Emission Reduction Decisions in Blockchain-Enabled Low-Carbon Supply Chains under Different Power Structures
Abstract
1. Introduction
2. Literature Review
2.1. Carbon Emission Reduction Strategies
2.2. Power Structures in Supply Chains
2.3. Application of Blockchain in Supply Chain Management
3. Problem Description and Basic Assumptions
3.1. Problem Description
3.2. Basic Assumptions
4. Model
4.1. The Decision Modeling for the Manufacturer-Dominated
- (1)
- when , ; when , ;
- (2)
- when, ; when , ;
4.2. Decision Modeling for the Retailer-Dominated
4.3. Comparative Analysis of Models
- (1)
- , , , , , ;
- (2)
- , , when , , ; when , , ; , ;
- (3)
- , , , , , .
- (1)
- ;
- (2)
- when , ; when , ;
- (3)
- .
- (1)
- , , , , ;
- (2)
- When, , ; when , , ; ; .
- (1)
- , , ;
- (2)
- , , ;
- (3)
- , , .
- (1)
- , , ;
- (2)
- , , when , ; when , ;
- (3)
- , , .
- (1)
- ,,;
- (2)
- ,,;
5. Numerical Analysis
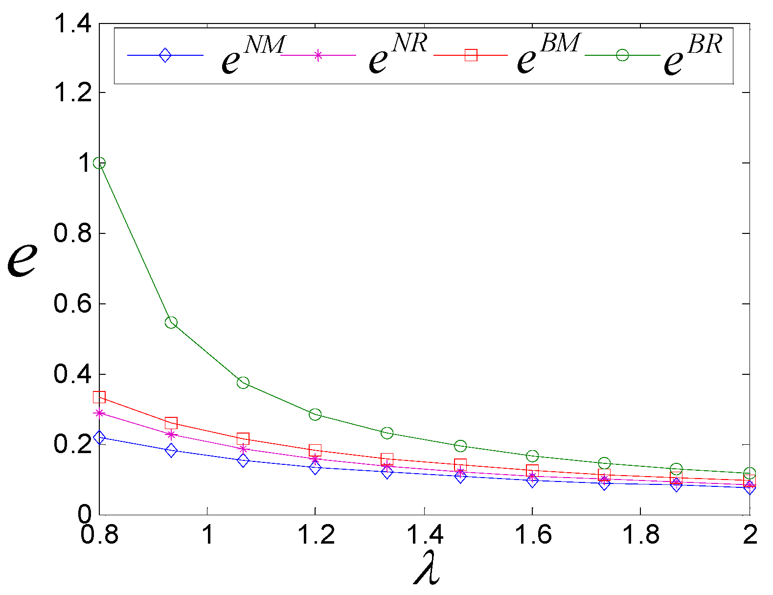
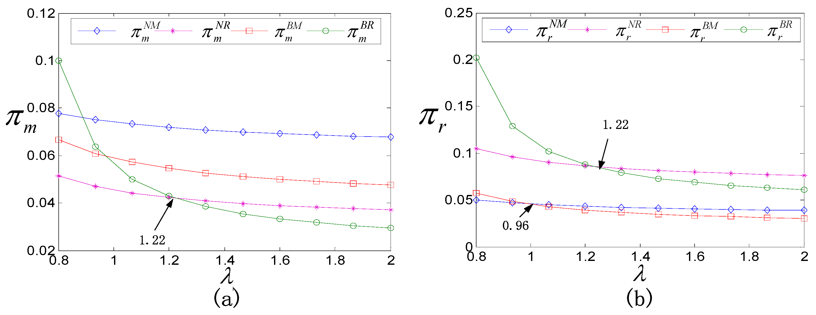
5.1. The Impacts of the Cost Coefficient for Carbon Emission Reduction on Carbon Emission Reduction and Profits of Enterprises
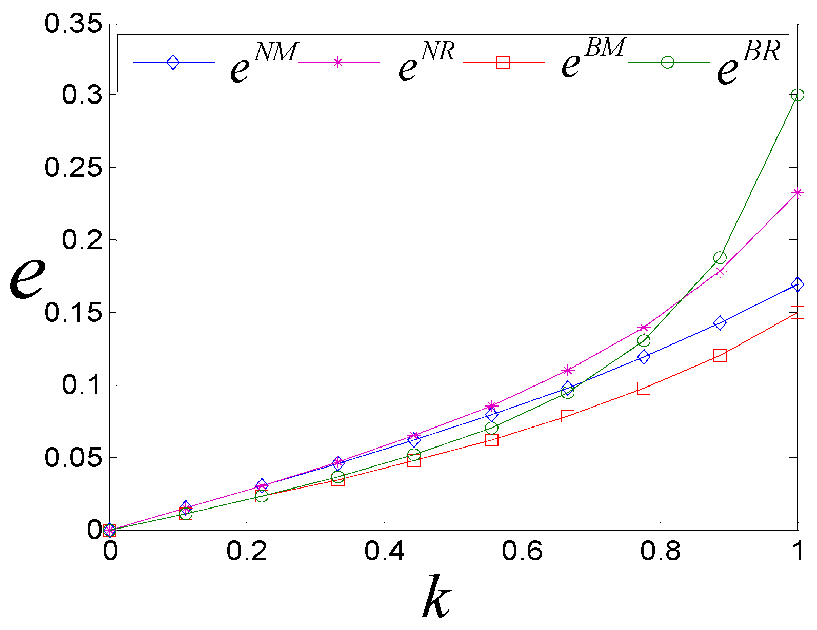
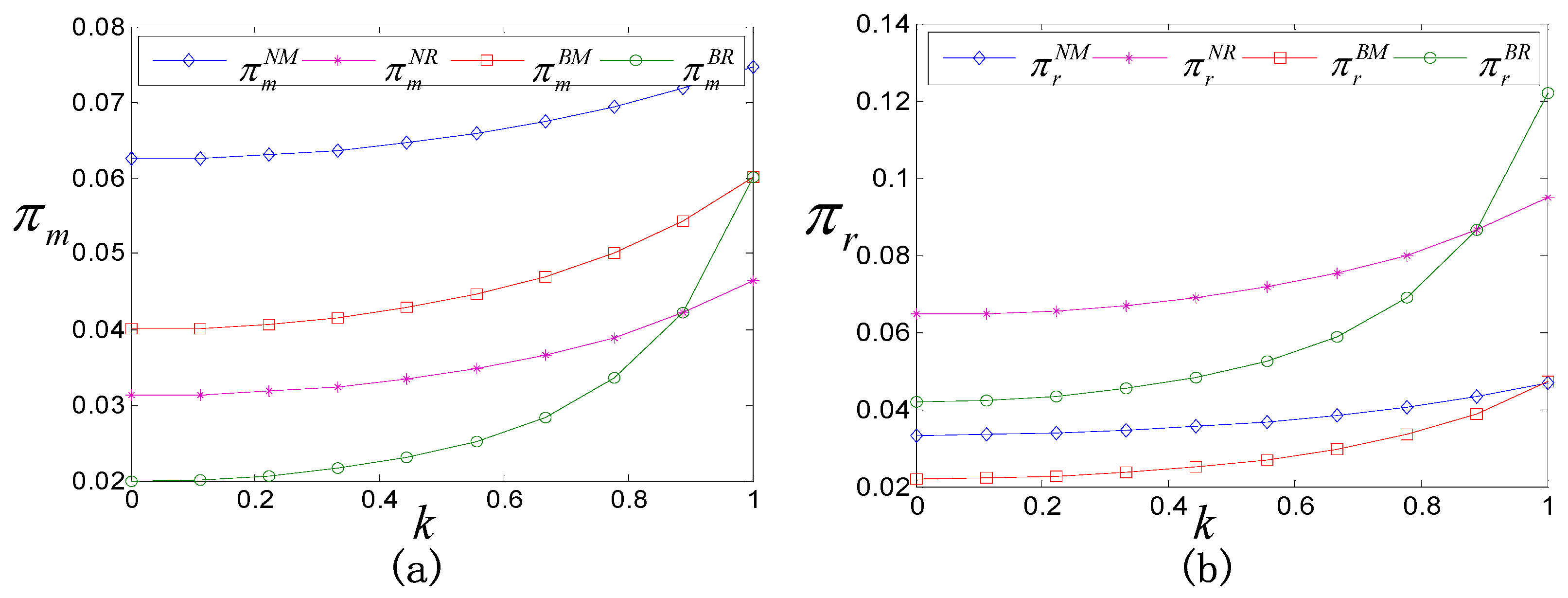
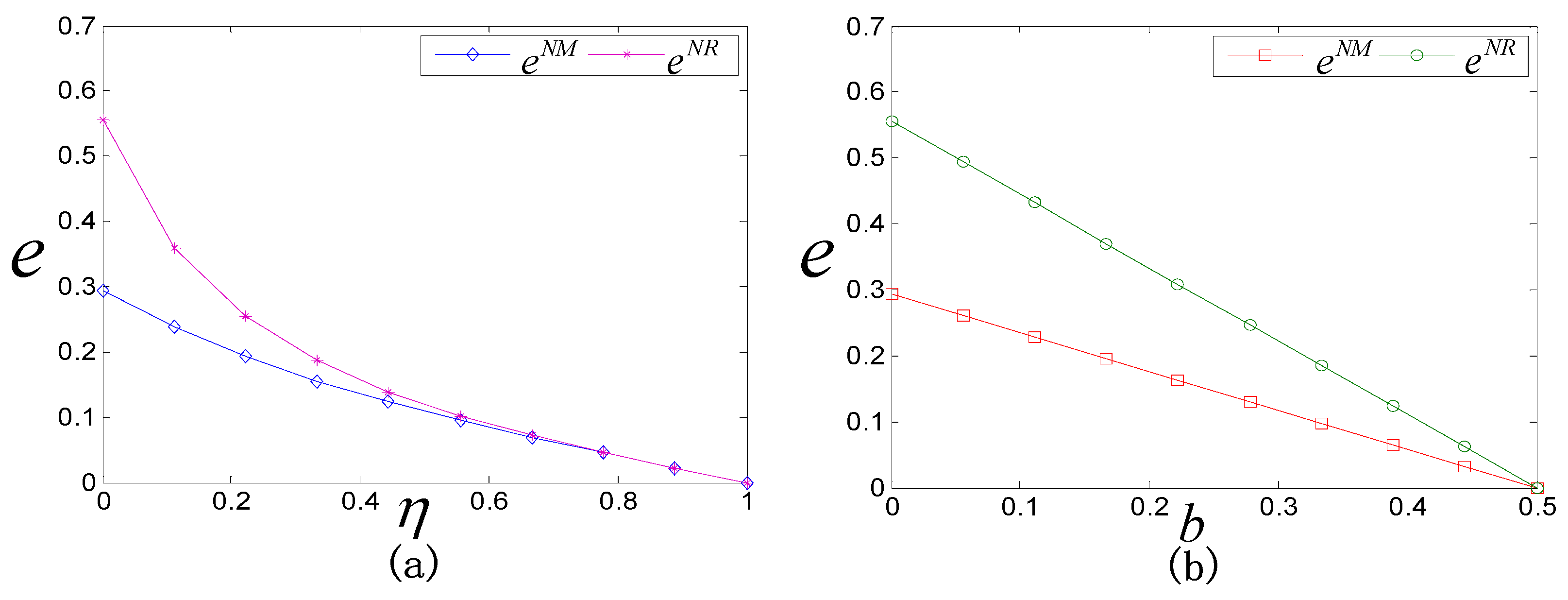
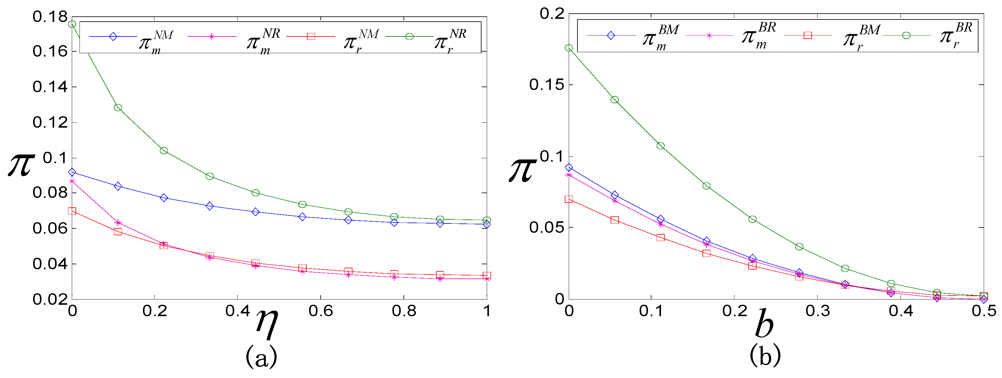
5.2. The Impact of Consumer Environmental Awareness on Carbon Emission Reduction and the Profits of Supply Chain Enterprises
5.3. The Impacts of Consumer Environmental Awareness on Carbon Emission Reduction and the Profits of Supply Chain Enterprises
5.4. The Impacts of Blockchain Technology on Carbon Emission Reduction and the Profits of Supply Chain Enterprises under Different Power Structures
6. Conclusions
- (1)
- When the carbon reduction cost is low, enterprise profits are maximized under the retailer-dominated model, yet when the carbon reduction cost is high, blockchain technology does not improve enterprise profits. For the retailer, blockchain helps enterprise profits remain optimal within a certain range, but as the carbon reduction cost coefficient goes up, the wholesale price as well as the retail price of the product becomes higher, consumer demand for low-carbon products decreases, and the retailer’s profit is inevitably impaired. When the carbon reduction cost coefficient is moderate, the profit can achieve optimization without blockchain under the retailer-dominated model.
- (2)
- When consumer environmental awareness is low, and the consumers’ acceptance of low-carbon products is not universal, then the impact of the level of skepticism of low-carbon products on market demand is not significant, so the manufacturer chooses to not implement blockchain technology. On the contrary, the implementation of blockchain technology can eliminate consumers’ skepticism about low-carbon products and raise the demand for the products, thus enhancing the profits of supply chain enterprises.
- (3)
- Without blockchain, the profit gap between supply chain enterprises is large. The implementation of blockchain can coordinate the profit distribution between supply chain enterprises. Its effect is especially obvious under the manufacturer-dominated model. Compared to the manufacturer-dominated model, the carbon emission reduction is greatest under the retailer-dominated model. When the cost of blockchain is high, the cost per unit product also rises, and the implementation of blockchain technology cannot incentivize the manufacturer to reduce carbon emissions. Therefore, when implementing blockchain technology, enterprises need to consider the pros and cons thoroughly before making appropriate decisions.
- (1)
- When the manufacturer decides to save energy and reduce emissions for their products, not only the cost of carbon emission reduction but also the consumers’ trust in low-carbon products need to be considered. Blockchain technology solves the problem of information asymmetry in the traditional operation process, and realizes the transparency and traceability of emission reduction information, which has a certain promotion effect on low-carbon emission reduction. Although blockchain technology can help consumers better identify the carbon emission reduction in products, it can cause some privacy issues owing to the disclosure of transaction information. Meanwhile, in light of the novelty of blockchain technology, the laws and regulations governing it have yet to be perfected. Therefore, enterprises still need to weigh the pros and cons of blockchain technology when implementing it and make appropriate decisions.
- (2)
- For the manufacturer, consumers’ environmental awareness plays a vital role in the implementation of blockchain technology. Driven by policies and increased consumer environmental awareness, the manufacturer can synchronize production and demand with blockchain technology, which not only improves the operation efficiency but also enhances consumers’ trust in low-carbon products. Particularly in the manufacturer-dominated model, blockchain technology can better coordinate the profits of the supply chain. When the manufacturer chooses to proceed without blockchain technology, they need to publicize their low-carbon products to make their products more valued for consumers, thus boosting the profits of the supply chain. When the supply chain is profit-oriented, the manufacturer-dominated model is more conducive to profit maximization. However, when the supply chain shifts to carbon reduction, the retailer-dominated model is more conducive to achieving carbon reduction targets.
- (3)
- A higher blockchain cost will hinder the implementation of blockchain technology. When the cost is high, both the manufacturer and the retailer face the risk of profit loss. It is advised for the manufacturer to cooperate with large blockchain companies. In this way, both scale effects and lower blockchain cost can be achieved. The manufacturer can also adopt the model of cooperative research and development to share the cost of blockchain construction for mutual benefit. The government can provide more convenient conditions and policy support for enterprises, such as strengthening technical subsidies and reducing or exempting relevant taxes and fees. The active participation and support of the government will provide a better environment for the development of blockchain technology.
Author Contributions
Funding
Data Availability Statement
Conflicts of Interest
Appendix A
Appendix A.1
Appendix A.2
Appendix A.3
- (1)
- It follows from the fact that , , , , and that
- (2)
- Similarly, we know that
- (3)
- Similarly, , , , ,
Appendix A.4
Appendix A.5
- (1)
- It follows from the fact that , , , and that
- (2)
- Similarly, we know that
Appendix A.6
- (1)
- It follows from the fact that
- (2)
- Similarly, we know that , ,
- (3)
- ,
Appendix A.7
References
- Chen, W.; Han, M.; Meng, Y. Pricing and carbon emission decisions in the assembly supply chain. J. Clean. Prod. 2023, 415, 137826. [Google Scholar] [CrossRef]
- Wang, Y.; Xu, X.; Zhu, Q. Carbon emission reduction decisions of supply chain members under cap-and-trade regulations: A differential game analysis. Comput. Ind. Eng. 2021, 162, 107711. [Google Scholar] [CrossRef]
- Xia, L.; Li, K.; Wang, J.; Xia, Y.; Qin, J. Carbon emission reduction and precision marketing decisions of a platform supply chain. Int. J. Prod. Econ. 2024, 268, 109104. [Google Scholar] [CrossRef]
- Liu, M.; Li, Z.; Anwar, S.; Zhang, Y. Supply chain carbon emission reductions and coordination when consumers have a strong preference for low-carbon products. Environ. Sci. Pollut. Res. 2021, 28, 19969–19983. [Google Scholar] [CrossRef]
- Huang, D.; Zhang, J. The impacts of carbon tax on emissions abatement level in a supply chain under different power structures. J. Manag. Sci. China 2021, 29, 57–70. [Google Scholar]
- Choi, T.; Guo, S.; Liu, N. Optimal pricing in on-demand-service platform-operations with hired agents and risk-sensitive customers in the blockchain era. Eur. J. Oper. Res. 2020, 284, 1031–1042. [Google Scholar] [CrossRef]
- Babich, V.; Hilary, G. Distributed ledgers and operations: What operations management researchers should know about blockchain technology. Manuf. Serv. Oper. Manag. 2020, 22, 223–240. [Google Scholar] [CrossRef]
- Yang, T.; Li, C.; Yue, X. Decisions for blockchain adoption and information sharing in a low carbon supply chain. Mathematics 2022, 10, 2233. [Google Scholar] [CrossRef]
- Wang, W.; Hao, S.; He, W.; Mohamed, M. Carbon emission reduction decisions in construction supply chain based on differential game with government subsidies. Build. Environ. 2022, 222, 109149. [Google Scholar] [CrossRef]
- Fu, K.; Li, Y.; Mao, H.; Miao, Z. Firms’ production and green technology strategies: The role of emission asymmetry and carbon taxes. Eur. J. Oper. Res. 2023, 305, 1100–1112. [Google Scholar] [CrossRef]
- Jauhari, W.; Novia Ramadhany, S.; Nur Rosyidi, C. Pricing and green inventory decisions for a supply chain system with green investment and carbon tax regulation. J. Clean. Prod. 2023, 425, 138897. [Google Scholar] [CrossRef]
- Sun, L.; Cao, X.; Alharthi, M.; Zhang, J. Carbon emission transfer strategies in supply chain with lag time of emission reduction technologies and low-carbon preference of consumers. J. Clean. Prod. 2020, 264, 121664. [Google Scholar] [CrossRef]
- Yang, Y.; Xu, X. Production and carbon emission abatement decisions underdifferent carbon policies: Supply chain network equilibrium models with consumers’ low-carbon awareness. Int. Trans. Oper. Res. 2023, 1, 13242. [Google Scholar] [CrossRef]
- Yuan, X.; Bi, G.; Li, H.; Zhang, B. Stackelberg equilibrium strategies and coordination of a low-carbon supply chain with a risk-averse retailer. Int. Trans. Oper. Res. 2022, 29, 3681–3711. [Google Scholar] [CrossRef]
- Hu, S.; Fu, K.; Wu, T. The role of consumer behavior and power structures in coping with shoddy goods. Transp. Res. Part E Logist. Transp. Rev. 2021, 155, 102482. [Google Scholar] [CrossRef]
- Li, H.; Zha, Y.; Bi, G. Agricultural insurance and power structure in a capital-constrained supply chain. Transp. Res. Part E Logist. Transp. Rev. 2023, 171, 103037. [Google Scholar] [CrossRef]
- Luo, Z.; Chen, X.; Chen, J.; Wang, X. Optimal pricing policies for differentiated brands under different supply chain power structures. Eur. J. Oper. Res. 2017, 259, 437–451. [Google Scholar] [CrossRef]
- Yang, F.; Wang, M. Optimal remanufacturing decisions in supply chains considering consumers’ anticipated regret and power structures. Transp. Res. Part E Logist. Transp. Rev. 2021, 148, 102267. [Google Scholar] [CrossRef]
- Yu, T.; Guan, Z.; Dong, J. Research on live e-commerce supply chain decision-making considering social media influencer’s marketing efforts under different power structures. J. Manag. Sci. China 2022, 19, 714–722+748. [Google Scholar]
- Li, M.; Mizyno, S. Dynamic pricing and inventory management of a dual-channel supply chain under different power structures. Eur. J. Oper. Res. 2022, 303, 273–285. [Google Scholar] [CrossRef]
- Chen, N.; Cai, J.; Govindan, K. Decision analysis of supply chain considering yield uncertainty and CSR under different market power structures. J. Clean. Prod. 2024, 434, 139006. [Google Scholar] [CrossRef]
- Meng, X.; Yao, Z.; Nie, j.; Zhao, Y.; Li, Z. Low-carbon product selection with carbon tax and competition: Effects of the power structure. Int. J. Prod. Econ. 2018, 200, 224–230. [Google Scholar] [CrossRef]
- Zhang, S.; Wang, C.; Yu, C. Governmental cap regulation and manufacturer’s low carbon strategy in a supply chain with different power structures. Comput. Ind. Eng. 2019, 134, 27–36. [Google Scholar] [CrossRef]
- Tang, R.; Yang, L. Impacts of financing mechanism and power structure on supply chains under cap-and-trade regulation. Transp. Res. Part E 2020, 139, 101957. [Google Scholar] [CrossRef]
- Cao, K.; Su, Y.; Xu, Y.; Guo, Q. Channel selection for retailers in platform economy under cap-and-trade policy considering different power structures. Elec. Comm. Res. Appl. 2022, 56, 101205. [Google Scholar] [CrossRef]
- Xu, H.; Yu, T.; Guan, Z.-M. Research on low-carbon supply chain decisions considering manufacturers’ disappointment aversion behaviors under different power structures. Oper. Res. Manag. Sci. 2023, 32, 45–52. [Google Scholar]
- Huang, F.; Hu, H.; Song, H. Allocation of the carbon emission abatement target in low carbon supply chain considering power structure. Sustainability 2023, 15, 10469. [Google Scholar] [CrossRef]
- Cai, J.; Jiang, F. Decision models of pricing and carbon emission reduction for low-carbon supply chain under cap-and-trade regulation. Int. J. Prod. Econ. 2023, 264, 108964. [Google Scholar] [CrossRef]
- Gong, Y.; He, G. Research on low-carbon strategies of supply chains, considering live streaming marketing modes and power structures. Processes 2023, 11, 1505. [Google Scholar] [CrossRef]
- Hastig, G.M.; Sodhi, M.S. Blockchain for supply chain traceability: Business requirements and critical success factors. Prod. Oper. Manag. 2020, 29, 935–954. [Google Scholar] [CrossRef]
- Wang, L.; Wang, Y. Supply chain financial service management system based on block chain IoT data sharing and edge computing. Alex. Eng. 2022, 61, 147–158. [Google Scholar] [CrossRef]
- Paulo, R.; Joe, N.; Samir, E. Blockchain-enabled supply chains: An application in fresh-cut flowers. Appl. Math. Model. 2022, 110, 841–858. [Google Scholar]
- Wu, X.; Fan, Z.; Li, G. Strategic analysis for adopting blockchain technology under supply chain competition. Int. J. Logist. Res. Appl. 2023, 26, 1384–1407. [Google Scholar] [CrossRef]
- Wu, J.; Yu, J. Blockchain’s impact on platform supply chains: Transaction cost and information transparency perspectives. Int. J. Prod. Res. 2023, 61, 3703–3716. [Google Scholar] [CrossRef]
- Qu, S.; Li, S. A supply chain finance game model with order-to-factoring under blockchain. Syst. Eng. Theory Pract. 2023, 9, 3570–3586. [Google Scholar]
- Liu, L.; Li, Y.; Jiang, T. Optimal strategies for financing a three-level supply chain through blockchain platform finance. Int. J. Prod. Res. 2023, 61, 3564–3581. [Google Scholar] [CrossRef]
- Tian, L.; Hu, B. The impacts of blockchain adoption on pricing and efforts decisions in online game supply chains with information asymmetry. Int. J. Prod. Econ. 2023, 266, 109030. [Google Scholar] [CrossRef]
- Lu, Q.; Liao, C. Impact of blockchain technology and channel power on green supply chain decisions. East China Econ. Manag. 2023, 37, 12–22. [Google Scholar]
- Li, Z.; Xu, X.; Bai, Q. Implications of information sharing on blockchain adoption inreducing carbon emissions: A mean–variance analysis. Transp. Res. Part E Logist. Transp. Rev. 2023, 178, 103254. [Google Scholar] [CrossRef]
- Xu, X.; Zhang, M.; Dou, G. Coordination of a supply chain with an online platform considering green technology in the blockchain era. Int. J. Prod. Res. 2023, 61, 3793–3810. [Google Scholar] [CrossRef]
- Zhang, L.; Peng, B.; Cheng, C. Research on government subsidy strategy of low-carbon supply chain based on block-chain technology. J. Manag. Sci. China 2023, 31, 49–60. [Google Scholar]
- Li, Z.; Wang, L.; Wang, G. Investment and subsidy strategy for low-carbon port operation with blockchain adoption. Ocean Coast. Manag. 2024, 248, 106966. [Google Scholar] [CrossRef]








| Literature | Channel | Power Structures | Carbon Emission Reduction | Blockchain | Skepticism about Low-Carbon Products | Blockchain Cost |
|---|---|---|---|---|---|---|
| Zhang et al. (2019) [23] | single | √ | √ | |||
| Tang et al. (2020) [24] | single | √ | √ | |||
| Yang et al. (2022) [8] | single | √ | ||||
| Cao et al. (2022) [25] | double | √ | √ | |||
| Xu et al. (2023) [26] | single | √ | √ | |||
| Lu & Liao (2023) [38] | single | √ | √ | √ | √ | |
| Li et al. (2023) [39] | single | √ | √ | √ | ||
| Xu et al. (2023) [40] | double | √ | √ | |||
| Zhang et al. (2023) [41] | single | √ | √ | √ | √ | |
| Cai et al. (2023) [28] | single | √ | √ | |||
| This paper | double | √ | √ | √ | √ | √ |
| Notation | Description |
|---|---|
| Preference of online channel | |
| Consumer skepticism about low-carbon products | |
| Consumers’ environmental awareness | |
| Cost coefficient for carbon emission reduction | |
| Wholesale price | |
| Blockchain cost | |
| Carbon emissions reductions per unit of product | |
| Cross price elasticity coefficient between channels | |
| Online retail price | |
| Offline retail price | |
| Online sales | |
| Offline sales | |
| Manufacturer’s profit | |
| Retailer’s profit | |
| represent with or without blockchain technology, respectively | |
| represent the manufacturer-dominated and retailer-dominated, respectively |
| Equilibrium Results | Without Blockchain | With Blockchain |
|---|---|---|
| Equilibrium Results | Without Blockchain | With Blockchain |
|---|---|---|
Disclaimer/Publisher’s Note: The statements, opinions and data contained in all publications are solely those of the individual author(s) and contributor(s) and not of MDPI and/or the editor(s). MDPI and/or the editor(s) disclaim responsibility for any injury to people or property resulting from any ideas, methods, instructions or products referred to in the content. |
© 2024 by the authors. Licensee MDPI, Basel, Switzerland. This article is an open access article distributed under the terms and conditions of the Creative Commons Attribution (CC BY) license (https://creativecommons.org/licenses/by/4.0/).
Share and Cite
Jiang, M.; Qin, L.; Zuo, W.; Hu, Q. Emission Reduction Decisions in Blockchain-Enabled Low-Carbon Supply Chains under Different Power Structures. Mathematics 2024, 12, 704. https://doi.org/10.3390/math12050704
Jiang M, Qin L, Zuo W, Hu Q. Emission Reduction Decisions in Blockchain-Enabled Low-Carbon Supply Chains under Different Power Structures. Mathematics. 2024; 12(5):704. https://doi.org/10.3390/math12050704
Chicago/Turabian StyleJiang, Manman, Liping Qin, Wenjin Zuo, and Qiang Hu. 2024. "Emission Reduction Decisions in Blockchain-Enabled Low-Carbon Supply Chains under Different Power Structures" Mathematics 12, no. 5: 704. https://doi.org/10.3390/math12050704
APA StyleJiang, M., Qin, L., Zuo, W., & Hu, Q. (2024). Emission Reduction Decisions in Blockchain-Enabled Low-Carbon Supply Chains under Different Power Structures. Mathematics, 12(5), 704. https://doi.org/10.3390/math12050704

