Next Article in Journal
Coordinating the Reverse Factoring System: Buying Back and Bargaining
Previous Article in Journal
Semi-Implicit Numerical Integration of Boundary Value Problems
 
 
Font Type:
Arial Georgia Verdana
Font Size:
Aa Aa Aa
Line Spacing:
Column Width:
Background:
Article

Synthesis of Boundary Conditions in Polygonal Magnetic Domains Using Deep Neural Networks

by
Sami Barmada
1,*,
Paolo Di Barba
2 and
Maria Evelina Mognaschi
2
1
Department of Energy, Systems, Territory and Construction Engineering, University of Pisa, 56126 Pisa, Italy 2 Department of Electrical, Computer and Biomedical Engineering, University of Pavia, 27100 Pavia, Italy
2
Department of Electrical, Computer and Biomedical Engineering, University of Pavia, 27100 Pavia, Italy
*
Author to whom correspondence should be addressed.
Mathematics 2024, 12(23), 3851; https://doi.org/10.3390/math12233851
Submission received: 6 November 2024 / Revised: 29 November 2024 / Accepted: 4 December 2024 / Published: 6 December 2024
(This article belongs to the Section E2: Control Theory and Mechanics)

Abstract

In this paper, the authors approach the problem of boundary condition synthesis (also defined as field continuation) in a doubly connected domain by the use of a Neural Network-based approach. In this innovative method, given a field problem (magnetostatic, in the test case shown here), a set of Finite Element Method simulations is performed in order to define the training set (in terms of the potential over a domain) by solving the direct problem; subsequently, the Neural Network is trained to perform the boundary condition synthesis. The performances of different Neural Networks are compared, showing the accuracy and computational efficiency of the method. Moreover, domains externally bounded by two different kinds of polygonal contours (L-shaped and three-segments, respectively) are considered. As for the latter, the effect of the concavity/convexity of the boundary is deeply investigated. To sum up, a classical field continuation problem turns out to be revisited and solved with an innovative approach, based on deep learning.

1. Introduction

In computational electromagnetics, direct problems typically exhibit the properties of existence, uniqueness, and continuous dependence on the solution on the data. In contrast, in inverse problems, none of these properties can be assumed. Actually, this intrinsic complexity makes inverse problems challenging and interesting. Recently, inverse problems in magnetics and various other research fields have been effectively tackled using deep learning techniques [1,2,3] and Physics-Informed Neural Networks [4,5], yielding promising results.
Likewise, the problem of identifying the boundary condition (BC) along a portion of the boundary of a magnetic field domain, knowing the condition on the complementary part of the boundary and the field in a subdomain, falls in the category of inverse problems. This scenario frequently arises in situations where direct measurements in certain regions are either impractical or impossible, necessitating the extrapolation of data. Mathematically, this is often described as the continuation problem for electric or magnetic fields, where the goal is to infer the field distribution from a finite number of sample points within a subdomain. From an application perspective, there are archival contributions to solving the inverse potential problem of electrocardiography, which leads to a Cauchy problem for an elliptic operator that is strongly ill-posed [6,7].
In turn, in computational geophysics, analytical methods for potential field continuation are detailed in works such as [8]. Similarly, the continuation of thermal fields in hyperthermia computations has been explored in [9]. Moreover, in electrical impedance tomography—a research field with severely ill-posed inverse problems—recent studies leveraging deep learning techniques have addressed image reconstruction and the evaluation of inverse operators [10,11].
In the authors’ opinion, among these references, the works [6,7] provide particularly clear explanations of the field continuation problem and its practical applications.
As described in Figure 1, let Ω and Ω m be two open bounded sets of R 3 with Ω m Ω ; the boundaries Γ m = Ω m and Γ = Ω are assumed to be C connected manifolds. Considering the electrocardiography problem, volume Ω represents the human body, while Γ m encloses the heart and lies in proximity to the epicardial surface. The direct problem can be cast as follows:
σ V = 0 i n   Ω \ Ω m V = u o n   Γ m n V = 0 o n   Γ
where V is the unknown electric voltage and u is its known value on the internal boundary. If no information is available about V on Γ m but it is possible to measure V = z on an open subset Σ Γ , then V satisfies Equation (2)
σ V = 0 i n   Ω \ Ω m V = z i n   Σ Γ n V = 0 i n   Γ
The inverse problem consists of estimating V on Γ m by solving the Cauchy problem (2) related to a second-order elliptic operator.
In more general terms, the BC synthesis problem can be reformulated in this way. Let three normed spaces X ,   Y ,   a n d   Z be given and let a family of nonlinear and continuous operators A ( z ) depending on a parameter z that belongs to Z be considered. Assuming that the parameter z is known, and given the data y in Y , finding x in X fulfills the equation
A z x = y
and solves the direct problem; in (3), z stands for the boundary condition along Γ while y is the potential along the inner boundary and x is the potential in Ω \ Ω m . In turn, finding both x in X and z in Z when the parameter z itself is unknown—and some supplementary information is available—solves the inverse problem.
The following remark can be put forward: failure of the existence and uniqueness of a solution to the problem may depend on insufficient knowledge of the range of the nonlinear operator A to invert. For instance, the operator A could map its domain X in a reduced subset Y 0 of the image space Y (e.g., a subset of “smooth” elements y 0 ), while the available data y (e.g., a “rough” physical measurement) belongs to Y \ Y 0 . In fact, a good characterization of Y 0 may be unavailable or, even worse, the physical measurement may not reasonably yield any element in Y 0 . Despite these nontrivial complications, the theory of inverse problems has successfully addressed theoretical challenges in several cases, enabling the restoration of uniqueness, continuous dependence of the solution on the data, and sometimes even ensuring the existence of a solution.
In a classical approach, the Laplace equation, which governs the behavior of the magnetostatic scalar potential, is discretized using a Finite Element Model (FEM). After discretization, incorporating the known potentials results in a system of linear equations represented by a rectangular matrix. A method such as singular value decomposition (SVD) can then be employed, yielding a minimal norm solution in terms of nodal potentials. Foundational work in magnetostatics dates back to the 1980s [12,13]. Later, analytical methods based on the surface equivalence theorem were applied to identify absorbing conditions in wave propagation problems [14,15]. Additionally, a field diakoptics-based methodological approach to magnetic boundary synthesis was introduced in [16].
Afterward, it seems that the whole subject was less considered. Nowadays, with the remarkable advancements in Neural Networks (NNs) as universal function approximators, the topic can now be revisited from a modern perspective [17]. For instance, in [15], the problem of reconstructing the magnetic field distribution produced by a current source (coil) in a simply connected domain, known as the field distribution in a subdomain, is solved. This approach identifies a 2D field distribution but does not address boundary conditions. Methodologically, ref [17] employs images as input for autoencoders and Convolutional Neural Networks (CNNs).
To the best of the authors’ knowledge, machine learning methods have not yet been applied for synthesizing magnetic boundary conditions. In order to bridge the gap, this paper proposes a Neural Network model for recovering nodal potentials in a magnetic field domain. The choice of NNs, specifically multilayer perceptrons, both shallow and deep, is motivated by their straightforward structure and relatively low number of tunable parameters. Moreover, the training time for NNs, even though fully connected, is typically shorter compared to other machine learning techniques such as the Support Vector Machine (SVM) or Gaussian Process Regression (GPR) [18,19,20].
The paper is organized as follows: Section 2 describes the problem and the creation of the database needed to train the Neural Network; Section 3 details the deep learning approach; Section 4 presents the results, while Section 5 discusses them; finally, the conclusions are outlined.

2. Problem Formulation

2.1. Geometrical Description

In this contribution, a specific problem is considered to show the performances of the Neural Network approach; in particular, a magnetostatic problem in a current-free domain is studied.
Figure 2 shows a two-dimensional doubly connected domain Ω \ Ω m with a polygonal boundary Γ . Two different boundaries are considered: an L-shaped one as depicted in Figure 2a and a three-segment polygonal one as depicted in Figure 2b. The choice of considering a doubly connected domain instead of a simply connected domain is driven by the fact that many practical problems are characterized by complex geometries, and consequently, complex field distributions.
Since the field domain is current-free, a magnetic scalar potential formulation can be used. In Figure 2a,b, the potential distribution in the subdomain Ω m is assumed to be known, and it is represented by the knowledge of the BCs relevant to the boundaries surrounding Ω m ; consequently, Ω m is considered a cavity and Ω \ Ω m is a doubly connected domain.
The synthesis problem can be cast as follows: recover the boundary condition for Ψ on the boundary Γ and the potential distribution in the complementary domain Ω \ Ω m .
If known data on Ω m result from measurements, an identification problem takes place. The synthesis problem is ill-posed because of either the non-uniqueness of the solution or measurement errors. The solution to the problem may even not exist and, in the most severe cases, small changes in data may result in large changes in the solution, consequently destroying any continuous dependence, which is an issue of instability.

2.2. Direct Problem: Field Analysis

Since a current-free domain is considered, the scalar potential formulation can be used, leading to the Laplace equation
· ( μ Ψ ) = 0
where μ is the magnetic permeability and Ψ is the magnetic scalar potential.
The doubly connected domain with an external polygonal boundary shown in Figure 3 is considered: a subdomain Ω m , within which a uniform field of known value is assumed to be present, and it is modeled by means of an internal rectangular cavity. Appropriate conditions hold along the cavity’s boundary Γ m ; in particular, non-homogeneous Dirichlet ( Ψ 0 = 0 A, Ψ 1 = 8 A) BCs are applied to the upper and lower boundary ( Γ m s u p and Γ m i n f , respectively), while homogeneous Neumann conditions are applied to the lateral sides Γ m s of Ω m (see Figure 2); this leads to a given magnetic induction field ( 0 , B 0 ) with B 0 = 2 mT inside the domain Ω m .
In order to properly solve a direct problem, a full set of external boundary conditions must be provided; for this reason, the field domain modeled by the FEM approach (direct problem) widely extends toward the x and y directions. More specifically, two external boundaries at x = X m a x and y = Y m a x (forming the external boundary Γ m a x ) are considered where homogeneous Neumann conditions are applied. As for the boundaries at x = 0 and y = 0 , the authors decided to impose orthogonal magnetic flux density. This condition can be obtained at the interface between a material characterized by a finite value of permeability and a material whose permeability tends toward infinity; in practice, it can be obtained at the interface between the air and a ferromagnetic material. Equation (5) summarizes the direct problem.
( μ Ψ ) = 0 i n   Ω \ Ω m n Ψ = 0 o n   Γ m a x t Ψ = 0 i n   x = 0 ,   y = 0 Ψ = Ψ 1 o n   Γ m s u p Ψ = Ψ 0 o n   Γ m i n f n Ψ = 0 o n   Γ m s
The magnetostatic field problem has been solved by means of the FEM-based commercial software Comsol Multiphysics 6.2 [21]. The mesh created for the solution of the direct problem is composed of second-order elements, yielding about 196,000 degrees of freedom. A field map is shown in Figure 3, in which the dimensions justify the adoption of the homogeneous Neumann conditions at x = X m a x = 100   m m and y = Y m a x = 100   m m .

2.3. Inverse Problem: Boundary Conditon Synthesis

The synthesis problem can be cast as follows: (a) recover the boundary condition for Ψ on the polygonal-shaped boundary Γ and (b) recover the potential distribution in the complementary domain Ω \ Ω m . While (a) is an inverse problem that is solved first, (b) is again a direct problem that is solved after (a); for this reason, the accuracy in the solution of the inverse problem (boundary conditions estimation) is crucial for the accurate evaluation of the potential distribution in the complementary domain, and the consequent evaluation of the magnetic flux density B ¯ is numerically performed by a gradient operation.
Two different problems, characterized by a different shape of the polygonal boundary, are considered:
-
Problem 1: L-shaped boundary (see Figure 2a).
-
Problem 2: three-segment boundary (see Figure 2b).
While Problem 1 and Problem 2 might appear equivalent at first sight from a theoretical point of view, they present an important difference when approached by the use of Neural Networks. In particular, the boundary of Problem 1 can be labeled by the x = y coordinates of the upper right vertex of the L-shaped boundary; this means that when the NN is trained, it has only one input. In contrast, in Problem 2, the polygonal boundary is described by the two points P 1 = ( x 1 ,   y 1 ) and P 2 = ( x 2 ,   y 2 ) , i.e., the NN has four inputs. This leads to two completely different architectures that must be designed ad-hoc.
In addition to this, while the geometry of Problem 1 is always square, Problem 2 can present both concave and convex geometries. It is well known that vertices in numerical approaches present critical aspects, which can be exacerbated in the presence of strong concavity and/or convexity. For this reason, the results obtained in Problem 2 are also analyzed from this point of view.

2.4. Database Creation

In this section, the databases corresponding to Problem 1 and Problem 2 are described.

2.4.1. Database Problem 1

A database of 50,400 cases was built for training purposes; each single case is characterized by a different position of the L-shaped boundary and a different position of the cavity. In more detail, referring to Figure 4, the database of Problem 1 is obtained considering:
  • A family of N L = 400 L-shaped cuts parametrized by the l value (vertex coordinates) with 20 < l < 100 mm.
  • Various positions of the subdomain Ω m , i.e., N x = 14 values for x 0 with 1 < x 0 < 14   m m and N y = 9 values for y 0 with 1 < y 0 < 9   m m .
Therefore, considering N x · N y = 14 · 9 = 126 different positions for the subdomain Ω m and N L = 400 L-shaped cuts for each position, a total number of 50,400, i.e., 126 · 400 samples, arises.
Each case in the database consists in the values of l , x 0 , and y 0 and a vector of 100 values of the magnetic potential, sampled on the L-contour Γ . Specifically, 50 points on x = l and 50 points on y = l are considered for the sampling of the magnetic scalar potential.
It is worth underlining that only one FE simulation of the biggest computational domain to solve Equation (5) (the whole field map shown in Figure 3) is needed for each position ( x 0 ,   y 0 ) of the subdomain; the post-processing procedure to extract the values of the potential of the L-shaped boundary is straightforward and does not require additional large matrix inversion.
As in any NN-based approach to inverse problems [22], the database itself works as a regularizer and represents a supplementary condition, making the inverse problem relevant to (3) well-posed.

2.4.2. Database Problem 2

This database consists of 400 different cases, constructed as follows: a family of N P = 400 randomly chosen cuts, parametrized by the P 1 and P 2 vertex coordinates, is created in the field region shown in Figure 5. In more detail:
  • As for P 1   10 < x 1 < 30   m m , 30 < y 1 < 90   m m .
  • As for P 2   40 < x 2 < 80   m m , 10 < y 2 < 90 mm and l = 60   m m .
  • The position of the subdomain Ω m is constant and characterized by x 0 = 1   m m and y 0 = 1   m m .
For each sample in the database, the values of x 1 ,   y 1 ,   x 2 ,   a n d   y 2 and a vector of values of the magnetic potential, sampled on the polygonal line Γ , are considered. Specifically, 90 points (30 for each segment) along the polygonal line are considered for the sampling of the magnetic scalar potential.
Depending on the position of P 1 and P 2 , either a concave or a convex polygonal boundary can arise. Therefore, each sample in the database is labeled as concave or convex, depending on the polygonal boundary.

3. Deep Learning Approach

Multilayer perceptrons are feed-forward, fully connected Neural Networks, which can have one or more hidden layers, characterized by a non-linear activation function. They have been widely utilized for many years for solving classification and regression problems. Around the 1980s, networks with one hidden layer were applied, while in the last two decades, Deep Neural Networks exhibiting more hidden layers have been utilized. These new architectures are possible thanks to new numerical methods that allow automatic differentiation in an efficient way, even with more hidden layers, and to the development of GPU-based algorithms [18].
The parameters (weights and biases) of an NN are usually identified by means of an optimization procedure, which aims at minimizing the error between the estimated value Y i ^ and the real value Y i . There are several numerical techniques for solving this minimization problem; one of the most utilized methods is the well-known Levenberg–Marquardt method [23]. According to this algorithm, at each step, the weights w are updated as follows:
w k + 1 = w k J k T J k + δ I 1 J k m s e k
where J is the Jacobian matrix, I is the identity matrix, and δ is a parameter that allows us to modify the update in the same way as in Gauss–Newton algorithm (when its value is small/nearly zero) and the Steepest descent algorithm (when its value is large). The Jacobian matrix is calculated by means of the backpropagation method. The error m s e is the Mean Squared Error defined as
m s e = 1 n i = 1 n Y i Y i ^ 2
The training based on this method is performed in the Matlab environment, utilizing default parameters [24].
The Levenberg–Marquardt algorithm is fast for low-dimension problems (up to a few hundred parameters to optimize), while Neural Networks characterized by thousands of parameters require a large amount of memory and the computational cost increases.
In a multilayer perceptron, activation functions are applied to calculate the output, given its input, weights, and biases. Usually, they are non-linear, and one of the newest and most popular is the Rectified Linear Unit (ReLU) function. Its main strength is to accelerate the convergence toward the minimum because it is linear and non-saturating, requiring very low computational time. However, the ReLU function is not differentiable at zero; in addition, its output is zero for negative input values, leading to the possibility of a large number of “dead” neurons after training.
For this reason, in this application, where the main objective is accuracy and not speed of computation, a more classical hyperbolic tangent activation function, which returns values in the range [24], has been chosen.
To solve Problem 1, two different multilayer perceptrons are used: NN1 is a network with one hidden layer, characterized by 10 neurons, and NN2 is a Deep Neural Network with two hidden layers, characterized by 10 and 20 neurons, respectively. Both networks NN1 and NN2 have the vector ( l , x 0 ,   y 0 ) as the input and 100 values of magnetic scalar potential (distribution on Γ ) as the output.
The test set is composed of 10% of the samples of the database, randomly chosen; 90% of the remaining samples are then randomly divided into a training set and a validation set with the 80–20 rule (80% for the training set and 20% for the validation set, respectively). The 80–20 rule is a rule of thumb; however, a scientific background can be found in the literature [25].
Both NNs, which are characterized by 1140 parameters, i.e., weights and biases, (NN1) and 2360 parameters (NN2), respectively, are trained using the Levenberg–Marquardt method for 1000 epochs.
To synthesize the boundary condition of Problem 2, a Deep Neural Network (DNN) with three hidden layers, characterized by 20, 40, and 60 neurons, respectively, has been trained. The DNN has the vector ( x 1 ,   y 1 ,   x 2 ,   y 2 ) as the input and 90 values of magnetic scalar potential (distribution on Γ ) as the output.
In order to investigate how the polygonal shape affects the DNN approach in terms of convexity and concavity, three subsets of the database (characterized by N t = 400 total number of samples) are considered for Problem 2. Specifically, let p < N t be the number of samples in the training set, q < N t be the number of samples in the validation set, and t < N t be the number of samples in the test set, with p + q + t < N t . This results in:
  • Problem 2a: p = 141 , q = 35 , and t = 191 . Each sample can exhibit either a convex or concave boundary.
  • Problem 2b: p = 141 (convex boundaries), q = 35 (convex boundaries), and t = 191 (concave boundaries).
  • Problem 2c: p = 138 (concave boundaries), q = 34 (concave boundaries), and t = 196 (convex boundaries).
The actual values of parameters p , q , and t are subject to the availability of samples exhibiting convex or concave polygonal shapes of the boundaries, within the original dataset. To ensure a fair comparison among the three problems, these numbers are kept similar across cases.
All the NNs, characterized by 8890 parameters to identify, are trained using the Levenberg–Marquardt method for 1000 epochs.
To sum up, in Table 1, NNs and relevant databases used for solving the inverse problems are described.
In order to evaluate the performance of the training, the Mean Average Percentage Error (MAPE) is calculated
M A P E = 100 1 N i = 1 N Y ^ i Y i Y i
in which Y ^ i is the predicted value and Y i is the true value. Specifically, the MAPE error is calculated for each sample in the test set, and then the average over N t samples in the test set is calculated. The value of the MAPE, evaluated for the test set, allows for assessing the goodness of the training for cases never utilized by the NN during the training process.

4. Results

4.1. Problem 1

The MAPE calculated as the average over the test set is equal to 0.34% for NN1 and 0.05% for NN2.
In Figure 6, the predicted versus true values of the test set are represented for NN1 and NN2, respectively.
The results show that the prediction given by NN2 is more accurate than the one given by NN1.
More results given by NN2 are shown here; in particular, Figure 7 shows the comparison between the identified BCs and the true values (obtained by FE) for nine cases.
These nine cases are chosen to represent different geometrical situations and are detailed in Table 2.
The identified BCs on Γ allow the calculation of the magnetic scalar potential (and consequently, the field) in in the L-shaped domain Ω \ Ω m by solving a direct problem. This solution is affected by error, whose magnitude depends on the accuracy with which the BCs have been identified. For this reason, two different FE solutions are evaluated: one with the identified BCs and the other with the BCs of the original dataset (ground truth).
In order to evaluate the accuracy (the magnetic scalar potential calculated by solving the direct problem with the reconstructed BC), a new error function needs to be defined. The most straightforward possibility is to use a normalized absolute error, as shown in Equation (9)
e ( x , y ) = Ψ ^ ( x , y ) Ψ ( x , y ) Ψ ( x , y )
where Ψ ^ is the predicted value and Ψ is the true value, evaluated for each single case as a function of the space coordinates ( x , y ) .
For the sake of conciseness, only three configurations are shown here: the authors selected three cases characterized by higher MAPE and reported the error e ( x , y ) as a color map relative to the direct problem solution, as shown in Figure 8, Figure 9 and Figure 10. Referring to Table 3, the three worst-performing cases are #3, #4, and #7, all with MAPE values above 0.1%.
Table 3 shows the MAPE, calculated for the reconstructed BCs, and the mean value of the error e ( x , y ) over the whole domain Ω \ Ω m , for the nine cases presented in Table 2.

4.2. Problem 2

The results for Problem 2 are described in the following subsections, considering the three sub-problems.

4.2.1. Problem 2a

The MAPE, calculated as the average over the test set and considering six different runs, is equal to 9.3 1 0 4 . For the sake of an example, a plot of the predicted versus true values of a run is shown in Figure 11.
An example of prediction for two different geometries—one convex and one concave—is shown in Figure 12.

4.2.2. Problem 2b

The MAPE, calculated as the average over the test set and considering six different runs, is equal to 2.9 10 3 . For the sake of an example, a plot of the predicted versus true values of a run is shown in Figure 13. Specifically, the plots of the validation set, relevant to convex boundaries, and the test set, relevant to concave boundaries, are shown in Figure 13a,b, respectively.
An example of the prediction for two different geometries of the test set, both concave, is shown in Figure 14.

4.2.3. Problem 2c

The MAPE, calculated as the average over the test set and considering six different runs, is equal 3.3 10 3 .
For the sake of an example, a plot of the predicted versus true values of a run is shown in Figure 15.
An example of the prediction for two different geometries, both convex, is shown in Figure 16.
In Table 4, the results for both problems and the three NNs (NN1, NN2, and DNN), in terms of the MAPE error along with the computational time are shown.
The training of the NNs is based on a CPU, and the hardware utilized is Intel(R) Core(TM) i7-4790 CPU @ 3.60 GHz (8 CPUs), 16 GB RAM.

5. Discussion

The problem of BC identification of an L-shaped domain showing a cavity with variable positions is solved as Problem 1. Given the cavity position (corner coordinates) and the L-shaped boundary position (one parameter), the potential distribution is identified in 100 points of the L-shaped boundary. A single-layer NN with 10 neurons (1140 parameters) is first applied to solve this problem, resulting in a rather large error (0.34%). A DNN with two layers is then utilized to solve the same problem; this NN has 30 neurons overall and 2360 parameters to identify. This deeper network is able to better identify the BC, resulting in a 0.05% error. A comparison between the two NNs is depicted in Figure 6, where the points identified by NN2 lay on the bisector of the predicted-versus-true values plane. On the other hand, the points identified by NN1 are more spread on the plane, meaning a worse performance.
A few cases, described in Table 2, are shown in detail and also analyzed in terms of the subsequent calculation of the scalar potential in the Ω \ Ω m domain (calculated by means of an FEA) based on the previously estimated BC. The potential profile on the boundary is well identified, as can be seen from Figure 7, and the maximum relative error achieved (worst case) as the average of Ω \ Ω m is about 2 10−3.
A qualitative analysis of the error maps of Figure 8, Figure 9 and Figure 10 shows that the numerical errors of the magnetic scalar potential calculated by solving the direct problem with the estimated BC is non-negligible only close to the boundary where the BCs are estimated, demonstrating the accuracy of the proposed method.
However, Problem 1 is a rather complex problem, not easily solvable by means of a single-layer NN; this is mainly due to the floating cavity, which gives rise to several different scenarios. However, a deep NN with two layers is able to solve this inverse problem with good accuracy.
In Problem 2, the effect of the boundary’s geometry is investigated by applying deep NNs. Specifically, convex and concave domains are considered, and a DNN with three layers is trained for each considered case. The cavity is placed in a fixed position, so the NN inputs are the coordinates of the two vertices (4 parameters) governing the boundary profile and the output is the potential sampled along the boundary in 90 points (30 points for each of the 3 segments).
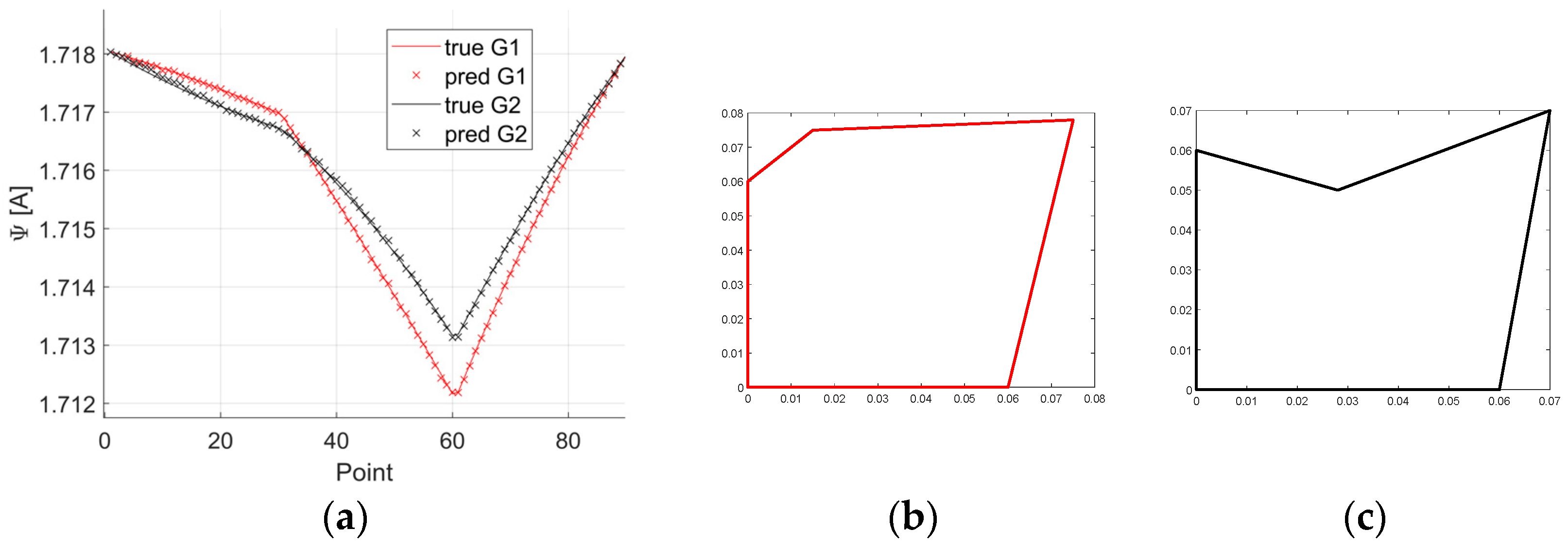
In Problem 2a, concave and convex domains are mixed up in the database and BC identification is performed regardless of the kind of shape. The average error is lower than 10−3 and the predicted points (test set) lay on the bisector of the predicted versus true values in Figure 11, showing good accuracy. In Figure 12, the BC prediction performed for two different geometries (a convex one and a concave one) aptly approximates the true one.
However, when the same DNN is trained considering only convex domains and then tested on concave domains (Problem 2b), the performance deteriorates. Specifically, the training is good when limited to convex domains, as demonstrated in Figure 13a, which shows the results for the validation set (convex domains). However, when testing the NN with concave domains, the points on the predicted versus true values are more spread (Figure 13b). Moreover, the error is about 3 · 10−3, which is higher than the Problem 2a error. The potential profile relevant to two concave cases (test set) is depicted in Figure 14, showing a minor deterioration of the performances.
Finally, in Problem 2c, the DNN is trained utilizing concave domains, and when it is tested among concave domains, it shows it is well-trained (see Figure 15a, relevant to the validation set). However, when tested for convex domains, the performance deteriorates (see Figure 15b), with an error increasing to 3.3 · 10−3. In Figure 16, the approximation of the BC for convex domains is plotted and shown not to be very accurate.

6. Conclusions

Different deep learning approaches have been implemented and compared for solving inverse problems in the frame of BC identification for polygonal domains.
The findings of the paper are as follows:
-
For Problem 1 (L-shaped domain with a hole in a variable position), a shallow Neural Network, such as NN1, does not perform well. In contrast, a Deep Neural Network like NN2 (proposed in this paper), with two layers containing 10 and 20 neurons, respectively, achieves accurate results.
-
For Problem 2 (polygonal domain with a hole in a fixed position), a Deep Neural Network (DNN), as proposed in this study, with three layers containing 20, 40, and 60 neurons, respectively, is capable of accurately identifying the boundary conditions.
-
For Problem 2 (further observations), the performance of the DNN improves when training and test samples are randomly selected from both convex and concave classes of geometry. However, when the training set exclusively consists of samples from one class (e.g., convex) and the DNN is tested on the other class (e.g., concave), the accuracy significantly decreases.
To sum up, it is possible to state that:
-
Deep Neural Networks show good capabilities to solve this kind of inverse problem (boundary condition synthesis, also called continuation problems).
-
However, the effect of the BC geometry should be carefully taken into account because it can affect the DNN training. Specifically, in order to consider the largest number of possible cases, database creation should be carefully planned. This confirms that, when applying NNs, the selection of samples in a database could be critical and could affect the NN performance.
It is worth noting that the methodological outcomes of this paper can be generalized to potential problems formulated in terms of Laplace’s equation. For example, these approaches could be applied to a variety of problems, including electrostatic, gravitational, and thermal analyses.
In conclusion, this paper lays the foundation for future research, where other machine learning algorithms could be explored to evaluate the advantages and drawbacks of different methods for solving the problem of boundary condition synthesis.

Author Contributions

Conceptualization, S.B., P.D.B. and M.E.M.; methodology, S.B. and P.D.B.; software, M.E.M.; validation, S.B. and M.E.M.; data curation, S.B. and M.E.M.; writing—original draft preparation, S.B. and M.E.M.; writing—reviewing and editing, S.B. and P.D.B.; supervision, S.B. and P.D.B.; project administration, M.E.M. All authors have read and agreed to the published version of the manuscript.

Funding

This work was partly supported by the project “STEM-DEEP Stochastic electromagnetic modeling and deep learning for an effective and personalized transcranial magnetic stimulation”, MUR Progetti di Ricerca di Rilevante Interesse Nazionale (PRIN) Bando 2022—grant 2022P8YKLJ and funded by the European Union—NextGenerationEU, and partly by the Università di Pisa under the “PRA—Progetti diRicerca di Ateneo” (Institutional Research Grants)—Project no. PRA_2022-2023_47.

Data Availability Statement

The data presented in this study are available on request from the corresponding author.

Conflicts of Interest

The authors declare no conflicts of interest.

References

  1. Khan, A.; Ghorbanian, V.; Lowther, D. Deep Learning for Magnetic Field Estimation. IEEE Trans. Magn. 2019, 55, 7202304. [Google Scholar] [CrossRef]
  2. Pollok, S.; Bjørk, R.; Jørgensen, P.S. Inverse Design of Magnetic Fields Using Deep Learning. IEEE Trans. Magn. 2021, 57, 2101604. [Google Scholar] [CrossRef]
  3. Sasaki, A.-I. Effectiveness of Artificial Neural Networks for Solving Inverse Problems in Magnetic Field-Based Localization. Sensors 2022, 22, 2240. [Google Scholar] [CrossRef] [PubMed]
  4. Jagtap, A.D.; Mao, Z.; Adams, N.; Karniadakis, G.E. Physics-informed neural networks for inverse problems in supersonic flows. J. Comput. Phys. 2022, 466, 111402. [Google Scholar] [CrossRef]
  5. Jagtap, A.D.; Mitsotakis, D.; Karniadakis, G.E. Deep learning of inverse water waves problems using multi-fidelity data: Application to Serre–Green–Naghdi equations. Ocean. Eng. 2022, 248, 110775. [Google Scholar] [CrossRef]
  6. Colli Franzone, P.; Magenes, E. On the inverse potential problem of electrocardiology. Calcolo 1979, 16, 459–538. [Google Scholar] [CrossRef]
  7. Colli Franzone, P.; Guerri, L.; Taccardi, B.; Viganotti, C. Finite element approximation of regularized solutions of the inverse potential problem of electrocardiography and applications to experimental data. Calcolo 1985, 22, 91–186. [Google Scholar] [CrossRef]
  8. Roy, K.K. Potential Theory in Applied Geophysics; Springer: Berlin/Heidelberg, Germany, 2008. [Google Scholar]
  9. D’Ambrosio, V.; Di Barba, P.; Dughiero, F.; Mognaschi, M.E.; Savini, A. Non-invasive thermometry for the thermal ablation of liver tumor: A computational methodology. Int. J. Appl. Electromagn. Mech. 2007, 25, 407–412. [Google Scholar] [CrossRef]
  10. Guo, R.; Cao, S.; Chen, L. Transformer meets boundary value inverse problems. arXiv 2022, arXiv:2209.14977. [Google Scholar]
  11. Kłosowski, G.; Rymarczyk, T. Using neural networks and deep learning algorithms in electrical impedance tomography. Inform. Autom. Pomiary Gospod. Ochr. Sr. 2017, 7, 99–102. [Google Scholar] [CrossRef]
  12. Pałka, R. Extrapolation of static fields measurements by means of the finite element method. Arch. Elektrotechnik 1984, 67, 247–251. [Google Scholar] [CrossRef]
  13. Sikora, R.; Pałka, R. Synthesis of magnetic fields. IEEE Trans. Magn. 1982, 18, 385–390. [Google Scholar] [CrossRef]
  14. Olivier, J.C. On the Synthesis of Exact Free Space Absorbing Boundary Conditions for the Finite-Difference Time-Domain Method. IEEE Trans. Antennas Propag. 1992, 40, 456–460. [Google Scholar] [CrossRef]
  15. Tromp, E.N.M.; Olivier, J.C. Synthesis of Absorbing Boundary Conditions for the FDTD Method: Numerical Results. IEEE Trans. Antennas Propag. 1995, 43, 213–215. [Google Scholar] [CrossRef]
  16. Costamagna, E.; Di Barba, P.; Savini, A. Synthesis of boundary conditions in a subdomain using the numerical Schwarz-Christoffel transformation for the field analysis. COMPEL 2006, 25, 627–634. [Google Scholar] [CrossRef]
  17. Barmada, S.; Di Barba, P.; Fontana, N.; Mognaschi, M.E.; Tucci, M. Electromagnetic Field Reconstruction and Source Identification Using Conditional Variational Autoencoder and CNN. IEEE J. Multiscale Multiphys. Comput. Tech. 2023, 8, 322–331. [Google Scholar] [CrossRef]
  18. Goodfellow, I.; Bengio, Y.; Courville, A. Deep Learning; MIT Press: Cambridge, MA, USA, 2016. [Google Scholar]
  19. Bokati, L.; Kosheleva, O.; Kreinovich, V.; Sosa, A. Why Deep Learning Is More Efficient than Support Vector Machines, and How It Is Related to Sparsity Techniques in Signal Processing. In Proceedings of the 2020 4th International Conference on Intelligent Systems, Metaheuristics & Swarm Intelligence ISMSI’2020, Thimpu, Bhutan, 18–19 April 2020. [Google Scholar]
  20. Contreras, J.; Ceberio, M.; Kosheleva, O.; Kreinovich, V. Why Neural Networks in the First Place: A Theoretical Explanation. J. Intell. Fuzzy Syst. 2022, 43, 6947–6951. [Google Scholar] [CrossRef]
  21. Comsol, Comsol Multiphysics Version 6.1. Available online: https://www.comsol.com/ (accessed on 2 November 2024).
  22. Barmada, S.; Di Barba, P.; Fontana, N.; Mognaschi, M.E.; Tucci, M. A Source Identification Problem in Magnetics Solved by Means of Deep Learning Methods. Mathematics 2024, 12, 859. [Google Scholar] [CrossRef]
  23. Hagan, M.T.; Demuth, H.B.; Beale, M.H. Neural Network Design; PWS Publishing: Boston, MA, USA, 1996. [Google Scholar]
  24. Available online: https://ch.mathworks.com/help/deeplearning/ref/trainlm.html (accessed on 2 November 2024).
  25. Gholamy, A.; Kreinovich, V.; Kosheleva, O. Why 70/30 or 80/20 relation between training and testing sets: A pedagogical explanation. Int. J. Intell. Technol. Appl. Stat 2018, 11, 105–111. [Google Scholar]
Figure 1. Continuation problem description.
Figure 1. Continuation problem description.
Mathematics 12 03851 g001
Figure 2. Geometry and boundary conditions of Problem 1 (a) and Problem 2 (b).
Figure 2. Geometry and boundary conditions of Problem 1 (a) and Problem 2 (b).
Mathematics 12 03851 g002
Figure 3. Field lines and scalar magnetic potential map [A]: the subdomain is highlighted. The dimensions are in [mm].
Figure 3. Field lines and scalar magnetic potential map [A]: the subdomain is highlighted. The dimensions are in [mm].
Mathematics 12 03851 g003
Figure 4. Geometry of Problem 1 domain; various L-shaped cuts are shown in blue dashed lines.
Figure 4. Geometry of Problem 1 domain; various L-shaped cuts are shown in blue dashed lines.
Mathematics 12 03851 g004
Figure 5. Geometry of Problem 2 domain; various polygonal cuts are shown in blue dashed lines.
Figure 5. Geometry of Problem 2 domain; various polygonal cuts are shown in blue dashed lines.
Mathematics 12 03851 g005
Figure 6. True versus predicted values (blue: test set, NN1, red: test set, NN2).
Figure 6. True versus predicted values (blue: test set, NN1, red: test set, NN2).
Mathematics 12 03851 g006
Figure 7. True and predicted boundary conditions (NN2).
Figure 7. True and predicted boundary conditions (NN2).
Mathematics 12 03851 g007
Figure 8. Error e for case #3, NN2 prediction.
Figure 8. Error e for case #3, NN2 prediction.
Mathematics 12 03851 g008
Figure 9. Error e for case #4, NN2 prediction.
Figure 9. Error e for case #4, NN2 prediction.
Mathematics 12 03851 g009
Figure 10. Error e for case #7, NN2 prediction.
Figure 10. Error e for case #7, NN2 prediction.
Mathematics 12 03851 g010
Figure 11. True versus predicted value—Problem 2a (training and testing with concave and convex boundaries).
Figure 11. True versus predicted value—Problem 2a (training and testing with concave and convex boundaries).
Mathematics 12 03851 g011
Figure 12. Prediction of boundary conditions (a) for two different geometries: G1 (b) and G2 (c) of the boundary.
Figure 12. Prediction of boundary conditions (a) for two different geometries: G1 (b) and G2 (c) of the boundary.
Mathematics 12 03851 g012
Figure 13. True versus predicted value—Problem 2b: training and validation (a) relevant to convex boundaries; testing (b) relevant to concave boundaries.
Figure 13. True versus predicted value—Problem 2b: training and validation (a) relevant to convex boundaries; testing (b) relevant to concave boundaries.
Mathematics 12 03851 g013
Figure 14. Prediction of boundary conditions (a) for two different geometries: G1 (b) and G2 (c) of the boundary.
Figure 14. Prediction of boundary conditions (a) for two different geometries: G1 (b) and G2 (c) of the boundary.
Mathematics 12 03851 g014
Figure 15. True versus predicted value—Problem 2c: training and validation (a) relevant to concave boundaries; testing (b) relevant to convex boundaries.
Figure 15. True versus predicted value—Problem 2c: training and validation (a) relevant to concave boundaries; testing (b) relevant to convex boundaries.
Mathematics 12 03851 g015
Figure 16. Prediction of boundary conditions (a) for two different geometries: G1 (b) and G2 (c) of the boundary.
Figure 16. Prediction of boundary conditions (a) for two different geometries: G1 (b) and G2 (c) of the boundary.
Mathematics 12 03851 g016
Table 1. NNs used for solving the inverse problems.
Table 1. NNs used for solving the inverse problems.
NN1NN2DNN
no. of layers123
no. of input334
no. of output10010090
no. of parameters114023608890
Training set samples36,28836,288138–141
Validation set samples9072907234–35
Test set samples50405040191–196
Table 2. Details of nine selected cases.
Table 2. Details of nine selected cases.
Case l [mm] x 0 [mm] y 0 [mm]
12012
22065
320.489
46022
56055
660.899
799.212
888.854
988.889
Table 3. Results for the nine selected cases.
Table 3. Results for the nine selected cases.
CaseMAPE Mean   ( e )
10.11% 8.30 10 4
20.06% 1.84 10 4
30.11% 4.10 10 4
40.16% 1.40 10 3
50.02% 1.43 10 4
60.03% 5.71 10 5
70.14% 1.70 10 3
80.05% 4.85 10 4
90.04% 3.97 10 4
Table 4. Results of all NNs.
Table 4. Results of all NNs.
ProblemNNMAPETime [Min]
1NN10.34520
1NN20.051100
2aDNN9.3 · 10−49.5
2bDNN2.9 · 10−39.5
2cDNN3.3 · 10−39.5
Disclaimer/Publisher’s Note: The statements, opinions and data contained in all publications are solely those of the individual author(s) and contributor(s) and not of MDPI and/or the editor(s). MDPI and/or the editor(s) disclaim responsibility for any injury to people or property resulting from any ideas, methods, instructions or products referred to in the content.

Share and Cite

MDPI and ACS Style

Barmada, S.; Di Barba, P.; Mognaschi, M.E. Synthesis of Boundary Conditions in Polygonal Magnetic Domains Using Deep Neural Networks. Mathematics 2024, 12, 3851. https://doi.org/10.3390/math12233851

AMA Style

Barmada S, Di Barba P, Mognaschi ME. Synthesis of Boundary Conditions in Polygonal Magnetic Domains Using Deep Neural Networks. Mathematics. 2024; 12(23):3851. https://doi.org/10.3390/math12233851

Chicago/Turabian Style

Barmada, Sami, Paolo Di Barba, and Maria Evelina Mognaschi. 2024. "Synthesis of Boundary Conditions in Polygonal Magnetic Domains Using Deep Neural Networks" Mathematics 12, no. 23: 3851. https://doi.org/10.3390/math12233851

APA Style

Barmada, S., Di Barba, P., & Mognaschi, M. E. (2024). Synthesis of Boundary Conditions in Polygonal Magnetic Domains Using Deep Neural Networks. Mathematics, 12(23), 3851. https://doi.org/10.3390/math12233851

Note that from the first issue of 2016, this journal uses article numbers instead of page numbers. See further details here.

Article Metrics

Back to TopTop