Next Article in Journal
Discrete-Time Retrial Queuing Systems with Last-Come-First-Served (LCFS) and First-Come-First-Served (FCFS) Disciplines: Negative Customer Impact and Stochastic Analysis
Previous Article in Journal
Multi-Label Classification Algorithm for Adaptive Heterogeneous Classifier Group
 
 
Font Type:
Arial Georgia Verdana
Font Size:
Aa Aa Aa
Line Spacing:
Column Width:
Background:
Article

Discrete Derivative Nonlinear Schrödinger Equations

by
Dirk Hennig
1 and
Jesús Cuevas-Maraver
2,3,*
1
Department of Mathematics, University of Thessaly, 35100 Lamia, Greece
2
Grupo de Física No Lineal, Departamento de Física Aplicada I, Universidad de Sevilla, Escuela Politécnica Superior, C/Virgen de África, 7, 41011 Sevilla, Spain
3
Instituto de Matemáticas de la Universidad de Sevilla (IMUS), Edificio Celestino Mutis. Avda. Reina Mercedes s/n, 41012 Sevilla, Spain
*
Author to whom correspondence should be addressed.
Mathematics 2025, 13(1), 105; https://doi.org/10.3390/math13010105
Submission received: 21 October 2024 / Revised: 27 November 2024 / Accepted: 25 December 2024 / Published: 30 December 2024
(This article belongs to the Section E4: Mathematical Physics)

Abstract

We consider novel discrete derivative nonlinear Schrödinger equations (ddNLSs). Taking the continuum derivative nonlinear Schrödinger equation (dNLS), we use for the discretisation of the derivative the forward, backward, and central difference schemes, respectively, and term the corresponding equations forward, backward, and central ddNLSs. We show that in contrast to the dNLS, which is completely integrable and supports soliton solutions, the forward and backward ddNLSs can be either dissipative or expansive. As a consequence, solutions of the forward and backward ddNLSs behave drastically differently compared to those of the (integrable) dNLS. For the dissipative forward ddNLS, all solutions decay asymptotically to zero, whereas for the expansive forward ddNLS all solutions grow exponentially in time, features that are not present in the dynamics of the (integrable) dNLS. In comparison, the central ddNLS is characterized by conservative dynamics. Remarkably, for the central ddNLS the total momentum is conserved, allowing the existence of solitary travelling wave (TW) solutions. In fact, we prove the existence of solitary TWs, facilitating Schauder’s fixed-point theorem. For the damped forward expansive ddNLS we demonstrate that there exists such a balance of dissipation so that solitary stationary modes exist.

1. Introduction

The derivative nonlinear Schrödinger equation (dNLS)
i v t + v x x = i μ | v | 2 v x , μ = ± 1 ,
is one of the fundamental nonlinear partial differential equations that is known to be completely integrable. It was originally used in plasma physics as a model for Alven wave propagation (see, e.g., [1,2]), and for examining the one-dimensional compressible magneto-hydrodynamic system taking into account the Hall effect [3], and since then has attracted significant attention from a number of mathematical viewpoints including local and global well-posedness, soliton solutions, the stability of standing waves, and the decay of small data solutions (see [4,5,6,7,8,9,10,11,12,13,14,15,16,17,18,19,20,21,22], and references therein). As noted in [8], the dNLS does not possess a Hamiltonian structure.
The dNLS is exactly solvable by the inverse scattering transform method and possesses an infinite family of conservation laws (first integrals) including mass, momentum, and energy. The dNLS admits soliton solutions. In [5,6,7], the unique global existence of solutions to the Cauchy problem under explicit smallness conditions of the data was proved. A series of papers focused on the global well-posedness of the dNLS by means of the inverse scattering transformation [13,14,15,16,17,18]. Local well-posedness in H s ( R ) Sobolev spaces for s 1 / 2 was proved by Takaoka [9]. Regarding global well-posedness, Hayashi and Ozawa proved global existence in H 1 for initial data satisfying | | u 0 | | L 2 ( R ) 2 π , a result that was subsequently extended to H s 1 / 2 data in [11]. The bound 2 π was increased to 4 π by Wu [22] and Guo-Wu [14]. Orbital stability of solitary wave solutions for the dNLS was established in [20]. Furthermore, the dNLS exhibits dispersive solution behaviour that is different from that of the free (linear) equation. Therefore, common scattering theory is not applicable in this case. Noteworthy is that the dNLS shares all these above-mentioned properties with the cubic nonlinear Schrödinger equation:
i v t + v x x = μ | v | 2 v .
Two important discretised versions of (2) are the discrete nonlinear Schrödinger equation (DNLS) [23,24,25,26],
i v ˙ n + v n + h + v n h 2 v n h 2 + μ | v n | 2 v n = 0 , n h Z ,
and the Ablowitz–Ladik equation (AL) [27,28,29],
i v ˙ n + v n + h + v n h h 2 + μ 2 | v n | 2 ( v n + h + v n h ) = 0 ,
where h is the distance between the units on the underlying lattice of points h Z . Without loss of generality we set h = 1 and consider the integer lattice Z . Whereas the DNLS (3) is a nonintegrable discretisation of the integrable partial differential Equation (2), the AL equation is completely integrable by means of the discrete version of the inverse scattering transform [27], and hence possesses an infinite number of conserved quantities. Furthermore, the AL equation supports soliton solutions [30,31]. In this context, an interesting link between discrete nonlinear Schrödinger equations and the use of cellular automata to construct solutions is considered in [32,33]. The DNLS equation, and the soliton solutions emerging therein, has been throughly studied (see, e.g., [26] for a review). It can describe Bose–Einstein condensates in deep optical lattices [34] or optical waveguide arrays [35,36]. In addition, the DNLS solutions serve as an envelope for oscillator networks describing, e.g., double-strand DNA [37,38].
By a gauge transformation,
u ( x , t ) = v ( x , t ) exp i μ 2 x | v ( y , t ) | 2 d y ,
Equation (1) goes over into
i u t + u x x = i μ | u | 2 u x .
Here, we study its discrete counterparts on the lattice Z , where the discrete dNLS (ddNLS) is for the forward, backward, and central differences (discrete derivative) given by
i u ˙ n + Δ u n = i μ | u n | 2 ( u n + 1 u n ) , n Z ,
i u ˙ n + Δ u n = i μ | u n | 2 ( u n u n 1 ) , n Z ,
and
i u ˙ n + Δ u n = i μ 2 | u n | 2 ( u n + 1 u n 1 ) , n Z ,
respectively, and Δ denotes the discrete Laplacian operator
( Δ u ) n = u n + 1 2 u n + u n 1 .
In the following, we refer to Equations (7)–(9) as fddNLS, bddNLS, and cddNLS, respectively.
Remark 1. 
The ddNLSs (7)–(9) have U ( 1 ) symmetry (invariance with respect to multiplication by a phase factor) and space translational invariance. However, (7) and (9) do not possess time reversibility symmetry. Moreover, the time shift symmetry is broken, and thus there is, unlike in the dNLS (1), no conservation of energy.
The gauge invariance u exp ( i θ ) u is related to the conservation of the following mass-like quantity:
P ( t ) = i n 0 t exp μ 0 τ f n u τ d τ Δ u ¯ ( τ ) n u n ( τ ) + c . c . d τ + n exp μ 0 t f n u τ d τ u n ( t ) 2 ,
where
f n ( u ) = 2 u n 2 u n + 1 u ¯ n + c . c . forward ddNLS f n ( u ) = 2 u n 2 u n 1 u ¯ n + c . c . backward ddNLS f n ( u ) = u n 2 1 2 u n + 1 u ¯ n + c . c . u n 1 u ¯ n + c . c . central ddNLS ,
and c.c. stands for complex conjugate.
Remark 2. 
Equation (1) is invariant under the scaling
u ( t , x ) λ u ( λ 2 t , λ x ) , λ > 0 .
In contrast, the underlying lattice structure prevents the existence of such scaling symmetry for the discrete versions (7)–(9).

2. Main Results

Here, we summarise our main results.
For the fddNLS with μ = 1 the dynamics is dissipative.
Proposition 1. 
For any u 0 l 2 the system (7) with μ = 1 possesses a unique global solution u belonging to C ( [ 0 , ) ; l 2 ) . All solutions are uniformly bounded, satisfying
| | u ( t ) | | l 2 | | u 0 | | l 2 , t 0 .
Furthermore, the origin in phase space acts as a point attractor.
Theorem 1. 
Let u ( 0 ) 0 . Then,
d d t | | u ( t ) | | l 2 < 0 .
for 0 < t < . Zero in phase space constitutes a point attractor.
In contrast, the fddNLS with μ = 1 exhibits expansive dynamics. In fact, as the counterpart to Theorem 1 we have the following theorem:
Theorem 2. 
Let u ( 0 ) 0 . Then,
d d t | | u ( t ) | | l 2 > 0 .
for 0 < t < . That is, all solutions emanating from u ( 0 ) 0 grow in time.
However, there is no blowup in finite time.
Proposition 2. 
Let μ = 1 . Consider the Cauchy problem (7) with initial data u 0 l 2 . The kinetic energy n | u n + 1 u n | 2 : = | | u | | l 2 2 satisfies
u ( t ) l 2 u 0 l 2 2 exp 4 u 0 l 2 2 t , t 0 .
Remark 3. 
We stress that the solely expansive (respectively, dissipative) dynamics in the fddNLS (7) with μ = 1 (respectively, μ = 1 ), where all solutions grow (respectively, decay) exponentially, differs drastically from the dynamics exhibited by the continuum dNLS (1). In particular, the latter supports even soliton solutions, which are not possible in its discrete counterpart (7).
For the damped fddNLS,
i u ˙ n + Δ u n = i | u n | 2 ( u n + 1 u n ) i γ u n , n Z , γ > 0 ,
if
| | u 0 | | l 2 2 γ 2 ,
then the solutions exist globally in time, satisfying
| | u ( t ) | | l 2 2 | | u 0 | | l 2 2 , t > 0 .
Nontrivial stationary solutions u n ( t ) = ϕ n exp ( i ω t ) can only exist when
| | ϕ | | l 2 2 > π 2 9 γ 2 1 / 4 .
Counteracting dissipative and expansive dynamics mutually rescind, so that solitary stationary modes, u n ( t ) = ϕ n exp ( i ω t ) for frequencies ω σ ( Δ ) = [ 4 , 0 ] , are supported.
Theorem 3. 
(Solitary stationary wave solutions) If ω > 0 , assume
ω > 2 γ ,
and if ω < 4 , assume
ω 4 > 2 γ .
Then, Equation (38) possesses, for ω > 0 , a nontrivial non-staggering solution, and for ω < 4 a staggering solution, in l w 2 with
ϕ l 2 ω 2 γ 1 / 2 ,
and
ϕ l 2 ω 4 2 γ 1 / 2 ,
respectively.
Concerning the asymptotic behaviour of the globally existing solutions, first we establish that these solutions scatter to a solution of the linear problem in l 2 . That is, the solutions of the nonlinear problem exhibit asymptotically free behaviour. We say that a solution scatters in the positive time direction if there exists v + l 2 such that
u ( t ) exp ( i Δ t ) v + l 2 0 as t .
Theorem 4. 
(Scattering) Let u C ( [ 0 , ) , l 2 ) be a solution to (35) for initial data u 0 l 2 satisfying | | u 0 | | l 2 2 γ / 2 . There exists v + l 2 such that
exp ( i Δ t ) u ( t ) v + l 2 2 γ u ( 0 ) l 2 3 exp ( γ t ) , t > 0 .
The wave operator related to the reciprocal scattering problem of finding a solution to a prescribed scattering state is constructed.
Theorem 5. 
(Wave operator) Let u C ( [ 0 , ) ; l 2 ) be the unique solution to (35). There exists a w l 2 such that
exp ( i t Δ ) u ( t ) w l 2 0 as t .
For the cddNLS the dynamics is conservative. Regarding global existence, we have the following.
Proposition 3. 
For all u 0 l 2 the solutions to the cddNLS (9) exist globally in time, i.e., T m a x = and satisfy the bounds
u 0 l 2 2 exp 8 t u ( t ) l 2 2 u 0 l 2 2 exp 8 t .
Notably, for the cddNLS (9), total momentum and total current are conserved quantities. In particular, the conservation of momentum assists solitary travelling waves (TWs) in coherent motion along the lattice. We prove the existence of solitary TWs, facilitating Schauder’s fixed-point theorem.
Theorem 6. 
(Solitary TWs) The cddNLS (9) possesses a nontrivial solitary TW U H 2 ( R ) H w 1 ( R ) H 1 ( R ) of the form u n ( t ) = U ( n c t ) = U ( z ) , satisfying
U H 1 ( R ) μ 2 C 1 / 3 .
where C > 0 is determined by the constant in (52).
The closeness between the solutions of the AL, Equation (4), and those of the cddNLS (9) is studied. To be precise, the problem is: Do the solutions of the two systems stay close to each other for sufficiently long times when their initial data are sufficiently close in a suitable metric? (See also [39].) Notice that both the AL equation and the ddNLS (7)–(9) involve cubic nonlocal nonlinear terms.
We obtain the following closeness result.
Theorem 7. 
(Closeness) Let 2 p 4 . Consider the cddNLS (9) and the AL Equation (4) with initial data u 0 , v 0 l p . For given 0 < ε < 1 , let the initial data satisfy
| | u 0 | | l p < C 0 ε , | | v 0 | | l p < c 0 ε ,
| | u 0 v 0 | | l p < C d ε 3 ,
for some constant C d > 0 .
Then, for arbitrary 0 < T < , there exists a C ˜ = C ˜ ( C , p , γ , μ , C d , C 0 , c 0 , T ) such that the solutions u ( t ) and v ( t ) satisfy
| | u ( t ) v ( t ) | | l p C ˜ ε 3 .
Remark 4. 
The merit of this theorem is that it rigorously justifies the persistence of (at least) small-amplitude structures, such as soliton solutions, of the AL equation in the dynamics of the cddNLS. That is, the cddNLS possesses small-amplitude solutions of the order O ( ϵ ) , staying O ( ϵ 3 ) -close to the solutions of the AL equation for any time 0 < T < .
The paper is organised as follows: In Section 3, we treat the fddNLS, where we first establish the local existence of solutions. Afterwards, we discuss the dissipative dynamics arising for μ = 1 in (7). In particular, we prove that the origin of phase space constitutes an attractor. Explicit expressions for the lower and upper rates of decay, respectively, are given. For μ = 1 in (7), we establish blowup of all solutions in infinite time in Section 3.2. Lower and upper estimates on the exponential growth rates of the solutions are provided. In Section 3.3, we discuss the features of the expansive fddNLS augmented by a linear friction term. The latter renders small solutions to be bounded, whereas for large solutions blowup in finite time may occur. The existence of stationary solutions is considered too. In Section 5, the ddNLS with central difference scheme is treated. Conservation of the total current and momentum is established. Special attention is paid to the existence of solitary TWs. Section 6 deals with the closeness between the solutions of the AL equation and the central ddNLS. We present some numerical results illustrating the analytical findings reported in the sections.

3. Forward-Difference ddNLS

We start our investigations with the fddNLS (7).
Writing (7) in abstract form,
i u ˙ = F ( u ) , u = ( u n ) n Z ,
and setting u n = x n + i y n , we calculate for the divergence of the flow F
div F = n x ˙ n x n + y ˙ n y n = 4 μ n 2 ( x n + 1 x n + y n + 1 y n ) 3 ( x n 2 + y n 2 ) .
By the Cauchy–Schwarz inequality, we obtain
div F 4 | | u | | l 2 2 < 0 , for μ = 1 and u 0 ,
respectively,
div F 4 | | u | | l 2 2 > 0 , for μ = 1 and u 0 .
Remark 5. 
In contrast to the dNLS (1), which is a conservative system, and thus divergence free, the divergence of the vector field associated with the ddNLS (7) is not zero. That is, for μ = 1 , a dissipative system results and for μ = 1 the system is expansive.
The following lemma is needed for our forthcoming investigations.
Lemma 1. 
Let u = ( u n ) n Z l 2 . The operator N : l 2 l 2 , defined by
N ( u ) n = i μ | u n | 2 ( u n + 1 u n )
is Lipschitz continuous on bounded sets of l 2 .
Proof. 
Let u B R = { u l 2 : | | u | | l 2 R } . For the nonlinear operator N : l 2 l 2 , ( N ( u ) ) n = i μ | u n | 2 ( u n + 1 u n ) , we obtain
N ( u ) l 2 2 = n i μ | u n | 2 ( u n + 1 u n ) 2 4 sup n | u n | 4 n | u n | 2 + | u n + 1 | | u n | 8 | | u | | l 4 | | u | | l 2 2 8 μ 2 | | u | | l 2 6 ,
where we used the continuous embeddings
l r l s , ϕ l s ϕ l r , 1 r s .
Hence, N : l 2 l 2 is bounded on bounded sets of l 2 .
Using
a 2 b c 2 d = 1 2 a 2 + c 2 ( b d ) + 1 2 a 2 c 2 ( b + d ) = 1 2 a 2 + c 2 ( b d ) + 1 2 a c a + c ( b + d ) 1 2 a 2 + c 2 | b d | + 1 2 | a | + | c | ( | b | + | d | ) | a c | ,
we have for u , v l 2 :
| | N ( u ) N ( v ) | | l 2 2 = n i μ | u n | 2 ( u n + 1 u n ) i μ | v n | 2 ( v n + 1 v n ) 2 = n | u n | 2 ( u n + 1 u n ) | v n | 2 ( v n + 1 v n ) 2 2 5 ( | | u | | l 2 + | | v | | l 2 ) 4 | | u v | | l 2 2 ,
establishing that the map N : l 2 l 2 is Lipschitz continuous on bounded sets of l 2 with Lipschitz constant L ( R ) = 2 9 μ 2 R 4 . □
Concerning the existence of local solutions, we state the following.
Theorem 8. 
There exists a positive time T such that the Cauchy problem for (7) with initial data u ( 0 ) = u 0 in l 2 is well-posed in the space C ( [ 0 , T ] ; l 2 ) .
Proof. 
Using the Fourier transformation determined by
u n = F ( u ˜ k ) = 1 2 π 0 2 π exp ( i k n ) u ˜ k d k , u ˜ k = F 1 ( u n ) = n exp ( i k n ) u n , k [ 0 , 2 π ) ,
an explicit solution to the Cauchy problem is presented as
u ˜ k ( t ) = exp 4 i sin 2 k 2 t u ˜ k ( 0 ) + i 0 t exp 4 i sin 2 k 2 ( t τ ) N ˜ k ( u ( τ ) ) d τ ,
We use the notation N ˜ k = F ( N ( u ) ) n and ( N ( u ) ) n = i μ 2 | u n | 2 ( u n + 1 u n ) + u n 2 ( u ¯ n + 1 u ¯ n ) .
Applying the inverse Fourier transform, we obtain
u n ( t ) = 1 2 π exp ( i k n ) exp 4 i sin 2 k 2 t u ˜ k ( 0 ) + i 0 t exp 4 i sin 2 k 2 ( t τ ) N ˜ k ( u ( τ ) ) d τ d k .
The right-hand side of (30) defines a map Λ : l 2 l 2 with
Λ [ u ] = 1 2 π exp ( i k n ) exp 4 i sin 2 k 2 t u ˜ k ( 0 ) + i 0 t exp 4 i sin 2 k 2 ( t τ ) N ˜ k ( τ ) d τ d k .
To establish the existence and uniqueness of a local solution in C ( [ 0 , T ] ; l 2 ) , let r = | | u | | l 2 and consider the ball B 2 r l 2 . We determine a time span 0 t T such that Λ is a contraction on B 2 r .
We estimate, with the help of Minkowski’s integral inequality and the relation ( a 2 + b 2 ) 1 / 2 a + b , a , b 0 ,
| | Λ [ u ] ( t ) | | l 2 = n 1 2 π 0 2 π exp ( i k n ) exp 4 i sin 2 k 2 t u ˜ k ( 0 ) + i 0 t exp 4 i sin 2 k 2 ( t τ ) N ˜ k ( u ( τ ) ) d τ d k 2 1 / 2 | | u ( 0 ) | | l 2 + 0 t N ( u ( τ ) ) l 2 d τ = | | u ( 0 ) | | l 2 + 0 t n | u n ( τ ) | 2 ( u n + 1 ( τ ) u n ( τ ) ) 2 1 / 2 d τ | | u ( 0 ) | | l 2 + 3 0 t | | u ( τ ) | | l 2 3 d τ | | u ( 0 ) | | l 2 + 3 max 0 t T | | u ( t ) | | l 2 3 · T r 1 + 3 r 2 T .
Thus, Λ [ B 2 r ] B 2 r if
T 1 3 r 2 .
Regarding the contraction condition, we have
| | Λ [ u ] Λ [ v ] | | l 2 = 1 2 π 0 2 π exp ( i k n ) exp 4 i sin 2 k 2 t u ˜ k ( 0 ) u ˜ k ( 0 ) + i 0 t exp 4 i sin 2 k 2 ( t τ ) N ˜ k ( u ( τ ) ) N ˜ k ( v ( τ ) ) d τ d k l 2 1 / 2 u ( 0 ) v ( 0 ) l 2 + 0 t N ( u ( τ ) ) N ( v ( τ ) ) l 2 d τ u ( 0 ) v ( 0 ) l 2 + sup 0 t T u ( t ) l 2 + v ( t ) l 2 4 u ( t ) v ( t ) l 2 · T r + 2 9 μ 2 r 4 u ( t ) v ( t ) l 2 · T .
Hence, provided
T < 1 2 9 μ 2 r 4 ,
Λ is a contraction.
Λ being a contraction implies that Λ possesses a unique fixed point u in B 2 r and the function u solves the Cauchy problem. By standard arguments, the continuous dependence on initial data in C ( [ 0 , T ] ; l 2 ) can be verified. □
We conclude that for a given u 0 l 2 there is a maximal time T m a x = T m a x ( u 0 ) ( 0 , ] and a unique solution u C ( [ 0 , T m a x ) ; l 2 ) of (29). If T m a x < , then the solution blows up at T m a x , that is, | | u ( t ) | | l 2 as t T m a x .

3.1. Dissipative Dynamics

In this section, we study the case μ = 1 , rendering the dynamics of system (7) dissipative.
Proof of Proposition 1. 
Taking the scalar product in l 2 of (7) with i u ¯ n , we obtain
d d t | | u | | l 2 2 = n | u n | 2 u n + 1 u n u ¯ n + c . c . .
Using Hölder’s inequality, we derive
d d t | | u | | l 2 2 = n | u n | 2 u n + 1 u ¯ n + c . c . 2 | u n | 4 . n | u n | 4 + n | u n + 1 | 2 | u n | 2 2 | | u | | l 4 4 | | u | | l 4 4 | | u | | l 4 4 = 0 .
That is, we obtain the differential inequality
d d t | | u | | l 2 2 0 ,
from which upon integration we finally obtain
| | u ( t ) | | l 2 | | u 0 | | l 2 , t 0 ,
and the proof is complete. □
We conclude that for any u 0 l 2 , the corresponding solution u ( t ) of (7) with μ = 1 is bounded for all t [ 0 , ) . The solution operator determined by
S 1 ( t ) : u 0 l 2 u ( t ) = S 1 ( t ) u 0 l 2 , t 0 ,
generates a continuous semigroup S 1 ( t ) t 0 . Moreover, we prove that all solutions decay asymptotically to zero.
Proof of Theorem 1. 
We already know that
d d t | | u ( t ) | | l 2 2 0 t > 0 .
We aim to show that the inequality (31) is strict. To this end, let us suppose, for a contradiction, that for some open interval the equality d | | u | | l 2 2 / d t = 0 holds, which is equivalent to
n | u n | 2 Re u n + 1 u ¯ n | u n | 2 = 0 .
Then, using Young’s inequality, relation (32) implies
n | u n | 4 = n | u n | 2 Re u n + 1 u ¯ n 1 2 n | u n | 4 + 1 2 n Re u n + 1 u ¯ n 2 ,
from which follows
n | u n | 4 n Re u n + 1 u ¯ n 2 .
Combining n | u n | 4 = n | u n | 2 Re u n + 1 u ¯ n and (33) yields
n | u n | 4 = n | u n | 2 Re u n + 1 u ¯ n n Re u n + 1 u ¯ n 2 n | u n | 2 | u n + 1 | 2 n | u n | 4 1 / 2 2 = n | u n | 4 .
That is,
n | u n | 4 = n | u n | 2 | u n + 1 | 2 ,
which, however, for u = ( u n ) n Z l 1 p < is only possible if u n = 0 for all n Z . We conclude that the inequality (31) is strict. Consequently, d | | u | | l 2 / d t = 0 only if | | u | | l 2 = 0 , completing the proof.
Since, d | | u ( t ) | | l 2 / d t < 0 as long as | | u ( t ) | | l 2 > 0 , attainment of inf t 0 | | u ( t ) | | l 2 = lim t | | u ( t ) | | l 2 together with lim t d | | u ( t ) | | l 2 / d t = 0 is only possible when inf t 0 | | u ( t ) | | l 2 = lim t | | u ( t ) | | l 2 = 0 . That is, all solutions to the dissipative system (7) with μ = 1 asymptotically decay to zero. Hence, the origin of phase space acts as a point attractor. □
We finish this subsection stating that the decay of the solutions is bounded from below.
Proposition 4. 
Let μ = 1 . Consider the Cauchy problem (7) with initial data u 0 l 2 . The kinetic energy n | u n + 1 u n | 2 : = | | u | | l 2 2 satisfies
u ( t ) l 2 2 1 4 2 u 0 l 2 2 exp 4 u 0 l 2 2 t , t 0 .
Proof. 
Multiplying (7) with μ = 1 by u ¯ ˙ n , adding the conjugate equation, and summing over n gives
d d t u l 2 2 = n | u n | 2 ( u ) n u ¯ ˙ n + c . c . = 2 n | u n | 2 2 | u n | 2 u ¯ n u n 1 + c . c . .
Using Hölder’s inequality we derive the differential inequality
d d t u ( t ) l 2 2 4 u ( t ) l 2 2 u ( t ) l 2 2 4 u ( 0 ) l 2 2 u ( t ) l 2 2 ,
from which, upon integration, we obtain
u ( t ) l 2 2 u 0 l 2 2 exp 4 u 0 l 2 2 t , t 0 .
Hence, due to | | u | | l 2 4 | | u | | l 2 it holds that
1 4 2 u 0 l 2 2 exp 4 u 0 l 2 2 t u ( t ) l 2 2 , t 0 ,
completing the proof. □
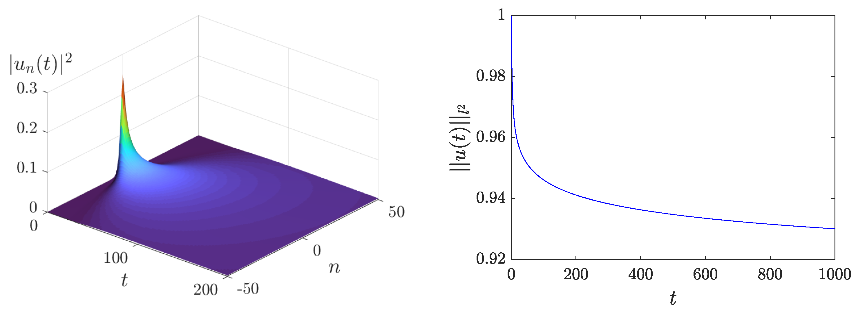
Figure 1 shows the dissipative dynamics of the fddNLS equation for a localised initial condition. As can be seen, the l 2 -norm decays in the course of time reflecting an interplay between a decrease in the solution amplitude and an increase in the width.

3.2. Expansive Dynamics

We investigate the case μ = 1 , for which the dynamics of system (7), according to (25), is expansive. Indeed, as indicated by Theorem 2, all solutions grow. The proof of Theorem 2 is undertaken in the same vein as the proof of Theorem 1.
The proof of Proposition 2 proceeds in the same manner as the proof of Proposition 4.
Corollary 1. 
With the proven relation from Proposition 2,
u ( t ) l 2 u 0 l 2 2 exp 4 u 0 l 2 2 t , t 0 ,
we deduce that there is no blowup in finite time of the solutions for system (7) with μ = 1 and the solutions grow at most exponentially.
Figure 2 shows the expansive dynamics of the fddNLS equation with μ = 1 for the same localised initial condition as in Figure 1. One observes that the l 2 -norm grows in time. Two distinct regimes occur, namely, an initial growth with a negative concavity and a final exponential growth. This corresponds to an initial dispersion of the solution and a final localisation of the solution. Notice also the emergence of a staggered pattern in the solution.

3.3. Damped fddNLS

In this section, we study the expansive ddNLS (7) with μ = 1 augmented by a linear damping term
i u ˙ n + Δ u n = i | u n | 2 ( u n + 1 u n ) i γ u n , n Z ,
and γ > 0 . In particular, we are interested in (i) whether the presence of the damping term has a confining effect on the otherwise expansive dynamics; and (ii) whether dissipative and expansive dynamics conspire, making the existence of solitary stationary modes possible?
The answer to problem (i) is given in the next proposition, providing a sufficient condition for bounded motions.
Proposition 5. 
Consider the damped ddNLS (35) with initial data satisfying
| | u 0 | | l 2 2 γ 2 .
Then,
| | u ( t ) | | l 2 2 | | u 0 | | l 2 2 , t 0 .
Proof. 
We derive the bound
d d t | | u ( t ) | | l 2 2 = n 2 | u n | 4 | u n | 2 ( u n + 1 u ¯ n + c . c . ) 2 γ | u n | 2 4 | | u | | l 4 4 2 γ | | u | | l 2 2 4 | | u | | l 2 4 2 γ | | u | | l 2 2 .
Integrating the differential inequality (37), gives
| | u ( t ) | | l 2 2 | | u 0 | | l 2 2 exp ( 2 γ t ) + 0 t exp ( 2 γ ( t s ) ) | | u ( s ) | | l 2 4 d s .
The condition | | u ( t ) | | l 2 | | u 0 | | l 2 is satisfied if
1 exp ( 2 γ t ) | | u 0 | | l 2 2 | | u 0 | | l 2 4 0 t exp ( 2 γ ( t s ) ) d s ,
yielding
| | u 0 | | l 2 2 γ 2 ,
and the proof is finished. □

3.3.1. Stationary States

We explore the existence of stationary solutions of the form u n ( t ) = ϕ n exp ( i ω t ) , ϕ n C , ω R , giving the system of stationary equations
ω ϕ n + Δ ϕ n = i | ϕ n | 2 ( ϕ n + 1 ϕ n ) i γ ϕ n , n Z .
We demonstrate that for undercritical l 2 -norm the zero solution is the only solution to (38).
Theorem 9. 
Let
| | ϕ | | l 2 2 π 2 9 γ 2 1 / 2 .
Then, the stationary system (38) possesses only the trivial solution.
Proof. 
The proof utilises the contraction mapping principle. Application of the spatial Fourier transformation to (38) gives
ω 4 sin 2 k 2 + i γ ϕ ˜ k = N ˜ k ,
where N ˜ k = F ( N ( ϕ n ) ) . Then,
ϕ ˜ k = 1 ω 4 sin 2 k 2 + i γ N ˜ k .
Hence,
ϕ n = 1 2 π 0 2 π exp ( i k n ) 1 ω 4 sin 2 k 2 + i γ N ˜ k .
We relate this, with the right-hand side of (40), to the mapping Λ : l 2 l 2 .
Our aim is to show that Λ is a contraction on B R for an appropriate choice of R. Two conditions need to be satisfied: (1) Λ : B R B R , and (2) there is α ( 0 , 1 ) such that Λ ( ϕ 1 ) Λ ( ϕ 2 ) l 2 < α ϕ 1 ϕ 2 l 2 .
For the first condition, we obtain
| | Λ ( ϕ ) | | l 2 2 = n 1 2 π 0 2 π exp ( i k n ) 1 ω 4 sin 2 k 2 + i γ N ˜ k d k 2 = 1 2 π 0 2 π 1 ω 4 sin 2 k 2 + i γ N ˜ k 2 d k 1 2 π 1 γ 2 0 2 π N ˜ k 2 d k = 1 2 π 1 γ 2 | | N ( ϕ ) | | l 2 2 1 2 π 1 γ 2 8 | | ϕ | | l 2 6 4 π 1 γ 2 R 6 .
Thus, Λ ( B R ) B R if
R π 4 γ 2 1 / 4 .
Similarly, for the contraction condition we derive
| | Λ ( ϕ 1 ) Λ ( ϕ 2 ) | | l 2 2 1 2 π 1 γ 2 2 5 ( 2 R ) 4 | | ϕ 1 ϕ 2 | | l 2 2 .
We infer that if
R π 2 9 γ 2 1 / 4 < π 4 γ 2 1 / 4 ,
then Λ is a contraction on B R . Since Λ ( 0 ) = 0 , by the contraction mapping principle the unique fixed point of Λ is zero, finishing the proof. □
Corollary 2. 
Nontrivial stationary solutions can only exist when
| | ϕ | | l 2 2 > π 2 9 γ 2 1 / 4 .

3.3.2. Proof of Existence of Solitary Stationary Wave Solutions

Here, we prove the existence of solitary travelling wave (TW) solutions for (35) as the solutions of (38). Strikingly, the expansive and shrinking impact of the nonlinear and damping terms, respectively, being of opposite effect, may balance each other, making the existence of solitary structures possible.
In particular, we are interested in solutions that are (spatially) exponentially localised. To this end, we define the exponentially weighted sequence space
l w 2 = { ϕ l 2 : | | ϕ | | l w 2 2 = n Z exp ( γ | n | ) | ϕ n | 2 } , γ > 0 .
We make use of the following (Proposition 2.1 in [40]):
Lemma 2. 
l w 2 is compactly embedded in l 2 .
Proof of Theorem 3. 
We relate the left-hand side of (38) to the linear operator
L : l w 2 l 2 l w 2 l 2 , ( L ϕ ) n = ω ϕ n + Δ ϕ n .
proceeds in an analogous manner. L is a bounded operator and viewed as L : l 2 l 2 its spectrum is absolutely continuous, determined by σ ( L ) = [ 4 + ω , ω ] . By assumption (15), ω > 0 . Hence, the operator L 1 is, according to
L 1 l 2 , l 2 1 ω <
We treat the case ω > 0 and remark that the proof for the case ω < 0 bounded, so that the inverse L 1 : l 2 l 2 exists. Furthermore, using that for all ϕ l w 2 , it holds that Δ ϕ l w 2 and | | Δ ϕ | | l w 2 4 , one has
L 1 l w 2 , l w 2 1 ω < ,
so that the inverse L 1 : l w 2 l w 2 exists too.
With the invertibility of L, we obtain from (38)
ϕ = L 1 ( N ( ϕ ) ) ,
where ( N ( ϕ ) ) n = i μ / 2 | ϕ n | 2 ( ϕ n + 1 ϕ n ) i γ ϕ n .
We assign the right-hand side of (42) to the mapping S : l 2 l 2 . That is, solutions of (42) are determined by the fixed point(s) of S. We establish the existence of solutions to the fixed-point equation ϕ = S ( ϕ ) by means of Schauder’s fixed-point theorem. Clearly, S is continuous on l 2 . We consider the bounded closed convex set B R l 2 determined by
B R : = ϕ l w 2 l 2 : ϕ l 2 R ,
First, we verify that S ( B R ) B R . We estimate
S ( ϕ ) l 2 = n ( S ( ϕ ) ) n 2 1 / 2 = n ( L 1 N ( ϕ ) ) n 2 1 / 2 L 1 l 2 , l 2 n ( N ( ϕ ) ) n 2 1 / 2 1 ω n i 1 2 ϕ n 2 ϕ n + 1 ϕ n i γ ϕ n 2 1 / 2 2 ω ϕ l 4 2 2 ω ϕ l 2 2 + γ ϕ l 2 .
That is, provided
R ω 2 γ 1 / 2 ,
then | | S ( ϕ ) | | l 2 , l 2 R for all ϕ B R . As B R l w 2 , one has L 1 : l w 2 l w 2 . Therefore, S ( B R ) B R , and as l w 2 is compactly embedded in the Banach space l 2 , the map S is compact. Then, by Schauder’s fixed-point theorem S possesses at least one fixed point in B R . Moreover, since S ( 0 ) = 0 and S maps a bounded closed convex subset, B R , of the Banach space l 2 into itself, the map S satisfies the assumptions of Proposition 2.2 in [40]. Hence, there exists a nonzero fixed point in B R . □

3.3.3. Asymptotic Behaviour

Here, we present the proofs of the theorems in relation to the asymptotic features of globally existing solutions emerging from the data | | u 0 | | l 2 2 γ / 2 .
Proof of Theorem 4. 
For the Cauchy problem with initial datum u 0 l 2 satisfying | | u 0 | | l 2 γ / 2 , we consider the global solution u ( t ) and introduce the asymptotic state v + :
v + = u 0 + 0 exp ( s ( i Δ + γ ) ) | u ( s ) | 2 u ( s ) d s .
Application of the operator exp ( i t Δ ) on either side of (43) yields
exp ( i t Δ ) v + = exp ( i t Δ ) u 0 + 0 exp ( i ( t s ) Δ ) exp ( γ s ) | u ( s ) | 2 u ( s ) d s = u ( t ) + t exp ( i ( t s ) Δ ) exp ( γ s ) | u ( s ) | 2 u ( s ) d s .
We derive the estimate
exp ( i t Δ ) v + u ( t ) l 2 = t exp ( i ( t s ) Δ ) exp ( γ s ) | u ( s ) | 2 u ( s ) d s l 2 t exp ( i ( t s ) Δ ) exp ( γ s ) | u ( s ) | 2 u ( s ) l 2 d s t exp ( γ s ) | u ( s ) | 2 | u ( s ) | l 2 d s 2 t exp ( γ s ) u ( s ) l 2 3 d s 2 u ( 0 ) l 2 3 t exp ( γ s ) d s . 2 γ u ( 0 ) l 2 3 exp ( γ t ) ,
so that we deduce v + l 2 .
Furthermore, applying the operator exp ( i t Δ ) on both sides of the integral equation
u ( t ) = exp ( i t Δ ) u 0 0 t exp ( i ( t s ) Δ ) exp ( γ s ) | u ( s ) | 2 u ( s ) d s ,
we obtain
exp ( i t Δ ) u ( t ) = u 0 0 t exp ( i s Δ ) ) exp ( γ s ) | u ( s ) | 2 u ( s ) d s = v + + t exp ( i s Δ ) exp ( γ s ) | u ( s ) | 2 u ( s ) d s .
Thus,
exp ( i Δ t ) u ( t ) v + = t exp ( i s Δ ) exp ( γ s ) | u ( s ) | 2 u ( s ) d s ,
and we obtain
exp ( i t Δ ) u ( t ) v + l 2 = t exp ( i s Δ ) exp ( γ s ) | u ( s ) | 2 u ( s ) d s l 2 t exp ( i s Δ ) exp ( γ s ) | u ( s ) | 2 u ( s ) l 2 d s t u ( s ) l 2 3 exp ( γ s ) d s u ( 0 ) l 2 3 t exp ( γ s ) d s = 2 γ u ( 0 ) l 2 3 exp ( γ t )
for all t > 0 . This is the claimed relation (17) and the proof is complete. □
Proof of Theorem 5. 
For a given w l 2 , we introduce the integral operator
Γ [ u ] ( t ) = exp ( i t Δ ) w + t exp ( i ( t s ) Δ ) exp ( γ s ) | u ( s ) | 2 u ( s ) d s .
We derive the estimate
Γ [ u ] ( t ) l 2 exp ( i t Δ ) w l p + 2 u ( 0 ) l 2 3 t exp ( γ s ) d s = exp ( i t Δ ) w l p + 2 u ( 0 ) l 2 3 exp ( γ t ) .
Further, we obtain
Γ [ u 1 ] ( t ) Γ [ u 2 ] ( t ) l p t exp ( γ s ) | u 1 ( s ) | 2 u 1 ( s ) | u 2 ( s ) | 2 u 2 ( s ) l 2 d s sup t s < u 1 ( s ) l 2 + u 2 ( s ) l 2 4 u 1 ( s ) u 2 ( s ) l 2 exp ( γ t ) .
We conclude that Γ is a contraction map in B R l 2 provided R is small enough. Therefore, there exists a unique u B R C ( [ 0 , ) ; l 2 ) satisfying
u ( t ) = exp ( i t Δ ) w + t exp ( i ( t s ) Δ ) exp ( γ s ) | u ( s ) | 2 u ( s ) d s .
With the application of the operator exp ( i t Δ ) to either side of (44), one obtains
exp ( i t Δ ) u w = t exp ( i ( t s ) Δ ) exp ( γ s ) | u ( s ) | 2 u ( s ) d s ,
from which we derive
exp ( i t Δ ) u ( t ) w l 2 2 γ u ( 0 ) l 2 3 exp ( γ t ) ,
which finishes the proof. □
To illustrate the asymptotic behaviour of the solutions, we consider the dynamics of an initial condition given by u n ( 0 ) = A sech ( a n ) , with a = 0.5 , whose squared l 2 -norm is 4 A 2 . In Figure 3, we show the evolution for such initial condition with γ = 2 and A = 0.25 , where, in accordance with the assertion of Theorem 4, the solution eventually scatters (notice that for γ = 0 there is a qualitatively similar behaviour).

4. Backward-Difference ddNLS

We briefly comment on the solution behaviour of the bddNLS (8). It can be readily established that for μ = 1 ( μ = 1 ) the dynamics is expansive (dissipative), so that the results of Section 3.1 (Section 3.2) hold.

5. Central Difference ddNLS—Conservative Dynamics

In this section, we consider the cddNLS (9).
Remark 6. 
Writing (9) as
i u ˙ n + Δ u n = i μ 2 | u n | 2 u n + 1 u n + u n u n 1 , n Z ,
we notice that the nonlinear term of the cddNLS is the arithmetic mean of the nonlinear terms of the forward-difference and backward-difference ddNLSs. Since for a fixed sign of μ the forward-difference and backward-difference ddNLSs exhibit completely different dynamics (expansive and dissipative, respectively), we expect that the dynamics of the cddNLS is neither exclusively dissipative nor expansive. In fact, concerning the divergence of the flow F we obtain
div F = n x ˙ n x n + y ˙ n y n = 2 μ n x n + 1 x n x n x n 1 + y n + 1 y n y n y n 1 = 0 ,
that is, the dynamics of the cddNLS is conservative. Like for the continuum dNLS (1), there is no Hamiltonian structure though.
The cddNLS (9) possesses the following two conserved quantities, the current
I 1 = n u n + 1 u ¯ n + u ¯ n + 1 u n = 2 u l 2 2 u l 2 2 , u n = u n + 1 u n ,
and the momentum (velocity)
I 2 = i n u n + 1 u ¯ n u ¯ n + 1 u n , .
The momentum conservation is in stark contrast with respect to the standard (cubic) discrete nonlinear Schrödinger equation, i u ˙ n ( Δ u ) n γ | u n | 2 u n = 0 , where the momentum is not conserved.
This non-conservation of the momentum is associated with both breaking of the translational invariance and existence of a Peierls–Nabarro barrier, which prevents the existence of travelling discrete solitons [26]. The conservation of the momentum in the cddNLS equation supports the existence of such travelling localised waves. We remark that the AL system (4) possesses conserved momentum too.
Note that when n n then μ μ , a symmetry that the cddNLS (9) has in common with its continuum counterpart (6) for x x .
In what follows, we set, without loss of generality, μ = 1 .
Regarding the local existence of solutions, similar to the assertions in Theorem 8, for any given initial data u 0 l 2 , there exists a unique solution u ( t ) C 1 ( [ 0 , T 0 ) , l 2 ) for some T 0 > 0 , and l i m t T 0 | | u ( t ) | | l 2 = whenever T 0 < .
Proof of Proposition 3. 
We have
d u ( t ) l 2 2 d t = n u n ( t ) 2 u n + 1 ( t ) u n 1 ( t ) u ¯ n ( t ) + c . c . = n u n ( t ) 2 u n 1 2 u n 2 2 u ( t ) l 2 2 u ( t ) l 2 2 8 u ( t ) l 2 4 .
Integrating the differential inequality
d u ( t ) l 2 2 d t 8 u ( t ) l 2 4 ,
gives
u ( t ) l 2 2 u ( 0 ) l 2 2 exp 8 t .
Similarly, from the lower bound
d u ( t ) l 2 2 d t 8 u ( t ) l 2 4 ,
we obtain
u ( t ) l 2 2 u ( 0 ) l 2 2 exp 8 t .

Existence of Solitary Travelling Wave Solutions

Here, we prove the existence of solitary TWs for (9).
We seek solitary TWs of the form u n ( t ) = U ( n c t ) = U ( z ) with c as the velocity. Upon substituting U ( z ) into (9) we obtain the advance-delay differential equation
i c U ( z ) + U ( z + 1 ) + U ( z 1 ) 2 U ( z ) = i μ 2 | U ( z ) | 2 U ( z + 1 ) U ( z 1 ) , z R .
We introduce the exponentially weighted functional spaces
L w 2 ( R ) = q : R R , q ( z ) = q ( z ) : | | q | | L w 2 ( R ) 2 = R exp γ | z | | q ( z ) | 2 d z < ,
and for m 2 the associated exponentially weighted Sobolev spaces
H w m ( R ) = q : R R , q ( z ) = q ( z ) : | | q | | H w m ( R ) 2 = R exp γ | z | j = 0 m | D j q ( z ) | 2 d z < ,
where γ > 0 . Let H 2 ( R ) denote the standard Sobolev space. We have the following lemma.
Lemma 3. 
The embedding H 2 ( R ) H w 1 ( R ) H 1 ( R ) is compact.
Proof. 
Since exp ( γ | z | ) 1 , the continuity of the embedding is obvious due to the inequality | | q | | L 2 ( R ) | | q | | L w 2 ( R ) for all q L w 2 ( R ) . To show the compactness of the embedding, let q n n N be a bounded sequence in H 2 ( R ) H w 1 ( R ) . Then, there exists a weakly convergent sub-sequence q n j q H 2 ( R ) H w 1 ( R ) as j . By continuity of the embedding, q n j q in H 1 ( R ) too.
In order to verify the strong convergence q n j q in H 1 ( R ) , let Q = ( ϱ , ϱ ) , 0 < ϱ < be an arbitrary open interval. We have
q n j q H 1 ( R ) 2 = l = 0 1 R | D l ( q n j ( z ) q ( z ) ) | 2 d z = l = 0 1 Q | D l ( q n j ( z ) q ( z ) ) | 2 d z + l = 0 1 R Q | D l ( q n j ( z ) q ( z ) ) | 2 d z = l = 0 1 Q | D l ( q n j ( z ) q ( z ) ) | 2 d z + l = 0 1 R Q exp γ | z | exp γ | z | | D l ( q n j ( z ) q ( z ) ) | 2 d z l = 0 1 Q | D l ( q n j ( z ) q ( z ) ) | 2 d z + sup | z | ϱ exp γ | z | l = 0 1 R Q exp γ | z | | D l ( q n j ( z ) q ( z ) ) | 2 d z = l = 0 m Q | D l ( q n j ( z ) q ( z ) ) | 2 d z + exp γ ϱ l = 0 1 R Q exp γ | z | | D l ( q n j ( z ) q ( z ) ) | 2 d z .
As q n q H 2 ( R ) H w 1 ( R ) for all n N , we deduce from inequality (49) that there exists a constant C > 0 such that
q n j q H 1 ( R ) 2 q n j q H 1 ( Q ) 2 + C exp γ ϱ .
For any ϵ > 0 , one can choose ϱ sufficiently large so that
C exp γ ϱ < ϵ 2 .
Further, as the embedding H 2 ( Q ) H 1 ( Q ) is compact, we have that for sufficiently large j,
q n j q H 1 ( Q ) ϵ 2 .
Hence, for the estimate (50), we conclude that for sufficiently large j and ϱ ,
q ( n j ) q H 1 ( R ) ϵ ,
finishing the proof. □
Proof of Theorem 6. 
The left-hand side of (48) is expressed as L U ( z ) with the linear operator L : D ( L ) = H 1 ( R ) L 2 ( R ) , L U ( z ) = i c U ( z ) + ( U ( z + 1 ) + U ( z 1 ) 2 U ( z ) ) . The operator L is self-adjoint on L 2 ( R ) and, provided f L 2 ( R ) , the equation L U = f possesses a unique solution U H 1 ( R ) , satisfying | | U | | H 1 ( R ) C | | f | | L 2 ( R ) .
For the right-hand side of (48), N ( U ) ( z ) = i μ 2 | U ( z ) | 2 ( U ( z + 1 ) U ( z 1 ) ) , we estimate
N ( U ) L 2 ( R ) 2 = R μ 2 | U ( z ) | 2 U ( z + 1 ) U ( z 1 ) 2 d z μ 2 sup z R | U ( z ) | 4 R U ( z ) 2 d z μ 2 U H 1 ( R ) 6 ,
and we use the embeddings H 1 ( R ) L p ( R ) , | | U | | L p ( R ) | | U | | H 1 ( R ) , valid for 2 p . Hence, N ( U ) L 2 ( R ) , so that the equation L U = N ( U ) has a unique solution U H 1 ( R ) .
We introduce the mapping T : H 1 ( R ) H 1 ( R ) via
T ( U ) = U ˜ ,
where L U ˜ = N ( U ) . Let
B R = U H 2 ( R ) H w 1 ( R ) H 1 ( R ) : U H 1 ( R ) R .
We aim to apply Schauder’s FPT to show that T has a fixed point in B R . We have to verify that T ( B R ) B R . To this end, we estimate
U ˜ H 1 ( R ) 2 = T ( U ) H 1 ( R ) 2 C N ( U ) L 2 ( R ) 2 C μ 2 U H 1 ( R ) 6 .
Thus, if
R μ 2 C 1 / 3 ,
then T maps B R into B R . Furthermore, L U H 1 ( R ) L w 2 ( R ) for all U B R H 2 ( R ) H w 1 ( R ) H 1 ( R ) and accordingly, T ( U ) H 2 ( R ) H w 1 ( R ) . By Lemma 3, we have the compact embedding H 2 ( R ) H w 1 ( R ) H 1 ( R ) , Hence, T maps the compact subset B R of the Banach space H 1 ( R ) into the compact subset B R of H 1 ( R ) , so that by Schauder’s FPT T has at least one fixed point in B R .
Furthermore, as T ( 0 ) = 0 and T maps a bounded closed convex subset, B R , of the Banach space H 1 ( R ) into itself, the map T satisfies the assumptions of Proposition 2.2 in [40]. Therefore, there exists a nonzero fixed point in B R and the proof is complete. □

6. Closeness Between the Central ddNLS and the Ablowitz–Ladik Equation

Here, we give the proof of Theorem 7.
We have
d n ( t ) : = u n ( t ) v n ( t )
and d n satisfies the equation
i d ˙ n + ( Δ d ) n = μ F n μ γ F n γ ,
where
F n μ = i μ 2 | u n | 2 u n + 1 u n 1 ,
and
F n γ = γ | v n | 2 v n + 1 + v n 1 .
We will facilitate the decay estimates | | exp ( i t Δ ) u ( 0 ) | | l p C < t > ( p 2 ) / ( 3 p ) | | u ( 0 ) | | l p valid for 2 p [41], where the Japanese bracket is defined by < t > = 1 + | t | . Using DuHamel’s principle, Minkowski’s integral inequality, and the continuous embeddings (26), we obtain
d ( t ) l p = n d n ( 0 ) exp i t Δ + i 0 t exp i ( t s ) Δ μ F n μ ( s ) γ F n γ ( s ) d s p 1 / p 2 ( p 1 ) / p exp i t Δ d 0 l p + n 0 t exp i ( t s ) Δ μ F n μ ( s ) γ F n γ ( s ) d s p 1 / p 2 ( p 1 ) / p exp i t Δ d 0 l p + 0 t n exp i ( t s ) Δ μ F n μ ( s ) γ F n γ ( s ) p 1 / p d s 2 ( p 1 ) / p exp i t Δ d 0 l p + 0 t exp i ( t s ) Δ μ F μ ( s ) l p + exp i ( t s ) Δ γ F γ ( s ) l p d s 2 ( p 1 ) / p C < t > ( p 2 ) / ( 3 p ) d 0 l p + C 0 t 1 < t s > ( p 2 ) / ( 3 p ) μ u ( s ) l 3 p 3 + γ v ( s ) l 3 p 3 d s 2 ( p 1 ) / p C < t > ( p 2 ) / ( 3 p ) d 0 l p + C 0 t 1 < t s > ( p 2 ) / ( 3 p ) μ u ( s ) l p 3 + γ v ( s ) l p 3 d s 2 ( p 1 ) / p C < t > ( p 2 ) / ( 3 p ) d 0 l p + C 4 0 t 1 < t s > ( p 2 ) / ( 3 p ) μ u ( 0 ) l p 3 + γ v ( 0 ) l p 3 < s > ( p 2 ) / p d s ,
and we also use Jensen’s inequality ( a + b ) σ 2 σ 1 ( a σ + b σ ) for convex a , b . An evaluation of the integral yields that its value is dominated by t 2 ( p + 1 ) / ( 3 p ) . Hence,
d ( t ) l p 2 ( p 1 ) / p C < t > ( p 2 ) / ( 3 p ) d 0 l p + C 3 μ u ( 0 ) l p 3 + γ v ( 0 ) l p 3 C 1 < t > 2 ( p + 1 ) / ( 3 p ) .
With assumptions (19), (20) we have
d ( t ) l p 2 ( p 1 ) / p C < t > ( p 2 ) / ( 3 p ) d 0 + C 3 μ C 0 + γ c 0 C 1 < t > 2 ( p + 1 ) / ( 3 p ) ε 3 .
Setting
C ˜ = 2 ( p 1 ) / p C < t > ( p 2 ) / ( 3 p ) d 0 + C 3 μ C 0 + γ c 0 C 1 < t > 2 ( p + 1 ) / ( 3 p ) ,
we arrive at the claim (21) and the proof is complete. □
To illustrate our closeness result, we monitor the evolution of the Ablowitz–Ladik soliton used as the initial condition in the cddNLS Equation (9). The evolution of its density and some norms in (19) is shown in Figure 4. One can see that the soliton propagates with constant velocity and is almost shape-invariant, that is, virtually without any radiation loss. In fact, in agreement with the assertions in Theorem 7, the various norms of the distance between the AL soliton and its launched counterpart on the cddNLS lattice remain bounded over a long time interval. Remarkably, although due to the dependence of the constant C ˜ on time t in relation (21), the distance may even grow according to | | d ( t ) | | l p M t 2 ( p + 1 ) / ( 3 p ) ϵ 3 ; the various norms in Figure 4 do not grow at all over time and show instead oscillations, which underlines the persistence of the AL soliton on the cddNLS lattice.

7. Conclusions and Outlook

We have studied discrete derivative nonlinear Schrödinger equations (ddNLSs) stemming from discretisations of the continuum derivative nonlinear Schrödinger equation (dNLS). Three discretisation schemes of the derivative have been treated, leading to the forward, backward, and central ddNLSs, respectively. Strikingly, whereas the dynamics of the (continuum) dNLS is conservative and completely integrable, admitting soliton solutions, the forward ddNLS with μ = 1 ( μ = 1 ) is dissipative (expansive). The backward ddNLS exhibits equal features but with an exchanged role of μ = 1 and μ = 1 .
More precisely, all solutions of the dissipative forward ddNLS asymptotically approach zero. In contrast, all solutions of the expansive forward ddNLS exhibit exponential growth in time. That is, global in l 2 solutions that remain bounded in l 2 do not exist. On the other hand, there is no blowup in finite time. We conclude that the dynamics of the forward and backward ddNLS differs markedly compared to the (integrable) dNLS.
Interestingly, like the continuum dNLS, the dynamics of the cddNLS is conservative. Inspired by the fact that for the cddNLS the total momentum is conserved, i.e., solutions may move along the lattice, we have proved the existence of solitary travelling wave (TW) solutions utilising Schauder’s fixed-point theorem. Furthermore, when damping is included in the forward expansive ddNLS, we have demonstrated that solitary stationary modes exist as an effect of balance between dissipative and expansive dynamics.
With our closeness result between the solutions of the fddNLS and the integrable AL equation, we have analytically established that at least solutions of small amplitude of the AL equation survive in the dynamics of the cddNLS. The most prominent example is definitely the AL soliton solution.
For future studies, it is certainly of interest to consider ddNLS in higher-dimensional lattices Z d with d 2 . Our closeness results between the solutions of the integrable AL equation and the (nonintegrable) cddNLS may instigate further studies of the link between the solution features of integrable systems and nonintegrable ones. Apart from the AL equation, the Toda lattice represents another completely integrable system that can be used to find (small-amplitude) soliton solutions in nonintegrable lattice systems.
Furthermore, a detailed analysis of the existence and stability properties of discrete stationary soliton solutions to the cddNLS equation still needs to be performed.

Author Contributions

Conceptualization, D.H.; Methodology, D.H. and J.C.-M.; Software, J.C.-M.; Validation, J.C.-M.; Writing—original draft preparation, D.H. and J.C.-M. All authors have read and agreed to the published version of the manuscript.

Funding

J.C.-M. acknowledges support from the EU (FEDER program 2014–2020) through MCIN/AEI/10.13039/501100011033 (under the projects PID2020-112620GB-I00 and PID2022-143120OB-I00).

Data Availability Statement

The raw data supporting the conclusions of this article will be made available by the authors on request.

Conflicts of Interest

The authors declare no conflicts of interest.

References

  1. Mjolhus, E. On the modulational instability of hydromagnetic waves parallel to the magnetic field. J. Plasma Phys. 1976, 16, 321–334. [Google Scholar] [CrossRef]
  2. Mio, W.; Ogino, T.; Minami, K.; Takeda, S. Modified nonlinear Schrödinger equation for Alfven wave propagation along the magnetic field in cold plasma. J. Phys. Soc. Jap. 1976, 41, 265–271. [Google Scholar] [CrossRef]
  3. Mjolhus, E.; Wyller, J. Nonlinear Alven waves in finite beta-plasma. J. Plasma Phys. 1988, 40, 299–318. [Google Scholar] [CrossRef]
  4. Kaup, D.J.; Newell, A.C. An exact solution for a derivative nonlinear Schrödinger equation. J. Math. Phys. 1978, 19, 798–801. [Google Scholar] [CrossRef]
  5. Hayashi, N.; Ozawa, T. On the derivative nonlinear Schrödinger equation. Physica D 1992, 55, 14–36. [Google Scholar] [CrossRef]
  6. Hayashi, N. The initial value problem for the derivative nonlinear Schrödinger equation in the energy space. Nonlin. Anal. 1993, 20, 823–833. [Google Scholar] [CrossRef]
  7. Hayashi, N.; Ozawa, T. Finite energy solutions of nonlinear Schrödinger equations of derivative type. SIAM J. Math. Anal. 1994, 25, 1488–1503. [Google Scholar] [CrossRef]
  8. Guo, B.; Wu, Y. Orbital stability of solitary waves for the nonlinear derivative Schrödinger equation. J. Differ. Equ. 1995, 123, 35–55. [Google Scholar] [CrossRef]
  9. Takaoka, H. Well-posedness for the one-dimensional nonlinear Schrödinger equation with the derivative nonlinearity. Adv. Diff. Equ. 1999, 4, 561–580. [Google Scholar] [CrossRef]
  10. Tsuchida, T.; Wadati, M. Complete integrability of derivative nonlinear Schrödinger-type equations. Inverse Probl. 1999, 15, 1363–1373. [Google Scholar] [CrossRef]
  11. Collianer, J.; Keel, M.; Staffialini, G.; Takaoka, H.; Tao, T. A refined global well-posedness result for Schrödinger equations with derivative. SIAM J. Math. Anal. 2002, 34, 64–86. [Google Scholar] [CrossRef]
  12. Rial, D. Weak solutions for the derivatve nonlinear Schrödinger equation. Nonlin. Anal. 2002, 49, 149–158. [Google Scholar] [CrossRef]
  13. Jenkins, R.; Liu, J.; Perry, P.; Sulem, C. Global well-posedness for the derivative nonlinear Schrödinger equation with arbitrary spectral singularities. Anal. PDEs 2020, 13, 1539–1578. [Google Scholar] [CrossRef]
  14. Guo, Z.; Wu, Y. Global well-posedness for the derivative nonlinear Schrödinger equation in H1/2. Discret. Contin. Dyn. Syst. 2017, 1, 64–86. [Google Scholar]
  15. Pelinovsky, D.-E.; Saalmann, A.; Shimabukuro, Y. The derivative NLS equation: Global existence with solitons. Dyn. PDE 2017, 14, 271–294. [Google Scholar] [CrossRef]
  16. Pelinovsky, D.-E.; Shimabukuro, Y. Existence of global solutions to the derivative NLS equation with the inverse scattering method. Int. Math. Res. Not. 2018, 2018, 5663–5728. [Google Scholar] [CrossRef]
  17. Jenkins, R.; Liu, J.; Perry, P.; Sulem, C. The derivative nonlinear Schrödinger equation: Global well-posedness and soliton resolution. Q. J. Pure Appl. Math. 2020, 78, 33–73. [Google Scholar] [CrossRef]
  18. Jenkins, R.; Liu, J.; Perry, P.; Sulem, C. Global well-posedness for the derivative nonlinear Schrödinger equation. Comm. Part. Diff. Equ. 2018, 43, 1151–1195. [Google Scholar] [CrossRef]
  19. Kwon, S.; Wu, Y. Orbital stability of solitary waves for derivative nonlinear Schrödinger equation. J. D’Analyse Math. 2018, 135, 473–486. [Google Scholar] [CrossRef]
  20. Colin, M.; Otha, M. Stability of solitary waves for the derivative nonlinear Schrödinger equation. Ann. Inst. H. Poincaré. Anal. Non Linéaire. 2006, 23, 753–764. [Google Scholar]
  21. Wu, Y. Global well-posedness for the derivative nonlinear Schrödinger equation with derivative in energy space. Anal. PDE 2013, 6, 1989–2002. [Google Scholar] [CrossRef]
  22. Wu, Y. Global well-posedness for the derivative nonlinear Schrödinger equation. Anal. PDE 2015, 8, 1101–1112. [Google Scholar] [CrossRef]
  23. Hennig, D.; Tsironis, G.P. Wave transmission in nonlinear lattices. Phys. Rep. 1999, 307, 333–432. [Google Scholar] [CrossRef]
  24. Kevrekidis, P.G.; Rasmussen, K.Ø.; Bishop, A.R. The discrete nonlinear Schrödinger equation: A survey of recent results. Int. J. Mod. Phys. B 2001, 15, 2833–2900. [Google Scholar] [CrossRef]
  25. Eilbeck, J.C.; Johansson, M. The discrete nonlinear Schrödinger equation-20 years on. In Localization and Energy Transfer in Nonlinear Systems; Vázquez, L., MacKay, R.S., Zorzano, M.P., Eds.; World Scientific: Singapore, 2003; pp. 44–67. [Google Scholar]
  26. Kevredikis, P.G. The Nonlinear Discrete Schrödinger Equation: Mathematical Analysis, Numerial Computations, and Physical Perspectives; Springer: Berlin/Heidelberg, Germany, 2009. [Google Scholar]
  27. Ablowitz, M.J.; Ladik, J.F. Nonlinear differential-difference equations and Fourier analysis. J. Math. Phys. 1976, 17, 1011–1018. [Google Scholar] [CrossRef]
  28. Ablowitz, M.J.; Ladik, J.F. A nonlinear difference scheme and inverse scattering. Stud. Appl. Math. 1976, 65, 213–229. [Google Scholar] [CrossRef]
  29. Herbst, B.M.; Ablowitz, M.J. Numerically induced chaos in the nonlinear Schrödinger equation. Phys. Rev. Lett. 1989, 62, 2065. [Google Scholar] [CrossRef] [PubMed]
  30. Ablowitz, M.J.; Clarkson, P.A. Solitons, Nonlinear Evolution Equations and Inverse Scattering; Cambridge University Press: New York, NY, USA, 1991. [Google Scholar]
  31. Faddeev, L.D.; Takhtajan, L.A. Hamiltonian Methods in the Theory of Solitons; Springer: Berlin, Germany, 1987. [Google Scholar]
  32. Pogrebkov, A.K. The discrete Schrödinger equation over a finite field, and an associated cellular automaton. Proc. Steklov Inst. Math. 1999, 2, 303–313. [Google Scholar]
  33. Boiti, M.; Bruschi, M.; Pempinelli, F.; Prinari, B. A discrete Schrodinger spectral problem and associated evolution equations. J. Phys. Math. Gen. 2003, 36, 139–149. [Google Scholar] [CrossRef][Green Version]
  34. Morsch, O.; Oberthaler, M. Dynamics of Bose-Einstein condensates in optical lattices. Rev. Mod. Phys. 2006, 78, 179. [Google Scholar] [CrossRef]
  35. Lederer, F.; Stegeman, G.I.; Christodoulides, D.N.; Assanto, G.; Segev, M.; Silberberg, Y. Discrete solitons in optics. Phys. Rep. 2008, 463, 1. [Google Scholar] [CrossRef]
  36. Christodoulides, D.N.; Lederer, F.; Silberberg, Y. Discretizing light behaviour in linear and nonlinear waveguide lattices. Nature 2003, 424, 817. [Google Scholar] [CrossRef] [PubMed]
  37. Peyrard, M. Nonlinear dynamics and statistical physics of DNA. Nonlinearity 2004, 17, R1. [Google Scholar] [CrossRef]
  38. Stockhofe, J.; Schmelcher, P. Modulational instability and localized breather modes in the discrete nonlinear Schrödinger equation with helicoidal hopping. Physica D 2016, 328–329, 9–20. [Google Scholar] [CrossRef]
  39. Hennig, D.; Karachalios, N.; Cuevas-Maraver, J. The closeness of the Ablowitz-Ladik lattice to the discrete nonlinear Schrödinger equation. J. Diff. Equ. 2022, 316, 346–363. [Google Scholar] [CrossRef]
  40. Hennig, D. Breather solutions in conservative and dissipative nonlinear Klein-Gordon lattices. J. Fixed Point Theory Appl. 2024, 26, 18. [Google Scholar] [CrossRef]
  41. Stefanov, A.; Kevrekidis, P.G. Asymptotic behaviour of small solutions for the discrete Schrödinger and Klein-Gordon equations. Nonlinearity 2005, 18, 1841–1857. [Google Scholar] [CrossRef]
Figure 1. fddNLS equation with μ = 1 and γ = 0 . Time evolution of the density and l 2 -norm for the initial condition u n ( 0 ) = A sech ( a n ) , with A = 0.5 and a = 0.5 .
Figure 1. fddNLS equation with μ = 1 and γ = 0 . Time evolution of the density and l 2 -norm for the initial condition u n ( 0 ) = A sech ( a n ) , with A = 0.5 and a = 0.5 .
Mathematics 13 00105 g001
Figure 2. fddNLS equation with μ = 1 and γ = 0 . Time evolution of the density and l 2 -norm for the initial condition u n ( 0 ) = A sech ( a n ) , with A = 0.5 and a = 0.5 .
Figure 2. fddNLS equation with μ = 1 and γ = 0 . Time evolution of the density and l 2 -norm for the initial condition u n ( 0 ) = A sech ( a n ) , with A = 0.5 and a = 0.5 .
Mathematics 13 00105 g002
Figure 3. fddNLS equation with μ = 1 and γ = 2 . Time evolution of the density and l 2 -norm for the initial condition u n ( 0 ) = A sech ( a n ) , with A = 0.25 and a = 0.5 .
Figure 3. fddNLS equation with μ = 1 and γ = 2 . Time evolution of the density and l 2 -norm for the initial condition u n ( 0 ) = A sech ( a n ) , with A = 0.25 and a = 0.5 .
Mathematics 13 00105 g003
Figure 4. cddNLS equation with μ = 1 . Time evolution of the Ablowitz–Ladik soliton, with A = 0.01 and α = 1.5 taken as initial conditions, and some norms.
Figure 4. cddNLS equation with μ = 1 . Time evolution of the Ablowitz–Ladik soliton, with A = 0.01 and α = 1.5 taken as initial conditions, and some norms.
Mathematics 13 00105 g004
Disclaimer/Publisher’s Note: The statements, opinions and data contained in all publications are solely those of the individual author(s) and contributor(s) and not of MDPI and/or the editor(s). MDPI and/or the editor(s) disclaim responsibility for any injury to people or property resulting from any ideas, methods, instructions or products referred to in the content.

Share and Cite

MDPI and ACS Style

Hennig, D.; Cuevas-Maraver, J. Discrete Derivative Nonlinear Schrödinger Equations. Mathematics 2025, 13, 105. https://doi.org/10.3390/math13010105

AMA Style

Hennig D, Cuevas-Maraver J. Discrete Derivative Nonlinear Schrödinger Equations. Mathematics. 2025; 13(1):105. https://doi.org/10.3390/math13010105

Chicago/Turabian Style

Hennig, Dirk, and Jesús Cuevas-Maraver. 2025. "Discrete Derivative Nonlinear Schrödinger Equations" Mathematics 13, no. 1: 105. https://doi.org/10.3390/math13010105

APA Style

Hennig, D., & Cuevas-Maraver, J. (2025). Discrete Derivative Nonlinear Schrödinger Equations. Mathematics, 13(1), 105. https://doi.org/10.3390/math13010105

Note that from the first issue of 2016, this journal uses article numbers instead of page numbers. See further details here.

Article Metrics

Back to TopTop