Next Article in Journal
A Source Identification Problem in Magnetics Solved by Means of Deep Learning Methods
Next Article in Special Issue
A System of Tensor Equations over the Dual Split Quaternion Algebra with an Application
Previous Article in Journal
Exploring Thermoelastic Effects in Damped Bresse Systems with Distributed Delay
Previous Article in Special Issue
A Representation of the Drazin Inverse for the Sum of Two Matrices and the Anti-Triangular Block Matrices
 
 
Font Type:
Arial Georgia Verdana
Font Size:
Aa Aa Aa
Line Spacing:
Column Width:
Background:
Article

On Lagrangian Grassmannian Variety and Plücker Matrices

by
Jesús Carrillo-Pacheco
Academia de Matemáticas, Universidad Autónoma de la Ciudad de México, Ciudad de México 09390, Mexico
Mathematics 2024, 12(6), 858; https://doi.org/10.3390/math12060858
Submission received: 18 January 2024 / Revised: 3 March 2024 / Accepted: 4 March 2024 / Published: 14 March 2024
(This article belongs to the Special Issue Advances of Linear and Multilinear Algebra)

Abstract

The Plücker matrix B L ( n , E ) of the Lagrangian Grassmannian L ( n , E ) , is determined by the linear envelope L ( n , E ) of the Lagrangian Grassmannian. The linear envelope L ( n , E ) is the intersection of linear relations of Plücker of Lagrangian Grassmannian, defined here. The Plücker matrix B L ( n , E ) is a direct sum of the incidence matrix of the configuration of subsets. These matrices determine the isotropy index r n and r n -atlas which are invariants associated with the symplectic vector space E.

1. Introduction

Given E a symplectic vector space of dimension 2 n , the set L ( n , E ) of all Lagrangian subspaces of E is called the Lagrangian Grassmannian of E. These spaces have a prominent role in symplectic geometry that, in the words of Dusa McDuffSymplectic geometry: is the geometry of closed skew-symmetric form, [ ] thus symplectic geometry is essentially topological in nature  [ ] ”, see [1]. In this article it is shown that the Lagrangian Grassmannian L ( n , E ) has a rich algebraic structure when we assign a coordinate system known as Plücker coordinates. For this we prove the existence of a matrix B L ( n , E ) , whose kernel contains all the Lagrangian subspaces of E. This matrix is built with the minimal family of linear form in ( n E ) * that nullify the Lagrangian Grassmannian under Plücker inclusion. another way of seeing B L ( n , E ) is as a sum of matrices of the family { L r n , L r n 1 , , L 2 } where L r n k , is a ( 0 , 1 ) -matrix, sparce, with r n k -ones in each row and r n ( k + 1 ) -ones in each column where k = 0 , , r n 2 and r n = n + 2 2 is an index that measures the degree of isotropy in E. In this paper, we have:
In Section 3 and Section 4 we construct a family of homogeneous polynomial equations whose solutions parameterize the elements of L ( n , E ) , we call this family of polynomials Plücker relations of Lagrangian Grassmannian. In Section 5 and Section 6 we show that the linear relations of Plücker of the Lagrangian-Grassmannain is the minimal family, up to linear combination, of homogeneous linear polynomials that nullify L ( n , E ) .
In Section 7 calculate the matrix B L ( n , E ) associated with the linear envelope L ( n , E ) of L ( n , E ) , we call this the Plücker matrix of the Lagrangian Grassmannian. We can see that B L ( n , E ) is the incidence matrix of a family of subsets of the set of indices I ( n , 2 n ) and so B L ( n , E ) is a direct sum of submatrices, each belonging to the set { L r n , L r n 1 , , L 2 } . Where L k is a sparce matrix of zeroes and ones with k-ones in each row and k 1 -ones in each column.
Section 8 the isotropy index  r n : = n + 2 2 is studied as an invariant of L ( n , E ) and that, among other things, allows us to compare Lagrangian Grassmannian.
De Concini and Lakshmibai [1981] [2] show that the Lagrangian Grassmannian L ( n , E ) is defined by quadratic relations. These relations are obtained by expressing L ( n , E ) as a linear section of G ( n , E ) , so L ( n , E ) = G ( n , E ) P ( L ( ω n ) ) , where P ( L ( ω n ) ) is the projectivization of a vector space L ω n such that n E L ω n n 2 E , where L ω n is S p 2 n ( F ) -representation of highest weight ω n = h 1 * + + h n * , and where L ( n , E ) P ( L ( ω n ) ) see [3] (pages 182–184), [2,4].
The advantage of our approach is that we have the equations { Q α , β , Π α r s } that define L ( n , E ) as a projective variety and with this we obtain a totally explicit information of L ( n , E ) as a linear section of the Grassmannian G ( n , E ) (see Theorem 6) and in this way, we can give a connection with matrix theory and symplectic geometry which opens a computational horizon in these topics. In [5] we show that the homogeneous linear functionals { Π α r s : α r s I ( n , 2 n ) } also allow us to describe the k-Grassmannian-Isotropic I G ( k , E ) , of a symplectic vector space E of dimension 2 n and we give the Plücker matrix of I G ( k , E ) which is a generalization of B L ( n , E ) . The following bibliography is relevant for this research in [6,7,8,9,10] we can see a few results about L ( n , E ) . See [9,11,12,13,14], where you can see some applications of { Π α r s : α r s I ( n , 2 n ) } .

2. Preliminaries

Using terminology and definitions as given in [15,16], let E be an vector space defined over an arbitrary field F . A symplectic form is a bilinear map
, : E × E F
that satisfies
v , w = w , v f o r a l l v , w E v , v = 0 f o r a l l v E a n d i f v , w = 0 f o r a l l v E w = 0
and it is said to be skew-symmetric nondegenerate. ( E , , ) is called a symplectic vector space, a symplectic vector space E is necessarily of even dimension and there is a basis e 1 , , e n , u 1 , u n of E such that
e i , e j = u i , u j = 0 y e i , u j = δ i j
where δ i j is the Kroneker delta function. A subspace U E is said to be isotropic if u , u = 0 for all u , u U . A subspace L E is said to be Lagrangian subspace if L is isotropic and dim ( L ) = n . The collection of Lagrangian subspace of E, we call it Lagrangian Grassmannian of E or simply Lagrangian Grassmannian we denote it by L ( n , E ) . A subspace W E is a symplectic subspace of E if the symplectic form in E when restricted to W remains symplectic.

Indices

Let m be an integer we denote
[ m ] : = { 1 , 2 , , m }
to the set of the first m integers. Let m and be positive integers such that < m as usual in the literature C m denotes binomial coefficient. If α = ( α 1 , , α ) N then, s u p p { α } : = { α 1 , , α } . If s 1 is a positive integer and Σ N is a non-empty set, we define the sets
C s ( Σ ) : = { α = ( α 1 , , α s ) N s : α 1 < < α s a n d s u p p { α } Σ }
if | Σ | = m then | C s ( Σ ) | = C m ; with this notation if < m we define I ( , m ) = C ( [ m ] ) . So we have
I ( , m ) = { α = ( α 1 , , α s ) : 1 α 1 < < α m } .
We say
α = ( α 1 , , α s ) C s ( Σ )
if there is a permutation σ such that arrange the elements of s u p p { α } in increasing order so we have ( σ ( α 1 ) , , σ ( α s ) ) C s ( Σ ) .
if α and β are elements of C s ( Σ ) then we say that
α = β s u p p { α } = s u p p { β } .
Let α I ( n , 2 n ) , suppose there are i , j s u p p α such that i + j = 2 n + 1 in this case j = 2 n i + 1 and we write this pair as P i = ( i , 2 n i + 1 ) so we define the set
Σ n : = P 1 , , P n
and if α I ( n , 2 n ) such that { i , 2 n i + 1 } s u p p { α } , then we say that P i s u p p { α } and that P i s u p p { α } Σ m , note that | s u p p P β | = 2 | s u p p β | .
If k n is a even integer with notation similar to (2) we define
C k 2 ( Σ n ) : = { P β = ( P β 1 , , P β k 2 ) : P β i Σ n a n d 1 β 1 < < β k 2 n } .
If 1 a 1 < a 2 < < a 2 k 2 n such that a i + a j 2 n + 1 then we define
Σ a 1 , , a 2 k = Σ n { P a 1 , , P a 2 k }
so | Σ a 1 , , a 2 k | = n 2 k .
We define the sets
( a 1 , , a 2 k ) × C n 2 ( k + 1 ) 2 ( Σ a 1 , , a 2 k ) : = : = { ( a 1 , , a 2 k , P θ ) I ( n 2 , 2 n ) | P θ C n 2 ( k + 1 ) 2 ( Σ a 1 , , a 2 k ) }
similarly we define ( a 1 , , a 2 k + 1 ) × C n ( 2 k + 3 ) 2 ( Σ a 1 , , a 2 k ) .
Lemma 1.
(A) 
Let n 4 be an even number such that r n = n + 2 2 , then
I ( n 2 , 2 n ) = C n 2 2 ( Σ n ) ( k = 1 r n 2 1 a 1 < < a 2 k 2 n a i + a j 2 n + 1 ( a 1 , , a 2 k ) × C n 2 ( k + 1 ) 2 ( Σ a 1 , , a 2 k ) ) .
(B) 
Let n 5 be an odd and such that r n = n + 1 2 , then
I ( n 2 , 2 n ) = j = 1 n C n 3 2 ( Σ n { P j } ) × { j } ( k = 1 r n 2 1 a 1 < < a 2 k + 1 2 n a i + a j 2 n + 1 ( a 1 , , a 2 k + 1 ) × C n ( 2 k + 3 ) 2 ( Σ a 1 , , a 2 k + 1 ) ) .
Proof. 
(A) Let n 4 even integer and let r n = n + 2 2 , then it is it is enough to prove the inclusion ⊆. If s u p p { α r s } Σ n then it exists P θ C n 2 2 ( Σ n ) such that α r s = P θ C n 2 2 ( Σ n ) . If 1 | s u p p { α r s } Σ n | < n 2 there are P θ C n 2 ( k + 1 ) 2 ( Σ a 1 , , a 2 k ) and ( a 1 , , a 2 k ) such that 1 a 1 < , < a 2 k 2 n and α r s = ( a 1 , , a 2 k , P θ ) ( a 1 , , a 2 k ) × C n 2 ( k + 1 ) 2 ( Σ a 1 , , a 2 k ) .
(B) If n 5 odd integer and let r n = n + 1 2 , analogously it is sufficient to show the ⊆.
Let α r s I ( n 3 , 2 n ) then if 1 | s u p p { α r s } Σ n | n 3 2 , if | s u p p { α r s } Σ n | = n 3 2 then α r s = ( P θ , j ) with P θ C n 3 2 ( Σ n { P j } ) .
If 1 | s u p p { α r s } Σ n | < n 3 2 then it exists 1 a 1 < < a 2 k + 1 2 n such that a i + a j 2 n and P θ C n ( 2 k + 3 ) 2 ( Σ a 1 , , a 2 k + 1 ) with α r s = ( a 1 , , a 2 k + 1 , P θ ) ( a 1 , , a 2 k + 1 ) × C n ( 2 k + 3 ) 2 ( Σ a 1 , , a 2 k + 1 )
with which the demonstration ends. □
Given a canonical basis B = { e 1 , , e n , u 1 , u n } , see [15], of symplectic vector space E, in this article, we redefine its elements as follows e 2 n : = u 1 , e 2 n 1 : = u 2 , e n + 1 : = u n and we have B = { e 1 , , e 2 n } such that
e i , e j = 1 if j = 2 n i + 1 , 0 otherwise .
For α = ( α 1 , , α n ) I ( n , 2 n ) , write
e α : = e α 1 e α n , e α r s : = e α 1 e ^ α r e ^ α s e α n ,
where e ^ α k means that the corresponding term is omitted.
Denote by n E the n-th exterior power of E, which is generated by { e α : α I ( n , 2 n ) } . For w = α I ( n , 2 n ) p α e α n E , the coefficients p α are the Plücker coordinates of w, see also [17] (p. 42). Writing w n E as w = α I ( n , 2 n ) P α e α , the vector
w ρ = [ p α ] α I ( n , 2 n ) P ( n E )
we call the Plücker vector of w.

3. Contraction Map

In this section, E is a symplectic vector space of dimension 2 n .
Definition 1.
The contraction map is defined as the linear transformation
f : n E n 2 E
f ( w 1 w n ) = 1 r < s n w r , w s ( 1 ) r + s 1 w 1 w ^ r w ^ s w n
where w ^ means that the corresponding term is omitted; see [18] (p. 283).
Lemma 2.
Let f the contraction map, and w = α I ( n , 2 n ) X α e α n E arbitrary element, in coordinates of Plücker, then the contraction map
f ( w ) = α r s I ( n 2 , 2 n ) ( i = 1 n X ( α r s , P i ) ) e α r s
where X α r s P i disappears from the equation i = 1 n X ( α r s , P i ) if | s u p p { α r s P i } | n .
Proof. 
Let w = α I ( n , 2 n ) X α e α n E arbitrary element then
f ( w ) = α I ( n , 2 n ) X α f ( e α ) = α I ( n , 2 n ) X α ( 1 r < s n e α r , e α s 1 r + s 1 e α r s ) = 1 r < s n ( i = 1 n X ( α r s , ( i , 2 n i + 1 ) ) e i , e 2 n i + 1 1 [ i + 2 n i + 1 ] 1 ) e α r s = α r s I ( n 2 , 2 n ) ( i = 1 n X ( α r s , P i ) ) e α r s
where clearly X ( α r s P i ) disappears from the equation if | s u p p { α r s P i } | n .
Let ψ : E E a symplectomorphism that sends the symplectic basis { e i } i = 1 2 n in the symplectic basis { ϵ i } i = 1 2 n such that ψ ( e i ) = ϵ i then let us consider the following linear transformations defined in generators ψ n : n E n E such that ψ n ( e α ) = ϵ α and ψ n 2 : n 2 E n 2 E such that ψ n 2 ( e α r s ) = ϵ α r s .
Lemma 3.
Let f : n E n 2 E the contraction map then the following diagram commutes
Mathematics 12 00858 i001
that is to say f ψ n = ψ n 2 f .

4. Plücker Relations of Lagrangian Grassmannian

For an m-dimensional vector space E, denote by G ( , E ) the set of vector subspaces of dimension of E. The Grassmannian G ( , E ) is a algebraic variety of dimension ( m ) and can be embedded in a projective space P c 1 , where c = m by Plücker embedding. The Plücker embedding is the injective mapping ρ : G ( , E ) P ( E ) given on each W G ( , E ) by choosing a basis w 1 , , w of W and then mapping the vector subspace W G ( , E ) to the tensor w 1 w E . Since choosing a different basis of W changes the tensor w 1 w by a nonzero scalar, this tensor is a well-defined element in the projective space P ( E ) P N 1 , where N = C m = dim F ( E ) . If w = α I ( , m ) P α e α P ( E ) , then w G ( , E ) if and only if for each pair of tuples 1 α 1 < < α 1 m and 1 β 1 < < β + 1 m , the Plücker coordinates of w satisfy the Plücker relations
Q α , β : = i = 1 + 1 ( 1 ) i P α 1 α 1 β i P β 1 , β 2 β i ^ β + 1 = 0 ,
where β i ^ means that the corresponding term is omitted and where α = ( α 1 , , α 1 ) I ( 1 , m ) , β = ( β 1 , , β i , , β + 1 ) I ( + 1 , m ) , see [17] (Section 4) and [19]. Under the inclusion of Plücker the Lagrangian Grassmannian is given by
L ( n , E ) = { w 1 w n G ( n , E ) : w i , w j = 0 for all 1 i < j n }
Lemma 4.
L ( n , E ) = G ( n , E ) ker f .
Proof. 
Using the Definition 1 we clearly have L ( n , E ) G ( n , E ) ker f given that w r , w s = 0 for all 1 r < s 2 n .
Let v 1 v n G ( n , E ) ker f then { w 1 w ^ r w ^ s w n } 1 r < s 2 n is a family of linearly independent vectors in n 2 E more over by hypothesis f ( w 1 w n ) = 0 then w r , w s = 0 for all 1 r < s 2 n and so G ( n , E ) ker f L ( n , E ) . □
The proof of the following lemma is a consequence of the Lemma 2 where the kernel of the contraction map f is characterized as follows
Lemma 5.
Let w = α I ( n , 2 n ) X α e α n E written in Plücker coordinates, then we have
w ker f i = 1 n X α r s P i = 0 , for all α r s I ( n 2 , 2 n ) .
where X α r s P i disappears from the equation if | s u p p { α r s P i } | n .
For all α r s I ( n 2 , 2 n ) we define a homogeneous linear polynomial
Π α r s = i = 1 n c α r s P i X α r s P i ( n E ) *
where
c α r s P i = 1 if | supp { α r s P i } | = n , 0 otherwise ,
Remark 1.
Throughout this article, we write the Equation (16) simply as
Π α r s = i = 1 n X α r s P i
where the addend X α r s P i disappears from the Equation (17) if | s u p p { α r s P i } | n .
Corollary 1.
ker f is independent of the symplectic basis and
ker f = α r s I ( n 2 , 2 n ) ker Π α r s .
Proof. 
From the Lemma 2, we have f ψ n = ψ n 2 f so then ker f ψ n = ker ψ n 2 f = ker f since ψ n 2 is an isomorphism and then ker f = α r s I ( n 2 , 2 n ) ker Π α r s . □
Following [20] for definitions of algebraic set, we have below that ker f , G ( n , E ) and L ( n , E ) are algebraic sets in P ( n E )
ker f = Z Π α r s : α r s I ( n 2 , 2 n ) .
So we have to G ( n , E ) is an algebraic set of
G ( n , E ) = Z Q α , β : α I ( 1 , m ) , β I ( + 1 , m )
see (14).
Theorem 1.
Let E symplectic vector space of dimension 2 n then
L ( n , E ) = Z Q α , β , Π α r s
where Q α , β and Π α r s are as in (14) and (16), respectively.
Proof. 
Of Lemma 4, (20) and (19) we have
L ( n , E ) = G ( n , E ) ker f = Z Q α , β Z Π α r s = Z Q α , β , Π α r s
Definition 2.
To the set of homogeneous polynomials
{ Q α , β , Π α r s }
where α = ( α 1 , , α n 1 ) I ( n 1 , 2 n ) , β = ( β 1 , β i , , β n + 1 ) I ( n + 1 , 2 n ) , we call it relations of Pücker of Lagrangian Grassmannian. To the set of linear homogeneous polynomials
{ Π α r s : α r s I ( n 2 , 2 n ) }
we call it linear relations of Plücker of the Lagrangian Grassmannian.
Example 1.
In the case L ( 2 , E ) we have the relations of Plücker of Lagrangian Grassmannian
Q : = X 12 X 34 X 13 X 24 + X 14 X 23 = 0 Π : = X 14 + X 23 = 0
Example 2.
The linear relations of Plücker of L ( 3 , E ) are
Π 1 = X P 2 , 1 + X P 3 , 1 Π 2 = X P 1 , 2 + X P 3 , 2 Π 3 = X P 1 , 3 + X P 2 , 3 Π 4 = X P 1 , 4 + X P 5 , 4 Π 5 = X P 1 , 5 + X P 3 , 5 Π 6 = X P 2 , 6 + X P 3 , 6 .
Example 3.
In the case L ( 4 , E ) it was shown in [21] (example 4) that linear relations { Π α r s : α r s I ( 2 , 8 ) } consists of 28 homogeneous linear equations in 70 variables.

Ideal of L ( n , E )

The ideal of L ( n , E ) in F [ X α ] α I ( n , 2 n ) is defines by
I ( L ( n , E ) ) = { f F [ X α ] α I ( n , 2 n ) : f ( w ) = 0 f o r a l l w L ( n , E ) } .
Proposition 1.
If the field of definition of the symplectic vector, space E is algebraically closed then
I ( L ( n , E ) ) = Q α , β , Π α r s
so L ( n , E ) is a projective variety.
Proof. 
By the Theorem 1 we have L ( n , E ) = Z Q α , β , Π α r s and by Hilbert’s Nullstellensatz theorem, see [20] (Theorem 1.3 A), the result is fulfilled. □
Let F q be a finite field with q elements, and denote by F ¯ q an algebraic closure of F q . For a vector space E over F q of finite dimension k, let E ¯ = E F q F ¯ q be the corresponding vector space over the algebraically closed field F ¯ q . We will be considering algebraic varieties in the projective space P ( E ¯ ) = P k 1 ( F ¯ q ) . Recall that a projective variety X P k 1 ( F ¯ q ) is defined over the finite field F q if its vanishing ideal can be generated by polynomials with coefficients in F q . If E is a symplectic vector space, of dimension 2 n define over a finite field F q , then the rational points of L ( n , E ) are defined as the set
L ( n , E ) ( F q ) : = Z Q α , β , Π α r s , x ϵ q x ϵ
where α I ( n 1 , 2 n ) , β I ( n + 1 , 2 n ) , α r s I ( n 2 , 2 n ) and ϵ I ( n , 2 n ) more over
| L ( n , E ) ( F q ) | = Π i = 1 n ( 1 + q i )
see [22] (Prop. 2.14).
We define the ideal I F ¯ q F [ x α ] α I ( n , 2 n ) as
I F ¯ q = Q α , β , Π α r s , g ϵ
where α I ( n 1 , 2 n ) , β I ( n + 1 , 2 n ) , α r s I ( n 2 , 2 n ) , ϵ I ( n , 2 n ) y g ϵ = x ϵ q x ϵ .
Lemma 6.
The ideal I F ¯ q is radical
Proof. 
The ideal I F ¯ q is zero-dimensional since the set of solutions to the homogeneous polynomial equations
| S o l { Q α , β , Π α r s , g ϵ } | <
given that (26) implies | S o l { Q α , β , Π α r s , g ϵ } | = | L ( n , E ) ( F q ) | moreover g ϵ = q x ϵ q 1 1 = 1 so g c d ( g ϵ , g ϵ ) = 1 , and by Seindeber’s lemma, ver [23] (Proposition 3.7.15), I F ¯ q is radical. □
Let t : = Z h 1 , h 2 , , h t P ( n E ) a hyperplane of codimension t, we say that L ( n , E ) t is a linear section of the Lagrangian Grassmannian and let
I t : = Q α , β , Π r s , x ϵ q x ϵ , h 1 , h 2 , , h t .
Lemma 7.
Suppose the basis field F q is perfect then the linear section of the Lagrangian Grassmannian satisfies | L ( n , E ) ( F q ) t | = dim F q F [ x α ] α I ( n , 2 n ) I t .
Proof. 
Given the | L ( n , E ) t | | L ( n , E ) | then the ideal I r is zero dimensional, m c d ( g α , g α ) = 1 , thus by Seindeber’s lemma we have that the ideal I t is radical. □

5. Factorable Morphisms

Let 1 < α ¯ k < < 2 n α ¯ k + 1 < 2 n two integers, we define
S : = [ 2 n ] { α ¯ k , 2 n α ¯ k + 1 }
with the notation (2) we define
I α ¯ k ( n 1 , 2 n 2 ) : = C n 1 { S } .
Let
ϕ α ¯ k : = { ( β , α ¯ k ) I ( n , 2 n ) : β I α ¯ k ( n 1 , 2 n 2 ) } .
For e α ¯ k B be a basic vector and let = e α ¯ k E generated by the vector e α ¯ k and
U ( ) = { W L ( n , E ) : W } .
In [16] (Lemma 1.4.38) it shows that there is a one-to-one correspondence between U ( ) and L ( n 1 , / ) , where / is a symplectic vector space of dimension 2 n 2 , generated by the symplectic basis { e 1 + , , e ^ α ¯ k + , , e ^ 2 n α ¯ k + 1 + , , e 2 n + } , recall ^ means that the term was omitted.
As consequence we have U ( ) = e α ¯ k ( L ( n 1 , / ) ) and
U ( ) = L ( n 1 , / ) e α ¯ k
so in Plücker coordinates we have
U ( ) = ( w L ( n , E ) : w = ( β , α ¯ k ) ϕ α ¯ k p ( β , α ¯ k ) e ( β , α ¯ k ) ) .
X β : = e β + * denotes the basis vector of the dual vector space n 1 / * and X β X α ¯ k : = e ( β , α ¯ k ) * the basis vector of dual vector space n E * . Now with this notation we define in generators an injective linear transformation
ξ : ( n 1 ( / ) ) * ( n E ) * X β X β X α ¯ k
with β I α ¯ k ( n 1 , 2 n 2 ) and X β X α ¯ k = X ( β , α ¯ k ) .
Definition 3.
We say that h = α I ( n , 2 n ) A α I ( n , 2 n ) X α I ( n , 2 n ) ( n E ) * is factored if h = h 0 X α ¯ k for some h 0 ( n 1 / ) * where = e α ¯ k and 1 α ¯ k 2 n . We say h satisfies the factoring property if there are at least one coefficient A α ¯ 0 and there are at least one element α ¯ k s u p p { α ¯ } such that 2 n α ¯ k + 1 s u p p { α ¯ } .
Example 4.
The homogeneous linear polynomials given in the Example 2 are factored
Π 1 = ( X P 2 + X P 3 ) X 1 Π 2 = ( X P 1 + X P 3 ) X 2 Π 3 = ( X P 1 + X P 2 ) X 3 Π 4 = ( X P 1 + X P 5 ) X 4 Π 5 = ( X P 1 + X P 3 ) X 5 Π 6 = ( X P 2 + X P 3 ) X 6
Proposition 2.
Let h ( n E ) * such that h ( L ( n , E ) ) = 0 and h = h 0 X α ¯ k is factored. Then h 0 ( L ( n 1 , / ) ) = 0 where = e α ¯ k .
Proof. 
U ( ) = L ( n 1 , / ) e α ¯ L ( n , E ) then h ( U ( ) ) = 0 and
h ( U ( ) ) = h ( L ( n 1 , / ) e α ¯ k ) = ( h 0 X α ¯ k ) ( L ( n 1 , / ) e α ¯ k ) = h 0 ( L ( n 1 , / ) ) · X α ¯ k ( e α ¯ k ) = 0
h 0 ( L ( n 1 , / ) ) = 0 .
We denote by β r s = ( β 1 , , β ^ r , , β ^ s , , β n 1 ) I α ¯ k ( n 3 , 2 n 2 ) , where ^ means that the corresponding term is omitted. We define
Π ( β r s , α ¯ k ) : = i = 1 n X ( β r s , α ¯ k ) P i
an element of in ( n E ) * such that | s u p p { ( β r s , α ¯ k ) P i } | = n .
Lemma 8.
Let β r s I α ¯ k ( n 3 , 2 n 2 ) where 1 r < s 2 n and r , s S see (28) then
U ( ) β r s I α ¯ k ( n 3 , 2 n 2 ) ker Π ( β r s , α ¯ k ) .
Proof. 
Let w U ( ) be from (33) we have w = β I α ¯ k ( n 1 , 2 n 2 ) X ( β , α ¯ k ) e ( β , α ¯ k ) and f ( w ) = 0 for f contraction map, we have
f ( w ) = β I α ¯ k ( n 1 , 2 n 2 ) X ( β , α ¯ k ) f ( e ( β , α ¯ k ) ) =
= β I α ¯ k ( n 1 , 2 n 2 ) X ( β , α ¯ k ) ( 1 r < s n e α r , e α s ( 1 ) r + s 1 e ( β , α ¯ k ) r s )
= 1 r < s n ( 1 ρ 1 < ρ 2 n X ( β r s , α ¯ k , ρ 1 , ρ 2 ) e ρ 1 , e ρ 2 ( 1 ) ρ 1 + ρ 2 1 ) e ( β , α ¯ k ) r s = 0
then
1 ρ 1 < ρ 2 n X ( β r s , α ¯ k , ρ 1 , ρ 2 ) ( 1 ) ρ 1 + ρ 2 1 e ρ 1 , e ρ 2 = 0 .
where β r s I α ¯ k ( n 3 , 2 n 2 ) and as stated before ( β r s , α ¯ k , ρ 1 , ρ 2 ) I ( n , 2 n ) . Now e ρ 1 , e ρ 2 = 1 iff ρ 1 + ρ 2 = 2 n + 1 , note that with this condition we have ( 1 ) ρ 1 + ρ 2 1 = 1 . Renaming ρ 1 = i , we have ρ 2 = 2 n i + 1 . Then
1 ρ 1 < ρ 2 n X ( β r s , α ¯ k ) ρ 1 ρ 2 = i = 1 n X ( β r s α ¯ k ) P i = 0
for all β r s I α ¯ k ( n 3 , 2 n 2 ) , that is U ( ) ker Π ( β r s , α ¯ k ) where
Π ( β r s , α ¯ k ) : = i = 1 n X ( β r s α ¯ k ) P i
for all ( β r s , α ¯ k ) I α ¯ k ( n 3 , 2 n 2 ) × { α ¯ k } .
Remark 2.
Note that
{ Π ( β r s , α ¯ k ) : β r s I α ¯ k ( n 3 , 2 n 2 ) } { Π α r s : α r s I ( n 2 , 2 n ) }
for all 1 r < s 2 n 2 .

6. Linear Envelope of L ( n , E )

In this section, E is a symplectic vector space of dimension 2 n .
H : = h ( n E ) * : h ( L ( n , E ) ) = 0
Remark 3.
Sometimes in (37), it is necessary to distinguish the even case from the odd case so we write H e v e n n ( n E ) * to n even number and H o d d n ( n E ) * for n odd number.
Lemma 9.
H is a nontrivial vector subspace of ( n E ) *
Proof. 
The proof follows from (18) given that L ( n , E ) ker f , so Π α r s : α r s I ( n 2 , 2 n ) is a vector subspace of H . □
Let h H to the set H h : = ker h we call it a hyperplane containing L ( n , E ) .
Definition 4.
The Linear Envelope L ( n , E ) of L ( n , E ) is the smallest linear variety that contains L ( n , E ) in P ( n E ) .
The proof of the following corollary follows directly from the Definition 4.
Corollary 2.
L ( n , E ) = h H H h .
Proposition 3.
Let h = α I ( n , 2 n ) A α X α H and A α ¯ 0 a coefficient different from zero of h then it exists { α ¯ i , α ¯ j } s u p p { α ¯ } such that α ¯ i + α ¯ j = 2 n + 1 .
Proof. 
Suppose that for each { α ¯ i , α ¯ j } s u p p { α ¯ } you have to α ¯ i + α ¯ j 2 n + 1 this means that e α ¯ i , e α ¯ j = 0 then e α ¯ = e α ¯ 1 e α ¯ n L ( n , E ) and so then h ( e α ¯ ) = A α ¯ = 0 which is a contradiction. Then there are { α ¯ i , α ¯ j } s u p p { α ¯ } such that α ¯ i + α ¯ j = 2 n + 1 . □
For each P θ C n 2 2 ( Σ n ) , we define
h P θ = i = 1 n A P θ P i X P θ P i
for each ( a 1 , , a 2 k , P θ ) { ( a 1 , , a 2 k ) } × C n 2 ( k + 1 ) 2 ( Σ a 1 , , a 2 k ) we define
h ( a 1 , , a 2 k , P θ ) = i = 1 n A ( a 1 , , a 2 k , P θ ) X ( a 1 , , a 2 k , P θ ) .
Similarly
for each 1 j n and ( P θ , j ) C n 3 2 ( Σ n { P j } ) × { j } we define
h P ( θ , j ) = i = 1 n A ( P θ , j , P i ) X ( P θ , j , P i )
for each ( a 1 , , a 2 k + 1 , P θ ) { ( a 1 , , a 2 k + 1 ) } × C n ( 2 k + 3 ) 2 ( Σ a 1 , , a 2 k + 1 ) we define
h ( a 1 , , a 2 k + 1 , P θ ) = i = 1 n A ( a 1 , , a 2 k + 1 , P θ ) X ( a 1 , , a 2 k + 1 , P θ ) .
Corollary 3.
Let E symplectic vector space of dimention 2 n
(i) 
If n 4 even, r n = n + 2 2 and let h H e v e n n then
h = P θ C n 2 2 ( Σ n ) h P θ + k = 1 r n 2 ( a 1 , , a 2 k , P θ ) h ( a 1 , a 2 k , P θ )
with P θ C n 2 ( k + 1 ) 2 ( Σ a 1 , , a 2 k ) such that 1 a 1 < < a 2 k 2 n and a i + a j 2 n + 1 .
(ii) 
If n 5 odd, r n = n + 1 2 and let h H o d d n then
h = j = 1 n ( P θ , j ) C n 3 2 ( Σ n { P j } ) × { j } h ( P θ , j ) + k = 1 r n 2 ( a 1 , , a 2 k + 1 , P θ ) h ( a 1 , a 2 k + 1 , P θ )
with P θ C n ( 2 k + 3 ) 2 ( Σ a 1 , , a 2 k + 1 ) such that 1 a 1 < < a 2 k + 1 2 n + 1 and a i + a j 2 n + 1 .
Proof. 
The proof follows directly from the Lemma 1 and Proposition 3. □
Lemma 10.
Let E symplectic vector space of dimension 4, and h ( 2 E ) * such that h ( L ( 2 , E ) ) = 0 then h = A Π for A a non-zero constant and Π : = X P 1 + X P 2 .
Proof. 
Clearly by Proposition 3 each h H e v e n 2 it is of the form h = A 14 X 14 + A 23 X 23 it is easy see that e 12 + e 14 e 23 + e 34 L ( 2 , E ) since it satisfies the Equation (24) more over h ( e 12 + e 14 e 23 + e 34 ) = A 14 A 23 = 0 consequently h = A Π where A = A 14 = A 23 .
Theorem 2.
Let E symplectic vector space of dimension 2 n , h ( n E ) * such that h ( L ( n , E ) ) = 0 and h = h 0 X α ¯ k is factored then h Π α r s : α r s I ( n 2 , 2 n ) F .
Proof. 
The proof is by induction on n. If n = 2 it follows from Lemma 10.
We induction hypothesis is, let E symplectic vector space of dimension 2 m with m < n and h 0 ( m E ) * such that h 0 ( L ( m , E ) ) = 0 then h 0 Π β r s : β r s I ( n 3 , 2 n 2 ) .
If h ( n E ) * such that h ( L ( n , E ) ) = 0 and h = h 0 X α ¯ k is factored, then by Lemma 2 h 0 ( L ( n 1 , / ) ) = 0 where = e α ¯ k then by induction step h 0 Π β r s : β r s I α ¯ ( n 3 , 2 n 2 ) so h = h 0 X α ¯ k Π β r s X α ¯ k : β r s I α ¯ ( n 3 , 2 n 2 ) Π α r s : α r s I ( n 2 , 2 n ) . □
Proposition 4.
Let h = α I ( n , 2 n ) A α X α ( n E ) * such that h ( L ( n , E ) ) = 0 and satisfies the factoring property from the Definition 3, then h Π α r s : α r s I ( n 2 , 2 n ) or h = h + h , where h Π α r s : α r s I ( n 2 , 2 n ) and h satisfies that s u p p { α } Σ n for all coefficients A α 0 moreover h ( L ( n , E ) ) = 0 .
Proof. 
The proof is by induction on n. If n = 2 it follows from Lemma 10.
Induction Step): Let E symplectic vector space of dimension 2 m with m < n and h 0 ( m E ) * such that h 0 ( L ( m , E ) ) = 0 then h 0 Π β r s : β r s I ( n 3 , 2 n 2 ) .
Let A α ¯ a non-zero coefficient that satisfies the factoring property, from the Definition 3, then there is α ¯ k s u p p { α ¯ } but 2 n α ¯ k + 1 s u p p { α ¯ } . Now let ϕ α ¯ k = { ( β , α ¯ k ) I ( n , 2 n ) : β I α ¯ k ( n 1 , 2 n 2 ) } as in (30). So if h = Σ α I ( n , 2 n ) A α X α ( n E ) * then h = Σ α ϕ α ¯ k A α X α + Σ α ϕ α ¯ k c A α X α where I ( n , 2 n ) = ϕ α ¯ k ϕ α ¯ k c . We define homogeneous linear polynomials h : = Σ α ϕ α ¯ k A α X α and h : = Σ α ϕ α ¯ k c A α X α such that h , h ( n E ) * and h = h + h so h = ( β , α ¯ k ) ϕ α ¯ k A ( β , α ¯ k ) X ( β , α ¯ k ) and h = α ϕ α ¯ k c A α X α . Note that h 0 , because as we mentioned before α ¯ ϕ α ¯ k , from (33) we have that h ( U ( ) ) = 0 that is h ( U ( ) ) = h ( U ( ) ) , since h ( L ( n , E ) ) = 0 we obtain h ( U ( ) ) = 0 moreover h = h 0 X α ¯ k with h 0 = β I α ¯ k ( n 1 , 2 n 2 ) A β X β ( n 1 / ) * where A β = A ( β , α ¯ k ) then by Proposition 2 we have h 0 ( L ( n 1 , / ) ) = 0 then h = h 0 X α ¯ k Π β r s X α ¯ k : β r s I α ¯ k ( n 3 , 2 n 2 ) } Π α r s : α r s I ( n 2 , 2 n ) . Given that h ( L ( n , E ) ) = ( h h ) ( L ( n , E ) ) = 0 and if h satisfies the factoring property from the Definition 3 continuing recursively in the same way, the process ends in a finite number of steps in h Π α r s : α r s I ( n 2 , 2 n ) or h = h + h , where h Π α r s : α r s I ( n 2 , 2 n ) and h 0 with s u p p { α } Σ n for all coefficients A α 0 and h ( L ( n , E ) ) = 0 . □
Corollary 4.
Let E symplectic vector space of dimension 2 n
(a) If n 5 odd then H o d d n = Π α r s : α r s I ( n 2 , 2 n )
(b) If h H e v e n n then h = h + h such that h Π α r s : α r s I ( n 2 , 2 n ) F and h satisfies that s u p p { α } Σ n for all coefficients A α 0 and h ( L ( n , E ) ) = 0 .
Proof. 
(a) If h H o d d n then by Corollary 3 ( i i )
h = j = 1 n ( P θ , j ) C n 3 2 ( Σ n { P j } ) × { j } h ( P θ , j ) + k = 1 r 2 ( a 1 , , a 2 k + 1 , P θ ) h ( a 1 , a 2 k + 1 , P θ )
with P θ C n 2 ( k + 3 ) 2 ( Σ a 1 , , a 2 k + 1 ) such that 1 a 1 < < a 2 k + 1 2 n + 1 and a i + a j 2 n + 1 satisfies the factoring property for all non-zero coefficients of h then by Proposition 4 we have h Π α r s : α r s I ( n 2 , 2 n )
(b) If h H e v e n n then by Corollary 3 we have h = h + h where h = P θ C n 2 2 ( Σ n ) h P θ and h = k = 1 r 2 ( a 1 , , a 2 k , P θ ) h ( a 1 , a 2 k , P θ ) with P θ C n 2 ( k + 3 ) 2 ( Σ a 1 , , a 2 k + 1 ) such that 1 a 1 < < a 2 k + 1 2 n + 1 and a i + a j 2 n + 1 . Clearly h satisfies factoring property of the Definition 3 for all non-zero coefficients of h , so by Proposition 4 we have h Π α r s : α r s I ( n 2 , 2 n ) F and each coefficient A P θ 0 of h satisfies that s u p p { P θ } C n 2 2 ( Σ n ) and h ( L ( n , E ) ) = 0 . □
For P θ : = ( P θ 1 , , P θ n 2 ) C n 2 ( Σ n ) an arbitrary element where 1 θ 1 < < θ n 2 n we say that
θ 1 = min s u p p { P θ }
For Ω C n 2 ( Σ n ) an arbitrary subset then there are a partition of Ω of the form
Ω = j = 1 t Ω k j
where
Ω k j : = { P θ Ω : k j = min s u p p { P θ } }
to j { 1 , , t } and 1 k 1 < < k t n .
h Ω = j = 1 t ( P θ ¯ j Ω k j ( i = 1 r A P k j , P θ 2 j , P θ n 2 2 j P ϵ i j X P k j , P θ 2 j , P θ n 2 2 j P ϵ i j ) ) .
where P θ ¯ j : = P k j , P θ 2 j , P θ n 2 2 j P ϵ i j
Lemma 11.
Let E symplectic vector space of dimention 2 n , Ω C n 2 2 ( Σ n ) non-empty set and h Ω ( n E ) * such that h Ω ( L ( n , E ) ) = 0 then h Ω Π α r s : α r s I ( n 2 , 2 n ) .
Proof. 
Let h Ω = j = 1 t ( P θ ¯ j Ω k j ( i = 1 r A P k j , P θ 2 j , P θ n 2 2 j P ϵ i j X P k j , P θ 2 j , P θ n 2 2 j P ϵ i j ) ) and without loss of generality we can assume that A P k j , P θ 2 j , P θ n 2 2 j P ϵ 1 j 0 for all j { 1 , , t } . Now let Π ¯ : = j = 1 t ( P θ ¯ j Ω k j A P k j , P θ 2 j , P θ n 2 2 j P ϵ 1 j Π P k j , P θ 2 j , P θ n 2 2 j ) Π α r s : α r s I ( n 2 , 2 n ) We define
h ¯ Ω : = h j = 1 t Ω k j Π ¯ = j = 1 t ( P θ ¯ j Ω k j ( i = 2 r ( A P k j , P θ 2 j , P θ n 2 2 j P ϵ i j A P k j , P θ 2 j , P θ n 2 2 j P ϵ 1 j ) X P θ 2 j , P θ n 2 2 j P ϵ i j k j ) X 2 n k j + 1
then for each 1 j t we define
h ( 0 , k j ) : = P θ j Ω k j ( i = 2 r ( A P k j , P θ 2 j , P θ n 2 2 j P ϵ i j A P k j , P θ 2 j , P θ n 2 2 j P ϵ 1 j ) X P θ 2 j , P θ n 2 2 j P ϵ i j k j
such that
h ¯ Ω = j = 1 t ( h ( 0 , k j ) X 2 n k j + 1 )
Let 1 j 0 t a fixed element, j 0 = e j 0 E and L ( n 1 , j 0 / j 0 ) e 2 n k j 0 + 1 L ( n , E ) then
h ¯ Ω ( L ( n 1 , j 0 / j 0 ) e 2 n k j 0 + 1 ) = = ( j = 1 t ( h ( 0 , k j ) X 2 n k j 0 + 1 ) ) ( L ( n 1 , j 0 / j 0 ) e 2 n k j 0 + 1 ) = = h ( 0 , k j 0 ) ( L ( n 1 , j 0 / j 0 ) ) · X 2 n j 0 + 1 ( e 2 n j 0 + 1 ) = = h ( 0 , k j 0 ) ( L ( n 1 , j 0 / j 0 ) ) .
Moreover, h ¯ Ω ( L ( n , E ) ) = 0 implies h ( 0 , k j 0 ) ( L ( n 1 , j 0 / j 0 ) ) = 0 so by Corollary 4 ( a ) given that n 1 is odd number and h ( 0 , k j 0 ) ( n 1 j 0 / j 0 ) * we have h 0 Π β r s : β r s I k j 0 ( n 3 , 2 n 2 ) so
h ( 0 , k j 0 ) X 2 n k j 0 + 1 Π ( β r s , k 2 n j 0 + 1 ) : ( β r s , k 2 n j 0 + 1 ) I ( n 2 , 2 n ) Π α r s : α r s I ( n 2 , 2 n )
then h ¯ Ω = j = 1 t ( h ( 0 , k j ) X 2 n k j + 1 ) Π α r s : α r s I ( n 2 , 2 n ) . □
Corollary 5.
If n 4 even then H e v e n n = Π α r s : α r s I ( n , 2 n ) .
Proof. 
By Corollary 4(b) and by the Lemma 11, we have Π α r s : α r s I ( n , 2 n ) H e v e n n . □
Theorem 3.
Let E be a symplectic vector space of dimension 2 n then
(I) 
H = Π α r s : α r s I ( n , 2 n )
(II) 
L ( n , E ) = P ( ker f ) .
Proof. 
( I ) From the Corollary 4 ( a ) and Corollary 5 we have H = Π α r s : α r s I ( n , 2 n )
( I I ) By (I) above, Corollary 2 and (18) we have
L ( n , E ) = h H H h = α r s I ( n 2 , 2 n ) ker Π α r s = ker f .
Lemma 12.
Let g : n E n 2 E a linear transformation such that g ( L ( n , E ) ) = 0 then g ( ker f ) = 0 .
Proof. 
g ( L ( n , E ) ) = 0 we have L ( n , E ) ker g so ker f ker g that is g ( ker f ) = 0 . □
Corollary 6.
Suppose the contraction map f is surjective and suppose G : n E n 2 E is a surjective linear transformation that vanishes L ( n , E ) then there exists a unique isomorphism such that G = h f .
Proof. 
By Lemma 12 we have ker f ker G , more over ker f = ker G since both have the same dimension because f and G are surjective, then there exists a unique linear isomorphism h that makes the following diagram commute.
Mathematics 12 00858 i002
and so we have to G = h f . □
Corollary 7.
Suppose the contraction map f is surjective then
(i) 
If H is a matrix of order C n 2 2 n × C n 2 n and maximum rank that annuls L ( n , E ) , then H = P B L ( n , E ) , where P is an invertible matrix.
(ii) 
Suppose that there exists R matrix such that L ( n , E ) = G ( n , E ) ker R . Then R = P B L ( n , E ) where P is an invertible matrix.
Proof. 
The proof of (i) follows directly from the Lemma 6. For the (ii) suppose that R = h 1 h 2 h ϵ is a rank matrix ϵ such that L ( n , E ) = G ( n , E ) ker R , then L ( n , E ) ker R and ϵ C n 2 n . If ϵ = C n 2 n the affirmation is followed by the previous clause of this lemma. Now suppose that t < C n 2 n then ker B L ( n , E ) ker R ; this implies that
L ( n , E ) = G ( n , E ) ker B L ( n , E ) G ( n , E ) ker R = L ( n , E ) ,
which is a contradiction and therefore ϵ = C n 2 n . □

7. The Plücker Matrix of the Lagrangian Grassmannian

Definition 5.
Let E symplectic vector space of dimension 2 n defined over an arbitrary field F arbitrary. The matrix
B L ( n , E )
of order C n 2 2 n × C n 2 n associated to the linear equations system { Π α r s : α r s I ( n 2 , 2 n ) } we call the Plücker matrix of the Lagrangian Grassmannian.
The main result of this section is
Theorem 4.
Let E symplectic vector space of dimension 2 n and let r n = n + 2 2 , then there exists a family
A = { L r n , L r n 1 , , L 2 }
of ( 0 , 1 ) -matrices, regular, sparse such that
(A) 
If n 4 be an even integer and 1 k r n 2 , then
B L ( n , E ) = L r n k = 1 r n 2 ( 1 a 1 < < a 2 k 2 n a i + a j 2 n + 1 L r n k ( a 1 , , a 2 k ) )
where L r n k ( a 1 , , a 2 k ) is a copy of L r n k , for each 1 k r n 2 .
(B) 
If n 5 be an odd integer then B L ( n , E )
B L ( n , E ) = L r n n k = 1 r n 2 ( 1 a 1 < a 2 < < a 2 k + 1 2 n a i + a j 2 n + 1 L r n k ( a 1 , a 2 , , a 2 k + 1 ) )
where L r n k ( a 1 , a 2 , , a 2 k + 1 ) is a copy of L r n k for each 1 k r n 2 and L r n n = L r n L r n n-times.

7.1. Configuration of Subsets

Following [24] (p. 3) we call X = { x 1 , , x n } an n-set. Now let X 1 , X 2 , , X m be m distinct subsets of the n-set X. We refer to this collection of subsets of an n-set as a configuration of subsets. We set a i j = 1 if x j X i and we set a i j = 0 if x j X i . The resulting ( m × n ) -matrix A = ( a i , j ) , i = 1 , , m , j = 1 , , n of size m by n is the incidence matrix for the configurations of subsets X 1 , X 2 , , X m of the n-set X. The 1 s in row i of A display the elements in the subsets X j and the 1 s in column j display the occurrences of the element x j among the subsets. If a matrix A has all its coefficients equal 0 or 1 is called a ( 0 , 1 ) -matrix. Give a ( 0 , 1 ) -matrix A we say that is regular if the number of 1’s is fixed in each column and has a fixed number of 1’s in each row. If A is not regular we say that is irregular see [10,25,26], for more information. A sparse matrix is a ( 0 , 1 ) -matrix in which most of the elements are zero.

Configuration of Incidence

Let S = { s 1 , s n } an n-set and S 1 , , S m be m subsets of the n-set S and L the m × n incidence matrix, for the configuration of subsets S 1 , , S m . The pair
( S , S i ) i = 1 m
we call configuration of incidence of S. If ( S , S i ) i = 1 m ,where S = { s 1 , s n } , is other configuration of incidence then they are isomorphic if and only if there is a bijection
ψ : S S
ψ ( s i ) = s i
such that ψ ( S i ) = S i for all i = 1 , , m and note L = L where L and L are ( m × n ) -incidence matrices.
Let ( S , S i ) i = 1 m be an incidence configuration, with S an n-set and { a } a set of cardinality 1 then using the Cartesian product we define the Cartesian incidence configuration as follows
a × ( S , S i ) i = 1 m : = ( { a } × S , S ( a , i ) ) i = 1 m
where S ( a , i ) : = { a } × S i .
Lemma 13.
The Cartesian incidence configuration { x } × ( S , S i ) i = 1 m is isomorphic to ( S , S i ) i = 1 m and they have the same incidence matrix.
Proof. 
Since | { x } × ( S , S i ) i = 1 m | = | ( S , S i ) i = 1 m | then the projection mapping
ψ : { x } × ( S , S i ) i = 1 m ( S , S i ) i = 1 m
( x , s ) s
is one–one and clearly ψ | { x } × S i = S i ; thus, the configurations are isomorphic. Moreover, ( x , s ) { x } × S i if and only if s S i and so both configurations have the same incidence matrix. □
Let m 2 even integer, r m = m + 2 2 and Σ m = { P 1 , , P m } as in (6)
( C m 2 ( Σ m ) , S P α ) P α C m 2 2 ( Σ m )
where C m 2 ( Σ m ) and C m 2 m -set and
S P α = { P β C m 2 ( Σ m ) : s u p p { α } s u p p { β } } ,
a configuration of subsets of C m 2 ( Σ m ) .
Remark 4.
Note that S α = { P β C m 2 ( Σ m ) : | s u p p { α } s u p p { β } | = m 2 2 } .

7.2. Properties

Let m 4 even integer, given the incidence configuration (50)
( C m 2 ( Σ m ) , S P α ) P α C m 2 2 ( Σ m )
let r m = m + 2 2 then we have
Lemma 14.
For all P α C m 2 2 ( Σ m ) we have | S P α | = r m .
Proof. 
If P β S P α and | s u p p { α } | = m 2 2 then
| S P α | = | { β I ( m / 2 , m ) : s u p p { β } = s u p p { α } { i } w i t h 1 i m } | = | { i [ m ] : | s u p p { α } { i } | = m / 2 } | = m | s u p p { α } | = m m 2 2 = m + 2 2
Lemma 15.
Let P α and P α ¯ two different elements of C m 2 2 ( Σ m ) then
S P α S P α ¯ i f a n d o n l y i f | s u p p { α } s u p p { α ¯ } | = m 4 2 .
Proof. 
) : Let P β S P α S P α ¯ . Then there are two different positive integers N and M such that s u p p { α } { N } = s u p p { β } = s u p p { α ¯ } { M } , also s u p p { α } { M } = s u p p { β } { N , M } = s u p p { α ¯ } { N } , as a consequence we have to s u p p { β } { N , M } = s u p p { α } s u p p { α ¯ } so | s u p p { P α } s u p p { P α ¯ } | = | s u p p { P β } | | { N , M } | = m 4 2
) : Suppose | s u p p { α } s u p p { α ¯ } | = m 4 2 then there exist M, N distinct positive integers such that { M } = s u p p { α } s u p p { α } s u p p { α ¯ } and { N } = s u p p { α ¯ } s u p p { α } s u p p { α ¯ } and so it exists P β C m 2 ( Σ m ) such that s u p p { β } = ( s u p p { α } s u p p { α ¯ } ) { N , M } then we have P β S P α S P α ¯ and so S P α S P α ¯ . □
Corollary 8.
Let P α and P α ¯ be two different of C m 2 2 ( Σ n ) then | S P α S P α ¯ | 1 .
Proof. 
Be P β S P α S P α ¯ then there are two positive integers N and M different such that s u p p { α } { N } = s u p p { β } = s u p p { α ¯ } { M } , also s u p p { α } { M } = s u p p { β } { N , M } = s u p p { α ¯ } { N } , as a consequence we have to s u p p { β } = ( s u p p { α } s u p p { α ¯ } )   { N , M } clearly ( s u p p { α } s u p p { α ¯ } ) { M } s u p p { α } then for Lemma 15 we have | ( s u p p { α } s u p p { α ¯ } ) { M } | = m 4 2 + 1 = m 2 2 so we have to s u p p { α } = ( s u p p { α } s u p p { α ¯ } ) { M } , analogously we have to s u p p { α ¯ } = ( s u p p { α } s u p p { α ¯ } ) { N } . Suppose there is another P β S P α S P α ¯ then there exist M y N distinct positive integers such that s u p p { β } = s u p p { α } s u p p { α ¯ } { N , M } , as s u p p { α } s u p p { β } then ( s u p p { α } s u p p { α ¯ } ) { M } ( s u p p { α } s u p p { α ¯ } ) { N , M } then M { N , M } . Analogously, s u p p { α ¯ } s u p p { β } , and so we have to N { N , M } so { N , M } = { N , M } then s u p p { β } = s u p p { β } so by (5) we have | S P α S P α ¯ | 1 .
Corollary 9.
If S P α = S P α ¯ then P α = P α ¯ .
Proof. 
Suppose S P α = S P α ¯ and P α P α ¯ then by Corollary 8 we have to | S P α S P α ¯ | 1 ; however, this is not possible since by Lemma 14, | S P α S P α ¯ | = | S P α | = r m but m 4 and so r m 3 which implies that P α = P α ¯ .
We call w P α the intersection count of the S P α
Lemma 16.
w P α = r m 1
Proof. 
Clearly P β S P α if and only if α C m 2 2 { s u p p { β } } , so the number subsets S P α that contain P β is equal to
| C ( m 2 2 ) { s u p p { β } } | = C ( m 2 ) / 2 m / 2 = m / 2 = r m 1
in consequence we have w P α = r m 1
Let us denote by
L r m
the C m 2 2 m × C m 2 m -incidence matrix from ( C m 2 ( Σ m ) , S P α ) P α C m 2 2 ( Σ m )
Proposition 5.
Let 2 m even positive integer and let r m = m + 2 2 then
(a) 
L r m has r m -ones in each row;
(b) 
L r m has r m 1 -ones in each column;
(c) 
every two lines have at most one 1 in common;
(d) 
L r m is sparse.
Proof. 
The case m = 2 generates the matrix L 2 which trivially satisfies all the statements of this statement. So we assume that m 4 for the rest of the proof.
(a): the 1 s in row P α of L r m display the elements in the subset S P α so by Lemma 14 each row has exactly r m ones in each row.
(b): the 1 s in the column P β display the occurrences of the elements of S P α among the subsets, which follows from Lemma 16.
(c): follows directly from Corollary 8.
(d): The density of ones in the matrix is given by r m × C m 2 2 m = ( r m 1 ) × C m 2 m
r m C m 2 m = r m 1 C m 2 2 m
which approaches zero as m approaches infinity. □
Definition 6.
Let n 2 is an integer and r n = n + 2 2 we define the r n -atlas
A : = { L r n , L r n 1 , , L 2 }
of incidence matrices corresponding to the family
C m 2 ( Σ m ) , S P α P α C m 2 2 ( Σ m ) m = 2 n
of incidence configurations.

7.3. Cartesian Configurations

For n 4 even, r n = n + 2 2 , 1 k r n 2 and 1 a 1 < a 2 < < a 2 k 2 n such that a i + a j 2 n + 1 then we define Σ a 1 , , a 2 k = Σ n { P a 1 , , P a 2 k } as in (8). We define an Cartesian incidence configuration as in (49)
( a 1 , , a 2 k ) × C n 2 k 2 ( Σ a 1 , , a 2 k ) , S ( a 1 , , a 2 k , P α ) P α C n 2 ( k + 1 ) 2 ( Σ a 1 , , a 2 k )
where
{ ( a 1 , , a 2 k ) } × C n 2 k 2 ( Σ a 1 , , a 2 k )
is an C n 2 k 2 n 2 k -set and the subsets are
S ( a 1 , , a 2 k , P α ) : = { ( a 1 , , a 2 k , P β ) : s u p p { α } s u p p { β } }
for all P α C n 2 ( k + 1 ) 2 ( Σ a 1 , , a 2 k ) .
Lemma 17.
For n 4 even, r n = n + 2 2 , 1 k r n 2 and 1 a 1 < a 2 < < a 2 k 2 n such that a i + a j 2 n + 1 then the incidence matrix of (55) is L r n k a 1 , , a 2 k = L r n k an element of A .
Proof. 
As | Σ a 1 , , a 2 k | = n 2 k if we make m = n 2 k and r m = m + 2 2 , clearly 2 n 2 k n 2 and r m = r n k . A simple calculation shows that 2 r m r n 1 , then renumber the elements of Σ a 1 , , a 2 k = { P 1 , , P m } so by the Lemma 13 the incidence configuration
( a 1 , , a 2 k ) × C n 2 k 2 ( Σ a 1 , , a 2 k ) , S ( a 1 , , a 2 k , P α ) P α C n 2 ( k + 1 ) 2 ( Σ a 1 , , a 2 k )
is isomorphic to
C m 2 ( Σ m ) , S P α P α C m 2 2 ( Σ m )
so also for the Lemma 13 both have the same C n ( 2 k + 1 ) 2 n 2 k × C n 2 k 2 n 2 k incidence matrix L r m = L r n k . We denote this matrix by
L r n k a 1 , , a 2 k = L r n k .
For n 5 odd and r n = ( n + 1 ) / 2 and j { 1 , , n } , we define an Cartesian incidence configuration as in (49)
j × C n 1 2 ( Σ n { P j } ) , S ( j , P α ) P α C n 3 2 ( Σ n { P j } )
where
{ j } × C n 1 2 ( Σ n { P j } )
is a C n 2 n -set and its subsets S ( j , P α ) are defined by
S ( j , P α ) = { ( j , P β ) : s u p p { α } s u p p { β } }
with P α C n 3 2 ( Σ n { P j } ) .
For n 5 odd and r n = n + 1 2 , 1 k r n 2 , consider 1 a 1 < a 2 < < a 2 k + 1 2 n such that a i + a j 2 n + 1 we define Σ a 1 , , a 2 k + 1 = Σ n { P a 1 , , P a 2 k + 1 } , as in (8).
We define a Cartesian incidence configuration as in (49)
( a 1 , , a 2 k + 1 ) × C n ( 2 k + 1 ) 2 ( Σ a 1 , , a 2 k + 1 ) , S ( a 1 , , a 2 k + 1 , P α ) P α C n ( 2 k + 3 ) 2 ( Σ a 1 , a 2 k + 1 )
where
{ ( a 1 , , a 2 k + 1 ) } × C n ( 2 k + 1 ) 2 ( Σ a 1 , , a 2 k + 1 )
is C n ( 2 k + 1 ) 2 n ( 2 k + 1 ) -set where the family of subsets is given by
S ( a 1 , , a 2 k + 1 , P α ) = { ( a 1 , , a 2 k + 1 , P β ) : s u p p { α } s u p p { β } }
for all P α C n 2 ( k + 3 ) 2 ( Σ a 1 , , a 2 k ) .
Lemma 18.
(a) 
The incidence matrix (58) is L r n
(b) 
The C n ( 2 k + 3 ) 2 n ( 2 k + 1 ) × C n ( 2 k + 1 ) 2 n ( 2 k + 1 ) incidence matrix (60) is L r m ( a 1 , , a 2 k + 1 ) = L r n k and is an element of A .
Proof. 
For the proof of (a) If we do m = n 1 and define Σ m = Σ n { P j } so on
j × C n 1 2 ( Σ n { P j } ) , S ( j , P α ) ( j , P α ) C n 3 2 ( Σ n { P j } )
C m 2 ( Σ m ) , S P α P α C m 2 2 ( Σ m )
so both have the same incidence matrix L r n = L r m . Given that r m = m + 2 2 = n + 1 2 = r n , we denote the incidence matrix (58) by
L r n { j } = L r m
and part (a) has been proved.
For the proof of (b), clearly | Σ a 1 , , a 2 k + 1 | = n ( 2 k + 1 ) if we do m = ( n 1 ) + 2 k and r m = m + 2 2 , clearly we have that r m = r n k . Now if we rename the elements of Σ a 1 , , a 2 k + 1 = { P 1 , , P m } then
( a 1 , , a 2 k + 1 ) × C n ( 2 k + 1 ) 2 ( Σ a 1 , , a 2 k + 1 ) , S P α P α C n ( 2 k + 3 ) 2 ( Σ a 1 , a 2 k + 1 )
is isomorphic to the incidence configuration
( C m 2 ( Σ m ) , S P α ) P α C m 2 2 ( Σ m )
then L r m ( a 1 , , a 2 k + 1 ) = L r n k note that 2 m m 3 implies that 2 r m r n 1 . □
For all α r s I ( n 2 , 2 n ) making a change in the notation we rewrite (16) as
Π α r s = i = 1 n c α r s P i X α r s P i
where
c α r s P i = 1 if | s u p p { α r s P i } | = n , 0 otherwise ,
For each α r s I ( n , 2 n ) , consider
S α r s = { α r s P i I ( n 2 , 2 n ) × Σ n : | s u p p { α r s P i } | = n } .
Remark 5.
Note that depending on where α r s I ( n 2 , 2 n ) is, we have S α r s is equal to (51), (56), (59) or (61), respectively.

7.4. Function φ

For n 4 , we consider
φ : I ( n 2 , 2 n ) { 0 , 1 } C n 2 n
( α r s ) ( c β ) β I ( n , 2 n ) ; w h e r e
c β = 1 if β S α r s 0 otherwise .
Clearly
B L ( n , E ) = φ ( I ( n 2 , 2 n ) )
up to permutation of rows.
Lemma 19.
The function φ is injective.
Proof. 
Let α r s , α r s I ( n 2 , 2 n ) such that φ ( α r s ) = φ ( α r s ) then ( c β ) β I ( n , 2 n ) = ( c β ) β I ( n , 2 n ) this implies S α r s = S α r s and by Corollary 9 we have α r s = α r s
Corollary 10.
Let n 4 integer even, r n = n + 2 2 then
(a) 
φ ( C n 2 2 ( Σ n ) ) = L r n
(b) 
φ ( ( a 1 , , a 2 k ) × C n 2 k 2 ( Σ a 1 , , a 2 k ) ) = L r n k ( a 1 , , a 2 k )
Let n 5 odd integer, r n = n + 1 2 then
(c) 
φ ( { j } × C n 2 2 ( Σ n { P j } ) ) = L r n j for all j = 1 , , n
(d) 
φ ( ( a 1 , , a 2 k + 1 ) × C n 2 ( k + 1 ) 2 ( Σ a 1 , , a 2 k + 1 ) ) = L r n k ( a 1 , , a 2 k + 1 )
Proof. 
The proof follows directly from the Lemma 19 and Remark 5. □

7.5. Proof of the Theorem 4

(A) by Lemma 1 we have
I ( n 2 , 2 n ) = C n 2 2 ( Σ n ) ( k = 1 r n 2 1 a 1 < < a 2 k 2 n a i + a j 2 n + 1 ( a 1 , , a 2 k ) × C n 2 ( k 1 ) 2 ( Σ a 1 , , a 2 k ) ) .
since φ is injective we have a partition in the image, so
φ ( C n 2 2 ( Σ n ) ) ( k = 1 r n 2 1 a 1 < < a 2 k 2 n a i + a j 2 n + 1 φ ( ( a 1 , , a 2 k ) × C n 2 ( k 1 ) 2 ( Σ a 1 , , a 2 k ) ) ) .
Associating the corresponding matrix, using the Corollary 10, we have that
B L ( n , E ) = L r n k = 1 r n 2 ( 1 a 1 < < a 2 k 2 n a i + a j 2 n + 1 L r n k ( a 1 , , a 2 k ) ) .
Part (B) Proceeding as in part (A) of this proof, we have
j = 1 n ( { j } × C n 2 ( Σ n ) ) ( k = 1 r n 2 1 a 1 < < a 2 k + 1 2 n a i + a j 2 n + 1 ( a 1 , , a 2 k + 1 ) × C n 2 k + 3 ) 2 ( Σ a 1 , , a 2 k + 1 ) )
we obtain
φ ( I ( n 2 , 2 n ) ) = j = 1 n φ ( { j } × C n 2 2 ( Σ n ) ) k = 1 r n 2 ( 1 a 1 < a 2 < < a 2 k + 1 2 n a i + a j 2 n + 1 φ ( ( a 1 , , a 2 k + 1 ) × C n ( 2 k + 3 ) 2 ( Σ a 1 , , a 2 k + 1 ) ) ) B L ( n , E ) = j = 1 n L r n j k = 1 r n 2 ( 1 a 1 < < a 2 k + 1 a 2 n a i + a j 2 n + 1 L r n k ( a 1 , a 2 , , a 2 k + 1 ) ) .
Example 5.
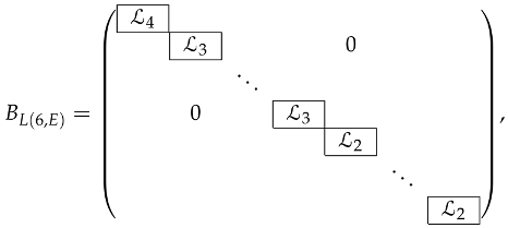
Let E be a symplectic vector space of dimension 12 and r 6 = 6 + 2 2 = 4 then his r 6 -atlas is given by the triplet of matrices
A = { L 4 , L 3 , L 2 }
where
Mathematics 12 00858 i003
and
L 3 = 1 1 1 0 0 0 1 0 0 1 1 0 0 1 0 1 0 1 0 0 1 0 1 1 .
L 2 is a row matrix filled with zeros and with only two entries equal to 1.
The matrix B L ( 6 , E ) , of size 12 4 × 12 6 , associated to the homogeneous system Π = { Π α r s : α r s I ( 4 , 12 ) } can be given by a block diagonal matrix as follows
B L ( 6 , E ) = L 4 ( 1 α 1 < α 2 12 α 1 + α 2 13 L 3 ( α 1 , α 2 ) ) ( 1 α 1 < α 2 < α 3 < α 4 12 α i + α j 13 L 2 ( α 1 , α 2 , α 3 , α 4 ) ) ,
Mathematics 12 00858 i004
where there are 1 matrix L 4 , 60 submatrices L 3 , and 240 submatrices L 2 .
Example 6.
Let E be a symplectic vector space of dimension 14 and r 7 = 7 + 2 2 = 4 then his 4-atlas is given by
A = { L 4 , L 3 , L 2 }
B L ( 7 , E ) = i = 1 7 L 4 { i } ( 1 a 1 < a 2 < a 3 14 a i + a j 15 L 3 ( a 1 a 2 a 3 ) ) ( 1 a 1 < a 2 < < a 4 < a 5 14 a i + a j 15 L 2 ( a 1 a 2 a 3 a 4 a 5 ) ) ,
where L 4 { i } = L 4 , L 3 ( a 1 a 2 a 3 ) = L 3 and L 2 ( a 1 a 2 a 3 a 4 a 5 ) = L 2 .
Mathematics 12 00858 i005

8. Isotropy Index r n and r n -Atlas

Definition 7.
Let E symplectic vector space of dimension 2 n ; we call r n = n + 2 2 isotropy index of E.
Let B L ( n , E ) as Equation (47) and using notation as in (13) and [ ] α I ( n , 2 n ) T denotes the transposed vector.
Lemma 20.
Let f be the contraction map, then f ( w ) ρ = B L ( n , E ) ( w ρ ) T .
Proof. 
Let w = α I ( n , 2 n ) X α e α n E and ρ Plücker embedding we denote w ρ = [ X α ] α I ( n , 2 n ) , it as in (13), then by Lemma 2 and by Equation (68) the following diagram commutes i.e., ρ f = B L ( n , E ) ρ
Mathematics 12 00858 i006
so we have
( ρ 2 f ) ( w ) = ρ 2 ( α r s I ( n 2 , 2 n ) ( i = 1 n X ( α r s , P i ) ) e α r s ) = i = 1 n X ( α r s , P i ) α r s I ( n 2 , 2 n ) = B L ( n , E ) [ X α ] α I ( n , 2 n ) T = B L ( n , E ) ( w ρ 1 ) T
which proves commutativity so ρ 2 f = B L ( n , E ) ρ 1 .
Corollary 11.
ker f is isomorphic to ker B L ( n , E ) as vector spaces.
Proof. 
From the Lemma 20 we have ρ 1 ( ker f ) ker B L ( n , E ) , and both have the same dimension so ker f ker B L ( n , E ) is an isomorphism of vector spaces. □
The following corollary follows directly from the Lemma 20.
Corollary 12.
Let E symplectic vector spaces of dimension 2 n then
dim ker f = C n 2 n r a n k B L ( n , E )
Moreover, C n 2 n C n 2 2 n dim ker f C n 2 n 1 .
Theorem 5.
Let E symplectic vector space of dimension 2 n defined over an arbitrary field F and r n = n + 2 2 the isotropy index.
Then, the following are equivalent:
(a) C h a r F = 0 or C h a r F r n
(b) r a n k B L ( n , E ) = C n 2 2 n
(c) dim ker f = C n 2 n C n 2 2 n
(d) dim H = C n 2 2 n and { Π α r s : α r s I ( n 2 , 2 n ) } is a base of H .
Proof. 
(a) and (b) are equivalent by [27] (Theorem 6).
(b) and (c) are equivalent by Corollary 11 and by Corollary 12.
(c) and (d) are equivalent by Theorem 3. □
We say that the embedding rank e r ( L ( n , E ) ) of L ( n , E ) is the dimension of the linear envelope L ( n , E ) .
Lemma 21.
Embedding rank of L ( n , E ) is e r ( L ( n , E ) ) = C n 2 n r a n k B L ( n , E ) .
Proof. 
We have that
e r ( L ( n , E ) ) = dim L ( n , E ) = dim k e r f = C n 2 n r a n k B L ( n , E )
Corollary 13.
Let E a symplectic vector space of dimension 2 n , let f the contraction map the isotropy index r n = n + 2 2 are equivalent
(1) 
f is surjective
(2) 
e r ( L ( n , E ) ) = C n 2 n C n 2 2 n
(3) 
r a n k B L ( n , E ) = C n 2 2 n
(4) 
char F = 0 or char F r n
(5) 
r a n k L r n k is maximum for everything 0 k r n 2 .
Proof. 
(1) is equivalent (2), (2) is equivalent (3) given that dim ker f = dim ker B y dim ker f = 2 n n r a n k B .
(3) is equivalent (4) is followed from [27] (Theorem 6) and finally (3) is equivalent (5) is obvious. □
Example 7.
By Corollary 12 dim ker f = 70 r a n k B L ( 4 , 8 ) , the order of B L ( 4 , 8 ) is 28 × 70 and by Theorem 4, L 3 is a submatrix of B L ( 4 , 8 ) and it is also easy to see that
L 3 = 1 1 1 0 0 0 1 0 0 1 1 0 0 1 0 1 0 1 0 0 1 0 1 1 1 0 0 1 1 0 0 1 0 1 0 1 0 0 1 0 1 1 0 0 0 2 2 2 .
and
r a n k B L ( 4 , 8 ) = 28 if char F 3 27 if char F = 2
Example 8.
Consider the matrices L 4 and L 3 in a field F 2 . By elementary matrix operations we have
L 4 1 0 0 0 0 0 0 0 0 0 1 1 1 0 0 0 0 0 0 0 0 1 0 0 0 0 0 0 0 0 1 0 0 1 1 0 0 0 0 0 0 0 1 0 0 0 0 0 0 0 0 1 0 1 0 1 0 0 0 0 0 0 0 1 0 0 0 0 0 0 0 0 1 0 1 1 0 0 0 0 0 0 0 0 1 0 0 0 0 0 1 0 0 0 0 0 1 1 0 0 0 0 0 0 0 1 0 0 0 0 0 1 0 0 0 0 1 0 1 0 0 0 0 0 0 0 1 0 0 0 0 0 1 0 0 0 0 1 1 0 0 0 0 0 0 0 0 1 0 0 0 0 0 1 0 0 1 0 0 1 0 0 0 0 0 0 0 0 1 0 0 0 0 0 1 0 0 1 0 1 0 0 0 0 0 0 0 0 0 1 0 0 0 0 0 1 0 0 1 1 0 0 0 0 0 0 0 0 0 0 0 0 0 0 0 0 0 0 0 0 0 0 0 0 0 0 0 0 0 0 0 0 0 0 0 0 0 0 0 0 0 0 0 0 0 0 0 0 0 0 0 0 0 0 0 0 0 0 0 0 0 0 0 0 0 0 0 0 0 0 0 0 0 0 0 0 0 0 0 0 0 0 0 0 0 0 0 0 0 0 0 0 0 0 0 0 0 0 0 0
This matrix we denote by ( i d | A 3 3 ) .
As we saw in the Example 7, L 3 in F 2 it is of the form
L 3 1 0 0 1 1 0 0 1 0 1 0 1 0 0 1 0 1 1 0 0 0 0 0 0
and we denote by ( I d | A 2 2 ) .
In [18] (Corollary 1.2) can find a more general case of Theorem 5 also see [28] for some examples where n = 2 , 3 , 4 , 5 , 6 , and 7.
Let E be a symplectic vector space of dimension 2 n and let r n = n + 2 2 consider the family of matrices given in (53)
A = { L r n , L r n 1 , , L 2 }
and we call the r n -atlas of L ( n , E ) .
Lemma 22.
Let n integer and let E and E ¯ symplectic vector spaces of dimension 2 n and 2 m , respectively, then
r n = r m i f a n d o n l y i f n = m o r m = n + 1 .
Proof. 
) If both m and n are even integers or if both m and n odd integers then n = m .
Suppose that n is even integer and m = 2 k + 1 is odd integer. If r n = r m then n + 2 2 = 2 k + 1 + 2 2 so n + 2 2 = 2 k + 2 2 what it implies n = 2 k so m = n + 1 .
) If n = m then r n = r m . Now if m = n + 1 then r m = m + 2 2 = n + 1 + 2 2 = n + 2 2 = r n .
Corollary 14.
(a) If E and E ¯ both are symplectic vector spaces of dimension 2 n so they share the same r n -atlas.
(b) Let E symplectic vector space of dimension 2 n and let E ¯ symplectic vector space of dimension 2 ( n + 1 ) then both spaces share the same r n -atlas.
Proof. 
The proof follows directly from the Lemma 22. □
Example 9.
Let E 1 and E 2 two symplectic vector spaces of dimension 2 n defined over a field F and isotropy index r n = n + 2 2 . If char F =0 or char F r then E 1 and E 2 they share
(a) the same isotropy index r n ;
(b) the same r n -atlas { L r n , , L 2 } ;
(c) the same Plücker relations { Q α , β , Π α r s } of the Lagrangian Grassmannian variety.
Example 10.
Consider the symplectic vector spaces R 6 ( R 6 ) * and F 2 6 ( F 2 6 ) * , two symplectic vector space non-symplectomorphisms, them
(a) They share the same isotropy index r 6 = 6 + 2 2 = 4 .
(b) They share the same Plücker relations { Q α , β , Π α r s } of the Lagrangian Grassmannian variety.
However, they do not share the same 4-atlas so we have:
the 4-atlas of R 6 ( R 6 ) * is { L 4 , L 3 , L 2 } see Example 5
but the 4-atlas of F 2 6 ( F 2 6 ) * is { ( i d | A 3 3 ) , ( i d | A 2 2 } , L 2 } see Example 8.

Hypersurfaces in L ( n , E )

The linear sections of the Lagrangian-Grassmannian L ( n , E ) have applications in other fields of mathematics see [14]. Using the notation α r s : = Z Π α r s P ( n E ) we define the following linear varieties.
Definition 8.
Let n 4 even integer then
(a) 
: = α r s C n 2 2 ( Σ n ) α r s
(b) 
C n 2 ( k + 1 ) 2 ( a 1 , , a 2 k ) : = α r s C n 2 ( k + 1 ) 2 ( Σ a 1 , , a 2 k ) α r s
Let n 5 odd integer then
(c) 
n : = α r s j = 1 n { j } × C n 2 2 ( Σ n ) α r s
(d) 
C n 2 ( k + 1 ) 2 ( a 1 , , a 2 k + 1 ) : = α r s C n 2 ( k + 1 ) 2 ( Σ a 1 , , a 2 k + 1 ) α r s
Theorem 6.
Let E be a symplectic vector space of dimension 2 n then L ( n , E ) is intersection of linear sections of the Grassmannian variety and is included in a projective space of a direct sum of matrix kernels
(A) 
If n 4 even integer and let r n = n + 2 2 , then
L ( n , E ) = ( G ( n , E ) ) ( k = 1 r n 2 1 a 1 < < a 2 k 2 n a i + a j 2 n + 1 ( G ( n , E ) C n 2 k 2 ( a 1 , , a 2 k ) ) ) P ( ker L r n k = 1 r n 2 ( 1 a 1 < < a 2 k 2 n a i + a j 2 n + 1 ker L r n k ( a 1 , , a 2 k ) ) )
(B) 
If n 5 odd integer and let r n = n + 1 2 , then
L ( n , E ) = ( G ( n , E ) n ) ( k = 1 r n 2 1 a 1 < < a 2 k + 1 2 n a i + a j 2 n + 1 ( G ( n , E ) C n 2 k 2 ( a 1 , , a 2 k + 1 ) ) ) P ( ker L r n n k = 1 r n 2 ( 1 a 1 < a 2 < < a 2 k + 1 2 n a i + a j 2 n + 1 ker L r n k ( a 1 , a 2 , , a 2 k + 1 ) ) ) .

Funding

The APC was funded by research project 2024 del Colegio de Ciencia y Tecnología of the Universidad Autónoma de la Ciudad de México.

Data Availability Statement

Data are contained within the article.

Conflicts of Interest

The author does not declare a conflict of interest.

References

  1. McDuff, D. Symplectic Structures A New Approach to Geometry. Not. Am. Math. Soc. 1998, 45, 952–960. [Google Scholar]
  2. De Concini, C.; Lakshmibai, V. Aritmetic Cohen-Macaulayness and arithmetic normality for Schubert varieties. Am. J. Math. 1981, 103, 835–850. [Google Scholar] [CrossRef]
  3. Fulton, W.; Harris, J. Representation Theory: A First Course; Springer: Berlin/Heidelberg, Germany, 1991. [Google Scholar]
  4. Ruffo, J. Quasimaps, straightening laws, and quantum cohomology for the Lagrangian Grassmannian. arXiv 2008, arXiv:0806.0834. [Google Scholar] [CrossRef]
  5. Carrillo-Pacheco, J. A Connection Between the De Bruijn-Erdös Theorem and Symplectic Geometry. arXiv 2023, arXiv:2303.12663v1. [Google Scholar]
  6. Barbosa, A.; Massarenti, A.; Rischter, R. Projective aspects of the geometry of Lagrangian Grassmannians and Spinor varieties. Bull. Sci. Math. 2020, 159, 102829. [Google Scholar]
  7. Boralevi, A.; Buczyński, J. Secants of Lagrangian Grassmannians. Ann. Mat. 2011, 190, 725–739. [Google Scholar]
  8. Geemen, B.; Marrani, A. Lagrangian Grassmannians and Spinor Varieties in Characteristic Two. Symmetry Integr. Geom. Methods Appl. 2019, 15, 064. [Google Scholar] [CrossRef]
  9. Iliev, A.; Ranestad, K. Geometry of the Lagrangian Grassmannian LG(3,6) with applications to Brill-Noether Loci. Mich. Math. J. 2002, 53, 383–417. [Google Scholar] [CrossRef]
  10. Ryser, H.J. Combinatorial properties of matrices of zeros and ones. Can. J. Math. 1957, 9, 371–377. [Google Scholar] [CrossRef]
  11. Arthamonov, S.; Harnad, J.; Hurtubise, J. Lagrangian Grassmannians, CKP hierarchy and hyperdeterminantal relations. Commun. Math. Phys. 2023, 401, 1337–1381. [Google Scholar] [CrossRef]
  12. Balla, G.; Olarte, J.A. The Tropical Symplectic Grassmannian. Int. Math. Res. Not. 2021, 2023, 1036–1072. [Google Scholar]
  13. Holweck, F.; Saniga, M.; Lévay, P. A Notable Relation Between N-Qubit and 2N-1-Qubit Pauli Groups via Binary LGr(N,2N). SIGMA Symmetry Integr. Geom. Methods Appl. 2014, 10, 041. [Google Scholar]
  14. Carrillo-Pacheco, J.; Zaldivar, F. Codes on linear sections of the Grassmannian. Bol. Soc. Mat. Mex. 2021, 27, 49. [Google Scholar] [CrossRef]
  15. Cannas da Silva, A. Lecture on Symplectic Geometry; Lecture Notes in Mathematics; Springer: Berlin/Heidelberg, Germany, 2008; Volume 1769. [Google Scholar]
  16. Piccione, P.; Tausk, D.V. A Student’s Guide to Symplectic Spaces, Grassmannians and Maslov Index; Instituto de Matemática Pura e Aplicada: Rio de Janeiro, Brazil, 2011. [Google Scholar]
  17. Shafarevich, I.R. Basic Algebraic Geometry 1, 2nd ed.; Springer: Berlin/Heidelberg, Germany, 1994. [Google Scholar]
  18. Gow, R. Contraction of Exterior Powers in Characteristic 2 and the Spin Module. Geom. Dedicata 1997, 64, 283–295. [Google Scholar] [CrossRef]
  19. Fulton, W. Young Tableaux: With Applications to Representation Theory and Geometry; London Mathematical Society Student Texts 35; Cambridge University Press: Cambridge, UK, 1999. [Google Scholar]
  20. Hartshorne, R. Algebraic Geometry; Springer: Berlin/Heidelberg, Germany, 1987. [Google Scholar]
  21. Carrillo-Pacheco, J.; Zaldivar, F. On Lagrangian-Grassmannian Codes. Des. Codes Cryptogr. 2011, 60, 291–298. [Google Scholar] [CrossRef]
  22. Kolhatkar, R. Grassmann Varieties. Master’s Thesis, McGill University Libraries, Montréal, QC, Canada, 2004. Available online: https://www.math.mcgill.ca/goren/Students/KolhatkarThesis.pdf (accessed on 3 March 2024).
  23. Kreuzer, M.; Robbiano, L. Computational Commutative Algebra 1; Springer: Berlin/Heidelberg, Germany, 2000. [Google Scholar]
  24. Brualdi, R.A.; Ryser, H.J. Encyclopedia of Mathematics and its applications. In Combinatorial Matrix Theory; Cambridge University Press: Cambridge, UK, 1991. [Google Scholar]
  25. Gallager, R.G. Low-density parity-check codes. IRE Trans. Inf. Theory 1962, 8, 21–28. [Google Scholar] [CrossRef]
  26. Ryser, H.J. Matrices of zeros and ones. Bull. Am. Math. Soc. 1960, 66, 4442–4464. [Google Scholar] [CrossRef][Green Version]
  27. Carrillo-Pacheco, J.; Jarquín-Zárate, F. A family of low density matrices in Lagrangian-Grassmanian variety. Spec. Matrices 2018, 6, 237–248. [Google Scholar] [CrossRef]
  28. Grassmannian.info: A Periodic Table for Grassmannians. Available online: https://pbelmans.ncag.info/blog/2020/05/08/grassmannian-info/ (accessed on 3 March 2024).
Disclaimer/Publisher’s Note: The statements, opinions and data contained in all publications are solely those of the individual author(s) and contributor(s) and not of MDPI and/or the editor(s). MDPI and/or the editor(s) disclaim responsibility for any injury to people or property resulting from any ideas, methods, instructions or products referred to in the content.

Share and Cite

MDPI and ACS Style

Carrillo-Pacheco, J. On Lagrangian Grassmannian Variety and Plücker Matrices. Mathematics 2024, 12, 858. https://doi.org/10.3390/math12060858

AMA Style

Carrillo-Pacheco J. On Lagrangian Grassmannian Variety and Plücker Matrices. Mathematics. 2024; 12(6):858. https://doi.org/10.3390/math12060858

Chicago/Turabian Style

Carrillo-Pacheco, Jesús. 2024. "On Lagrangian Grassmannian Variety and Plücker Matrices" Mathematics 12, no. 6: 858. https://doi.org/10.3390/math12060858

APA Style

Carrillo-Pacheco, J. (2024). On Lagrangian Grassmannian Variety and Plücker Matrices. Mathematics, 12(6), 858. https://doi.org/10.3390/math12060858

Note that from the first issue of 2016, this journal uses article numbers instead of page numbers. See further details here.

Article Metrics

Back to TopTop