of the nondimensional frequencies, a variation of the nonlocal parameter, for some cases of the transverse and axial power-law indexes. Figure 9a displays the behavior of the vibration of the BPFG nanoplate in the presence and absence of the grading indexes. It can be observed that the frequency decreases transverse and axial power-law indexes. The frequency value of the model in the absence of both gradient indexes is higher than the frequency of the bidirectional functionally graded nanoplate. Moreover, it is seen that the frequency decreases with the increasing nonlocal parameter in both cases, but the frequency curve in the absence of the gradient indexes decreases sharply compared to the frequency curve of the bidirectional functionally graded nanoplate. A comparison of the nondimensional frequency behavior of the model with the transverse power-law index () with the frequency of the system with both gradient indexes (bidirectional functionally graded nanoplate) is displayed in Figure 9b. It is noted that the frequencies behave the same in both cases, where the frequency curves tend to reduce when increasing the nonlocality, but the value of the frequencies for the unidirectional functionally graded nanoplate () is higher than the frequency values of the bidirectional functionally graded nanoplate.
Figure 9.
(a) Comparing the frequency behavior of the model without gradient indexes with the frequencies of the model with gradient indexes (BPFG nanoplate ). (b) Comparing the frequency behavior of the model with only the transverse power-law index () with the frequencies of the model with both gradient indexes (BPFG nanoplate ).
4. Conclusions
Porosity-dependent dynamic responses of plates made of three phases of bi-directional functionally graded materials have been analyzed in the current study based on Eringen’s nonlocal elasticity theory and hyperbolic shear and normal deformations theory. A comparison study with various studies that are mentioned in the literature is carried out to confirm the solution’s reliability and accuracy of the model. The effect of the nonlocality, modes, thickness ratio, gradient indexes, and porosity on the frequency characteristics of porous FG nanoplates have been studied. Two numerical examples have been analyzed to study the dynamic responses of unidirectional and bidirectional porous functionally graded nanoplate in detail. When the parameter is equal to 0 in the study, it means the abandonment of the nano-scale for transitioning to the classical case. The presented parametric study reveals the following:
- The dynamic responses of the proposed structure are sensitive to the porosity and the distribution of materials.
- The two porosity distribution patterns have the same effect on the nondimensional fundamental frequencies of the BPFG nanoplate and have the same response in both uneven and even porosity distributions with varying the nonlocality parameter where the frequencies reduce by increasing the nonlocality in the two patterns.
- The vibrational frequencies of the structure are sensitive to the nonlocality, wave number, and thickness ratios. Therefore, developers should be careful when designing nanostructures and consider appropriate indexes power of the gradation laws and observe the porosity to ensure structural integrity because the FG structures are exposed to fractures and at risk of cracking due to increased porosities.
- The nondimensional frequencies of the BPFG nanoplate increase as the parameters of the modes and the thickness ratio increase, whereas the frequencies decrease as the parameters of the porosity, nonlocality, and gradient indexes increase.
- Moreover, dynamical responses of unidirectional and bidirectional porous functionally graded nanoplates behave the same with variations in the investigated parameters and (), but it can be seen that the UPFGP has high values of the frequency compared with the BPFGP for the equal parametric conditions in the two models.
Funding
This research received no external funding.
Data Availability Statement
Data used to support the findings of this study are included in the article.
Acknowledgments
The author is thankful to the Deanship of Graduate Studies and Scientific Research at University of Bisha for supporting this work through the Fast-Track Research Support Program.
Conflicts of Interest
The author declares no conflicts of interest.
References
- Nguyen, T.-K.; Truong-Phong Nguyen, T.; Vo, T.P.; Thai, H.-T. Vibration and buckling analysis of functionally graded sandwich beams by a new higher-order shear deformation theory. Compos. Part B Eng. 2015, 76, 273–285. [Google Scholar] [CrossRef]
- Vo, T.P.; Thai, H.-T.; Nguyen, T.-K.; Maheri, A.; Lee, J. Finite element model for vibration and buckling of functionally graded sandwich beams based on a refined shear deformation theory. Eng. Struct. 2014, 64, 12–22. [Google Scholar] [CrossRef]
- Chen, D.; Yang, J.; Kitipornchai, S. Elastic buckling and static bending of shear deformable functionally graded porous beam. Compos. Struct. 2015, 133, 54–61. [Google Scholar] [CrossRef]
- Hosseini-Hashemi, S.; Fadaee, M.; Atashipour, S.R. A new exact analytical approach for free vibration of Reissner–Mindlin functionally graded rectangular plates. Int. J. Mech. Sci. 2011, 53, 11–22. [Google Scholar] [CrossRef]
- Matsunaga, H. Free vibration and stability of functionally graded plates according to a 2-D higher-order deformation theory. Compos. Struct. 2008, 82, 499–512. [Google Scholar] [CrossRef]
- Benachour, A.; Tahar, H.D.; Atmane, H.A.; Tounsi, A.; Ahmed, M.S. A four variable refined plate theory for free vibrations of functionally graded plates with arbitrary gradient. Compos. Part B Eng. 2011, 42, 1386–1394. [Google Scholar] [CrossRef]
- Belabed, Z.; Houari, M.S.A.; Tounsi, A.; Mahmoud, S.R.; Bég, O.A. An efficient and simple higher order shear and normal deformation theory for functionally graded material (FGM) plates. Compos. Part B Eng. 2014, 60, 274–283. [Google Scholar] [CrossRef]
- Fellah, A.; Hassaine, N.; Touat, N.; Dahak, M.; Saimi, A. Study of crack’s effect on the natural frequencies of bi-directional functionally graded beam. Mech. Based Des. Struct. Mach. 2023, 50, 1080–1089. [Google Scholar] [CrossRef]
- Saimi, A.; Bensaid, I.; Fellah, A. Effect of crack presence on the dynamic and buckling responses of bidirectional functionally graded beams based on quasi-3D beam model and differential quadrature finite element method. Arch. Appl. Mech. 2023, 93, 3131–3151. [Google Scholar] [CrossRef]
- Ait Atmane, H.; Tounsi, A.; Bernard, F. Effect of thickness stretching and porosity on mechanical response of a functionally graded beams resting on elastic foundations. Int. J. Mech. Mater. Des. 2017, 13, 71–84. [Google Scholar] [CrossRef]
- Al Rjoub, Y.S.; Hamad, A.G. Free vibration of functionally Euler-Bernoulli and Timoshenko graded porous beams using the transfer matrix method. KSCE J. Civ. Eng. 2017, 21, 792–806. [Google Scholar] [CrossRef]
- Thi, B.-P.; Minh, T.T.; Hoang, T.-P.; Long, N. Bending analysis of functionally graded beam with porosities resting on elastic foundation based on neutral surface position. J. Sci. Techno Civ. Eng. (STCE)—NUCE 2019, 13, 33–45. [Google Scholar] [CrossRef]
- Derikvand, M.; Farhatnia, F.; Hodges, D.H. Functionally graded thick sandwich beams with porous core: Buckling analysis via differential transform method. Mech. Based Des. Struct. Mach. 2023, 51, 3650–3677. [Google Scholar] [CrossRef]
- Nguyen, N.-D.; Nguyen, T.-N.; Nguyen, T.-K.; Vo, T.P. A new two-variable shear deformation theory for bending, free vibration and buckling analysis of functionally graded porous beams. Compos. Struct. 2022, 282, 115095. [Google Scholar] [CrossRef]
- Karamanli, A.; Vo, T.P. A quasi-3D theory for functionally graded porous microbeams based on the modified strain gradient theory. Compos. Struct. 2021, 257, 113066. [Google Scholar] [CrossRef]
- Akbaş, Ş.D. Forced vibration analysis of functionally graded porous deep beams. Compos. Struct. 2018, 186, 293–302. [Google Scholar] [CrossRef]
- Biot, M.A. Theory of buckling of a porous slab and its thermoelastic analogy. J. Appl. Mech. 1964, 31, 194–198. [Google Scholar] [CrossRef]
- Cong, P.H.; Chien, T.M.; Khoa, N.D.; Duc, N.D. Nonlinear thermomechanical buckling and post-buckling response of porous FGM plates using Reddy’s HSDT. Aerosp. Sci. Technol. 2018, 77, 419–428. [Google Scholar] [CrossRef]
- Shahsavari, D.; Shahsavari, M.; Li, L.; Karami, B. A novel quasi-3Dhyperbolic theory for free vibration of FG plates with porosities resting on Winkler/Pasternak/Kerr foundation. Aerosp. Sci. Technol. 2018, 72, 134–149. [Google Scholar] [CrossRef]
- Kitipornchai, S.; Chen, D.; Yang, J. Free vibration and elastic buckling of functionally graded porous beams reinforced by graphene platelets. Mater. Des. 2017, 116, 656–665. [Google Scholar] [CrossRef]
- Rezaei, A.S.; Saidi, A.R.; Abrishamdari, M.; Pour Mohammadi, M.H. Natural frequencies of functionally graded plates with porosities via a simple four variable plate theory: An analytical approach. Thin-Walled Struct. 2017, 120, 366–377. [Google Scholar] [CrossRef]
- Karamanli, A.; Aydogdu, M. Structural dynamics and stability analysis of 2D-FG microbeams with two-directional porosity distribution and variable material length scale parameter. Mech. Based Des. Struct. Mach. 2020, 48, 164–191. [Google Scholar] [CrossRef]
- Wang, Y.Q.; Zu, J.W. Large-amplitude vibration of sigmoid functionally graded thin plates with porosities. Thin-Walled Struct. 2017, 119, 911–924. [Google Scholar] [CrossRef]
- Adiyaman, G. Free vibration analysis of a porous functionally graded beam using higher-order shear deformation theory. J. Struct. Eng. Appl. Mech. 2022, 5, 277–288. [Google Scholar] [CrossRef]
- Bensaid, I.; Saimi, A.; Civalek, O. Effect of two-dimensional material distribution on dynamic and buckling responses of graded ceramic-metal higher order beams with stretch effect. Mech. Adv. Mater. Struct. 2024, 31, 1760–1776. [Google Scholar] [CrossRef]
- Demirkan, E.; Çelik, M.; Artan, R. Slope deflection method in nonlocal axially functionally graded tapered beams. Appl. Sci. 2023, 13, 4814. [Google Scholar] [CrossRef]
- Fernández-Sáez, J.; Zaera, R.; Loya, J.A.; Reddy, J.N. Bending of Euler–Bernoulli beams using Eringen’s integral formulation: A paradox resolved. Int. J. Eng. Sci. 2016, 99, 107–116. [Google Scholar] [CrossRef]
- Eringen, A.C. Nonlocal polar elastic continua. Int. J. Eng. Sci. 1972, 10, 1–16. [Google Scholar] [CrossRef]
- Eringen, A.C. Theory of micromorphic materials with memory. Int. J. Eng. Sci. 1972, 10, 623–641. [Google Scholar] [CrossRef]
- Eringen, A.C. On differential equations of nonlinear elasticity and solutions of screw dislocation and surface waves. J. Appl. Phys. 1983, 54, 4703–4710. [Google Scholar] [CrossRef]
- Nejad, M.Z.; Hadi, A. Eringen’s non-local elasticity theory for bending analysis of bi-directional functionally graded Euler–Bernoulli nano-beams. Int. J. Eng. Sci. 2016, 106, 417–425. [Google Scholar] [CrossRef]
- Ebrahimi, F.; Dabbagh, A. Viscoelastic wave propagation analysis of axially motivated double-layered graphene sheets via nonlocal strain gradient theory. Waves Random Comp. Med. 2018, 30, 157–176. [Google Scholar] [CrossRef]
- Nejad, M.Z.; Hadi, A.; Rastgoo, A. Buckling analysis of arbitrary two-directional functionally graded Euler–Bernoulli nano beams based on nonlocal elasticity theory. Int. J. Eng. Sci. 2016, 103, 1–10. [Google Scholar] [CrossRef]
- Ebrahimi, F.; Barati, M.R.; Dabbagh, A. A nonlocal strain gradient theory for wave propagation analysis in temperature-dependent inhomogeneous nanoplates. Int. J. Eng. Sci. 2016, 107, 169–182. [Google Scholar] [CrossRef]
- Saffari, P.R.; Thongchom, C.; Jearsiripongkul, T.; Saffari, P.R.; Keawsawasvong, S.; Kongwat, S. Porosity-dependent wave propagation in multi-directional functionally graded nanoplate with nonlinear temperature-dependent characteristics on Kerr type substrate. Int. J. Thermofluids 2023, 20, 100408. [Google Scholar] [CrossRef]
- Zenkour, A.M.; El-Shahrany, H.D. Frequency control of cross-ply magnetostrictive viscoelastic plates resting on Kerr-type elastic medium. Eur. Phys. J. Plus 2021, 136, 634. [Google Scholar] [CrossRef]
- Zhao, X.; Lee, Y.Y.; Liew, K.M. Free vibration analysis of functionally graded plates using the element-free kp-Ritz method. J. Sound. Vib. 2009, 319, 918–939. [Google Scholar] [CrossRef]
- Hosseini-Hashemi, S.; Rokni Damavandi Taher, H.; Akhavan, H.; Omidi, M. Free vibration of functionally graded rectangular plates using first-order shear deformation plate theory. Appl. Math. Model. 2009, 34, 1276–1291. [Google Scholar] [CrossRef]
Disclaimer/Publisher’s Note: The statements, opinions and data contained in all publications are solely those of the individual author(s) and contributor(s) and not of MDPI and/or the editor(s). MDPI and/or the editor(s) disclaim responsibility for any injury to people or property resulting from any ideas, methods, instructions or products referred to in the content. |
© 2025 by the author. Licensee MDPI, Basel, Switzerland. This article is an open access article distributed under the terms and conditions of the Creative Commons Attribution (CC BY) license (https://creativecommons.org/licenses/by/4.0/).