Transfer Matrix Method for the Analysis of Multiple Natural Frequencies
Abstract
1. Introduction
2. Principle of Transfer Matrix Method
3. Multiple Natural Frequency Analysis
3.1. Basic Ideas
3.2. First Derivative of the Characteristic Determinant
3.3. Judgment Criteria for Picking out the Even Multiple Natural Frequencies
3.4. Determine the Multiplicity of the Natural Frequencies
3.5. Flowchart of the Proposed Method for Multiple Natural Frequency Analysis
4. Numerical Studies
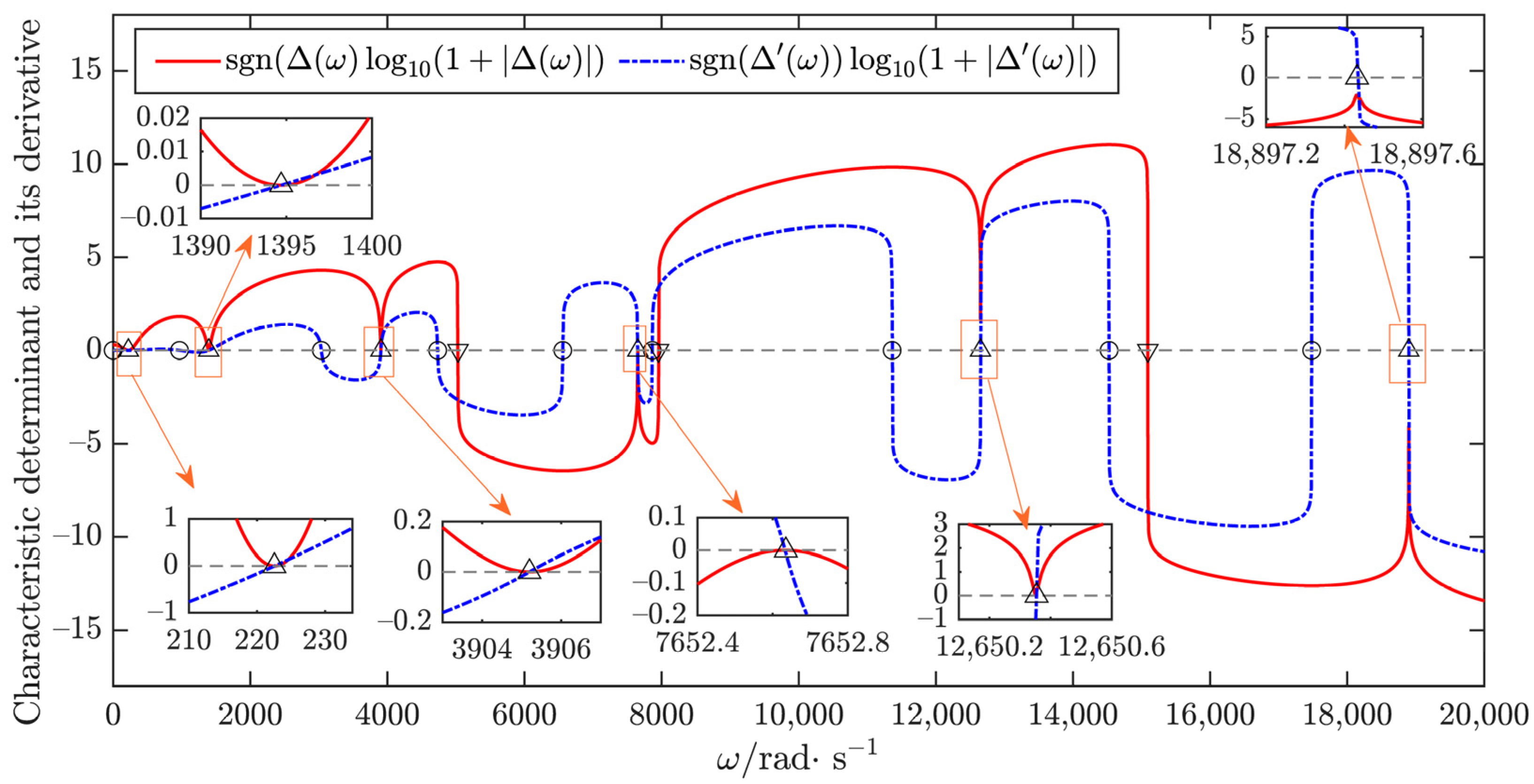
4.1. Free Vibration of a Chain Mechanical System with Multiple Natural Frequencies
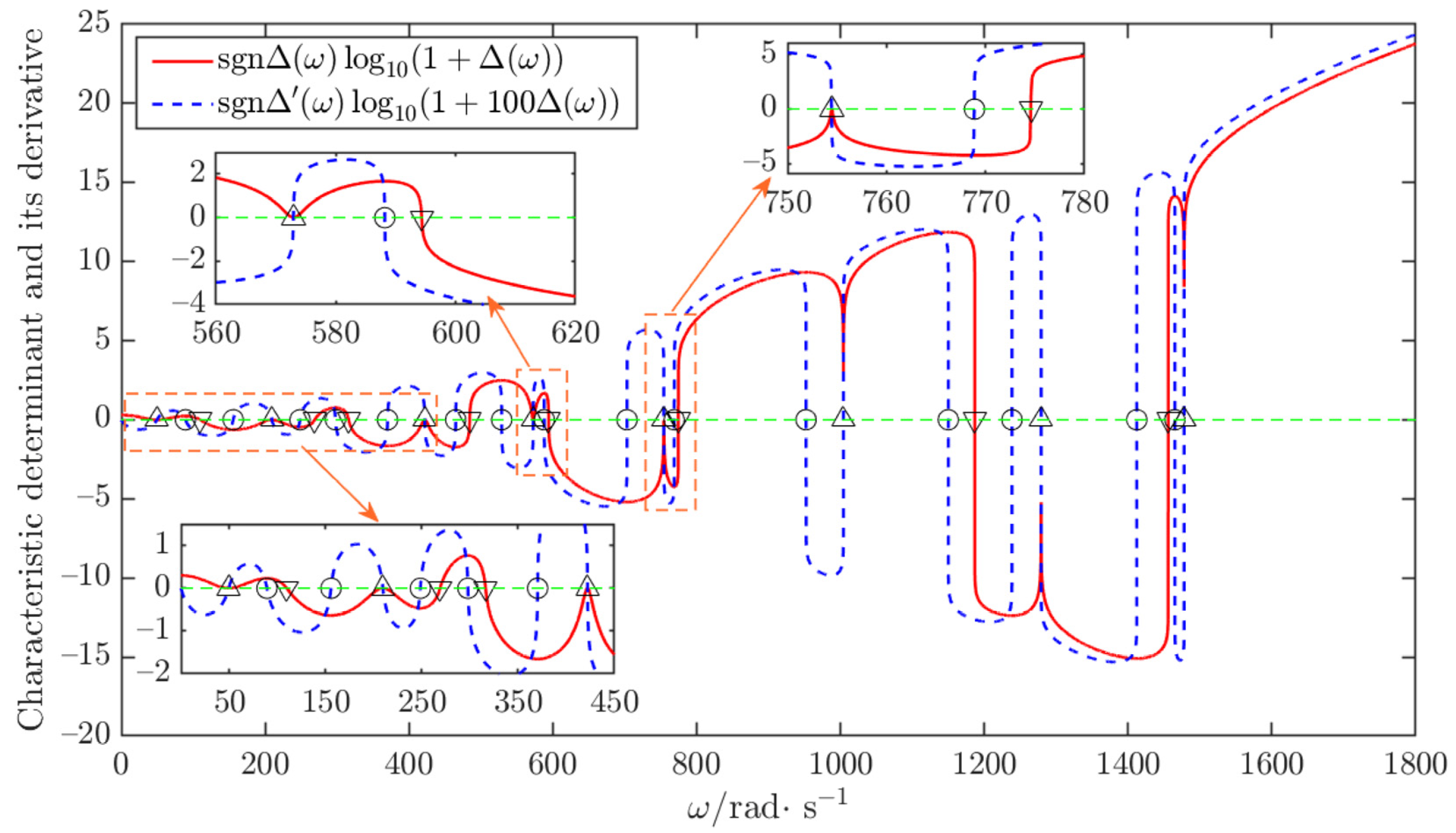
4.2. Free Vibration of a Closed-Loop Structural System with Multiple Natural Frequencies
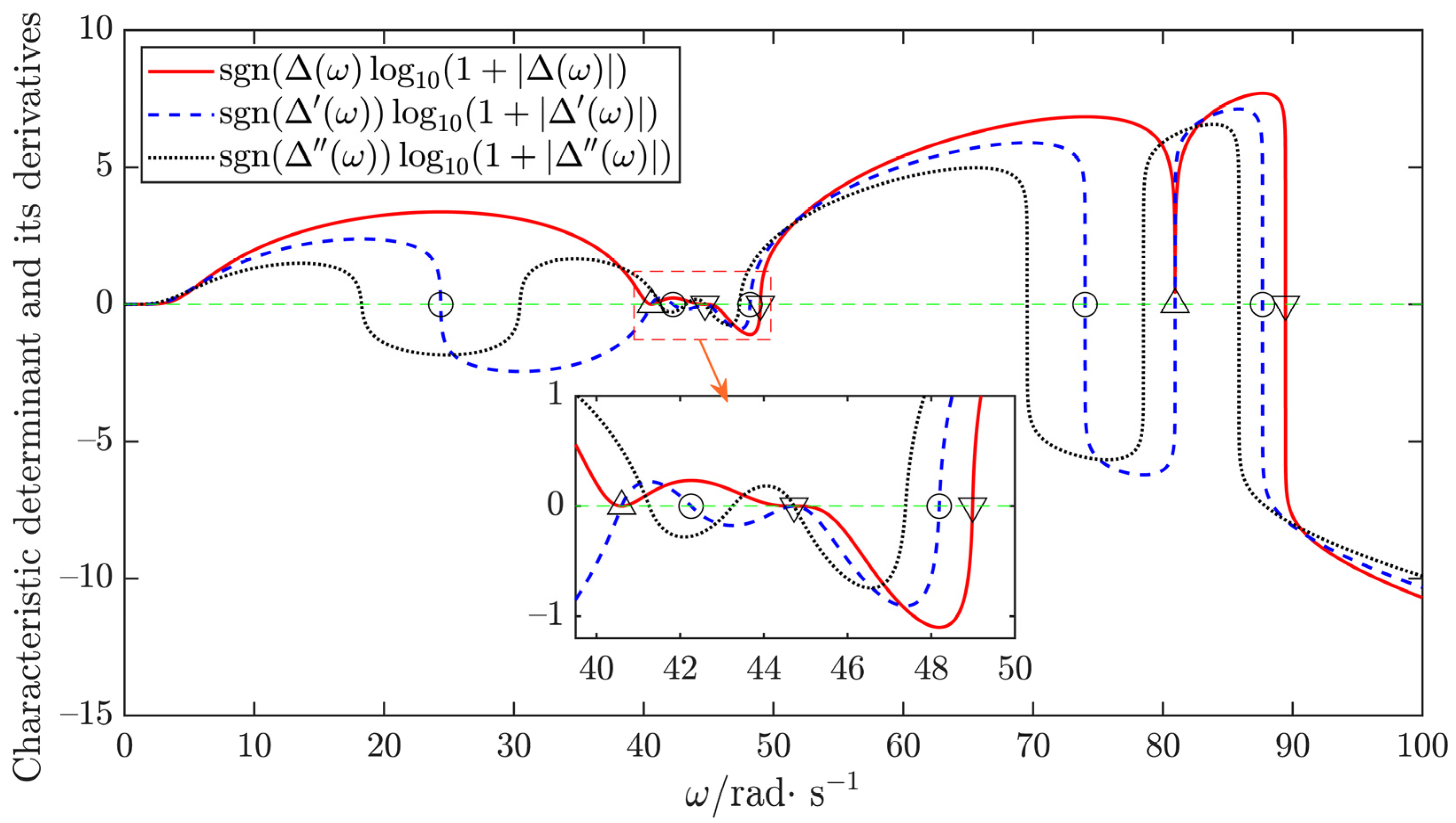
4.3. Free Vibration of a Regular Hexagonal Structure with Multiple Natural Frequencies
4.4. Free Vibration of a Branch Mechanical System
5. Conclusions
- (1)
- By differentiating the characteristic determinant with respect to the natural frequency, the proposed method effectively calculates the even multiple natural frequencies of the mechanical or structural systems. This is achieved by transforming the even multiple natural frequencies into the odd multiple zeros of the first derivative of determinant, and the odd multiple zeros can be directly obtained with the bisection method.
- (2)
- The proposed judgment criteria can effectively pick out the even multiple natural frequencies among the zeros of the first derivative of the characteristic determinant, in which the upper bounds can adaptively change with the absolute error from the true zeros.
- (3)
- The higher-order derivatives of the characteristic determinant are derived and utilized to accurately determine the multiplicities of all the natural frequencies.
Author Contributions
Funding
Data Availability Statement
Conflicts of Interest
Appendix A. A Proof for the Monotonicity near the Even Multiple Natural Frequencies
Appendix B. A Proof for the Sufficiency of the Judgment Criteria
References
- Kopets, E.; Karimov, A.; Scalera, L.; Butusov, D. Estimating natural frequencies of cartesian 3D printer based on kinematic scheme. Appl. Sci. 2022, 12, 4514. [Google Scholar] [CrossRef]
- Lu, H.; Rui, X.; Zhang, X. Transfer matrix method for linear vibration analysis of flexible multibody systems. J. Sound Vib. 2023, 549, 117565. [Google Scholar] [CrossRef]
- Beck, J.; Brown, J.M.; Scott-Emuakpor, O.E.; Kaszynski, A.; Henry, E.B. Modal expansion method for eigensensitivity calculations of cyclically symmetric bladed disks. AIAA J. 2018, 56, 4112–4120. [Google Scholar] [CrossRef]
- Yoon, G.; Donoso, A.; Bellido, J.C.; Ruiz, D. Highly efficient general method for sensitivity analysis of eigenvectors with repeated eigenvalues without passing through adjacent eigenvectors. Int. J. Numer. Methods Eng. 2020, 121, 4473–4492. [Google Scholar] [CrossRef]
- Zhang, G.; Khandelwal, K.; Guo, T. Topology optimization of stability-constrained structures with simple/multiple eigenvalues. Int. J. Numer. Methods Eng. 2024, 125, e7387. [Google Scholar] [CrossRef]
- Bathe, K.-J. Finite Element Procedures, 2nd ed.; Prentice Hall: Hoboken, NJ, USA, 2006; pp. 838–860. [Google Scholar]
- Iwamoto, H.; Hisano, S.; Tanaka, N. Modelling and feedforward control of wave propagation in an orthotropic rectangular panel based on a transfer matrix method. J. Sound Vib. 2020, 487, 115639. [Google Scholar] [CrossRef]
- Ling, M.; Yuan, L.; Zhou, H.; Ning, M. Modified transfer matrix method for vibration analysis of beam structures including branches and rigid bodies. Mech. Syst. Signal Process. 2023, 187, 109858. [Google Scholar] [CrossRef]
- Lund, J.W. Stability and damped critical speeds of a flexible rotor in fluid-film bearings. J. Eng. Ind. 1974, 96, 509–517. [Google Scholar] [CrossRef]
- Luo, Z.; Bian, Z.; Zhu, Y.; Liu, H. An improved transfer-matrix method on steady-state response analysis of the complex rotor-bearing system. Nonlinear Dyn. 2020, 102, 101–113. [Google Scholar] [CrossRef]
- Hsieh, S.-C.; Chen, J.-H.; Lee, A.-C. A modified transfer matrix method for the coupled lateral and torsional vibrations of asymmetric rotor-bearing systems. J. Sound Vib. 2008, 312, 563–571. [Google Scholar] [CrossRef]
- Cao, Y.; Liu, G.; Hu, Z. Vibration calculation of pipeline systems with arbitrary branches by the hybrid energy transfer matrix method. Thin-Walled Struct. 2023, 183, 110442. [Google Scholar] [CrossRef]
- Dell, A.; Krynkin, A.; Horoshenkov, K.V. The use of the transfer matrix method to predict the effective fluid properties of acoustical systems. Appl. Acoust. 2021, 182, 108259. [Google Scholar] [CrossRef]
- Rui, X.; Wang, G.; Zhang, J. Transfer Matrix Method for Multibody Systems: Theory and Applications; John Wiley & Sons: Hoboken, NJ, USA, 2018. [Google Scholar]
- Rui, X.; Zhang, J.; Wang, X.; Rong, B.; He, B.; Jin, Z. Multibody system transfer matrix method: The past, the present, and the future. Int. J. Mech. Syst. Dyn. 2022, 2, 3–26. [Google Scholar] [CrossRef]
- Wang, X.; Xia, P. Novel modeling and vibration analysis method on a helicopter drive train system. AIAA J. 2022, 60, 4288–4301. [Google Scholar] [CrossRef]
- Chen, D.; Gu, C.; Marzocca, P.; Yang, J.; Pan, G. Dynamic modeling of rotating blades system based on transfer matrix method of multibody system. Appl. Math. Model. 2022, 105, 475–495. [Google Scholar] [CrossRef]
- Mehrmann, V.; Voss, H. Nonlinear eigenvalue problems: A challenge for modern eigenvalue methods. GAMM-Mitteilungen 2004, 27, 121–152. [Google Scholar] [CrossRef]
- Zhang, X. Matrix Analysis and Applications; Cambridge University Press: London, UK, 2017. [Google Scholar]
- Ruhe, A. Algorithms for the nonlinear eigenvalue problem. SIAM J. Numer. Anal. 1973, 10, 674–689. [Google Scholar] [CrossRef]
- Yang, C.; Hua, D. The quadratic approximation methods for solving nonlinear eigenvalue problems. Math. Numer. Sin. 2014, 36, 381–392. [Google Scholar] [CrossRef]
- Chen, X.-P.; Wei, W.; Pan, X.-M. Modified successive approximation methods for the nonlinear eigenvalue problems. Appl. Numer. Math. 2021, 164, 190–198. [Google Scholar] [CrossRef]
- Chen, X.; Dai, H.; Wei, W. Successive mth approximation method for the nonlinear eigenvalue problem. Comput. Appl. Math. 2017, 36, 1009–1021. [Google Scholar] [CrossRef]
- Van Beeumen, R.; Meerbergen, K.; Michiels, W. A Rational Krylov Method Based on Hermite Interpolation for Nonlinear Eigenvalue Problems. SIAM J. Sci. Comput. 2013, 35, A327–A350. [Google Scholar] [CrossRef]
- Voss, H. A Jacobi–Davidson method for nonlinear and nonsymmetric eigenproblems. Comput. Struct. 2007, 85, 1284–1292. [Google Scholar] [CrossRef]
- Zheng, C.J.; Zhang, C.; Bi, C.X.; Gao, H.F.; Du, L.; Chen, H.B. Coupled FE–BE method for eigenvalue analysis of elastic structures submerged in an infinite fluid domain. Int. J. Numer. Methods Eng. 2017, 110, 163–185. [Google Scholar] [CrossRef]
- Baydoun, S.K.; Voigt, M.; Goderbauer, B.; Jelich, C.; Marburg, S. A subspace iteration eigensolver based on Cauchy integrals for vibroacoustic problems in unbounded domains. Int. J. Numer. Methods Eng. 2021, 122, 4250–4269. [Google Scholar] [CrossRef]
- Wittrick, W.H.; Williams, F.W. A general algorithm for computing natural frequencies of elastic structures. Q. J. Mech. Appl. Math. 1971, 24, 263–284. [Google Scholar] [CrossRef]
- Williams, F.W.; Yuan, S.; Ye, K.; Kennedy, D.; Djoudi, M.S. Towards deep and simple understanding of the transcendental eigenproblem of structural vibrations. J. Sound Vib. 2002, 256, 681–693. [Google Scholar] [CrossRef]
- Sun, X. The application of the Wittrick-Williams algorithm for free vibration analysis of cracked skeletal structures. Thin-Walled Struct. 2020, 159, 107307. [Google Scholar] [CrossRef]
- Papkov, S.O.; Banerjee, J.R. Dynamic stiffness formulation and free vibration analysis of specially orthotropic Mindlin plates with arbitrary boundary conditions. J. Sound Vib. 2019, 458, 522–543. [Google Scholar] [CrossRef]
- Han, F.; Dan, D.; Cheng, W. Extension of dynamic stiffness method to complicated damped structures. Comput. Struct. 2018, 208, 143–150. [Google Scholar] [CrossRef]
- Han, F.; Dan, D.; Cheng, W.; Jubao, Z. An improved Wittrick-Williams algorithm for beam-type structures. Compos. Struct. 2018, 204, 560–566. [Google Scholar] [CrossRef]
- Carrera, E.; Pagani, A.; Banerjee, J.R. Linearized buckling analysis of isotropic and composite beam-columns by Carrera Unified Formulation and dynamic stiffness method. Mech. Adv. Mater. Struct. 2016, 23, 1092–1103. [Google Scholar] [CrossRef]
- Náprstek, J.; Fischer, C. Investigation of bar system modal characteristics using Dynamic Stiffness Matrix polynomial approximations. Comput. Struct. 2017, 180, 3–12. [Google Scholar] [CrossRef]
- Yuan, S.; Ye, K.; Williams, F.W.; Kennedy, D. Recursive second order convergence method for natural frequencies and modes when using dynamic stiffness matrices. Int. J. Numer. Methods Eng. 2003, 56, 1795–1814. [Google Scholar] [CrossRef]
- Murthy, D.V. Solution and sensitivity analysis of a complex transcendental eigenproblem with pairs of real eigenvalues. Int. J. Numer. Methods Eng. 1992, 33, 115–129. [Google Scholar] [CrossRef][Green Version]
- Huiyn, X. A combined dynamic finite element—Riccati transfer matrix method for solving non-linear eigenproblems of vibrations. Comput. Struct. 1994, 53, 1257–1261. [Google Scholar] [CrossRef]
- Bestle, D.; Abbas, L.; Rui, X. Recursive eigenvalue search algorithm for transfer matrix method of linear flexible multibody systems. Multibody Syst. Dyn. 2014, 32, 429–444. [Google Scholar] [CrossRef]
- Quarteroni, A.; Sacco, R.; Saleri, F. Numerical Mathematics, 2nd ed.; Springer: Berlin/Heidelberg, Germany, 2007. [Google Scholar]
- Ypma, T.J. Finding a Multiple Zero by Transformations and Newton-Like Methods. SIAM Rev. 1983, 25, 365–378. [Google Scholar] [CrossRef]
















| Modal Order | 1 | 2 | 3 | 4 | 5 | 6 | 7 | 8 |
| DBM | - | - | 109.824 | - | - | 269.012 | 316.231 | - |
| RESA | 49.600 | - | 109.824 | 209.621 | - | 269.018 | 316.228 | 422.053 |
| Analytical | 49.603 | 49.603 | 109.825 | 209.619 | 209.619 | 269.015 | 316.228 | 422.053 |
| Proposed | 49.606 | 49.606 | 109.824 | 209.621 | 209.621 | 269.012 | 316.231 | 422.051 |
| Modal Order | 9 | 10 | 11 | 12 | 13 | 14 | 15 | 16 |
| DBM | - | 484.488 | - | - | 594.316 | - | - | 774.598 |
| RESA | - | 484.492 | 572.895 | - | 594.316 | 754.483 | - | 774.598 |
| Analytical | 422.053 | 484.489 | 572.896 | 572.896 | 594.314 | 754.482 | 754.482 | 774.597 |
| Proposed | 422.051 | 484.488 | 572.895 | 572.895 | 594.316 | 754.481 | 754.481 | 774.598 |
| Modal Order | 17 | 18 | 19 | 20 | 21 | 22 | 23 | 24 |
| DBM | - | - | 1186.754 | - | - | 1455.762 | - | - |
| RESA | 1004.114 | - | 1186.749 | 1279.005 | - | 1455.769 | 1477.811 | - |
| Analytical | 1004.115 | 1004.115 | 1186.751 | 1279.005 | 1279.005 | 1455.766 | 1477.808 | 1477.808 |
| Proposed | 1004.113 | 1004.113 | 1186.754 | 1279.004 | 1279.004 | 1455.762 | 1477.809 | 1477.809 |
| Modal Order | 4 | 5 | 6 | 7 | 8 | 9 | 10 | 11 | 12 |
|---|---|---|---|---|---|---|---|---|---|
| DBM | - | - | 44.721 | - | - | 48.990 | - | - | 89.443 |
| RESA | 40.601 | - | 44.721 | - | - | - | 80.942 | - | 89.443 |
| Analytical | 40.601 | 40.601 | 44.721 | 44.721 | 44.721 | 48.990 | 80.942 | 80.942 | 89.443 |
| Proposed | 40.602 | 40.602 | 44.721 | 44.721 | 44.721 | 48.990 | 80.942 | 80.942 | 89.443 |
| Modal Order | 1 | 2 | 3 | 4 | 5 | 6 | 7 |
|---|---|---|---|---|---|---|---|
| DBM | - | - | 8.851 | - | - | 483.359 | 624.390 |
| RESA | 8.081 | - | 8.852 | 193.670 | - | 483.360 | 624.387 |
| FEM | 8.080 | 8.080 | 8.852 | 193.667 | 193.667 | 483.359 | 624.385 |
| Proposed | 8.084 | 8.084 | 8.851 | 193.670 | 193.670 | 483.359 | 624.390 |
| Method | ) | ) | ||||
|---|---|---|---|---|---|---|
| Model Order | 1 | 2 | 3 | 1 | 2 | 3 |
| Case A | 20.000 | 28.284 | 33.764 | 20.000 | 28.284 | 33.764 |
| Case B | 20.000 | 20.000 | 28.983 | 20.000 | 20.000 | 28.983 |
| Case C | 20.000 | 20.000 | 20.000 | 20.000 | 20.000 | 20.000 |
Disclaimer/Publisher’s Note: The statements, opinions and data contained in all publications are solely those of the individual author(s) and contributor(s) and not of MDPI and/or the editor(s). MDPI and/or the editor(s) disclaim responsibility for any injury to people or property resulting from any ideas, methods, instructions or products referred to in the content. |
© 2024 by the authors. Licensee MDPI, Basel, Switzerland. This article is an open access article distributed under the terms and conditions of the Creative Commons Attribution (CC BY) license (https://creativecommons.org/licenses/by/4.0/).
Share and Cite
Wang, J.; Rui, X.; He, B.; Wang, X.; Zhang, J.; Xie, K. Transfer Matrix Method for the Analysis of Multiple Natural Frequencies. Mathematics 2024, 12, 1413. https://doi.org/10.3390/math12091413
Wang J, Rui X, He B, Wang X, Zhang J, Xie K. Transfer Matrix Method for the Analysis of Multiple Natural Frequencies. Mathematics. 2024; 12(9):1413. https://doi.org/10.3390/math12091413
Chicago/Turabian StyleWang, Jinghong, Xiaoting Rui, Bin He, Xun Wang, Jianshu Zhang, and Kai Xie. 2024. "Transfer Matrix Method for the Analysis of Multiple Natural Frequencies" Mathematics 12, no. 9: 1413. https://doi.org/10.3390/math12091413
APA StyleWang, J., Rui, X., He, B., Wang, X., Zhang, J., & Xie, K. (2024). Transfer Matrix Method for the Analysis of Multiple Natural Frequencies. Mathematics, 12(9), 1413. https://doi.org/10.3390/math12091413
