Application of Complex Neutrosophic Graphs in Hospital Infrastructure Design
Abstract
1. Introduction
1.1. Motivation
- (1)
- Traditional techniques fail to cope with the complexity and ambiguity inherent in real-world data.
- (2)
- A complete mathematical foundation is required for successful management of complicated data structures.
- (3)
- There is practical relevance in addressing complicated neutrosophic graphs, as it is critical for a variety of problem-solving scenarios across several areas.
1.2. Novelty
- (1)
- A unique technique is introduced by combining complicated neutrosophic sets with graph theory.
- (2)
- The unified framework provides a new way to describe and analyze complicated data structures.
- (3)
- Investigating sophisticated neutrosophic graph homomorphisms elevates the field.
1.3. Goal
- (1)
- We aim to create an effective approach for dealing with complicated neutrosophic graphs.
- (2)
- We aim to provide practical solutions to key operations such as union, join, and composition.
- (3)
- In the field of hospital infrastructure design, we demonstrate the approach’s success through real-world application.
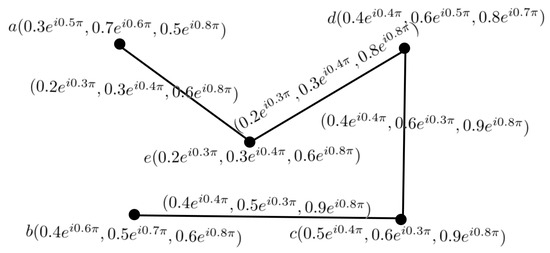
2. Preliminaries
- 1.
- It can be seen from simple calculations that the graph in Figure 1 is a complex neutrosophic graph.
- 2.
- 3.
- Each vertex in G has a degree of , and .
3. Operations of Complex Neutrosophic Graph
- 1.
- , for and .
- 2.
- , for and .
- 3.
- ,for .
- 4.
- , for and .
- 5.
- , for and .
- 6.
- ,for .
- 1.
- , if .
- 2.
- , for .
- 3.
- .Here, , where E is the set of all edges joining the vertices of and .
4. Isomorphism of Complex Neutrosophic Graphs
5. Complement of Complex Neutrosophic Graphs
6. Application
Comparative Analysis
7. Conclusions
Author Contributions
Funding
Data Availability Statement
Acknowledgments
Conflicts of Interest
References
- Zadeh, L.A. Fuzzy sets. Inf. Control 1965, 8, 338–353. [Google Scholar] [CrossRef]
- Rajeshwari, M.; Murugesan, R.; Kaviyarasu, M.; Subrahmanyam, C. Bipolar Fuzzy Graph on Certain Topological Indices. J. Algebr. Struct. 2022, 13, 2476–2481. [Google Scholar]
- Al-Masarwah, A.; Qamar, M.A. Some new concepts of fuzzy soft graphs. Fuzzy Inf. Eng. 2016, 8, 427–438. [Google Scholar] [CrossRef]
- Al-Masarwah, A.; Abu Qamar, M. Certain types of fuzzy soft graphs. New Math. Nat. Comput. 2018, 14, 145–156. [Google Scholar] [CrossRef]
- Alkouri, A.; AbuHijleh, E.A.; Alafifi, G.; Almuhur, E.; Al-Zubi, F.M.A. More on complex hesitant fuzzy graphs. AIMS Math. 2022, 8, 30429–30444. [Google Scholar] [CrossRef]
- Quek, S.G.; Selvachandran, G.; Ajay, D.; Chellamani, P.; Taniar, D.; Fujita, H.; Duong, P.; Son, L.H.; Giang, N.L. New concepts of pentapartitioned neutrosophic graphs and applications for determining safest paths and towns in response to COVID-19. Comp. Appl. Math. 2022, 41, 151. [Google Scholar] [CrossRef]
- AL Al-Omeri, W.F.; Kaviyarasu, M.M.R. Identifying Internet Streaming Services using Max Product of Complement in Neutrosophic Graphs. Int. J. Neutrosophic Sci. 2024, 23, 257–272. [Google Scholar] [CrossRef]
- Atanassov, K.T. Intuitionistic fuzzy sets. Fuzzy Sets Syst. 1986, 20, 87–96. [Google Scholar] [CrossRef]
- Liu, X.; Kim, H.S.; Feng, F.; Alcantud, J.C.R. Centroid transformations of intuitionistic fuzzy values based on aggregation operators. Mathematics 2018, 6, 215. [Google Scholar] [CrossRef]
- Feng, F.; Fujita, H.; Ali, M.I.; Yager, R.R.; Liu, X. Another view on generalized intuitionistic fuzzy soft sets and related multiattribute decision making methods. IEEE Trans. Fuzzy Syst. 2018, 27, 474–488. [Google Scholar] [CrossRef]
- Smarandache, F. Neutrosophy Neutrosophic Probability; Set and Logic; American Research Press: Rehoboth, DE, USA, 1998. [Google Scholar]
- Wang, H.; Smarandache, F.; Zhang, Y.Q.; Sunderraman, R. Single valued neutrosophic sets. Multispace Multistructure 2010, 4, 410–413. [Google Scholar]
- Ye, J. Multicriteria decision-making method using the correlation coefficient under singlevalued neutrosophic environment. Int. J. Gen. Syst. 2013, 42, 386–394. [Google Scholar] [CrossRef]
- Ye, J. Single-valued neutrosophic minimum spanning tree and its clustering method. J. Intell. Syst. 2014, 23, 311–324. [Google Scholar] [CrossRef]
- Ye, J. A multicriteria decision-making method using aggregation operators for simplified neutrosophic sets. J. Intell. Fuzzy Syst. 2014, 26, 2459–2466. [Google Scholar] [CrossRef]
- Broumi, S.; Talea, M.; Bakali, A.; Smarandache, F. Single valued neutrosophic graphs. J. New Theory 2016, 10, 86–101. [Google Scholar]
- Broumi, S.; Mohanaselvi, S.; Witczak, T.; Talea, M.; Bakali, A.; Smarandache, F. Complex fermatean neutrosophic graph and application to decision making. Decis. Mak. Appl. Manag. Eng. 2023, 6, 474–501. [Google Scholar] [CrossRef]
- Akram, M.; Shahzadi, G. Operations on single-valued neutrosophic graphs. J. Uncertain Syst. 2017, 11, 176–196. [Google Scholar]
- Akram, M.; Shahzadi, S. Neutrosophic soft graphs with application. J. Intell. Fuzzy Syst. 2017, 32, 841–858. [Google Scholar] [CrossRef]
- Fallatah, A.; Massa’deh, M.O.; Alkouri, A.U. normal and cosets of (γ,δ)-fuzzy HX-subgroups. J. Appl. Math. Inform. 2022, 40, 719–727. [Google Scholar]
- Ramot, D.; Milo, R.; Friedman, M.; Kandel, A. Complex fuzzy sets. IEEE Trans. Fuzzy Syst. 2002, 10, 171–186. [Google Scholar] [CrossRef]
- Ramot, D.; Friedman, M.; Langholz, G.; Kandel, A. Complex fuzzy logic. IEEE Trans. Fuzzy Syst. 2003, 11, 450–461. [Google Scholar] [CrossRef]
- Yazdanbakhsh, O.; Dick, S. A systematic review of complex fuzzy sets and logic. Fuzzy Sets. Syst. 2018, 338, 1–22. [Google Scholar] [CrossRef]
- Alkouri, A.; Salleh, A. Complex intuitionistic fuzzy sets. AIP Conf. Proc. 2012, 14, 464–470. [Google Scholar]
- Ali, M.; Smarandache, F. Complex neutrosophic set. Neural Comput. Appl. 2017, 28, 1817–1834. [Google Scholar] [CrossRef]
- Rosenfeld, A. Fuzzy graphs. In Fuzzy Sets and Their Applications; Zadeh, L.A., Fu, K.S., Shimura, M., Eds.; Academic Press: New York, NY, USA, 1975; pp. 77–95. [Google Scholar]
- Berge, C. Graphs and Hypergraphs; North-Holland Publishing Company: Amsterdam, The Netherlands, 1973. [Google Scholar]
- Thirunavukarasu, P.; Suresh, R.; Viswanathan, K.K. Energy of a complex fuzzy graph. Int. J. Math. Sci. Eng. Appl. 2016, 10, 243–248. [Google Scholar]
- Abuhijleh, E.A.; Massa’deh, M.; Sheimat, A.; Alkouri, A. Complex fuzzy groups based on Rosenfeld’s approach. WSEAS Trans. Math. 2021, 20, 368–377. [Google Scholar] [CrossRef]
- Parvathi, R.; Karunambigai, M.G. Intuitionistic fuzzy graphs. In Computational Intelligence, Theory and Applications; Reusch, B., Ed.; Springer: Berlin/Heidelberg, Germany, 2006. [Google Scholar]
- Yaqoob, N.; Gulistan, M.; Kadry, S.; Wahab, H. Complex intuitionistic fuzzy graphs with application in cellular network provider companies. Mathematics 2019, 7, 35. [Google Scholar] [CrossRef]
- Yaqoob, N.; Akram, M. Complex neutrosophic graphs. Bull. Comput. Appl. Math 2018, 6, 85–109. [Google Scholar]
- Razzaque, A.; Masmali, I.; Latif, L.; Shuaib, U.; Razaq, A.; Alhamzi, G.; Noor, S. On t-intuitionistic fuzzy graphs: A comprehensive analysis and application in poverty reduction. Sci. Rep. 2023, 13, 17027. [Google Scholar] [CrossRef]
- Şahin, R. An approach to neutrosophic graph theory with applications. Soft. Comput. 2019, 23, 569–581. [Google Scholar] [CrossRef]
- Shoaib, M.; Mahmood, W.; Xin, Q.; Tchier, F.; Tawfiq, F.M. Certain Operations on Complex Picture Fuzzy Graphs. IEEE Access 2022, 4, 114284–114296. [Google Scholar] [CrossRef]
- Kaviyarasu, M. On r-Edge Regular Neutrosophic Graphs. Neutrosophic Sets Syst. 2023, 53, 239–250. [Google Scholar]















| Year | Method | Application |
|---|---|---|
| [31] | Complex intuitionistic fuzzy graphs | Cellular network provider companies |
| [33] | On t-intuitionistic fuzzy graphs | Poverty reduction |
| [34] | Neutrosophic graph | Multicriteria decision-making model |
| [35] | Complex picture fuzzy graphs | The influence of the countries relationship |
| [17] | Complex fermatean neutrosophic graph | Education system |
| [6] | pentapartitioned neutrosophic graphs | Determining safest paths and towns in response to COVID-19 |
Disclaimer/Publisher’s Note: The statements, opinions and data contained in all publications are solely those of the individual author(s) and contributor(s) and not of MDPI and/or the editor(s). MDPI and/or the editor(s) disclaim responsibility for any injury to people or property resulting from any ideas, methods, instructions or products referred to in the content. |
© 2024 by the authors. Licensee MDPI, Basel, Switzerland. This article is an open access article distributed under the terms and conditions of the Creative Commons Attribution (CC BY) license (https://creativecommons.org/licenses/by/4.0/).
Share and Cite
Alqahtani, M.; Kaviyarasu, M.; Al-Masarwah, A.; Rajeshwari, M. Application of Complex Neutrosophic Graphs in Hospital Infrastructure Design. Mathematics 2024, 12, 719. https://doi.org/10.3390/math12050719
Alqahtani M, Kaviyarasu M, Al-Masarwah A, Rajeshwari M. Application of Complex Neutrosophic Graphs in Hospital Infrastructure Design. Mathematics. 2024; 12(5):719. https://doi.org/10.3390/math12050719
Chicago/Turabian StyleAlqahtani, Mohammed, M. Kaviyarasu, Anas Al-Masarwah, and M. Rajeshwari. 2024. "Application of Complex Neutrosophic Graphs in Hospital Infrastructure Design" Mathematics 12, no. 5: 719. https://doi.org/10.3390/math12050719
APA StyleAlqahtani, M., Kaviyarasu, M., Al-Masarwah, A., & Rajeshwari, M. (2024). Application of Complex Neutrosophic Graphs in Hospital Infrastructure Design. Mathematics, 12(5), 719. https://doi.org/10.3390/math12050719

