Abstract
Variant emergence continues to pose a threat to global public health, despite the large-scale campaigns of immunization worldwide. In this paper, we present a genotype-structured model of viral infectious and evolutionary dynamics. We calibrate the model using the available estimates for SARS-CoV-2 infection parameters and use it to study the conditions leading to the emergence of immune escaping variants. In particular, we show that the emergence of highly replicating or immune escaping variants could extend the duration of the infection, while the emergence of variants that are both highly replicating and immune escaping could provoke a rebound of the infection. Then, we show that the high frequency of mutation increases the chances of variant emergence, which promotes virus persistence. Further, simulations suggest that weak neutralization by antibodies could exert a selective pressure that favors the development of aggressive variants. These results can help public health officials identify and isolate the patients from where new variants emerge, which would make genomic surveillance efforts more efficient.
Keywords:
COVID-19; variants of concern; mutations; evolutionary dynamics; immune response; numerical simulations MSC:
92B05
1. Introduction
The emergence of new variants of pathogens, particularly RNA viruses like SARS-CoV-2, influenza virus, human immunodeficiency virus (HIV), and respiratory syncytial virus (RSV), has become a pressing concern for global public health [1]. These variants can potentially possess mutations that endow them with advantageous traits, impacting the trajectory of the epidemic and the effectiveness of countermeasures [2]. For instance, increased transmissibility can lead to a variant becoming dominant, as it can spread more quickly and extensively within populations, sometimes even in the face of public health interventions such as social distancing, testing, isolation, and mask-wearing.
Immune evasion is another critical factor that can arise from variant genetic drift. This occurs when changes in the virus’s RNA structure diminish the ability of antibodies, which were developed in response to previous infections or vaccinations, to recognize and neutralize the virus [3]. Such evasion can lead to an increase in breakthrough infections among previously infected or vaccinated individuals, undermining herd immunity efforts. Further, the emergence of more virulent variants may cause more severe disease, which places a greater burden on healthcare systems. For instance, it has been shown that infections with the variant RSV-A resulted in more severe outcomes than infections with RSV-B [4]. As a result, hospitals and healthcare providers may become overwhelmed following the emergence of more virulent variants.
The emergence of new variants occurs as a result of the acquisition of driver mutations during virus replication. One of the main features of RNA viruses is that they have a high mutation rate and a short replication time [5]. Emerging SARS-CoV-2 variants of concern (VOCs), for instance, typically have either a replication advantage, an immune escape advantage, or a combination of both [6]. Viral evolutionary dynamics are usually affected by the availability of healthy cells and the interaction with the immune response. In this context, the analysis of genomic data has revealed that immune selective pressure contributes to the development of aggressive SARS-CoV-2 variants [7]. For instance, two viral RNA samples from nasal swabs, classified as the B.1.1.7 lineage, and one viral RNA sample from a lung specimen, identified as the B.1.533 lineage, were detected in a vaccinated person [8].
Mathematical modeling has been extensively applied to gain insights into the kinetics of viral infection and evolution. Disease infection models were adapted to study the viral kinetics of SARS-CoV-2 and the effect of treatments [9,10,11]. Multiscale models were developed to describe the intracellular and extracellular mechanisms that regulate tissue infection by a virus [12,13,14]. These models describe the replication of virions inside infected cells. Hence, they can be used to study the effect of mutation acquisition. Although numerous models have studied the emergence and competition of viral variants, only a few have explored the impact of variant emergence on the course of infection. Among these studies, one investigated the development of virus resistance to SARS-CoV-2 during treatment with anti-spike monoclonal antibodies [15]. In another previous work, a machine learning-based approach was developed to forecast the emergence of variants [16], while a within- and between-host model was used to study the chances of variant emergence and spread in the population using stochastic processes in a recent work [17]. Other models have studied the emergence of variants at the population level using phylodynamic models [18]. Simulation of the competition between variants was also studied using mathematical modeling [19]. Structured models were also used to study the evolutionary dynamics of viral infections and inter-variant competition [20], while reaction–diffusion models were analyzed to determine the relationship between viral load and virulence, genotype distribution, and the strength of the immune response [21,22,23]. Genotype-structured models were initially developed to investigate problems originating from ecology [24] and tumor growth [25,26]. They were also applied to investigate the emergence of variants during the spread of infectious disease at the population level [27,28].
This paper introduces a new genotype-structured model to investigate the emergence of new virus variants and their transmission potential. After introducing the model, we will calibrate it using SARS-CoV-2 infection dynamics. Then, we will conduct numerical simulations to analyze the effect of mutation frequency, variant properties, and immune response strength on variant emergence, competition, and transmission. There is a lack of mathematical models that study the impact of variant emergence and competition on the infection progression. The chances of variant transmission are estimated by calculating the proportion of viral load that they generate. The obtained results are discussed to derive recommendations that aim to improve the genomic surveillance efforts. The remainder of this paper is organized as follows: Section 2 introduces a mathematical model that incorporates the main mechanisms regulating viral infection and evolution. In Section 3, we present the results of numerical simulations that elucidate the conditions leading to the emergence of variants during viral infections. In particular, we focus our analysis on the effect of the emerging variant characteristics, the frequency of mutations during virus replication, as well as efficacy and broadness of the immune response. The novelty, contributions, and limitations of this study are discussed in Section 4.
2. Genotype-Structured Modeling of Viral Infection and Evolution
We formulate a mathematical model representing the dynamics of viral infection and evolution. The model tracks the population of healthy cells (C), as well as the population densities of infected cells (), virus particles (V), and antibodies (A) during an infection by a highly mutating RNA virus. It follows target cell-limited kinetics without a latent phase and is commonly used to model influenza and SARS-CoV-2 infections [29]. A notable incorporation of our model is the explicit inclusion of antibody titers. We assume antibodies are produced based on the number of infected cells and that they inhibit free virus. Additionally, the model considers that the density of infected cells, the concentration of the virus, and the concentration of antibodies are structured according to the genotype of infecting or emerging virus strains. We denote the virus genotype by x and consider that it belongs to a one-dimensional genotype space X which characterizes the genetic potential for virus replication. We assume that the unit considered for the genotype is an arbitrary genetic unit (). Given the computational nature of the study and limited duration of the infection, we consider that the genotype space is bounded ( with denoting an arbitrary genetic unit). We begin by describing the change in the density of healthy cells following their infection by the virus:
Here, the right-hand side term describes the consumption of healthy cells because of their infection by the virus, and denotes the rate of cell infection by the virus, given in and taken independent of the virus genotype since viral replication is an intracellular process. As an initial condition, we set the concentration of healthy cells to concentration , corresponding to the density of cells under normal physiological conditions and taken equal to [30]. Next, we consider the population of infected cells, structured according to the genotype of the virus strains that replicate inside of them:
where the first term on the right-hand side of the equation represents the change in the population density of infected cells harboring viruses that belong to the genotype x due to mutations acquired during virus replication. The effect of these random mutations is modeled as a diffusion process, and we consider that the incidence of mutations depends on the rate of virus production. This is because the production of a virus strain depends on its replication inside infected cells. We model this using a time-dependent diffusion coefficient in Equation (2):
It describes the change in the genotype of the strain harbored by infected cells due to the acquisition of mutations during replication, with representing the mutation rate, and denoting the rate of virus production by infected cells, respectively. The units for and are and , respectively. By using this formula, we consider that the virus stops acquiring mutations as soon as viral replication and production end. As a result, we consider the effect of viral plasticity which regulates evolutionary dynamics [31]. The second term corresponds to the infection of healthy cells by the virus, and the last term represents the death of infected cells due to cytotoxicity, with representing the rate of infected cell cytotoxicity, and taken in . We consider that there are no infected cells at the beginning of the simulation. The no-flux conditions are applied at the two boundaries of the genotype space for this equation:
After that, we describe the evolution of the virus load, structured according to the genotype of the virus:
Here, the first term in the right-hand side of the equation describes the production of the virus by infected cells. We consider that the rate of viral production () depends on the replicating fitness of the virions harbored by infected cells, which in turn depends on their genotype x. Note that we do not consider virus mutation outside of cells since this process occurs during intracellular replication. To study the emergence of new variants, we consider a function for that reflects a fitness landscape that consists of two variants: (i) variant 0, which represents the original variant that infected the host and which we consider to be centered at , and (ii) variant X which can potentially emerge during infection, considered to be centered at . We assume that each of these variants has a radius of 1. In other words, it extends in the genotype space from to , where is the center of the variant domain and 1 is its radius. Note that in the considered scenarios, we always consider that and that . Each variant area represents the viable space which corresponds to the range of genetic configurations or mutations that a variant can have while still maintaining its ability to infect cells and replicate with the same fecundity potential. We consider that the two variants are separated by genotypic distance , where , and that variant X has a replication advantage over variant 0 (Figure 1A). The values of genetic distance and replication advantage are changed in each simulation to study the emergence potential of different types of variants. The second term on the right-hand side of the equation describes the neutralization of the virus by antibodies, with describing the rate of virus neutralization by antibodies, given in . To incorporate the effect of cross-immunity, we consider that the effectiveness of the virus neutralization depends on the genotypic distance between the antibodies and the virus genotypes, captured using a radial-basis function () [32], with sub-index x denoting the virus genotype:
if and 0 elsewhere. The last term on the right-hand side of Equation (3) describes the decay of virus particles. In this term, denotes the rate of virus degradation and is given in . We prescribe the no-flux conditions for the virus concentration at the two boundaries of the genotype space:
Figure 1.
(A) Schematic representation of the function considered for the rate of virus production by infected cells (). It characterizes a fitness landscape that consists of two variants: the original variant that infected the host (variant 0), whose rate of virus production by infected cells is , and the hypothetical variant that could emerge (variant X), which has a rate of virus production by infected cells of . The genotypic distance, defined by , separates the centers of the two variants. (B) The initial condition that is considered for the virus density . It is a Gaussian function centered at 0 and that has a standard deviation equal to 0.2.
As an initial condition, we consider a Gaussian function centered at and which has a standard deviation equal to 0.2 (Figure 1B):
The amplitude of this initial condition is tuned such that the total initial viral load is equal to 85 . Finally, we describe the concentration of antibodies as follows:
Here, the first term on the right-hand side of the equation represents the production of antibodies by antigen-specific B cells following stimulation by antigen-presenting cells (APCs). The number of APCs harboring an antigen with a certain genotype depends on the density of infected cells harboring virions with the same genotype. Thus, the production of antibodies against a certain virus strain depends on the concentration of cells infected by the same strain. In this term, denotes the rate of antigen production by infected cells and is given in . The second term on the right-hand side of the equation represents the decay of antibodies, with denoting the decay rate of antibodies and given in . As for the concentration of the virus and the infected cells, we prescribe the no-flux condition for the concentration of antibodies at the two boundaries of the genotype space:
The model is solved numerically using the finite difference method. The Euler forward scheme is used to discretize the partial differential equations. The time and space steps used for discretization are set to day and . A list of the default parameter values is provided in Table 1. The CPU time of numerical simulations corresponding to 60 days of the physical time is 1 min 23 s on a computer with an i7 processor and 16 GB of RAM.
Table 1.
Default numerical values of the model parameters, determined to reproduce the kinetics of SARS-CoV-2 infection. Some of these values are changed depending on the considered scenario. pg denotes the weight unit picogram, and mL represents the volume unit microliter.
3. Results
3.1. Emergence of Variants Can Extend the Duration of the Infection or Cause a Rebound Depending on Their Characteristics
We begin our analysis by determining the model parameters that reproduce the viral kinetics of SARS-CoV-2 in real patients. Although these kinetics differ from one patient to another, the viral load reaches its maximal value a few days after the onset of symptoms in most patients [34]. Then, it starts to decrease and drops below the detection threshold of 100 after 6 to 22 days following the onset of symptoms. In our simulations, we consider the case where a patient has a severe infection and tune the model parameters to reproduce the corresponding viral kinetics. In particular, we fit the values of the parameters , , and such that in the absence of variant emergence, the viral load peaks on day 8 post-infection, and then start falling and drops below 100 by day 16.
After calibrating the model parameters, we introduce the emergence of variant X and consider different situations where the replication advantage and the genotypic distance () are different. In each case, we compare the evolution of the viral load produced by variant X to the one generated by all strains during the infection. Variant X viral load is calculated as , while the total viral load is estimated at . Figure 2A shows the effect of variant X emergence on the progression of the infection, when four values of the replication advantage and genotypic distance are considered. In all four cases, the emergence of variant X extends the duration of the infection. In the most optimistic scenario where the replication advantage is low and immune escape level is high (), variant X extends the duration of the infection by 18 days, reaching 34 days. The viral load generated by variant X does not reach the detectable threshold of 100 . When we decrease the genotypic distance to , variant X extends the duration of the infection by 23 days, reaching 39 days, and variant X can be detected from day 7 to day 18. After that, we consider the case where variant X is highly replicating and has a 75% replication advantage over variant 0. When the genotypic distance is small (), variant X emerges early before the peak of the viral load and remains detectable until the end of the infection. In this case, variant X emergence extends the disease duration by 39 days, reaching 55 days. In the scenario where the variant is both highly replicating and immune escaping (), variant X emerges 31 days after testing positive and causes a rebound in the infection. These results suggest that variants that are highly immune evasive but slowly replicating have a much lower chance of being detectable during infections.
Figure 2.
(A) The effect of variant X emergence on the course of the infection for different values of the replication advantage and the genotypic distance. The viral load generated by variant X in each case is represented in gray color. (B) The percent of the viral load generated by variant X, when divided by the total produced viral charge for different values for the variant X replication advantage and the genotypic distance that separates it from variant 0.
To estimate the relative chance of variant X transmission to other hosts during infection, we compare the area under the curve (AUC) of the viral load generated by variant X to the one of the total viral load, regardless of the strains. Figure 2B shows the percent obtained by dividing AUC of variant X viral load by the AUC of the total viral load. The obtained results show that highly replicating variants which are genotypically close to the original variant have a much higher chance of spreading to other individuals. On the other hand, emerging variants that escape immunity have a much lower chance to be detected and transmitted. However, this risk increases when the immune escaping variant has also a high replication advantage.
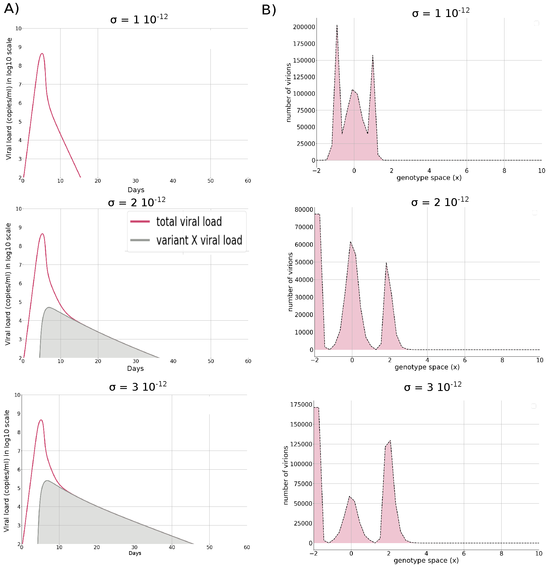
3.2. High Mutation Rate Promotes the Emergence of Variants Which Extends the Duration of the Infection
Next, we study the effect of the mutation rate () on the emergence of variant X and the infection dynamics. The mutation rate describes the genetic drift observed in the produced virions. In our analysis, we consider that variant X is centered at and has a 50% replication advantage over variant 0. We begin by running three simulations corresponding to three values of the mutation rate: , and , and study the progression of the infection in each case. Figure 3A shows the evolution of the viral load in the three scenarios. When the mutation rate is low, the evolution of the virus is slow and variant X does not reach a detectable value during the infection. Furthermore, the infection is eliminated sooner than expected because the virus does not sufficiently evolve to escape the action of antibodies. As we increase the mutation rate to the value , variant X emerges early in the infection and reaches maximal value after a few hours. This influences the duration of the infection, as the patient still tests positive until day 37. The same dynamics are observed when the mutation rate is further increased to . In this case, the infection lasts 45 days.
Figure 3.
(A) The effect of the mutation rate on the kinetics of the viral load and the emergence of variant X. The viral charge generated by the latter is shown in gray color. (B) The distribution of the virus as a function of the genotype at the beginning of day 8, when three values of the mutation rate are considered.
To understand the effect of the mutation rate on the distribution of the virus strain phenotypes, we represent the distribution of the virus across the genotype space at the start of day 8 (Figure 3B). In the three cases, the virus spreads as a traveling wave that starts to decay when it leaves the area of the original variant . This wave emerges from the vicinity of the genotype space of variant 0 because of the non-local elimination of the virus by antibodies, which tends to be maximal towards the center of the variant area. Variant X emerges when some virions manage to acquire sufficient mutations to reach the variant genotypic area . In this case, infected cells harboring variant X virions start to produce a higher concentration of the virus, depending on the fitness of the variant. This higher production extends the duration of infection and maximizes the infection of healthy cells. We also observe that the original variant goes extinct faster as we increase the mutation rate. These results indicate that a high mutation rate increases the risk of variant emergence during infection.
3.3. Reduced Neutralization Capacity of Antibodies Promotes the Emergence of Aggressive Variants
The viral kinetics of RNA viruses are highly heterogeneous, which suggests that some of the model parameters can be different for each patient. In particular, it is shown that the elderly population generates antibodies with lower neutralization capacity than younger individuals [35]. In this analysis, we evaluate the impact of the efficacy and broadness of the immune response on the risks of variant X emergence and transmission (Figure 4). In particular, we study the risk of the emergence of a variant separated from the original variant with a genotypic distance equal to and that has a 50% replication advantage over variant 0. We run systematic numerical simulations, where we consider different values of antibody efficacy and immunity broadness . For each case, we evaluate the risk of variant X emergence and transmission by calculating the ratio of the AUC of variant X viral load out of the AUC of the total viral load. In the situation where immunity is sufficiently broad ( and the neutralization efficacy is high (), the infection ends without the emergence of variant X. In this case, antibodies eliminate all virions before they acquire a sufficient number of mutations to evolve into variant X. As we decrease the value of the neutralization rate () to a value from 0.07 to 0.13, we observe that variant X quickly becomes dominant, while variant 0 goes extinct (Figure 4A, bottom). This is because antibodies exert a selective pressure that promotes the emergence of the fittest variants. When we consider a low rate of virus neutralization by antibodies (), variant X emerges but does not become dominant because it can hardly compete for healthy cells with variant 0, which is also not easily eliminated by antibodies (Figure 4A, top). Further, we observe that the interval of antibody efficacy that promotes the emergence of variant X is larger for low values of immunity broadness (Figure 4B). However, variant X does become dominant in this case.
Figure 4.
(A) The kinetics of the viral infection and the emergence of variant X when we consider two different values for the rate of virus neutralization by antibodies. The viral charge generated by variant X is represented by gray color. (B) A parameter space diagram showing the percent of the overall viral load generated by variant X out of the total viral charge when different values for the variant X replication advantage and genotypic distance are considered.
4. Discussion
This paper aims to determine the conditions that promote variant emergence and spread during viral infection. To study the chances of variant emergence, we consider a genotype-structured model that incorporates the key mechanisms regulating viral infection, evolution, and immune response. These features make our framework suitable to investigate hypothetical scenarios for the emergence of variants during infections. In particular, we investigate the effect of the characteristics of the emerging variant such as the replication advantage and the genotypic distance on the kinetics and outcome of the infections. Our simulations suggest that the emergence of highly replicating or immune escaping variants can extend the duration of the infection, which may exacerbate the severity of the disease. Further, they indicate that the emergence of a variant that is both highly replicating and immune escaping could prove a rebound of the infection. Another interesting finding is that highly replicating variants have a greater chance to spread to other individuals than immune escaping ones. Although our study does not specifically investigate the emergence conditions for variants less transmissible than their progenitors, the results from Figure 2B imply that even variants sharing the same transmissibility level as their progenitors have a significantly low probability of surpassing the detection threshold and infecting other hosts.
We continue our investigation by studying the effect of the frequency of mutations on the risk of variant emergence. We show that a high mutation rate accelerates the onset of variant emergence, which extends the infection duration. This suggests that an increased mutation rate would favor the emergence of immune escaping variants. We can speculate that this explains why the VOCs that emerged at the beginning of the pandemic had a replication advantage, while most of the ones that emerged after the Omicron wave had an immune escape advantage. We can further speculate that the high replication of the Delta variant increased the frequency of mutations, which allowed the emergence of the immune escaping variant, Omicron. Another question that we investigate using the model concerns the effect of antibody efficacy and cross-immunity. Our simulations show the existence of an interval for the antibody efficacy that promotes the emergence of variants. In this case, the immune response exerts a selective pressure that allows only the fittest variants to grow. These results agree with the reported data obtained using genomics data sequencing [7,8], suggesting that immuno-compromised and elderly patients are more at risk of developing variants.
It is important to note that this study is based on a few limitations. First, we restrict the model to the basic kinetics of viral infections and did not include all details of the immune response such as the effect of antigen-presenting cells (APCs), T cells, B cells, and interferon-. Our purpose is to minimize the number of unknown parameters, which reduces complexity and allows a better interpretation of the results. Another limitation concerns the considered scenarios for variant emergence. To elucidate the conditions that promote the emergence of VOCs during infections, we consider the fitness landscape, where we describe the emergence of only one variant but with different characteristics. In reality, the genotype landscape of RNA viruses is highly complex and heterogeneous. Our framework can be combined with empirically inferred fitness landscapes to estimate the chances of the emergence of the next variant [36]. Further, the viable genotypic space describing a distinct variant is assumed to confer the same level of transmissibility across all strains constituting the variant. Additionally, we model genetic drift in infected populations as a diffusion process, where the genetic drift caused by each mutation is sampled from a normal distribution. This approach aligns with several previous theoretical studies [22,23] but differs from others that use distributions such as the log-normal [37]. Finally, the effect of some parameters on the robustness of the obtained results is not investigated. For example, we recently showed that the initial viral load determines the length of the incubation period [38], which could affect the evolution of the virus. We will study the effect of the initial viral load and other parameters in forthcoming works. While the current model is calibrated to reproduce the viral kinetics of SARS-CoV-2 infection, the same approach can be used to study the conditions of variant emergence, competition, and transmission for diseases caused by other highly mutating viruses such as flu and the respiratory syncytial virus (RSV).
The present work can be flexibly adapted to reproduce the viral kinetics of various RNA viruses, such as SARS-CoV-2, influenza, HIV, and RSV. It is parameterized to reproduce the kinetics of SARS-CoV-2 infection, given the availability of studies and data for this virus. Experimental studies estimate the mutation rate of this virus at per-base per-infection cycle [39]. Our model uses an arbitrary genotype unit to characterize genotype changes post-replication. Further, it presents the mutation rate in relation to the number of produced virions by infected cells, rather than the number of intracellular ones, based on the assumption that the produced virion concentration correlates with intracellular virion levels. Due to these factors, correlating our results with existing experimental data poses a challenge. Indeed, incorporating these specific details would require the development of multiscale frameworks integrating cell-, tissue-, and organ-level mechanisms [14,35].
Overall, our analysis suggests that the emergence of highly replicating variants during infections can lead to unfavorable outcomes. Our findings indicate that variant emergence could manifest as long-lasting infections or rebounds, even in the absence of treatments such as Paxlovid. In this context, it is reported that 30% of COVID-19 cases experience a rebound after two days without symptoms [40]. These results could help public health leaders identify and isolate patients from where new VOCs could emerge. In the future, we will incorporate the estimates for the chance of variant emergence and transmission obtained using the model into an agent-based framework to study variant emergence and competition during the endemic phase of COVID-19 [41].
Funding
This research received no external funding.
Data Availability Statement
All equations, parameter values, and methods necessary to reproduce the study are reported in the manuscript.
Conflicts of Interest
The author declares no confict of interest.
References
- Kunal, S.; Ish, P.; Aditi; Gupta, K. Emergence of COVID-19 variants and its global impact. In Frontiers of COVID-19: Scientific and Clinical Aspects of the Novel Coronavirus 2019; Springer: Berlin/Heidelberg, Germany, 2022; pp. 183–201. [Google Scholar]
- Ashby, B.; Smith, C.A.; Thompson, R.N. Non-pharmaceutical interventions and the emergence of pathogen variants. Evol. Med. Public Health 2023, 11, 80–89. [Google Scholar] [CrossRef]
- Boni, M.F.; Gog, J.R.; Andreasen, V.; Feldman, M.W. Epidemic dynamics and antigenic evolution in a single season of influenza A. Proc. R. Soc. B Biol. Sci. 2006, 273, 1307–1316. [Google Scholar] [CrossRef] [PubMed]
- Walsh, E.E.; McConnochie, K.M.; Long, C.E.; Hall, C.B. Severity of respiratory syncytial virus infection is related to virus strain. J. Infect. Dis. 1997, 175, 814–820. [Google Scholar] [CrossRef]
- Domingo, E.; Holland, J. RNA virus mutations and fitness for survival. Annu. Rev. Microbiol. 1997, 51, 151. [Google Scholar] [CrossRef] [PubMed]
- Chakraborty, C.; Sharma, A.R.; Bhattacharya, M.; Agoramoorthy, G.; Lee, S.S. Evolution, mode of transmission, and mutational landscape of newly emerging SARS-CoV-2 variants. mBio 2021, 12, e01140-21. [Google Scholar] [CrossRef] [PubMed]
- MacLean, O.A.; Lytras, S.; Weaver, S.; Singer, J.B.; Boni, M.F.; Lemey, P.; Kosakovsky Pond, S.L.; Robertson, D.L. Natural selection in the evolution of SARS-CoV-2 in bats created a generalist virus and highly capable human pathogen. PLoS Biol. 2021, 19, e3001115. [Google Scholar] [CrossRef] [PubMed]
- Musso, N.; Maugeri, J.G.; Bongiorno, D.; Stracquadanio, S.; Bartoloni, G.; Stefani, S.; Di Stefano, E.D. SARS-CoV-2’s high rate of genetic mutation under immune selective pressure: From oropharyngeal B. 1.1. 7 to intrapulmonary B. 1.533 in a vaccinated patient. Int. J. Infect. Dis. 2022, 118, 169–172. [Google Scholar] [CrossRef]
- Song, H.; Yuan, Z.; Liu, S.; Jin, Z.; Sun, G. Mathematical modeling the dynamics of SARS-CoV-2 infection with antibody-dependent enhancement. Nonlinear Dyn. 2022, 111, 2943–2958. [Google Scholar] [CrossRef]
- Chatterjee, B.; Singh Sandhu, H.; Dixit, N.M. Modeling recapitulates the heterogeneous outcomes of SARS-CoV-2 infection and quantifies the differences in the innate immune and CD8 T-cell responses between patients experiencing mild and severe symptoms. PLoS Pathog. 2022, 18, e1010630. [Google Scholar] [CrossRef]
- Grebennikov, D.; Karsonova, A.; Loguinova, M.; Casella, V.; Meyerhans, A.; Bocharov, G. Predicting the Kinetic Coordination of Immune Response Dynamics in SARS-CoV-2 Infection: Implications for Disease Pathogenesis. Mathematics 2022, 10, 3154. [Google Scholar] [CrossRef]
- Bartha, F.A.; Juhász, N.; Marzban, S.; Han, R.; Röst, G. In Silico Evaluation of Paxlovid’s Pharmacometrics for SARS-CoV-2: A Multiscale Approach. Viruses 2022, 14, 1103. [Google Scholar] [CrossRef] [PubMed]
- Ferrari Gianlupi, J.; Mapder, T.; Sego, T.; Sluka, J.P.; Quinney, S.K.; Craig, M.; Stratford, R.E., Jr.; Glazier, J.A. Multiscale Model of Antiviral Timing, Potency, and Heterogeneity Effects on an Epithelial Tissue Patch Infected by SARS-CoV-2. Viruses 2022, 14, 605. [Google Scholar] [CrossRef]
- Bouchnita, A.; Tokarev, A.; Volpert, V. A multiscale model suggests that a moderately weak inhibition of SARS-CoV-2 replication by type I IFN could accelerate the clearance of the virus. bioRxiv 2021. [Google Scholar] [CrossRef]
- Phan, T.; Zitzmann, C.; Chew, K.W.; Smith, D.M.; Daar, E.S.; Wohl, D.A.; Eron, J.J.; Currier, J.S.; Hughes, M.D.; Choudhary, M.C.; et al. Modeling the emergence of viral resistance for SARS-CoV-2 during treatment with an anti-spike monoclonal antibody. bioRxiv 2023. [Google Scholar] [CrossRef]
- Maher, M.C.; Bartha, I.; Weaver, S.; Di Iulio, J.; Ferri, E.; Soriaga, L.; Lempp, F.A.; Hie, B.L.; Bryson, B.; Berger, B.; et al. Predicting the mutational drivers of future SARS-CoV-2 variants of concern. Sci. Transl. Med. 2022, 14, eabk3445. [Google Scholar] [CrossRef] [PubMed]
- Zhang, X.; Ruan, Z.; Zheng, M.; Zhou, J.; Boccaletti, S.; Barzel, B. Epidemic spreading under mutually independent intra- and inter-host pathogen evolution. Nat. Commun. 2022, 13, 6218. [Google Scholar] [CrossRef]
- Miller, J.K.; Elenberg, K.; Dubrawski, A. Forecasting emergence of COVID-19 variants of concern. PLoS ONE 2022, 17, e0264198. [Google Scholar] [CrossRef] [PubMed]
- Fabre, F.; Montarry, J.; Coville, J.; Senoussi, R.; Simon, V.; Moury, B. Modelling the evolutionary dynamics of viruses within their hosts: A case study using high-throughput sequencing. PLoS Pathog. 2012, 8, e1002654. [Google Scholar] [CrossRef] [PubMed]
- Nowak, M.A.; Tarnita, C.E.; Antal, T. Evolutionary dynamics in structured populations. Philos. Trans. R. Soc. B Biol. Sci. 2010, 365, 19–30. [Google Scholar] [CrossRef] [PubMed]
- Bessonov, N.; Bocharov, G.; Volpert, V. Space and Genotype-Dependent Virus Distribution during Infection Progression. Mathematics 2021, 10, 96. [Google Scholar] [CrossRef]
- Bessonov, N.; Neverova, D.; Popov, V.; Volpert, V. Emergence and competition of virus variants in respiratory viral infections. Front. Immunol. 2022, 13, 945228. [Google Scholar] [CrossRef] [PubMed]
- Bessonov, N.; Bocharov, G.; Meyerhans, A.; Popov, V.; Volpert, V. Existence and dynamics of strains in a nonlocal reaction-diffusion model of viral evolution. SIAM J. Appl. Math. 2021, 81, 107–128. [Google Scholar] [CrossRef]
- Bessonov, N.; Reinberg, N.; Banerjee, M.; Volpert, V. The origin of species by means of mathematical modelling. Acta Biotheor. 2018, 66, 333–344. [Google Scholar] [CrossRef] [PubMed]
- Stace, R.E.; Stiehl, T.; Chaplain, M.A.; Marciniak-Czochra, A.; Lorenzi, T. Discrete and continuum phenotype-structured models for the evolution of cancer cell populations under chemotherapy. Math. Model. Nat. Phenom. 2020, 15, 14. [Google Scholar] [CrossRef]
- Bouchnita, A.; Volpert, V. Phenotype-structured model of intra-clonal heterogeneity and drug resistance in multiple myeloma. J. Theor. Biol. 2024, 576, 111652. [Google Scholar] [CrossRef]
- Bouchnita, A.; Djafari-Rouhani, B. Integrating Genomic, Climatic, and Immunological Factors to Analyze Seasonal Patterns of Influenza Variants. Symmetry 2024, 16, 943. [Google Scholar] [CrossRef]
- Banerjee, M.; Lipniacki, T.; d’Onofrio, A.; Volpert, V. Epidemic model with strain-dependent transmission rate. Commun. Nonlinear Sci. Numer. Simul. 2022, 114, 106641. [Google Scholar] [CrossRef]
- Beauchemin, C.A.; Handel, A. A review of mathematical models of influenza A infections within a host or cell culture: Lessons learned and challenges ahead. BMC Public Health 2011, 11, S7. [Google Scholar] [CrossRef]
- Lee, H.Y.; Topham, D.J.; Park, S.Y.; Hollenbaugh, J.; Treanor, J.; Mosmann, T.R.; Jin, X.; Ward, B.M.; Miao, H.; Holden-Wiltse, J.; et al. Simulation and prediction of the adaptive immune response to influenza A virus infection. J. Virol. 2009, 83, 7151–7165. [Google Scholar] [CrossRef]
- Choua, M.; Bonachela, J.A. Ecological and evolutionary consequences of viral plasticity. Am. Nat. 2019, 193, 346–358. [Google Scholar] [CrossRef]
- Luo, G.; Yang, Z.; Zhan, C.; Zhang, Q. Identification of nonlinear dynamical system based on raised-cosine radial basis function neural networks. Neural Process. Lett. 2021, 53, 355–374. [Google Scholar] [CrossRef]
- Perelson, A.S.; Ke, R. Mechanistic modeling of SARS-CoV-2 and other infectious diseases and the effects of therapeutics. Clin. Pharmacol. Ther. 2021, 109, 829–840. [Google Scholar] [CrossRef]
- Woelfel, R.; Corman, V.M.; Guggemos, W.; Seilmaier, M.; Zange, S.; Mueller, M.A.; Niemeyer, D.; Vollmar, P.; Rothe, C.; Hoelscher, M.; et al. Clinical presentation and virological assessment of hospitalized cases of coronavirus disease 2019 in a travel-associated transmission cluster. medRxiv 2020. [Google Scholar] [CrossRef]
- Collier, D.A.; Ferreira, I.A.; Kotagiri, P.; Datir, R.P.; Lim, E.Y.; Touizer, E.; Meng, B.; Abdullahi, A.; Elmer, A.; Kingston, N.; et al. Age-related immune response heterogeneity to SARS-CoV-2 vaccine BNT162b2. Nature 2021, 596, 417–422. [Google Scholar] [CrossRef] [PubMed]
- Woo, H.J.; Reifman, J. Quantitative modeling of virus evolutionary dynamics and adaptation in serial passages using empirically inferred fitness landscapes. J. Virol. 2014, 88, 1039–1050. [Google Scholar] [CrossRef] [PubMed]
- Koelle, K.; Cobey, S.; Grenfell, B.; Pascual, M. Epochal evolution shapes the phylodynamics of interpandemic influenza A (H3N2) in humans. Science 2006, 314, 1898–1903. [Google Scholar] [CrossRef] [PubMed]
- Leon, C.; Tokarev, A.; Bouchnita, A.; Volpert, V. Modelling of the innate and adaptive immune response to SARS viral infection, cytokine storm and vaccination. Vaccines 2023, 11, 127. [Google Scholar] [CrossRef]
- Amicone, M.; Borges, V.; Alves, M.J.; Isidro, J.; Zé-Zé, L.; Duarte, S.; Vieira, L.; Guiomar, R.; Gomes, J.P.; Gordo, I. Mutation rate of SARS-CoV-2 and emergence of mutators during experimental evolution. Evol. Med. Public Health 2022, 10, 142–155. [Google Scholar] [CrossRef] [PubMed]
- Smith, D.M.; Li, J.Z.; Moser, C.; Yeh, E.; Currier, J.S.; Chew, K.W.; Hughes, M.D.; Daar, E.; Wohl, D.; Eron, J.; et al. Recurrence of Symptoms Following a 2-Day Symptom Free Period in Patients With COVID-19. JAMA Netw. Open 2022, 5, e2238867. [Google Scholar] [CrossRef]
- Bouchnita, A.; Jebrane, A. A hybrid multi-scale model of COVID-19 transmission dynamics to assess the potential of non-pharmaceutical interventions. Chaos Solitons Fractals 2020, 138, 109941. [Google Scholar] [CrossRef] [PubMed]
Disclaimer/Publisher’s Note: The statements, opinions and data contained in all publications are solely those of the individual author(s) and contributor(s) and not of MDPI and/or the editor(s). MDPI and/or the editor(s) disclaim responsibility for any injury to people or property resulting from any ideas, methods, instructions or products referred to in the content. |
© 2025 by the author. Licensee MDPI, Basel, Switzerland. This article is an open access article distributed under the terms and conditions of the Creative Commons Attribution (CC BY) license (https://creativecommons.org/licenses/by/4.0/).



