Improved Finite Element Thermomechanical Analysis of Laminated Composite and Sandwich Plates Using the New Enhanced First-Order Shear Deformation Theory
Abstract
1. Introduction
2. EFSDTM_TN for the Thermo-Mechanical Problem
2.1. Mixed Variational Theorem
2.2. Improvement of Transverse Displacement Field
2.3. Transverse Stress Field
2.4. Displacement Field
2.5. Relationships between Displacement and Transverse Stress Fields
3. Finite Element Formulation Based on EFSDTM_TN
3.1. Element Stiffness Matrix
3.2. Extermal Force Vector
4. Numerical Results and Discussion
- -
- Each ply of the composite plates for the mechanical problems
- -
- Each ply of the composite plates for the thermal problems
- -
- Facial sheets of the sandwich plates
- -
- Core of the sandwich plates
4.1. Validation of the Proposed FE Analysis Model
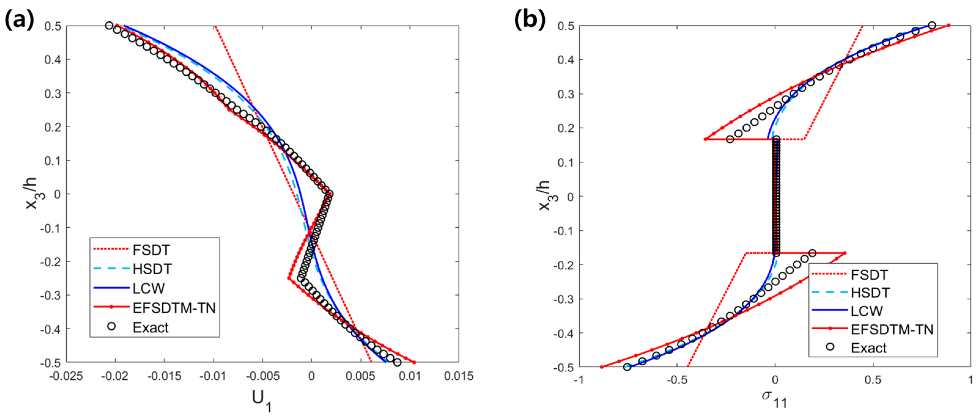
4.2. FE Solutions for the Mechanical Problem
4.3. FE Solutions for the Thermal Problem
5. Conclusions
- MVT was employed in the proposed FE model to independently assume the displacement (FEST_TN) and transverse stress (EHOPT_TN) fields. The displacement and transverse stress fields were systematically interconnected in the MVT by establishing reasonable energy relationships. Based on the predefined relationships, the proposed FE model can not only embrace the explicit computational advantages of FSDT_TN, such as the C0-based 5-DOF FE implementation, but also ensure the solution accuracy of EHOPT_TN.
- The transverse displacement field was enhanced by incorporating the components of external temperature loading to account for the contribution of the transverse normal strain effect efficiently. Consequently, the proposed FE model can provide reliable thermal solutions without introducing additional unknown variables.
Author Contributions
Funding
Data Availability Statement
Conflicts of Interest
Nomenclature
| thermal expansion coefficient. | |
| elasticity stiffness tensor. | |
| reduced elastic stiffness tensor. | |
| external temperature distribution consisting of and . | |
| uniform and linear temperature loadings. | |
| stress and strain components based on the displacement field. | |
| stress and strain components based on the transverse stress field. | |
| coefficient of linear zigzag function to enforce shear continuity conditions. | |
| layer-wise constant to enforce continuity conditions of transverse normal displacement. | |
| layer-wise constant to enforce the plane stress condition. | |
| in-plane warping functions derived from transverse stress field. | |
| function of material properties to satisfy shear continuity conditions in the transverse stress field. | |
| function of material properties to satisfy continuity conditions of transverse normal displacement. | |
| in-plane correction factors derived by matching the force and moment resultants. | |
| coefficient of in-plane correction factors (). | |
| shape functions for the element in FE implementation. | |
| unknown displacements for each element. | |
| unknown displacements for each node. | |
| membrane, bending, and transverse shear part of the strain matrix. | |
| stiffness matrix for each element. | |
| membrane, membrane-bending coupling, bending, and transverse shear part of the element stiffness matrix. | |
| external force vector for each element derived from the mechanical loading. | |
| external force vector for each element derived from the thermal loading. | |
| mechanical loading applied in each element. | |
| membrane, bending, and transverse shear part of the external force vector derived from the uniform temperature loading. | |
| membrane, bending, and transverse shear part of the external force vector derived from the linear temperature loading. |
References
- Jones, R.M. Mechanics of Composite Materials, 2nd ed.; CRC Press: Boca Raton, FL, USA, 1999; pp. 1–53. [Google Scholar]
- Reddy, J.N. Mechanics of Laminated Composite Plates and Shells: Theory and Analysis, 2nd ed.; CRC Press: Boca Raton, FL, USA, 2004; pp. 81–106. [Google Scholar]
- Mindlin, R.D. Influence of rotary and shear on flexural motions of isotropic. ASME J. Appl. Mech. 1951, 18, 31–38. [Google Scholar] [CrossRef]
- Reissner, E. The effect of transverse shear deformation on the bending of elastic plates. ASME J. Appl. Mech. 1945, 12, 69–77. [Google Scholar] [CrossRef]
- Reissner, E. On a mixed variational theorem and on shear deformable plate theory. Int. J. Numer. Methods Eng. 1986, 23, 193–198. [Google Scholar] [CrossRef]
- Whitney, J.M.; Leissa, A.W. Analysis of heterogeneous anisotropic plates. ASME J. Appl. Mech. 1969, 36, 261–266. [Google Scholar] [CrossRef]
- Thai, H.T.; Choi, D.H. A simple first-order shear deformation theory for laminated composite plates. Compos. Struct. 2013, 106, 754–763. [Google Scholar] [CrossRef]
- Reddy, J.N. A simple higher-order theory for laminated composite plates. ASME J. Appl. Mech. 1984, 51, 745–752. [Google Scholar] [CrossRef]
- Carrera, E. Evaluation of layerwise mixed theories for laminated plates analysis. AIAA J. 1998, 36, 830–839. [Google Scholar] [CrossRef]
- Ferreira, A.J.M. A formulation of multiquadric radial basis function method for the analysis of laminated composite plates. Compos. Struct. 2003, 59, 385–392. [Google Scholar] [CrossRef]
- Wu, Z.; Chen, W.J. Refined global-local higher-order theory and finite element for laminated plates. Int. J. Numer. Meth. Eng. 2007, 69, 1627–1670. [Google Scholar]
- Mantari, J.L.; Oktem, A.S.; Soares, C.G. A new trigonometric layerwise shear deformation theory for the finite element analysis of laminated composite and sandwich plates. Comput. Struct. 2012, 94, 45–53. [Google Scholar] [CrossRef]
- Mantari, J.L.; Soares, C.G. Generalized layerwise HSDT and finite element formulation for symmetric laminated and sandwich composite plates. Compos. Struct. 2013, 105, 319–331. [Google Scholar] [CrossRef]
- Di Sciuva, M. Bending, vibration and buckling of simply supported thick multilayered orthotropic plates: An evaluation of a new displacement model. J. Sound Vib. 1986, 105, 425–442. [Google Scholar] [CrossRef]
- Cho, M.; Parmerter, R.R. An efficient higher order plate theory for laminated composites. Compos. Struct. 1992, 20, 113–123. [Google Scholar] [CrossRef]
- Cho, M.; Parmerter, R.R. Efficient higher-order plate theory for general lamination configuration. AIAA J. 1993, 31, 1299–1306. [Google Scholar] [CrossRef]
- Versino, D.; Gherlone, M.; Mattone, M.; DiSciuva, M.; Tessler, A. C0 triangular elements based on the refined zigzag theory for multilayer composite and sandwich plates. Compos. Part B Eng. 2013, 44, 218–230. [Google Scholar] [CrossRef]
- Ren, X.; Chen, W.; Wu, Z. A C0-type zig-zag theory and finite element for laminated composite and sandwich plates with general configurations. Arch. Appl. Mech. 2012, 82, 391–406. [Google Scholar]
- Kim, J.S.; Cho, M. Enhanced modeling of laminated and sandwich plates via strain energy transformation. Compos. Sci. Technol. 2006, 66, 1575–1587. [Google Scholar] [CrossRef]
- Kim, J.S.; Cho, M. Enhanced first-order theory based on mixed formulation and transverse normal effect. Int. J. Solids Struct. 2007, 44, 1256–1276. [Google Scholar] [CrossRef][Green Version]
- Han, J.W.; Kim, J.S.; Cho, M. Improved finite element viscoelastic analysis of laminated structures via the enhanced first-order shear deformation theory. Compos. Struct. 2017, 180, 360–377. [Google Scholar] [CrossRef]
- Miguel, A.G.; Carrera, E.; Pagani, A.; Zappino, E. Accurate evaluation of interlaminar stresses in composite laminates via mixed one-dimensional formulation. AIAA J. 2018, 56, 4582–4594. [Google Scholar] [CrossRef]
- Wu, B.; Pagani, A.; Chen, W.Q.; Carrera, E. Geometrically nonlinear refined shell theories by Carrera Unified Formulation. Mech. Adv. Mater. Struct. 2021, 28, 1721–1741. [Google Scholar] [CrossRef]
- Yousuf, L.S. Largest lyapunov exponent parameter of stiffened carbon fiber reinforced epoxy composite laminated plate due to critical buckling load using average logarithmic divergence approach. Mathematics 2022, 10, 2020. [Google Scholar] [CrossRef]
- Yang, S.; Sun, X.; Cai, Z. Isogeometric analysis for free vibration of functionally graded plates using a new quasi-3D spectral displacement formulation. Mathematics 2023, 11, 2660. [Google Scholar] [CrossRef]
- Petrolo, M.; Iannotti, P. Best Theory Diagrams for Laminated Composite Shells Based on Failure Indexes. Aerotec. Missili Spaz. 2023, 102, 199–218. [Google Scholar] [CrossRef]
- Arruda, M.R.T.; Trombini, M.; Pagani, A. Implicit to Explicit Algorithm for ABAQUS Standard User-Subroutine UMAT for a 3D Hashin-Based Orthotropic Damage Model. Appl. Sci. 2023, 13, 1155. [Google Scholar] [CrossRef]
- Petrolo, M.; Augello, R.; Carrera, E.; Scano, D.; Pagani, A. Evaluation of transverse shear stresses in layered beams/plates/shells via stress recovery accounting for various CUF-based theories. Compos. Struct. 2023, 307, 116625. [Google Scholar] [CrossRef]
- Lo, K.H.; Christensen, R.M.; Wu, E.M. A higher-order theory of plate deformation. Part 2: Laminated plates. ASME J. Appl. Mech. 1977, 44, 669–676. [Google Scholar] [CrossRef]
- Jonnalagadda, K.D.; Tauchert, T.R.; Blandford, G.E. Higher order thermoelastic composite plate theories, analytical comparison. J. Therm. Stress. 1993, 16, 265–284. [Google Scholar] [CrossRef]
- Kant, T.; Khare, R. Finite element thermal stress analysis of composite laminates using a higher-order theory. J. Therm. Stress. 1994, 17, 229–255. [Google Scholar] [CrossRef]
- Rohwer, K.; Rolfes, R.; Sparr, H. Higher-order theories for thermal stresses in layered plates. Int. J. Solids Struct. 2001, 38, 3673–3787. [Google Scholar] [CrossRef]
- Zenkour, A.M. Analytical solution for bending of cross-ply laminated plates under thermo-mechanical loading. Compos. Struct. 2004, 65, 367–379. [Google Scholar] [CrossRef]
- Matsunaga, H.A. Comparison between 2-D single-layer and 3-D layerwise theories for computing interlaminar stresses of laminated composite and sandwich plates subjected to thermal loadings. Compos. Struct. 2004, 64, 161–177. [Google Scholar] [CrossRef]
- Patel, B.P.; Lele, A.V.; Ganapathi, M.; Gupta, S.S.; Sambandam, C.T. Thermo-flexural analysis of thick laminates of bimodulus composite materials. Compos. Struct. 2004, 63, 11–20. [Google Scholar] [CrossRef]
- Khare, R.K.; Kant, T.; Garg, A.K. Closed-form thermo-mechanical solutions of higher-order theories of cross-ply laminated shallow shells. Compos. Struct. 2003, 59, 313–340. [Google Scholar] [CrossRef]
- Noor, A.K.; Malik, M. An assessment of five modeling approaches for thermomechanical stress analysis of laminated composite panels. Comput. Mech. 2000, 25, 43–58. [Google Scholar] [CrossRef]
- Carrera, E. An assessment of mixed and classical theories for the thermal stress analysis of orthotropic multilayered plates. J. Therm. Stress. 2000, 23, 797–831. [Google Scholar] [CrossRef]
- Carrera, E.; Ciuffreda, A. Closed-form solutions to assess multilayered-plate theories for various thermal stress problems. J. Therm. Stress. 2004, 27, 1001–1031. [Google Scholar] [CrossRef]
- Cho, M.; Oh, J. Higher order zig-zag plate theory under thermo-electric-mechanical loads combined. Compos. Part B Eng. 2003, 34, 67–82. [Google Scholar] [CrossRef]
- Cho, M.; Oh, J. Higher order zig-zag theory for fully coupled thermo-electric–mechanical smart composite plates. Int. J. Solids Struct. 2004, 41, 1331–1356. [Google Scholar] [CrossRef]
- Oh, J.; Cho, M. A Finite Element Based on Cubic Zig-zag Plate Theory for the Prediction of Thermo-electric-mechanical Behaviors. Int. J. Solids Struct. 2004, 41, 1357–1375. [Google Scholar] [CrossRef]
- Oh, J.; Cho, M. Higher order zig-zag theory for smart composite shells under mechanical-thermo-electric loading. Int. J. Solids Struct. 2007, 44, 100–127. [Google Scholar] [CrossRef][Green Version]
- Kapuria, S.; Achary, G.G.S. An efficient higher order zigzag theory for laminated plates subjected to thermal loading. Int. J. Solids Struct. 2004, 41, 4661–4684. [Google Scholar] [CrossRef]
- Wu, Z.; Chen, W. A quadrilateral element based on refined global-local higher-order theory for coupling bending and extension thermo-elastic multilayered plates. Int. J. Solids Struct. 2007, 44, 3187–3217. [Google Scholar]
- Wu, Z.; Cheung, Y.K.; Lo, S.H.; Chen, W. On the thermal expansion effects in the transverse direction of laminated composite plates by means of a global–local higher-order model. Int. J. Mech. Sci. 2010, 52, 970–981. [Google Scholar]
- Zenkour, A.M. Thermal bending of layered composite plates resting on elastic foundations using four-unknown shear and normal deformations theory. Compos. Struct. 2015, 122, 260–270. [Google Scholar] [CrossRef]
- Ramos, I.A.; Mantari, J.L.; Zenkour, A.M. Laminated composite plates subject to thermal load using trigonometrical theory based on Carrera Unified Formulation. Compos. Struct. 2016, 143, 324–335. [Google Scholar] [CrossRef]
- Oh, J.; Cho, M.; Kim, J.S. Enhanced lower-order shear deformation theory for fully coupled electro-thermo-mechanical smart laminated plates. Smart Mater. Struct. 2007, 16, 2229–2241. [Google Scholar] [CrossRef]
- Han, J.W.; Kim, J.S.; Cho, M. New enhanced first-order shear deformation theory for thermo-mechanical analysis of laminated composite and sandwich plates. Compos. Part B Eng. 2017, 116, 422–450. [Google Scholar] [CrossRef]
- Han, J.W.; Kim, J.S.; Cho, M. Improved thermo-mechanical stress prediction of laminated composite and sandwich plates using enhanced LCW theory. Eur. J. Mech. A/Solids 2017, 66, 143–157. [Google Scholar] [CrossRef]
- Khalid, S.; Lee, J.; Kim, H.S. Series solution-based approach for the Interlaminar stress analysis of smart composites under thermo-electro-mechanical Loading. Mathematics 2022, 10, 268. [Google Scholar] [CrossRef]
- Avey, M.; Fantuzzi, N.; Sofiyev, A.H. Analytical solution of stability problem of nanocomposite cylindrical shells under combined loadings in thermal environments. Mathematics 2023, 11, 3781. [Google Scholar] [CrossRef]
- Azzara, R.; Carrera, E.; Filippi, M.; Pagani, A. Vibration analysis of thermally loaded isotropic and composite beam and plate structures. J. Therm. Stress. 2023, 46, 369–386. [Google Scholar] [CrossRef]
- Wang, D.; Hui, J.; Cao, W.; Yang, Y.; Wan, Y.; Zuo, H.; Zhang, B. The influence of geometric imperfections on post-buckling behavior and free vibrations of a fiber-reinforced composite laminated plate under thermal loading. Compos. Struct. 2023, 306, 116568. [Google Scholar] [CrossRef]
- Smolin, I.Y.; Zimina, V.A.; Buyakova, S.P. Estimation of Residual Thermal Stresses in a Layered Ceramic Composite. Mech. Compos. Mater. 2023, 58, 823–834. [Google Scholar] [CrossRef]
- Pagano, N.J. Exact solutions for composite laminates in cylindrical bending. J. Compos. Mater. 1969, 3, 398–411. [Google Scholar] [CrossRef]
- Pagano, N.J.; Hatfield, S.J. Elastic behavior of multilayered bidirectional Composites. AIAA J. 1972, 10, 931–933. [Google Scholar] [CrossRef]










| Case | Layup | Layer Thickness |
|---|---|---|
| Case 1 | Single layer | Each layer: |
| Case 2 | [0/90/0] | Each layer: |
| Case 3 | [0/90/0/90] | Each layer: |
| Case 4 | [0/Core/0] | Face sheet: , Core: |
| Case 5 | [0/Core/90] | Face sheet: , Core: |
| Loading | Layup | Analytical Solutions | Finite Element (FE) Solutions | ||||
|---|---|---|---|---|---|---|---|
| Mesh Density | |||||||
| 2 by 2 | 4 by 4 | 8 by 8 | 16 by 16 | 32 by 32 | |||
| Case 1 | 1.66159 | 1.26559 | 1.64281 | 1.66051 | 1.66153 | 1.66159 | |
| Case 2 | 2.19845 | 1.83353 | 2.18186 | 2.19749 | 2.19839 | 2.19845 | |
| Case 3 | 2.03651 | 1.60041 | 2.01537 | 2.03528 | 2.03643 | 2.03650 | |
| Case 4 | 0.54663 | 0.43513 | 0.54148 | 0.54634 | 0.54662 | 0.54663 | |
| Case 5 | 0.73095 | 0.61316 | 0.72561 | 0.73064 | 0.73093 | 0.73095 | |
| Case 1 | 0.010552 | 0.009867 | 0.010498 | 0.010548 | 0.010551 | 0.010552 | |
| Case 2 | 0.010965 | 0.010213 | 0.010910 | 0.010962 | 0.010965 | 0.010965 | |
| Case 3 | 0.0087188 | 0.0080404 | 0.0086695 | 0.0087157 | 0.0087187 | 0.0087188 | |
| Case 4 | 0.016710 | 0.015622 | 0.016629 | 0.016705 | 0.016709 | 0.016710 | |
| Case 5 | 0.032876 | 0.030004 | 0.032685 | 0.032864 | 0.032875 | 0.032876 | |
| Theory | Element Type | DOFs per Node | Number of Node 32 Mesh Density) | Total DOFs |
|---|---|---|---|---|
| FSDT | C0 element | 5 | 3201 | 16,005 |
| HSDT | C0 element | 9 | 3201 | 28,809 |
| LCW | C0 element | 11 | 3201 | 35,211 |
| EFSDTM_TN | C0 element | 5 | 3201 | 16,005 |
Disclaimer/Publisher’s Note: The statements, opinions and data contained in all publications are solely those of the individual author(s) and contributor(s) and not of MDPI and/or the editor(s). MDPI and/or the editor(s) disclaim responsibility for any injury to people or property resulting from any ideas, methods, instructions or products referred to in the content. |
© 2024 by the authors. Licensee MDPI, Basel, Switzerland. This article is an open access article distributed under the terms and conditions of the Creative Commons Attribution (CC BY) license (https://creativecommons.org/licenses/by/4.0/).
Share and Cite
Gwak, Y.; Nguyen, S.-N.; Kim, J.-S.; Park, H.; Lee, J.; Han, J.-W. Improved Finite Element Thermomechanical Analysis of Laminated Composite and Sandwich Plates Using the New Enhanced First-Order Shear Deformation Theory. Mathematics 2024, 12, 963. https://doi.org/10.3390/math12070963
Gwak Y, Nguyen S-N, Kim J-S, Park H, Lee J, Han J-W. Improved Finite Element Thermomechanical Analysis of Laminated Composite and Sandwich Plates Using the New Enhanced First-Order Shear Deformation Theory. Mathematics. 2024; 12(7):963. https://doi.org/10.3390/math12070963
Chicago/Turabian StyleGwak, Yunki, Sy-Ngoc Nguyen, Jun-Sik Kim, Hyungbum Park, Jaehun Lee, and Jang-Woo Han. 2024. "Improved Finite Element Thermomechanical Analysis of Laminated Composite and Sandwich Plates Using the New Enhanced First-Order Shear Deformation Theory" Mathematics 12, no. 7: 963. https://doi.org/10.3390/math12070963
APA StyleGwak, Y., Nguyen, S.-N., Kim, J.-S., Park, H., Lee, J., & Han, J.-W. (2024). Improved Finite Element Thermomechanical Analysis of Laminated Composite and Sandwich Plates Using the New Enhanced First-Order Shear Deformation Theory. Mathematics, 12(7), 963. https://doi.org/10.3390/math12070963

