Improving Person Re-Identification via Feature Erasing-Driven Data Augmentation
Abstract
1. Introduction
- (1)
- An effective feature erasing-based data augmentation framework is proposed to explore discriminative information within individual samples;
- (2)
- A feature erasing-driven method applied to the extracted pedestrian feature is introduced to capture identity-relevant information at the feature level;
- (3)
- A diagonal swapping augmentation strategy is reported to increase the diversity of the input training samples;
- (4)
- Extensive experiments demonstrate that our method achieves competitive performance compared to many representative approaches.
2. Related Work
2.1. Person Re-Identification
2.2. Image-Level Erasing Technique
2.3. Data Augmentation
- (1)
- Geometric-based augmentations, such as horizontal and vertical flipping, alter spatial configurations without affecting semantic content;
- (2)
- (3)
- (4)
- Photometric-based augmentations, including operations like Gaussian blurring and color jittering, simulate variations in lighting and appearance;
- (5)
3. Methodology
3.1. Overview
3.2. Diagonal Swapping Augmentation Strategy
3.3. Image Feature-Level Erasing
3.4. Loss Function
4. Experiments
4.1. Dataset and Evaluation Metrics
4.1.1. Datasets
4.1.2. Evaluation Metrics
4.2. Implementation Details
Implementation Details
4.3. Comparison with Representative Methods
4.3.1. Evaluation on Market-1501 Dataset
4.3.2. Evaluation on DukeMTMC-reID Dataset
4.3.3. Evaluation on MSMT17 Dataset
4.4. Ablation Analysis
4.4.1. Effectiveness of the Diagonal Swapping Augmentation Strategy
4.4.2. Effectiveness of the Image Feature-Level Erasing
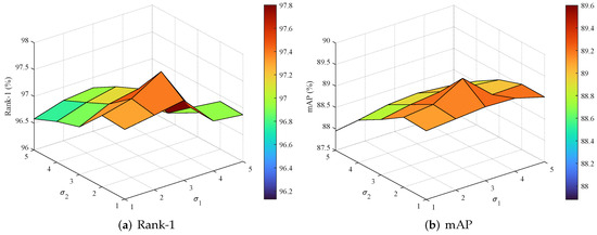
4.4.3. Analysis of the Hyperparameters and
4.4.4. Analysis of the Hyperparameter
5. Conclusions and Future Works
Author Contributions
Funding
Data Availability Statement
Conflicts of Interest
References
- Ye, M.; Shen, J.; Lin, G.; Xiang, T.; Shao, L.; Hoi, S.C.H. Deep Learning for Person Re-Identification: A Survey and Outlook. IEEE Trans. Pattern Anal. Mach. Intell. 2022, 44, 2872–2893. [Google Scholar] [CrossRef]
- Zhang, G.; Luo, Z.; Chen, Y.; Zheng, Y.; Lin, W. Illumination Unification for Person Re-Identification. IEEE Trans. Circuits Syst. Video Technol. 2022, 32, 6766–6777. [Google Scholar] [CrossRef]
- Xian, Y.; Peng, Y.X.; Sun, X.; Zheng, W.S. Distilling consistent relations for multi-source domain adaptive person re-identification. Pattern Recognit. 2025, 157, 110821. [Google Scholar] [CrossRef]
- Wang, C.; Gao, X.; Wu, M.; Lam, S.K.; He, S.; Tiwari, P. Looking Clearer With Text: A Hierarchical Context Blending Network for Occluded Person Re-Identification. IEEE Trans. Inf. Forensics Secur. 2025, 20, 4296–4307. [Google Scholar] [CrossRef]
- Behera, N.K.S.; Sa, P.K.; Bakshi, S. Person re-identification for smart cities: State-of-the-art and the path ahead. Pattern Recognit. Lett. 2020, 138, 282–289. [Google Scholar] [CrossRef]
- Bay, H.; Ess, A.; Tuytelaars, T.; Van Gool, L. Speeded-up robust features (SURF). Comput. Vis. Image Underst. 2008, 110, 346–359. [Google Scholar] [CrossRef]
- Dalal, N.; Triggs, B. Histograms of oriented gradients for human detection. In Proceedings of the 2005 IEEE Computer Society Conference on Computer Vision and Pattern Recognition, San Diego, CA, USA, 20–25 June 2005; Volume 1, pp. 886–893. [Google Scholar]
- Lowe, D.G. Distinctive image features from scale-invariant keypoints. Int. J. Comput. Vis. 2004, 60, 91–110. [Google Scholar] [CrossRef]
- Luo, H.; Gu, Y.; Liao, X.; Lai, S.; Jiang, W. Bag of Tricks and a Strong Baseline for Deep Person Re-Identification. In Proceedings of the 2019 IEEE/CVF Conference on Computer Vision and Pattern Recognition Workshops, Long Beach, CA, USA, 16–17 June 2019; pp. 1487–1495. [Google Scholar]
- Zhuang, Z.; Wei, L.; Xie, L.; Ai, H.; Tian, Q. Camera-Based Batch Normalization: An Effective Distribution Alignment Method for Person Re-Identification. IEEE Trans. Circuits Syst. Video Technol. 2022, 32, 374–387. [Google Scholar] [CrossRef]
- Dong, N.; Zhang, L.; Yan, S.; Tang, H.; Tang, J. Erasing, transforming, and noising defense network for occluded person re-identification. IEEE Trans. Circuits Syst. Video Technol. 2023, 34, 4458–4472. [Google Scholar] [CrossRef]
- Jiang, M.; Liu, X.; Kong, J. Text-Guided Prototype Generation for Occluded Person Re-Identification. IEEE Signal Process. Lett. 2024, 31, 2350–2354. [Google Scholar] [CrossRef]
- Krizhevsky, A.; Sutskever, I.; Hinton, G.E. Imagenet classification with deep convolutional neural networks. In Proceedings of the Advances in Neural Information Processing Systems, Lake Tahoe, NV, USA, 3–6 December 2012; Volume 25, pp. 1097–1105. [Google Scholar]
- Hou, R.; Ma, B.; Chang, H.; Gu, X.; Shan, S.; Chen, X. Feature Completion for Occluded Person Re-Identification. IEEE Trans. Pattern Anal. Mach. Intell. 2022, 44, 4894–4912. [Google Scholar] [CrossRef] [PubMed]
- Zhao, C.; Qu, Z.; Jiang, X.; Tu, Y.; Bai, X. Content-Adaptive Auto-Occlusion Network for Occluded Person Re-Identification. IEEE Trans. Image Process. 2023, 32, 4223–4236. [Google Scholar] [CrossRef]
- Ghorbel, M.; Ammar, S.; Kessentini, Y.; Jmaiel, M. Masking for better discovery: Weakly supervised complementary body regions mining for person re-identification. Expert Syst. Appl. 2022, 197, 116636. [Google Scholar] [CrossRef]
- Hu, H.; Dong, X.; Bao, J.; Chen, D.; Yuan, L.; Chen, D.; Li, H. PersonMAE: Person Re-Identification Pre-Training With Masked AutoEncoders. IEEE Trans. Multimed. 2024, 26, 10029–10040. [Google Scholar] [CrossRef]
- Zhao, R.; Ouyang, W.; Wang, X. Person Re-identification by Salience Matching. In Proceedings of the IEEE International Conference on Computer Vision, Sydney, NSW, Australia, 1–8 December 2013; pp. 2528–2535. [Google Scholar]
- Zheng, W.S.; Li, X.; Xiang, T.; Liao, S.; Lai, J.; Gong, S. Partial Person Re-Identification. In Proceedings of the IEEE International Conference on Computer Vision, Santiago, Chile, 7–13 December 2015; pp. 4678–4686. [Google Scholar]
- Shi, Z.; Hospedales, T.M.; Xiang, T. Transferring a Semantic Representation for Person Re-Identification and Search. In Proceedings of the IEEE Conference on Computer Vision and Pattern Recognition, Boston, MA, USA, 7–12 June 2015; pp. 4184–4193. [Google Scholar]
- Zheng, L.; Shen, L.; Tian, L.; Wang, S.; Wang, J.; Tian, Q. Scalable Person Re-Identification: A Benchmark. In Proceedings of the IEEE International Conference on Computer Vision, Santiago, Chile, 7–13 December 2015; pp. 1116–1124. [Google Scholar]
- Yao, H.; Zhang, S.; Hong, R.; Zhang, Y.; Xu, C.; Tian, Q. Deep Representation Learning With Part Loss for Person Re-Identification. IEEE Trans. Image Process. 2019, 28, 2860–2871. [Google Scholar] [CrossRef]
- Wu, G.; Zhu, X.; Gong, S. Learning hybrid ranking representation for person re-identification. Pattern Recognit. 2022, 121, 108239. [Google Scholar] [CrossRef]
- Zhu, H.; Budhwant, P.; Zheng, Z.; Nevatia, R. Seas: Shape-aligned supervision for person re-identification. In Proceedings of the IEEE/CVF Conference on Computer Vision and Pattern Recognition, Seattle, WA, USA, 16–22 June 2024; pp. 164–174. [Google Scholar]
- Zhu, S.; Zhang, Y.; Liu, Y.; Feng, Y.; Coleman, S.; Kerr, D. AE-Net: Appearance-Enriched Neural Network with Foreground Enhancement for Person Re-Identification. IEEE Trans. Emerg. Top. Comput. Intell. 2025, 1–15. [Google Scholar] [CrossRef]
- Yu, C.; Liu, X.; Zhu, J.; Wang, Y.; Zhang, P.; Lu, H. CLIMB-ReID: A Hybrid CLIP-Mamba Framework for Person Re-Identification. In Proceedings of the AAAI Conference on Artificial Intelligence, Philadelphia, PA, USA, 25 February–4 March 2025; Volume 39, pp. 9589–9597. [Google Scholar]
- Song, C.; Huang, Y.; Ouyang, W.; Wang, L. Mask-guided contrastive attention model for person re-identification. In Proceedings of the IEEE Conference on Computer Vision and Pattern Recognition, Salt Lake City, UT, USA, 18–23 June 2018; pp. 1179–1188. [Google Scholar]
- Song, C.; Shan, C.; Huang, Y.; Wang, L. Mask-guided contrastive attention and two-stream metric co-learning for person re-identification. Neurocomputing 2021, 465, 561–573. [Google Scholar] [CrossRef]
- Cai, H.; Wang, Z.; Cheng, J. Multi-Scale Body-Part Mask Guided Attention for Person Re-Identification. In Proceedings of the IEEE/CVF Conference on Computer Vision and Pattern Recognition Workshops, Long Beach, CA, USA, 16–17 June 2019; pp. 1555–1564. [Google Scholar]
- Li, W.; Zhu, X.; Gong, S. Harmonious Attention Network for Person Re-Identification. In Proceedings of the IEEE Conference on Computer Vision and Pattern Recognition, Salt Lake City, UT, USA, 18–23 June 2018; pp. 2285–2294. [Google Scholar]
- Chen, G.; Gu, T.; Lu, J.; Bao, J.A.; Zhou, J. Person Re-Identification via Attention Pyramid. IEEE Trans. Image Process. 2021, 30, 7663–7676. [Google Scholar] [CrossRef] [PubMed]
- Jin, H.; Lai, S.; Qian, X. Occlusion-Sensitive Person Re-Identification via Attribute-Based Shift Attention. IEEE Trans. Circuits Syst. Video Technol. 2022, 32, 2170–2185. [Google Scholar] [CrossRef]
- Gu, X.; Chang, H.; Ma, B.; Bai, S.; Shan, S.; Chen, X. Clothes-Changing Person Re-Identification With RGB Modality Only. In Proceedings of the IEEE/CVF Conference on Computer Vision and Pattern Recognition, New Orleans, LA, USA, 18–24 June 2022; pp. 1060–1069. [Google Scholar]
- He, L.; Liu, W. Guided saliency feature learning for person re-identification in crowded scenes. In Proceedings of the European Conference on Computer Vision, Glasgow, UK, 23–28 August 2020; pp. 357–373. [Google Scholar]
- Yan, C.; Pang, G.; Wang, L.; Jiao, J.; Feng, X.; Shen, C.; Li, J. BV-Person: A Large-Scale Dataset for Bird-View Person Re-Identification. In Proceedings of the 2021 IEEE/CVF International Conference on Computer Vision, Montreal, QC, Canada, 10–17 October 2021; pp. 10943–10952. [Google Scholar]
- Shen, D.; Zhao, S.; Hu, J.; Feng, H.; Cai, D.; He, X. ES-Net: Erasing Salient Parts to Learn More in Re-Identification. IEEE Trans. Image Process. 2021, 30, 1676–1686. [Google Scholar] [CrossRef]
- Zheng, Z.; Yang, X.; Yu, Z.; Zheng, L.; Yang, Y.; Kautz, J. Joint discriminative and generative learning for person re-identification. In Proceedings of the IEEE/CVF Conference on Computer Vision and Pattern Recognition, Long Beach, CA, USA, 15–20 June 2019; pp. 2138–2147. [Google Scholar]
- Wang, H.; Jiao, L.; Yang, S.; Li, L.; Wang, Z. Simple and Effective: Spatial Rescaling for Person Reidentification. IEEE Trans. Neural Networks Learn. Syst. 2022, 33, 145–156. [Google Scholar] [CrossRef]
- Zhong, Z.; Zheng, L.; Zheng, Z.; Li, S.; Yang, Y. Camstyle: A novel data augmentation method for person re-identification. IEEE Trans. Image Process. 2018, 28, 1176–1190. [Google Scholar] [CrossRef]
- Zhong, Z.; Zheng, L.; Kang, G.; Li, S.; Yang, Y. Random erasing data augmentation. In Proceedings of the AAAI Conference on Artificial Intelligence, New York, NY, USA, 7–12 February 2020; Volume 34, pp. 13001–13008. [Google Scholar]
- Zang, X.; Li, G.; Gao, W.; Shu, X. Learning to disentangle scenes for person re-identification. Image Vis. Comput. 2021, 116, 104330. [Google Scholar] [CrossRef]
- Ding, J.; Linze, L.; Rongchang, L.; Cong, W.; Tianyang, X.; Wu, X.J. Robust Person Re-Identification Approach with Deep Learning and Optimized Feature Extraction. In Proceedings of the 2024 IEEE International Conference on Multimedia and Expo Workshops, Niagara Falls, ON, Canada, 15–19 July 2024; pp. 1–6. [Google Scholar]
- Chen, T.; Jiang, X.; Pei, G.; Sun, Z.; Wang, Y.; Yao, Y. Knowledge transfer with simulated inter-image erasing for weakly supervised semantic segmentation. In Proceedings of the European Conference on Computer Vision, Milan, Italy, 29 September–4 October 2024; pp. 441–458. [Google Scholar]
- Yin, Q.; Ding, G.; Zhang, T.; Gong, Y. Robust Fine-Grained Learning for Cloth-Changing Person Re-Identification. Mathematics 2025, 13, 429. [Google Scholar] [CrossRef]
- Zhu, S.; Zhang, Y.; Feng, Y. GW-net: An efficient grad-CAM consistency neural network with weakening of random erasing features for semi-supervised person re-identification. Image Vis. Comput. 2023, 137, 104790. [Google Scholar] [CrossRef]
- Yun, S.; Han, D.; Oh, S.J.; Chun, S.; Choe, J.; Yoo, Y. Cutmix: Regularization strategy to train strong classifiers with localizable features. In Proceedings of the IEEE/CVF International Conference on Computer Vision, Seoul, Republic of Korea, 27 October 2019–2 November 2019; pp. 6023–6032. [Google Scholar]
- Zhang, H.; Cisse, M.; Dauphin, Y.N.; Lopez-Paz, D. mixup: Beyond Empirical Risk Minimization. In Proceedings of the 6th International Conference on Learning Representations, Vancouver, BC, Canada, 30 April–3 May 2018; pp. 1–13. [Google Scholar]
- Cubuk, E.D.; Zoph, B.; Shlens, J.; Le, Q.V. Randaugment: Practical automated data augmentation with a reduced search space. In Proceedings of the IEEE/CVF Conference on Computer Vision and Pattern Recognition Workshops, Seattle, WA, USA, 14–19 June 2020; pp. 702–703. [Google Scholar]
- Cubuk, E.D.; Zoph, B.; Mane, D.; Vasudevan, V.; Le, Q.V. Autoaugment: Learning augmentation policies from data. arXiv 2018, arXiv:1805.09501. [Google Scholar]
- DeVries, T.; Taylor, G.W. Improved Regularization of Convolutional Neural Networks with Cutout. arXiv 2017, arXiv:1708.04552. [Google Scholar]
- Gou, M.; Karanam, S.; Liu, W.; Camps, O.; Radke, R.J. DukeMTMC4ReID: A Large-Scale Multi-camera Person Re-identification Dataset. In Proceedings of the 2017 IEEE Conference on Computer Vision and Pattern Recognition Workshops, Honolulu, HI, USA, 21–26 July 2017; pp. 1425–1434. [Google Scholar]
- Wei, L.; Zhang, S.; Gao, W.; Tian, Q. Person Transfer GAN to Bridge Domain Gap for Person Re-identification. In Proceedings of the 2018 IEEE/CVF Conference on Computer Vision and Pattern Recognition, Salt Lake City, UT, USA, 18–23 June 2018; pp. 79–88. [Google Scholar]
- He, K.; Zhang, X.; Ren, S.; Sun, J. Deep Residual Learning for Image Recognition. In Proceedings of the IEEE Conference on Computer Vision and Pattern Recognition, Las Vegas, NV, USA, 27–30 June 2016; pp. 770–778. [Google Scholar]
- Deng, J.; Dong, W.; Socher, R.; Li, L.J.; Li, K.; Fei-Fei, L. ImageNet: A large-scale hierarchical image database. In Proceedings of the 2009 IEEE Conference on Computer Vision and Pattern Recognition, Miami, FL, USA, 20–25 June 2009; pp. 248–255. [Google Scholar]
- Dai, Z.; Chen, M.; Gu, X.; Zhu, S.; Tan, P. Batch DropBlock Network for Person Re-Identification and Beyond. In Proceedings of the 2019 IEEE/CVF International Conference on Computer Vision, Seoul, Republic of Korea, 27 October–2 November 2019; pp. 3690–3700. [Google Scholar]





| Sets | Datasets | ||
|---|---|---|---|
| Market-1501 | DukeMTMC-reID | MSMT17 | |
| Training | 12,936 | 16,522 | 32,621 |
| Gallery | 19,732 | 17,661 | 82,161 |
| Query | 3368 | 2228 | 11,659 |
| Methods | References | Backbone | Market-1501 | Inference/Image | DukeMTMC-reID | MSMT17 | |||
|---|---|---|---|---|---|---|---|---|---|
| Rank-1 | mAP | Rank-1 | mAP | Rank-1 | mAP | ||||
| MTOR [2] | TCSVT 2022 | ResNet-50 | 90.2 | 75.5 | 7 ms | 82.6 | 66.4 | - | - |
| CBN+BoT [10] | TCSVT 2022 | ResNet-50 | 94.3 | 83.6 | 7 ms | 84.8 | 70.1 | - | - |
| VRM [32] | TCSVT 2022 | ResNet-50 | 94.6 | 85.3 | 8 ms | 87.5 | 76.3 | - | - |
| CAL [33] | CVPR 2022 | ResNet-50 | 94.7 | 87.5 | 6 ms | - | - | 79.7 | 57.3 |
| RANGEv2 [23] | PR 2022 | ResNet-50 | 94.7 | 86.8 | 7 ms | 87.0 | 78.2 | 76.4 | 51.3 |
| DG-Net [37] | CVPR 2019 | ResNet-50 | 94.8 | 86.0 | 8 ms | 86.6 | 74.8 | 77.2 | 52.3 |
| GASM [34] | ECCV 2020 | FCN | 95.3 | 84.7 | 8 ms | 88.3 | 74.4 | 79.5 | 52.5 |
| ES-Net [36] | TIP 2021 | ResNet-50 | 95.7 | 88.6 | 8 ms | 89.2 | 78.8 | 80.9 | 57.3 |
| BV [35] | ICCV 2021 | ResNet-50 | 96.0 | 89.2 | 6 ms | 90.5 | 80.6 | - | - |
| MGN [38] | TNNLS 2022 | MGN | 96.0 | 89.3 | 8 ms | 89.1 | 79.1 | - | - |
| AE-Net [25] | TETCI 2025 | ResNet-50 | 97.6 | 89.6 | 8 ms | 90.9 | 80.4 | 82.1 | 57.8 |
| Ours | 2025 | ResNet-50 | 97.8 | 89.6 | 6 ms | 91.5 | 78.2 | 82.7 | 58.0 |
| Methods | Market-1501 | DukeMTMC-reID | ||
|---|---|---|---|---|
| Rank-1 | mAP | Rank-1 | mAP | |
| Baseline | 95.3 | 86.7 | 89.0 | 76.0 |
| w/o | 97.0 | 88.2 | 90.1 | 76.9 |
| Ours | 97.8 | 89.6 | 91.5 | 78.2 |
| Methods | Market-1501 | DukeMTMC-reID | ||
|---|---|---|---|---|
| Rank-1 | mAP | Rank-1 | mAP | |
| Baseline | 95.3 | 86.7 | 89.0 | 76.0 |
| w/o | 97.2 | 88.0 | 90.5 | 77.4 |
| Ours | 97.8 | 89.6 | 91.5 | 78.2 |
Disclaimer/Publisher’s Note: The statements, opinions and data contained in all publications are solely those of the individual author(s) and contributor(s) and not of MDPI and/or the editor(s). MDPI and/or the editor(s) disclaim responsibility for any injury to people or property resulting from any ideas, methods, instructions or products referred to in the content. |
© 2025 by the authors. Licensee MDPI, Basel, Switzerland. This article is an open access article distributed under the terms and conditions of the Creative Commons Attribution (CC BY) license (https://creativecommons.org/licenses/by/4.0/).
Share and Cite
Zhu, S.; Zhang, H. Improving Person Re-Identification via Feature Erasing-Driven Data Augmentation. Mathematics 2025, 13, 2580. https://doi.org/10.3390/math13162580
Zhu S, Zhang H. Improving Person Re-Identification via Feature Erasing-Driven Data Augmentation. Mathematics. 2025; 13(16):2580. https://doi.org/10.3390/math13162580
Chicago/Turabian StyleZhu, Shangdong, and Huayan Zhang. 2025. "Improving Person Re-Identification via Feature Erasing-Driven Data Augmentation" Mathematics 13, no. 16: 2580. https://doi.org/10.3390/math13162580
APA StyleZhu, S., & Zhang, H. (2025). Improving Person Re-Identification via Feature Erasing-Driven Data Augmentation. Mathematics, 13(16), 2580. https://doi.org/10.3390/math13162580

